Abstract
The Pictet-Spengler reaction (P-S) is one of the most direct, efficient, and variable synthetic method for the construction of privileged pharmacophores such as tetrahydro-isoquinolines (THIQs), tetrahydro-β-carbolines (THBCs), and polyheterocyclic frameworks. In the lustro (five-year period) following its centenary birthday, the P-S reaction did not exit the stage but it came up again on limelight with new features. This review focuses on the interesting results achieved in this period (2011–2015), analyzing the versatility of this reaction. Classic P-S was reported in the total synthesis of complex alkaloids, in combination with chiral catalysts as well as for the generation of libraries of compounds in medicinal chemistry. The P-S has been used also in tandem reactions, with the sequences including ring closing metathesis, isomerization, Michael addition, and Gold- or Brønsted acid-catalyzed N-acyliminium cyclization. Moreover, the combination of P-S reaction with Ugi multicomponent reaction has been exploited for the construction of highly complex polycyclic architectures in few steps and high yields. The P-S reaction has also been successfully employed in solid-phase synthesis, affording products with different structures, including peptidomimetics, synthetic heterocycles, and natural compounds. Finally, the enzymatic version of P-S has been reported for biosynthesis, biotransformations, and bioconjugations.
My chameleon soulKeeps turning me around(A. Alexopoulos)
1. Introduction
Few years ago, we celebrated in a paper [1] the long-lasting presence on stage of the Pictet-Spengler (P-S) cyclization as one of the most direct, efficient, and variable synthetic method for the construction of important privileged pharmacophores, such as tetrahydroisoquinolines (THIQs), tetrahydro-β-carbolines (THBCs), and polyheterocyclic architectures embodying them.
In the Act I of this tribute [1], we put in evidence some facets of the reaction, from the link to the biogenetic pathways of natural products, mainly alkaloids, to the challenge of the stereochemical outcome. Moreover, we highlighted the modifications of parameters and constituents that were employed to improve the reaction:
- The reactivity of either nucleophile or electrophile was increased, the first by acylation of the Nb nitrogen [2] and the second by the presence of electron donating groups on the aromatic system [3].
- The reaction rate was modified by changes in the reaction conditions [4,5].
- The stereoselectivity was influenced by condensation with chiral carbonyl derivatives [6] or by the use of internal [7] or external devices [8].
- The enantioselectivity was improved by the intervention of a chiral catalyst [9,10].
The P-S reaction essentially relies on the formation from indolylethylamine 1 and a carbonyl compound 2a through an intermediate 3a of the ene-iminium ion 4 tethered to an electrophilic system. The iminium ion 4, under a nucleophilic attack, originates an annulated tetrahydropyridine moiety 5 (Scheme 1, up). Nielsen and coworkers proposed an alternative synthesis of THBCs using instead of the classical P-S addition of an active carbonyl, which is a more convenient “aldehyde free” methodology: the protagonist N-acyliminium ion 4 was now created by the metal-catalyzed shift of a double bond in allylic amines 3b (Scheme 1, down). Ru(PCy3)(MPI)(PM)Cl2 (Ru alkylidene catalyst) and Rh(PPh3)Cl (Wilkinson’s catalyst) were identified as the most efficient catalysts by a reduction of the loading to 0.1 mol % [11].
Scheme 1.
Traditional Pictet-Spengler (P-S) (up) and new metal catalyzed isomerization (down) for the synthesis of tetrahydro-β-carbolines (THBCs).
It should be noted Gholamzadeh recently published a relevant chapter of a book, analyzing the versatility of P-S reaction in the construction of heterocyclic scaffolds [12]. Moreover, Kumar and coworkers published in 2018 a review depicting an overview on synthetic versus enzymatic P-S reaction [13].
2. Variations on the Classic Pictet-Spengler Reaction
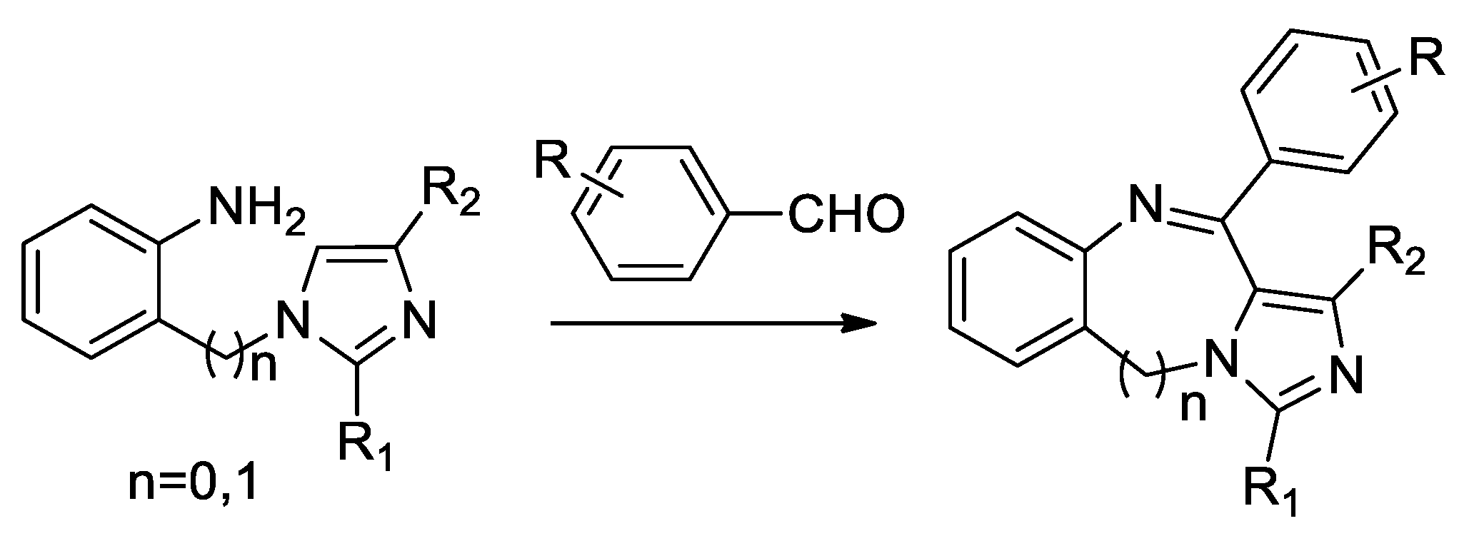
The Nielsen procedure is an example of the chameleonic versatility of P-S reaction [1]. For instance, Magnus and coworker employed the P-S methodology to access the indole C-7 position for the preparation of the benzodiazepine tricyclic fragment 7, starting from commercially available 5-fluoroindoles 6 (Scheme 2). Compound 7 was the precursor of the synthesis of the bis-arylmaleimide 8, a glycogen synthase kinase-3 (GSK-3) inhibitor, in 33% overall yield [14].
Scheme 2.
P-S based synthesis of GSK-3 inhibitor bis-arylmaleimide.
Subsequently, Hooker and coworkers demonstrated that this version of P-S cyclization could be used to label drugs with carbon-11 to study the pharmacokinetics of two potent agonists of the serotonin subtype 2C (5HT2C) receptor, namely WAY-163909 and vabicaserin. After ring-closure on C-7 by [11C]-formaldehyde, the two products were used in positron emission tomography (PET) imaging [15].
The presence of additional rings in polyheterocycles containing THIQ and THBC scaffolds introduced a new complexity, which required variant or complementary reactions. For instance, the dehydrative cyclization of hydroxylactams 9 [16] (sketched in Scheme 3) is a variant that allowed for obtaining the tetracyclic quinolizinones 10, building the extra ring prior to P-S cyclization.
Scheme 3.
Asymmetric cyclization of hydroxylactams by thiourea catalyst TH-1.
Two alternative routes to P-S adducts can be envisaged in the two possible pathways leading to almorexant 11, a potent non-peptidic antagonist of human orexin receptors [17]. In a first formal synthesis (Scheme 4 up), we might combine the Bischler–Napieralsky reaction [18], which provides the 3,4-dihydroisoquinoline 13a from arylethylamide derivative 12a through the pathways A or B, with an asymmetric hydrogenation in presence of an iridium catalyst (pathway C) [19,20], which reduces the intermediate to tetrahydroisoquinoline 14a [21]. In the second one, as reported by Feringa and coworkers, the enantioselective synthesis is achieved via iridium-catalyzed asymmetric intramolecular allylic amidation of derivative 12b to provide the tetrahydroisoquinoline 14b through the pathway D (Scheme 4 down) [21,22].
Scheme 4.
Key enantioselective steps for the synthesis of almorexant.
Seidel brought to light a procedure that can be considered as a redox variant of classic P-S reaction [23]. Seidel and coworkers discovered that indole aldehyde 15 engage cyclic amines 16, such as THIQ, pyrrolidine or proline esters, at a high temperature under microwave conditions to form the corresponding ring fused products 17 in moderate to good yields and in short times (Scheme 5). The addition of appropriate additives (e.g., carboxylic acids) and particular substrate combinations allowed for the reaction to occur at lower temperatures [24].
Scheme 5.
Redox annulation with concomitant formation of C-C bond.
Finally, the novel Lewis-acid catalyzed [3 + 3]-annulation process for the synthesis of THBCs 5a and THIQs 14c from sulfonyl aziridines 18 and readily available benzylic alcohols 19a and 19b (Scheme 6), can be a valuable complement to the more widely used Pictet-Spengler condensation [25,26].
Scheme 6.
Syntheses of 4-aryl-tetrahydro-β-carbolines and 4-aryl-tetrahydroisoquinolines from aziridines and benzyl alcohols.
In spite of a fierce competition, the P-S cyclization maintains the role of a protagonist, enriching the chemical literature with examples of its versatility. If we take into consideration for an update the five years (2011–2015) following the one-century birthday, we can highlight that the reaction is still active in the syntheses of biologically relevant benzoannulated nitrogen heterocycles.
3. Update (2011–2015) of Pictet-Spengler Reactions
I think it’s timeTo do an update(Roger Turner)
3.1. Tetrahydroisoquinolines and Tetrahydro-β-Carbolines
Several substituted THIQ [27,28,29,30,31,32,33,34,35,36,37,38,39,40] and THBC [41,42,43,44,45,46,47,48,49,50,51,52,53,54,55,56,57,58,59,60,61,62,63,64] have been designed, synthesized via P-S cyclization, and evaluated for their biological activities. The list comprehends aminopeptidase N (APN) inhibition [27], multidrug resistance reversal effect [28], cytotoxicity against K562 [29], non-saccharide activators of antithrombin [31], anticoagulants [32], microtubule disruptors for antiproliferative activity [33,34], cytotoxicity against MOLT-3 [35] or HepG2 [36] cell lines, and the inhibitory activity towards cisplatin-insensitive cell line Skov3 [37] or the growth of Mycobacterium tuberculosis [39] for THIQ. For THBC, the inhibition of topoisomerase II [41], the oncogenic RAS-lethality [47], and the antimalarial activity of spirocyclic structures [44,45,46,56,60] were the most studied biological properties.
Chiral catalysts derived from BINOL [40,44,45] and SPINOL [49] (phosphoric acids and thiourea derivatives) stand out among the usual Brønsted acids: TFA [35,42,47,57], HCl [58], 1,1,1,3,3,3-hexafluoro-2-propanol (HFIP) [59], 2,4,6-trichloro-1,3,5-triazine (TCT) [54], H2SO4 [50], MeSO3H [52], TsOH [58], and mild catalysts, such as phosphate buffer [30,39] and microwave irradiation [61].
N-substituted aryl ethylamines 20 [27,31,35,36,39,40], allene-containing-tryptophan 21 [42], trifluoromethylated precursors 22 [55], and spirocyclic lactams embodying Trp 23 [56] were the most interesting amine substrates. Conversely, isatins 24 [44,45,46], enaminone 25 [52], (S)-2,3-O-isopropylidene-L-glyceraldehyde 26 [53], pyridoxal 27 [60], L/D-amino aldehydes 28 [57,63], and 11C-labeled formaldehyde 29 [58] were the most notable carbonyl components (Figure 1).
Figure 1.
Amine (20–23) and carbonyl (24–29) substrates of P-S reactions, leading to tetrahydroisoquinolines (THIQs) and THBCs.
We wish to highlight few papers concerning the P-S cyclization of THIQs [32,33,34,35,36] and THBCs [38,43,51,55]. In the first one, the authors described three complementary high yielding syntheses of electronically rich 1,2,3,4-tetrahydroisoquinoline-3-carboxilic acid (THIQ3CA) esters 33, which were based on glycine donors including hydantoin Pr-a, (±)-Boc-α-phosphonoglycine trimethyl ester Pr-b, and (±)-Z-α-phosphonoglycine trimethyl ester Pr-c (Scheme 7). Following this approach, a focused library of N-arylacyl, N-arylalkyl, and bis-THIQ3CA analogs 34 was synthesized [32].
Scheme 7.
Synthesis of anticoagulants by a glycine donor strategy.
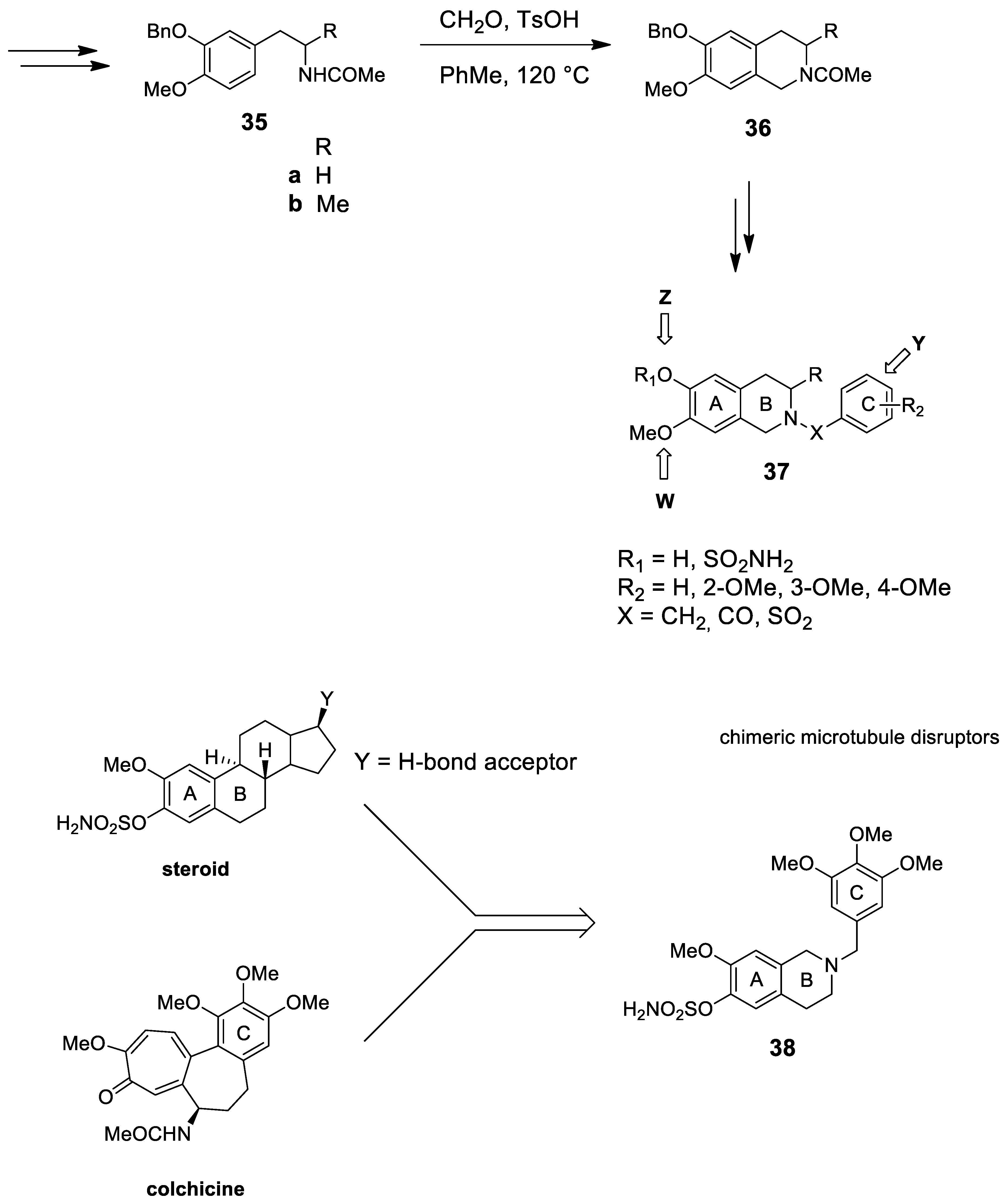
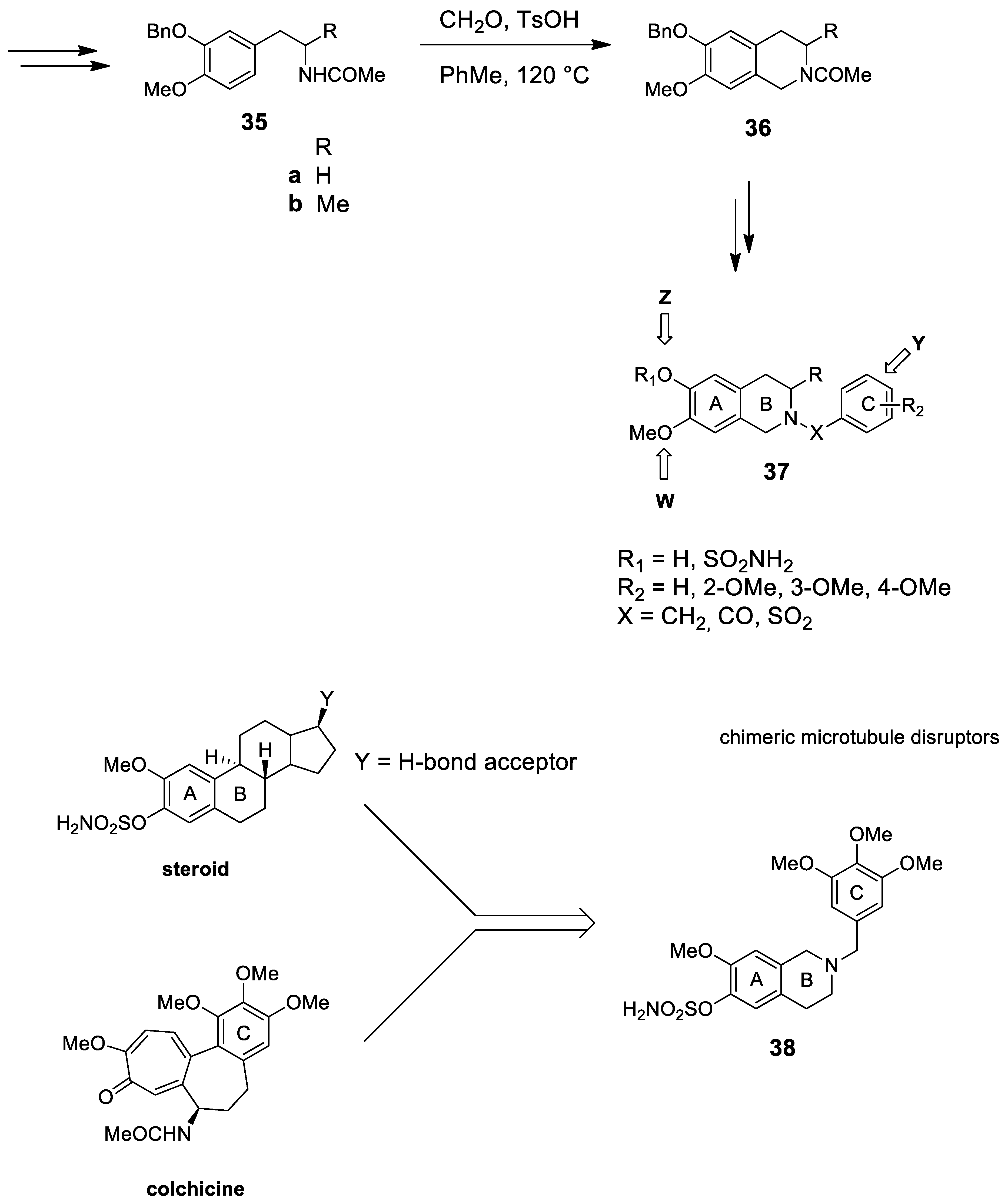
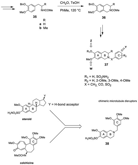
Potter and coworkers developed a new series of anticancer agents by translating the key elements of steroidal pharmacophores into alternate scaffolds. The authors synthesized 6-benzyloxy-7-methoxy tetrahydroisoquinoline 36 via the key P-S reaction (Scheme 8, up), and then connected the steroid A/B ring mimicking THIQ core to monomethoxybenzyl ring through methylene [33,34], carbonyl [34], and sulfonyl linkers X [34], to provide the desired putative steroidomimetic 37. Finally, the optimization of the representative 37 trough conformational biasing delivered a new series of microtubule disruptors with a 10-fold gain in antiproliferative activity [33]. Linkage of the THIQ-based A/B-mimic 36 with the trimethoxybenzyl motif that is prevalent in colchicine disclosed a series of chimeric molecules 38 (Scheme 8, down), whose activities surpass those of parent steroid derivatives [34].
Scheme 8.
Steroidomimetic and chimeric scaffolds embodying THIQs.
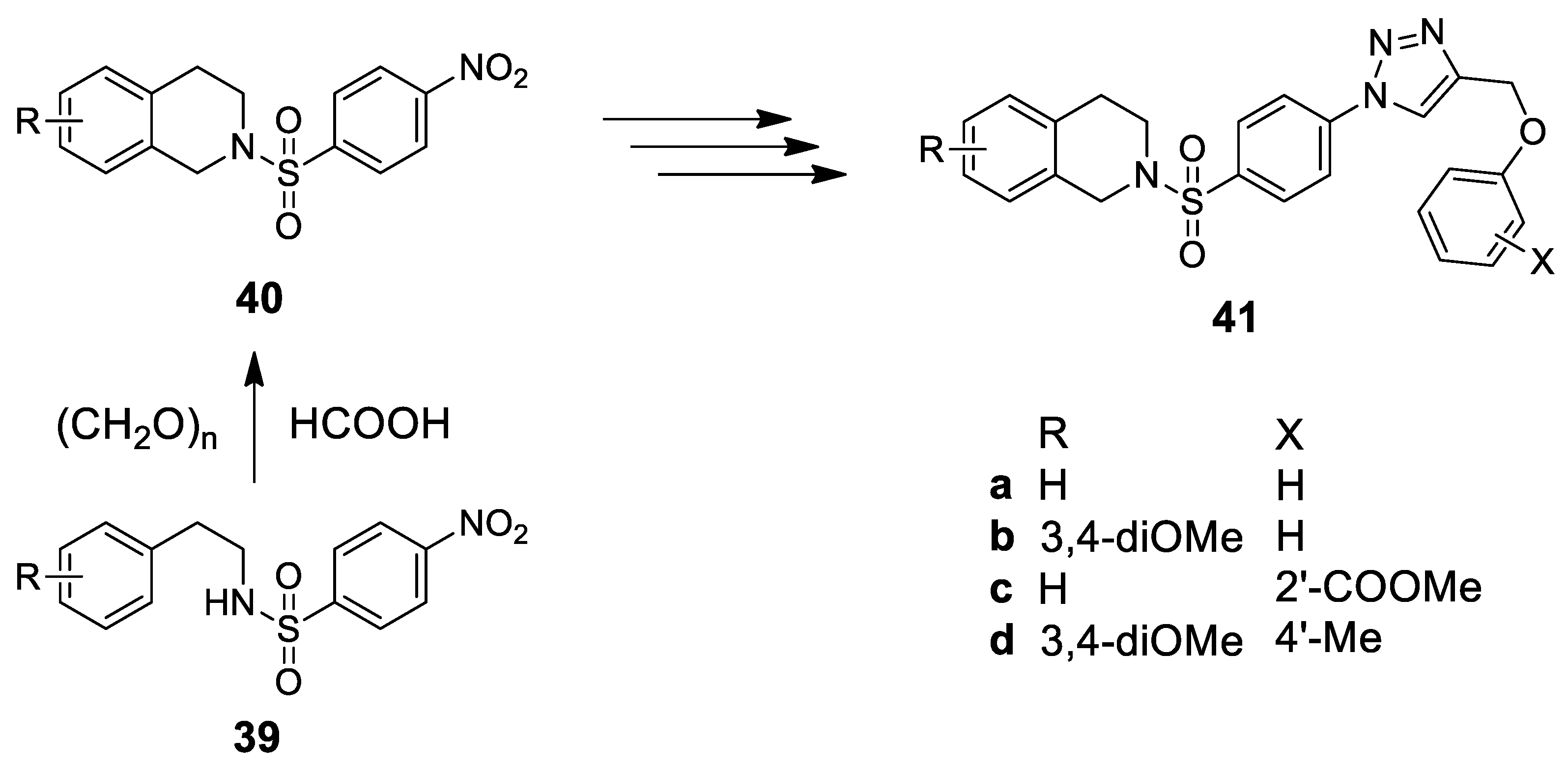
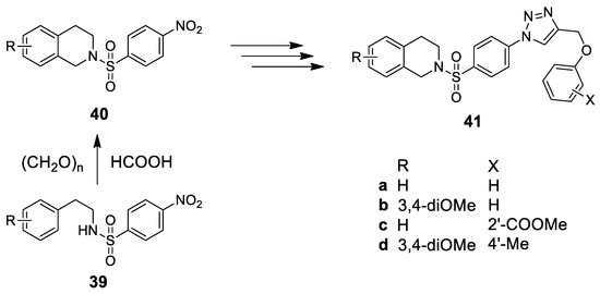
Studies on the quantitative structure-activity relationship (QSAR) of N-benzenesulfonyl THIQ analogs 41 revealed the toxicity of several compounds against MOLT-3 cell lines (Scheme 9). The sulfonyl group was expected both to increase the electrophilicity of the iminium intermediate and to govern the bioactivity [35,36].
Scheme 9.
Synthesis of 1-substituted-N-benzene sulfonyl THIQ analogs for quantitative structure-activity relationship (QSAR) studies of toxicity.
The structures of N-methyl-6-hydroxy-1,2,3,4-tetrahydro-β-carboline (42) and 3,4,5,6-tetrahydro-7-hydroxy-5-methyl-1H-azepino[5,4,3-cd]indole (cimitrypazepine, 43), which were isolated from the root-extract of Cimicifuga racemosa (black cohosh), were confirmed by comparing the mass fragmentations with those of P-S adducts that were synthesized by the condensation of Nω-methyl serotonin and formaldehyde via a pH-guided nucleophilic attack to different sites (Scheme 10) [48].
Scheme 10.
pH-Driven syntheses of P-S adducts constituent of black cohosh.
Conformationally locked allene-containing THBC (not shown), which was generated from the corresponding tryptophan derivative 21 via P-S cyclization, was subjected to cycloisomerization reaction to give tetrahydroindolizinoindole 44a. The functionalization of 44a with an alkyne and [2+2] cycloaddition of the allene-yne provided the tetrahydro-β-carbolinecyclobutanes 44b, while cyclocarbonylation afforded α-methylenecyclopentenones 46d (Scheme 11) [51].
Scheme 11.
Synthesis of a library of THBC-containing compounds selected and evaluated in silico.
A library of 34 THBC-containing compounds (46), including the N-tosyl derivatives 46b, was synthesized utilizing a skeletal diversification strategy. In silico screening directed these compounds to the appropriate biological targets [51].
A model P-S condensation of tryptophan (Trp) and [11C]formaldehyde in neutral or acidic medium (TsOH or HCl) afforded the desired [1-11C],2,3,4-tetrahydro-β-carboline-3-carboxilic acid [1-11C]Tpi. Analogously, Trp·HCl-containing (RGD) peptide cyclo[Arg-Gly-Asp-D-Tyr-Lys] 47 successfully gave the labeled [1-11C]-containing RGD-peptide 48 (Scheme 12) [58].
Scheme 12.
Synthesis of a radiolabeled RGD peptide containing [1-11C],2,3,4-tetrahydro-β-carboline-3-carboxilic acid, prepared trough a P-S reaction.
Some references on P-S-driven synthesis of THIQ [38,40] and THBC [43,45,53,55] have been cited and/or discussed in other reviews [65,66].
3.2. Polyheterocycles
The THIQ/THBC motif does not only occur as a simple mono- or plurisubstituted ring system as in salsolinol (5,6-dihydroxytetrahydroisoquinoline) or Tcc (tetrahydro-β-carboline-3-carboxilic acid), but it can be fused with an additional five-membered (e.g., crispine A and/or harmicine) or 6-memberd ring (e.g., ISA-2011B, 1-indol-3-yl-6,7-methylenedioxy-1,2,3,4-THIQ diketopiperazine). The construction of fused rings on the THIQ or THBC skeleton is a key step in most of the total syntheses of natural products (isoquinoline and indole alkaloids), such as ecteinascidin 743 (ET-743) and yohimbine (Figure 2), which will be updated in the next section (vide infra).
Figure 2.
Different chemical structures containing THIQ/THBC motifs, with substituted or fused rings.
The additional ring can be an aromatic ring as in protoberberines 53 [67,68], a pyrrole nucleus as in pyrroloisoquinolines (55 [69,70]) and phenanthroindolizidines (50 [71,72]), a piperazine or a diketopiperazine fused ring, as in phenathroquinolizidines 51 [72] and THIQ analogs 65 [73].
Phenanthroindolizidines (50 [71,72]), phenanthroquinolizidines (51 [72]), tetrahydroprotoberberines (53 [67,68]), pyrroloisoquinolines (55 [69,70]), and diketopiperazine-fused THIQs (65 [73], vide infra) embody the tetrahydroisoquinoline skeleton, while indolizinoindoles (57 [74,75]), THBC-imidazolinediones (59 [76]), THBC-piperazinedione (61 [77,78]), the tetracyclic indole alkaloids (S)-harmicine (pyrrole-fused THBC, [66,79]), and (S)-eleagnine (1-methyl THBC, [66,80] represent the THBC-containing polyheterocycles. The additional ring can be already present in the imine substrate before the P-S reaction (type A) or can be built on the THIQ/THBC skeleton exploiting the functionality of some substituents (type B). The concomitant ring-closures of the dihydropyridine and the additional ring are also feasible (type C).
Palladium-catalyzed annulation of highly methoxy-substituted 2,2′-diiodobiphenyls with alkynes provided phenanthrene derivatives 49a, 49b, and 49c, which were transformed into phenanthroindolizidines (n = 1) 50a (R1, R3 = OMe, R2 = H) and 50b (R1, R3 = H, R2 = OMe), and phenanthroquinolizidine (n = 2) 51 (R1, R2 = H, R3 = OMe) by a P-S reaction (Scheme 13) [71]. Conversely, 13a-methylphenanthroindolizidine (n=1) 50c (R1 = OMe, R2 = R3 = H; Scheme 13) was obtained by an enantioselective approach, including inter alia, an efficient stereoselective Seebach’s alkylation and P-S cyclization [72].
Scheme 13.
Phenanthroindolizidine (50) and phenanthroquinolizidine (51) alkaloids from phenanthrene derivatives via P-S cyclization.
The participation of a sulfinyl group in an ipso electrophilic aromatic substitution reaction was the key step of the syntheses of (S)-(−)-xylopinine 53a [67] and successively of (S)-(−)-tetrahydropalmatine 53b and (S)-(−)-canadine 53c [68], natural products that belong to the tetrahydroprotoberberine alkaloids class (Scheme 14).
Scheme 14.
Protoberberine alkaloids via a sulfinyl directed P-S cyclization. * indicated the different conditions used for the reaction, reported in the bottom part of the scheme.
BINOL-derived chiral Brønsted acids catalyze the intramolecular α-amido alkylation of a tertiary N-acyliminium ion containing a dimethoxylated phenyl ring as internal π nucleophile. The use of sterically congested BPA-4 (see Scheme 33) was determinant in obtaining good level of enantioselectivity for the pyrrolo[2,1-a]isoquinoline 55 (Scheme 15, up) [69].
Scheme 15.
Pyrrolo[2,1-a]isoquinolines 55 and indolizinoindoles 57 as examples of previous extra ring closures.
Novel chromeno[4,3-b]pyrroles 56 were synthesized by intramolecular 1,3-dipolar cycloaddition. A subsequent P-S cyclization in the presence of p-TsOH yielded indolizino [6,7] indoles 57 (Scheme 15, down). Chromenopyrroles and indolizinoindoles were both evaluated for their antimicrobial and antioxidant activities [75].
In a type B building example, the four diastereomers (1R,3R; 1S,3S; 1R,3S; 1S,3R) of the 1,3-substituted THBC 59 were synthesized by a non-stereoselective P-S reaction to give the corresponding hydantoin derivatives 60a–d (four diastereomers for each substituent R) by treatment with ethyl-, butyl-, tert-butyl-, and allyl-isocyanate. Conversely, the piperazinedione polycycles 62ab (two diastereomers from (S)-cis and (S)-trans 60) were prepared through the chloroethanone derivatives 61ab (Scheme 16). The inhibitory activity on phosphodiesterase 5 (PDE5) of all the synthesized compounds was evaluated by structure-activity relationship (SAR) studies [76].
Scheme 16.
Synthesis of THBCs -with a pendant bromothienyl moiety- and their derivatives (imidazolidinone, piperazinedione, and chloroethanone) with PDE5 inhibitory activity.
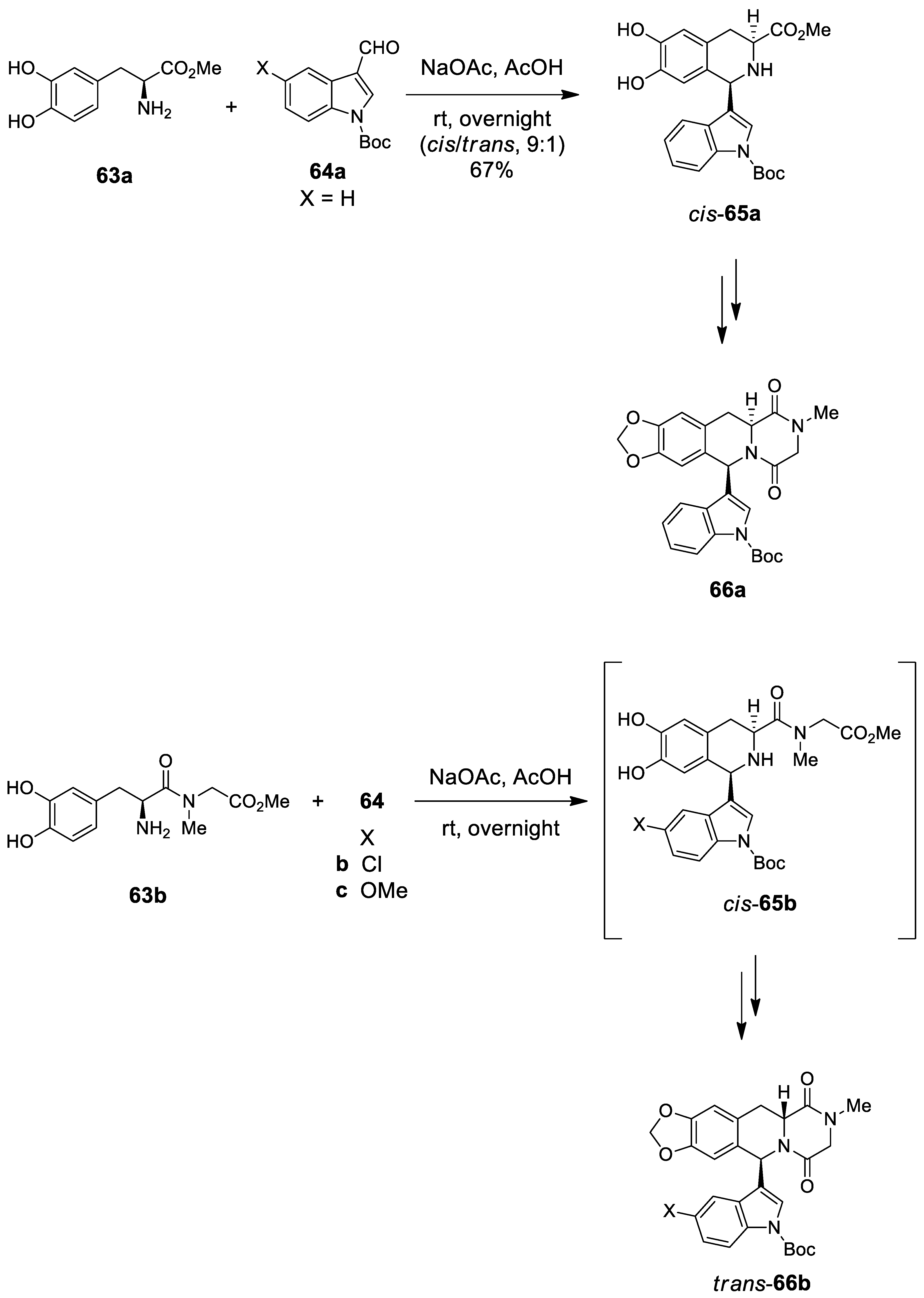
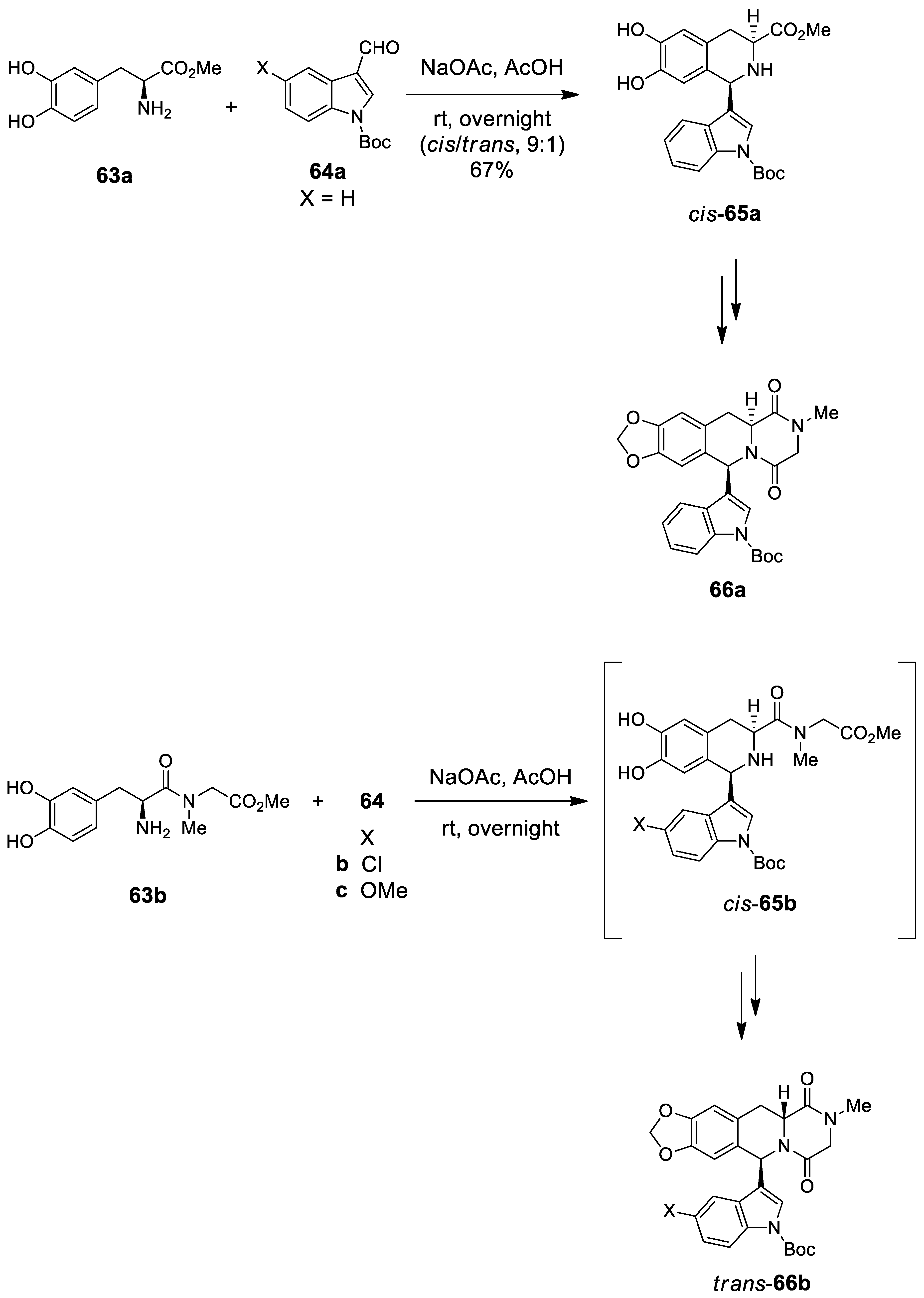
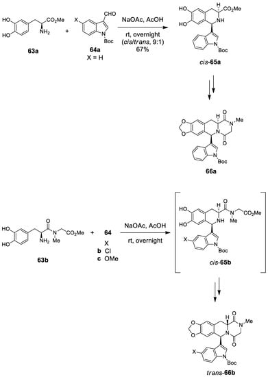
A protocol for the P-S condensation between the methyl ester of L-DOPA 63a and various N-Boc protected 1H-indole-3-carbaldehydes 64a gave C-1 indol-3-yl substituted THIQs 66a as a mixture of isolable cis/trans diastereomers in good yield. Following a Type-A procedure, the THIQ products 65a can be in turn transformed into optically active diketopiperazine fused analogue 66a. Alternatively, compounds 66b were directly prepared drom L-DOPA derivative 63b by condensation with N-Boc protected 1H-indole-3-carbaldehydes 64b without isolation of the P-S precursors 65b (Scheme 17) [73].
Scheme 17.
Synthesis of diketopiperazine fused THIQ derivatives through type A and C procedures.
The type C procedure foresees two simultaneous ring closures, as in the enantiospecific and stereo-selective P-S bis-cyclization between (R)-(−)-methyl-2-amino-3-(3,4-dimethoxyphenyl-propanoate 67 and 4-chloro-1,1-dimethoxybutane 68 preferentially, which provided the cis-tricyclic adduct 69 precursor of the natural product (+)-crispine A (Scheme 18). The unnatural antipode (−)-crispine A was similarly prepared from the commercially available (S)-(+)-amino acid ester [81].
Scheme 18.
Concise enantiospecific stereoselective synthesis of (+)-crispine A.
Two advanced hexahydropyrrolo[2,1-a]isoquinoline intermediates 71, which incorporate two different halides for diversification, were synthesized through an oxidative cleavage/P-S cyclization sequence in high overall yields. The developed protocol was utilized to construct a 20-membered natural product-like molecular library (72, Scheme 19 up) [70].
Scheme 19.
Double ring closure in THIQs and THBCs with an extra fused 2-pyrrolidone nucleus.
An asymmetric or racemic diastereoselective reaction afforded indole alkaloids 74 via P-S reaction with short reaction times under solvent- and catalyst-free microwave irradiation (Scheme 19 down) [74].
3.3. Total Synthesis of Complex Alkaloid Natural Products
The two privileged nuclei, THIQ and THBC, can be embodied, even in the number of two or three units, into the framework of polycyclic complex structures as those reported in Figure 3. The total syntheses of structurally diverse compounds, all being endowed with a host of biological activities, include in most cases a step overcome by P-S methodology.
Figure 3.
Targets of the total syntheses of THIQ/THBC-containing isoquinoline and indole alkaloids.
In Table 1, the target products of multi-step syntheses are summarized together with some information on the P-S cyclization as well as on the type of related natural products.
Table 1.
Pictet-Spengler reaction in total synthesis of natural products.
(2011) Cyclization of 3-arylidene-6-methylpiperazinedione 75 with 2,2-diethoxyethyl benzoate afforded in two steps the P-S-adduct 76 as a single isomer (Scheme 20). The lactam 76 was used to construct the pentacyclic key intermediate framework (not shown) [82] and achieve the total synthesis of cribrostatin 4 [83] and renieramycin G (Figure 3) [84,85].
Scheme 20.
Construction of the core ring system of cribrostatin 4 via P-S cyclization.
- in the total synthesis of (±)-hamayne (Figure 3) the C-1 methylene was introduced via a P-S reaction at the end of 13 steps, just before deprotection of hydroxyl groups [86];
- the total synthesis of γ-licorane (Figure 3) was also completed by a P-S ring closure [87]; and,
- the asymmetric total synthesis of (−)-saframycin A (Scheme 21) from L-tyrosine involved stereoselective intramolecular and intermolecular P-S reactions to induce the correct stereochemistry at C-1 and C-11, respectively [88].
Scheme 21. Asymmetric total synthesis of (−)-saframycin A by two P-S ring closures.
(2012) The key intermediate 81, containing the THBC ring of mitragynine, paynantheine, and speciogynine (Scheme 22), was constructed via an enantioselective thiourea-catalyzed P-S cyclization involving the tryptamine derivative 79 and the aldehyde 80 [89].
Scheme 22.
Enantioselective thiourea-catalyzed P-S reaction in the route to corynantheidine alkaloids.
- Aldehyde 83, as obtained from protected glutaraldehyde, is condensed with tryptamine (P-S reaction, TFA) to form the pentacyclic THBC 84, a precursor of tangutorine (Scheme 23) [90].
Scheme 23. Total synthesis of tangutorine via P-S cyclization from monoprotected glutaraldehyde. - A thermodynamically controlled P-S reaction for the formation of the tetrahydroisoquinoline skeleton is among the steps that lead to the efficient and convergent total synthesis of (−)-lemonomycin (Figure 3) [91].
(2013) The tetracyclic core of lemonomycin (Figure 3) was synthesized from a known substituted tyrosinol through a 16-step sequence, which involved the P-S reaction inter alia [92].
In the first total syntheses of C-3 epimeric natural products venenatine and alstovenine (Scheme 24), the stereochemistry at C-3 of the yohimbinoid skeleton was effectively controlled in a P-S cyclization utilizing an aminonitrile intermediate [93].
Scheme 24.
Divergent synthesis of alkaloids alstovenine and venenatine through P-S reaction.
- 24 compounds with diversified 3-aryl acrylic amide side chains of the simplified saframycin-ecteinascidin pentacyclic skeleton (Figure 3) were synthesized via a stereospecific route, starting from L-DOPA [94,95].
- In the framework of the synthesis of indole alkaloids such as the monomers (+)-locknerine, (+)-spegatrine, and the dimer P-(+)-dispegatrine (Figure 3), the mixture of cis/trans products from the P-S reaction was converted by treatment with TFA into the desired trans isomer [96].
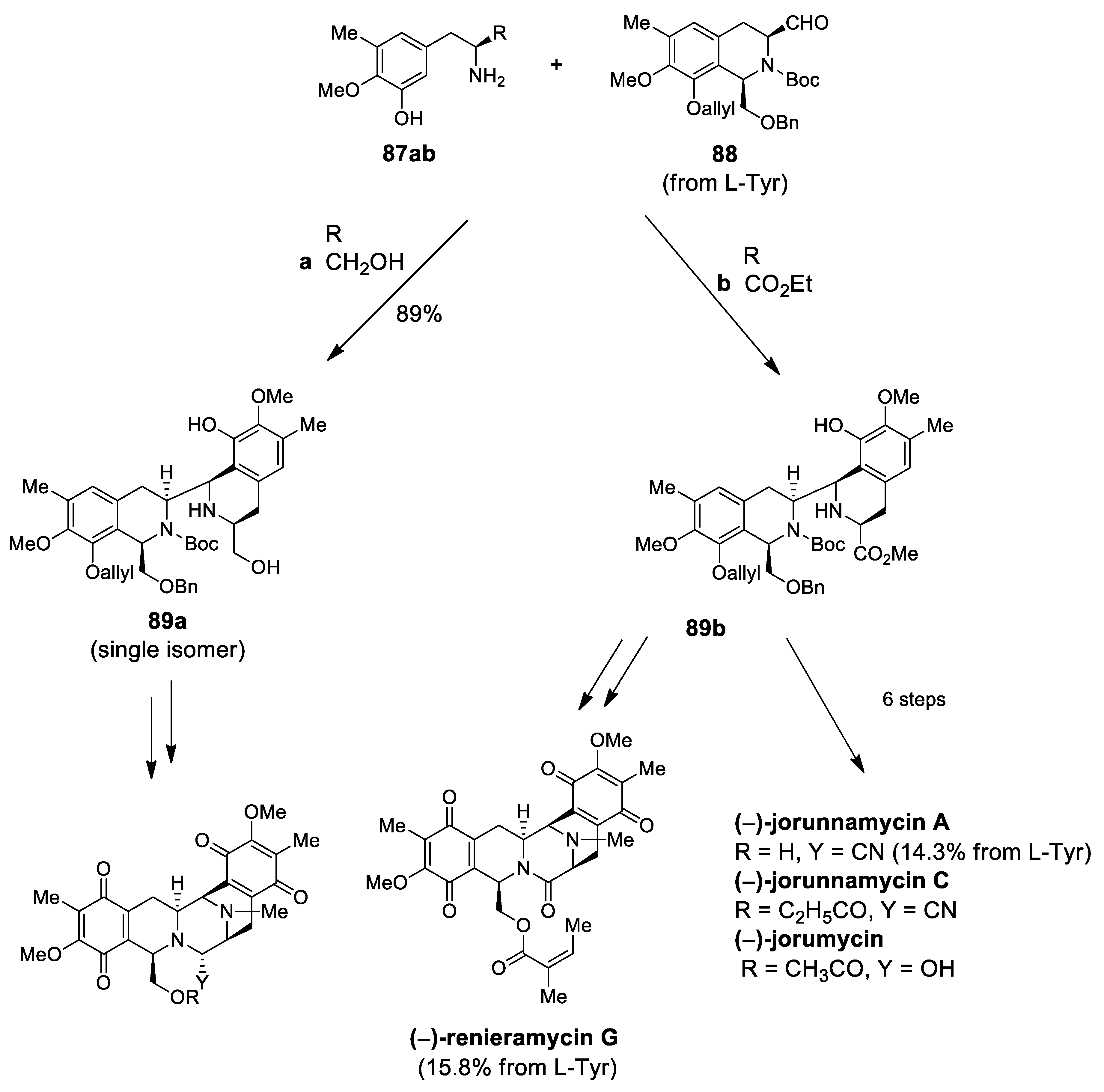
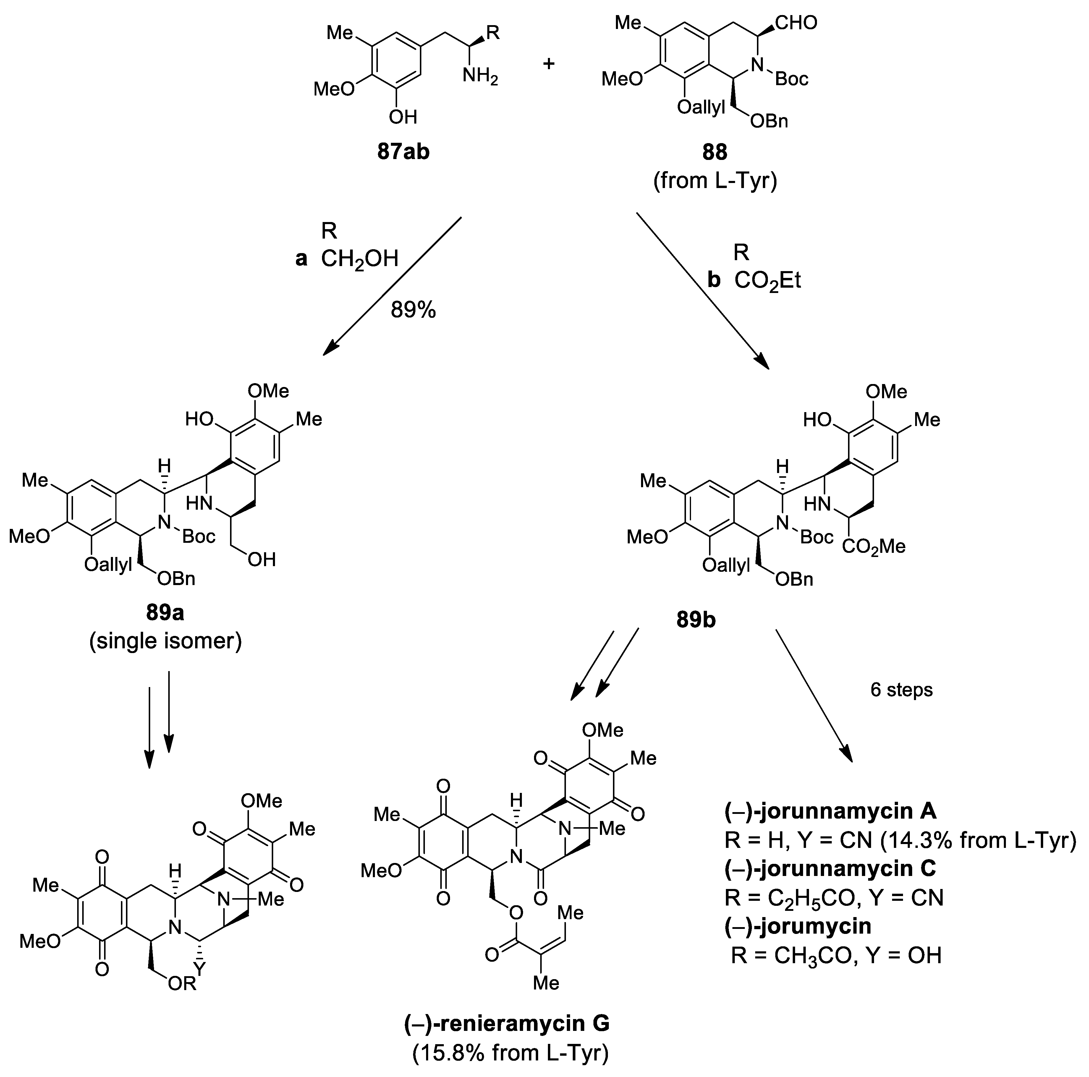
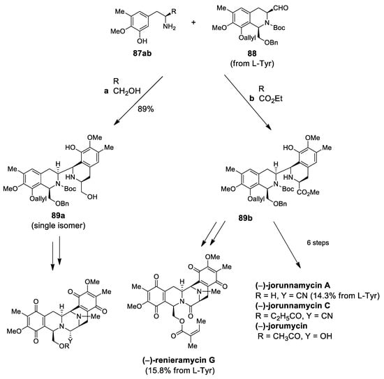
(2013–2014) Three renieramycin type anticancer alkaloids, jorunnamycins A and C, and jorumycin, were synthesized by a new convergent approach, which couples for a highly regio- and stereo-selective P-S cyclization tryptamine 87a and tetrahydroisoquinoline 88 to provide the intermediate 89a as a single isomer (Scheme 25, up) [97].
Scheme 25.
Synthesis of renieramycin-type alkaloids via stereoselective cyclization to P-S adducts.
Conversely, a temperature-dependent stereoselective P-S reaction of amino ester 87b and aldehyde 88 afforded the cyclization product 89b; the subsequent deprotection and the lactamization of this compound were the protagonists of a flexible protocol for the asymmetric synthesis of antitumor alkaloids (−)-jorunnamycin A and (−)-renieramycin G (Scheme 25, down) [95].
(2013) O-Triflation of indolyl derivative 90, followed by the addition of DIBAL-H and wet Et2O-Rochelle salt work-up, gave the crude hemiaminal lactol, which, after quick treatment with wet DCM, underwent triflic acid elimination and P-S cyclization to afford the pentacyclic vinylogous ester 91. The removal of the N-tosyl group and N-methylation of 91 ended a concise synthesis of the macroline-related alkaloid (±)-alstonerine (Scheme 26, up) [99].
Scheme 26.
P-S cyclization as a key step in the synthesis of (±)-alstonerine (up) and erysotramidine (down).
(2014) The key steps of the synthesis of erysotramidine included two oxidative dearomatization processes that were mediated by a hypervalent iodine reagent, a novel tandem aza-Michael rearomatization, a P-S cyclization (92➔93) to produce the main tetracyclic system and the final stereoselective ketone reduction (Scheme 26, down) [100,101].
(2014) In a P-S type reaction, the electrophile 94 and the π-nucleophile 95 gave the tetracyclic intermediate 96, which can be converted into the pentacyclic precursor 97 of the total synthesis of the indole alkaloid (±)-actinophyllic acid (Scheme 27) [102].
Scheme 27.
Lewis acid catalyzed cascade: key step in the total synthesis of (±)-actinophyllic acid.
(2014–2015) Saito and coworkers presented an alternative large-scale approach for the total synthesis of cribrostatin four analogs, as well as C3-C4 unsaturated bis-p-quinone derivatives, such as renieramycin I. According to the results of previous studies [103], the treatment of the readily available compound 98 with trimethylsilyl chloride (TMSCl) in DCM in the presence of triethylamine afforded lactam intermediate 99, which, in turn, treated with 2,2-diethoxyethyl benzoate in the presence of trimethylsilyl triflate (TMSOTf) and Ac2O gave the P-S product 100 as a diastereomeric mixture (a/b: 10/3) in 92% yield (Scheme 28) [104]. The conversion of the diketopiperazine THIQ 100 into unsaturated compound 101 was the first key step of the synthesis of renieramycin I and cribrostatin 4 (Figure 3) through the intermediate 76 (see Scheme 20).
Scheme 28.
Construction of tricyclic unsaturated intermediate 102 in the synthesis of renieramycin I and cribrostatin 4.
(2011) The P-S reaction got a lead role in the total syntheses of (+)-yohimbine [105], (−)-corynantheidine [106,107], (+)-corynantheine, and (+)-dihydrocorynantheine [107] (active as antimicrobial against Staphylococcus aureus-induced infections [109]), which have been reviewed in Todd’s paper [65]. Analogously, the total synthesis of (−)-affinisine oxindole [108] was reported previously in the paper of Dalpozzo [66].
4. Dressing with Fashionable Clothes a Classic Reaction
Not to be old fashionedI’ll put something red(Emily Dickinson)
In the second century on stage, the P-S cyclization maintains its peculiar chameleonic quality, but to remain at the limelight needs to join the forces with in-fashion allies, such as the support of solid phases, the push of new catalysts, and mainly the impulse of new habits, such as the cascade sequences and the multicomponent reactions (MCRs).
4.1. A New Scenography: Updating the Solid Phase Strategy
Advances in support, protecting group strategies, and extensive optimization of chemical methodology have expanded the scope of solid phase chemistry from mere peptide preparation to the synthesis of pharmacologically relevant small molecules [110,111,112], as well as the total synthesis of natural products and their analogues [113,114]. Different versions of P-S reaction have found application in a procedure, where the solid-phase support can be chosen to modulate the reactivity of the three functional groups (aldehyde, amine, and aromatic nucleophile) [115].
In 2009, a paper from Nielsen et al. reviewed the methods used to generate N-acyliminium ion intermediates on solid support and gain access via the intra- or intermolecular P-S condensation products to diverse structures [116].
Meldal and coworkers focused on solid phase variants of the P-S reaction as rich sources for the construction of polyheterocyclic scaffolds. The authors synthesized pyrroloisoquinolines [117], bicyclic dipeptide mimetics [118], and polycyclic compounds containing THIQ, THBC, or analogous motifs [119]; they successfully applied the methodology to the formation of a range of (5,6,5)-, and (6-6-5)-fused heterotricyclic ring systems [120].
In the 2011–2015 year range, only two papers concerning an approach in solid phase of the intramolecular P-S reaction appeared [121,122]. In the first one by Chanda et al., polyethylene glycol-immobilized tryptophan ester 102 was combined with a variety of ketones by reflux in acidic chloroform, to give soluble polymer-supported THBCs in good yields [121]. Amination of the Nb-chloroacetamide that was obtained by treatment with chloroacetyl chloride, followed by intramolecular cyclization and cleavage of the polymer, finally led to the costruction of a tetracyclic architecture. The reactions and the following synthesis of biologically promising diketopiperazine-fused THBC structures 103 are resumed in Scheme 29 [121].
Scheme 29.
Synthesis of diketopiperazine-fused THBCs on soluble polymer support.
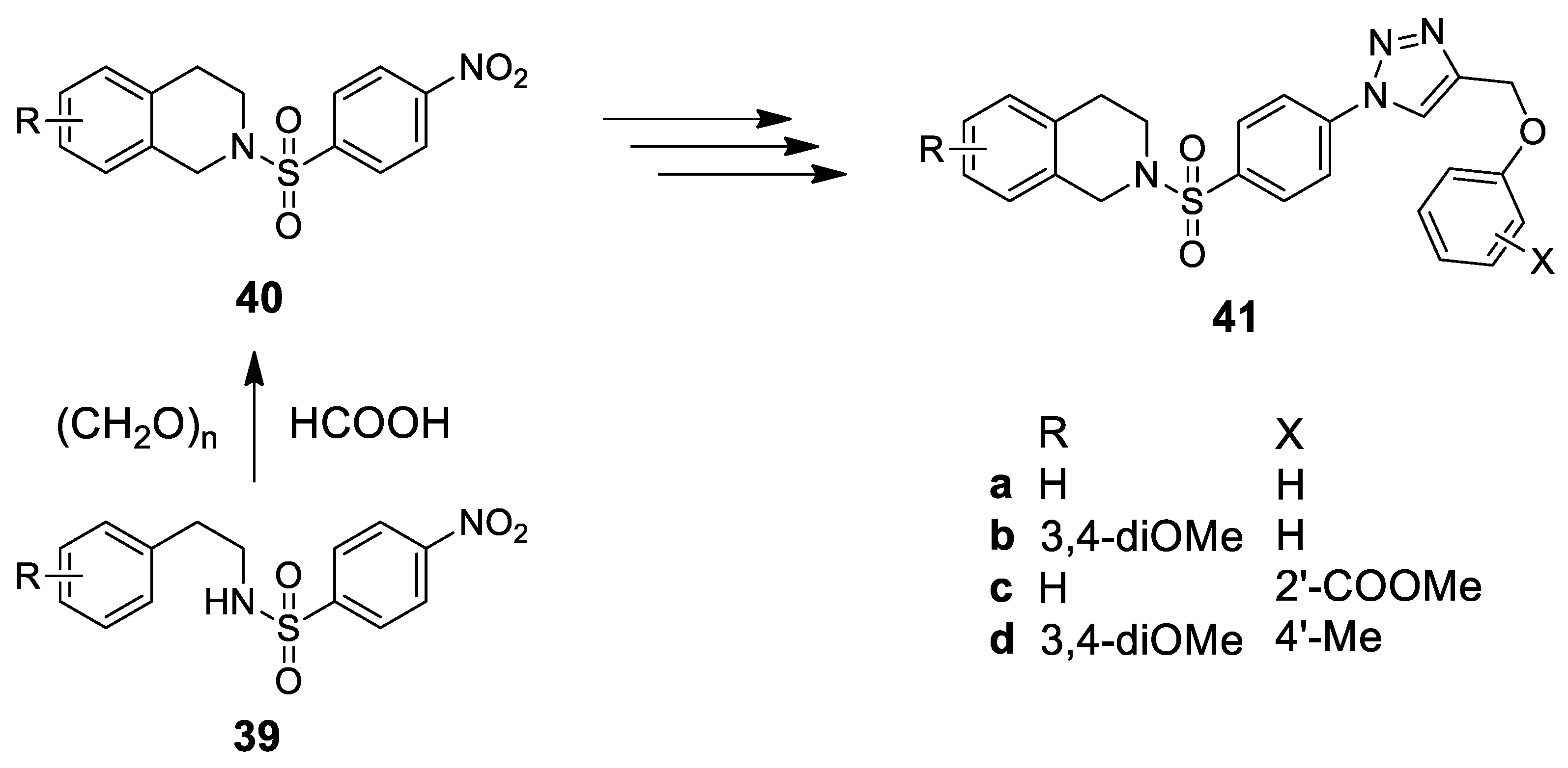
Another process (by Nielsen et al., 2012) relies on an efficient ketone-amide condensation, starting from γ-ketocarboxylic acids, immobilized on a solid support as 104. Substrates, by treatment with a mild acid (HCOOH, the more efficient after a screening), generate the N-akyliminium ions, which undergo P-S type cyclization (Scheme 30) [122]. The cascade sequence afforded in a high stereoselective fashion pure products 106 after cleavage from the resin. The combination of various γ-ketoacid amides with a range of nucleophiles, including electron-rich aromatic (as 3,4-dimethoxy substitution for 106a) and heteroaromatic rings (as indole nucleus for 106b), led to a library of a range of pharmaceutically interesting heterocyclic scaffolds with exclusive diastereocontrol of the junction stereocenters [122].
Scheme 30.
Intramolecular solid-supported amide ketone cyclization for the synthesis of heteropolycycles.
4.2. Ruthenium-Catalyzed N-Acyliminium Cyclization
(2011) The Nielsen group developed the synthesis of indolizinoindoles 110, starting from the ruthenium alkylidene catalyzed tandem ring closing metathesis (RCM) of dienes 107 via N-acyliminium intermediates 109 (Scheme 31, up). In the case of indole substitution (107a) and five-membered ring (n = 0), the corresponding unsaturated lactams 108β and 108α are formed after a RCM and subsequent isomerization, respectively. The successive protonation or reaction of 108α with Ru+ gave the reactive N-acyliminium species 109, which were finally trapped by the tethered nucleophile to give the THBC tetracycle 110a (n = 0). The homologous indole-based substrates 107a (n = 1; n = 2) underwent RCM reactions, but not further conversions into THBCs, being required the conjugation of the double bond that formed in the RCM step with the lactam carbonyl. Hoveyda–Grubbs catalyst HG-I (at 5 mol%, in m-xylene at reflux) gave the cleanest and highest conversion 107a (n = 1, 2)➔110a (95%; n = 1, 2). The trimethoxybenzene derivative 107c (n = 1) also underwent the tandem reaction sequence to provide the tetrahydroisoquinoline derivative 110c in good yield (64%, Scheme 31, down). By contrast, the conversion of substrate 107d or other substrates bearing a heterocycle moiety (not shown) required the successive addition of TFA (1 eq.) and further 2 h heating to give the tricycle product 110d (or the other corresponding cyclization products) in 98% yield and diastereomeric ratio > 20:1, or the other cyclization products [123].
Scheme 31.
Ruthenium-catalyzed RCM/isomerization/N-acyliminium cyclization tandem sequence.
(2012) As disclosed earlier, Nielsen and coworkers performed the metal-catalyzed isomerization of N-acyl-N-allyl tryptamines that were previously described (Scheme 32, down) [124].
Scheme 32.
Ruthenium hydride/Brønsted acid-catalyzed synthesis of THBCs (up) and THIQs (down).
(2013) In a third step, ruthenium hydride RuHCl-(CO)(PPh3) was found as an effective promoter of the isomerization 111β➔111α since the Wilkinson’s catalyst [124] was no more efficient for the isomerization of the double bond of acylated allylamines 111. The combination of the ruthenium catalyst (10% mol) together with the chiral phosphoric acid (PhO)2PO2H (30% mol) proved to be the most efficient for the transformation of the allylic amides 111ab into THBCs 112ab, but high temperature (toluene at reflux) was needed for the completion of the reaction. Finally, the cyclic allylic amides 111cd, in optimized reaction conditions, gave the corresponding THBCs 112cd in 92% and 68% yields, respectively (Scheme 32) [125,126]. The treatment of other electron-rich aromatics, such as the cyclic allylic amides 113ab in the same conditions as before, afforded the corresponding tetrahydroisoquinoline derivatives 114ab, which were isolated in moderate yields (49–67%, Scheme 32) [125,126]. Notably, Nb-benzyl substituents in L-tryptophan derivatives proved to be more important than the Nb-acetyl groups for the diastereoselectivity in a substrate-controlled version of the above tandem sequence.
(2012) A ruthenium alkylidene complex and chiral phosphoric acid catalyzed an enantioselective version of the RCM/isomerization/P-S cascade process (Scheme 33 up). You et al. showed that the steric bulk of the substituent adjacent to the nitrogen in the allylic system was crucial for the high enantioselectivity [125]. Subsequently (2013), the authors established the optimal conditions for the reaction of N-1-naphthylmethyl protected substrate 115b: benzene as solvent, 0.5 mol% Hoveyda-Grubbs II (HG-II) and 5 mol % SPINOL-derived phosphoric acid (R)-SPA-5 as binary catalyst, and 4Å molecular sieves as an additive. Consequently, the yield and the ee of THBCs 117 were considerably increased (Scheme 33) [126].
Scheme 33.
Synthesis of indolizinoindole derivatives via ruthenium/chiral phosphoric acid sequential catalysis.
Toda and Terada described a similar enantioselective P-S type cyclization, catalyzed by ruthenium hydride complex and chiral phosphoric acid. Relay catalysis on protected arylethylamine 118 afforded the protected tetrahydroisoquinoline 119 (Scheme 34). The substitution pattern (R) of the aromatic ring, the bulky 9-anthranyl group of the chiral phosphoric acid catalyst, and the N-protecting group (PG) were surveyed and optimized [127].
Scheme 34.
Relay catalysis of protected arylethylamines.
4.3. All in One Pot
Bond formation via the intramolecular attack of N-acyliminium ion electrophiles by π-nucleophiles is a popular method for the construction of nitrogen-containing ring systems [128,129,130,131,132,133]. When N-acyliminium ion cyclization reactions are incorporated into cascade sequences, which are powerful strategies for the one-pot production of nitrogen-containing polycyclic ring systems emerge. At the beginning of the XXI century, the usual procedure for the synthesis of organic compounds, i.e., the stepwise transformation of the individual bonds in the target molecule, was being substituted by more efficient processes, where the readily available reactants are converted in a one-pot fashion into complex molecules. By a strict definition, a cascade reaction is a process in which multiple bonds are formed in sequence without changing conditions, adding reagents, or isolating intermediates. Most of the reported cascade sequences employ a single starting material, containing functional groups that are strategically positioned along a chain ending with an alkene moiety. The reactions enable two or more bond-forming and/or -cleaving events to occur in one vessel, where subsequent operations result as the consequence of the functionalities that formed in the previous step. The definition includes the prerequisite intramolecular to distinguish this reaction type from a multi-component reaction (vide infra). The cascade approach might assume different synonyms, such as tandem, domino, or one-pot and one-flask sequence, and it is also defined by the features of the key event, assuming the nuance of nucleophilic, electrophilic, cationic, anionic, pericyclic, radical, transition-metal catalyzed, enzymatic reaction, as well as being described as Heck reaction.
The main advantages of a cascade reaction in organic synthesis are given by reduction of time, labor, waste and resources, atom economy and the cleanliness of environmental tolerable procedures. Moreover, the process does not involve the workup and isolation of many intermediates and increases in efficiency bearing much complexity in effectively one step [128,129,130,131,132,133].
Pioneering papers from Padwa and coworkers connected the one-pot strategy with P-S chemistry [134,135,136,137,138]. Dixon and coworkers introduced gold (I) catalyzed reaction sequences, where the metal ion activates alkyne, alkene, and allene functionalities under mild conditions and at low catalyst loading [139,140]. For instance, the group developed a direct enantio- and diastereoselective condensation of tryptamines 1 with five- or six-membered-ring enol lactones 120a [140] or γ- and δ-keto esters 120b [141], in the presence of chiral Brønsted acids, such as (R)-BPA-1 (10 mol%) or (R)-[H8]-BPA-1 (Scheme 33). The tetracyclic products 121 were obtained in good overall yields (53–99%) and moderate to high enantioselectivities (68–99% ee) (Scheme 35 up). The reactions were mostly run in toluene with the temperature ramp [140,141]. Notably, the enantioselective cascade reaction of the enol lactones was compatible with an in situ gold (I)-catalyzed synthesis from alkynoic acids 122 [140], which had been shown to undergo P-S condensation with amine tethered π-nucleophiles 1, for the building of architecturally complex heterocycle structures 123 (Scheme 35 down).
Scheme 35.
Gold (I)- and/or chiral Brønsted acid-catalyzed P-S cyclization cascade reactions.
4.3.1. Au(I)-Catalyzed N-Acyliminium Cyclization Cascade
Historically, gold(I) complexes have emerged over the last decade as powerful tools for the synthesis of polyheterocyclic molecules. Au(I)-catalyzed reaction sequences have taken center stage due to the metal ion’s ability to activate various functionalities under mild conditions and at low catalyst loading. Moreover, the gold tolerance to oxygen, moisture, and many functional groups is very high, and this makes this metal an ideal candidate for the development of tandem catalytic strategies. The chemistry of gold-catalysis has been reviewed during the years from several papers [142,143,144,145,146].
After the research of Dixon et al. [139,140,141], several papers [147,148,149,150,151,152,153,154,155,156,157,158,159,160] nourished the gold-fashion version of P-S cyclization in the years between 2011 and 2015.
(2012) Liu and Zhang reported a gold catalysis-triggered cascade reaction, where the formamide 124a (indole, R = H) gave, in presence of iPrAuNTf2 or BrettPhosAuNTf2 (5 mol %, as catalyst) and TFA (as acid additive) in the optimized reaction conditions, the indole-fused hexahydroquinolizin-2-one 127a (indole as aromatic moiety, R1 = H; 82% yield) after 24 h via the THBC intermediate 126a (Scheme 36). Electron-rich aromatic rings, such as methoxy- and methylenedioxy-benzene yielded instead benzene-fused hexahydroquinolizin-2-ones 127b (benzene as aromatic moiety, R = OMe, OCH2O) in synthetically serviceable yields. The new method was applied for the succinct and stereoselective synthesis of dihydrocorynantheol and a formal synthesis of yohimbine (Figure 3) and β-yohimbine (β-17-OH) [147].
Scheme 36.
Gold catalysis-triggered cascade en route to bicyclic piperidine-4-ones.
(2013) The Dixon group developed a high enantioselective N-sulfonyliminium cyclization cascade, which provided complex and unusual sulfonamide scaffolds in excellent yield [148]. Treatment with Echavarren catalyst (EC-1, 10 mol% [149,150]) of a mixture of sulfonamide 128a (R = H) and BPA-1 (10 mol%) in toluene at 60 °C afforded the cascade product 129a (R = H) in 84% yield and 88% ee (Scheme 37). The choice of sulfonamide over carboxylic acid amide was influenced by their abundance in medicinally relevant compounds and the lack of sulfonamide scaffolds via cyclization cascade. The versatility of the new methodology was verified on the chain extended amide analogue 130, which was given by reaction cascades with EC-1 (0.5–1 mol%) and (R)-BPA-1 (10 mol%) in toluene at reflux the desired δ-lactams 131 in 86% yield and 66% ee (Scheme 38) [148].
Scheme 37.
N-Sulfonyliminium cyclization cascade.
Scheme 38.
Synthesis of δ-lactams via 6-exo-cyclization cascade.
The treatment of substituted tryptamines 1 and 2-ethynylbenzoic acids 132a (n = 0) or 2-ethynylphenyl acetic acids 132b (n = 1) by an efficient, facile gold(I)-catalyzed one-pot cascade protocol featured the formation of polycyclic privileged structures 133 with high yield and broad substrate tolerance (Scheme 39). Selected target molecules 134, which were obtained after reduction, were validated as α1-adrenergic receptor antagonists [151].
Scheme 39.
Gold(I)-catalyzed one-pot cascade for the synthesis of α1A -AR antagonists.
A P-S-type reaction was invoked for the final aromatic 1,7-cyclization step in the proposed mechanisms of gold(I)-catalyzed [5 + 2] cycloaddition of propargyl esters or acetals with imines (not shown), leading to benzo-fused azepine derivatives [152].
(2015) Waldmann and coworkers proposed a reaction sequence, where, in a first step acetylenic aldehydes 135 and tryptamine, yielded in a P-S reaction THBCs endowed with an alkyne substituent, which could be given via a hydroamination reaction the indoloquinolizine (IQZ) scaffold. Actually, microwave heating (120 °C) of a mixture of tryptamine (1a, R = H) and o-2-phenylethynyl benzaldehyde (135a, R1 = Ph) in DCM with 10 mol% of Yb(OTf)3 after the addition of the ionic liquid [bmim]Cl-AlCl3 provided the THBC 136 (R = H, R1 = Ph; 74% yield) within one hour (Scheme 40) [153]. However, the second step, i.e., the hydroamination reaction of the P-S adduct, did not occur in the presence of ytterbium complexes [154,155]. By contrast, after a survey of selected gold complexes, the catalyst EC-1 (10 mol%) (Scheme 37) gave, at room temperature, the desired IQZ 137a (R = H, R1 = Ph; 62%). The authors explored the utility of the two-step protocol for the synthesis of hexacyclic indoloquinolizines, where a spirooxindole ring system is fused to a THBC moiety. Tryptamines 1 and isatins 138 afforded the hexacyclic heterocycle 139 (Scheme 41) [153].
Scheme 40.
Two-step sequence for the synthesis of indoloquinolizines.
Scheme 41.
Two-step protocol for the synthesis of hexacyclic indoloquinolizines containing spirooxindole ring-system.
Guinchard and coworkers used allenals 140 as bifunctional key building blocks for the synthesis of polycyclic chiral architectures 141 (Scheme 42) in a reaction that combines an asymmetric phosphoric acid catalyzed P-S reaction and a self-relay palladium catalyzed cyclization [56,57].
Scheme 42.
Synthesis of polycyclic indole derivatives by relay catalysis with Pd(0) or Au(I).
Inspired by Waldmann and Kumar [153], ending in pentacyclic derivatives 143 (Scheme 42) [158], the authors proposed a gold-catalyzed cascade, where the P-S reaction between N-allyl tryptamines 1h and O-alkynyl arylaldehydes 142 is followed by cyclization with a concomitant allyl transfer to give compounds 143 in good yield (Scheme 42). EC-1 (Scheme 37) was the sole catalyst for both of the reactions. Further optimization came from the use of the stable cationic catalyst [(Ph3P)Au(NTf2)] (EC-2), as well as molecular sieves (4Å) [158].
4.3.2. Michael Addition/Pictet-Spengler Reaction Sequences: Update 2011–2015
The combination of a base-catalyzed intermolecular Michael addition reaction—featured by an α,β-unsaturated carbonyl compound and a suitable amide pronucleophile—with an acid-catalyzed intra-molecular N-acyliminium ion P-S cyclization of the resulting adduct, was a quite popular cascade sequence for building complex multiring heterocyclic molecules in one-pot and under mild conditions. The β-ketoester 144, cinnamic aldehyde 145a, the Michael adduct 146, and the final indoloquinolizidine product 148 feature the sequence (Scheme 43) [159].
Scheme 43.
Michael addition/N-acyl iminium P-S cyclization sequence for one-pot complex heterocycles synthesis.
(2011) The Zhao group, after β-ketoesters [159] and dialkyl malonates [160], investigated alkyl propiolates [161] and β-keto amides [162] as carbonyl partners of α,β-unsaturated aldehydes for the asymmetric organocatalyzed synthesis of indoloquinolizidines derivatives. By a similar pathway, the group developed a cascade sequence between cyclic hemiacetals 150 and tryptamine 1 to provide efficient access to highly substituted diazaindeno[2,1-a]-phenanthrenes 151. Aromatic and aliphatic hemiacetals 150 were both prepared by the asymmetric organocatalyzed conjugate addition of cyclic 1,3-diketones to α,β-unsaturated aldehydes 145 (Scheme 44) [163].
Scheme 44.
Diastereoselective cascade synthesis of indoloquinolizines.
Contemporaneously Rueping et al., developed a similar methodology for the efficient synthesis of functionalized indolo [2,3-a]quinolizidine skeletons in a one-pot operation [164]. The same group successfully applied the cascade reaction to other nucleophiles [66,165].
Michael addition of trimethyl phosphonoacetate 152 to α-β-unsaturated aldehydes 145, catalyzed by (S)-(−)-α,α-diphenyl-2-pyrrolidinemethanol trimethylsilyl ether (Pro-A), afforded enantiomerically enriched adducts 153, which were employed in three different protocols leading to biologically important α-methylene-δ-lactones and δ-lactams. In one pathway, the indolo[2,3-a]quinolizine scaffold 154 was accessed by the P-S reaction with tryptamine 1, followed by Horner-Wadsworth-Emmons olefination (Scheme 45) [166].
Scheme 45.
Michael adducts provide via P-S cyclization and H.W.E. olefination indolo[2,3-a]quinolizine derivatives.
The assembly by Zhu et al. of medicinally important butyrolactam-fused indoloquinolizidines in a highly stereo-controlled organocatalytic one-pot Michael/P-S sequence has been previously described [66,167].
Although many examples of cascade sequences that were catalyzed by a single chemical entity have been reported [134,136], which involve more than one mutually compatible catalyst are much less common [168,169]. With the aim of overcoming the problem of annihilation (catalyst quenching), due to the simultaneous use of both strongly basic and strongly acidic reagents, the Dixon group employed site isolated base and acid (SIBA) catalysis [170,171]. The group developed cascade reactions that incolve the polymer supported 2-tert-butylimino-2-diethyl-amino-1,3-dimethyl-perhydro-1,3,2-diaza-phosphorine (PS-BEMP) and (R)-BPA or bulky derivatives, such as (R)-BPA-1 and (R)-[H8]-BPA-1 [172]. The authors hypothesized that the system would provide the necessary site isolation of mutually destructive acidic and basic functional groups and a size exclusion (molecular sieving) phenomenon would operate between PS-BEMP and (R)-BPA-1, but not between the first one and diphenyl phosphate (DPP). The model reaction of pro-nucleophile malonamate (156a, R = H) with methyl vinyl ketone (MVK, 155a, R1 = Me) required the following optimal conditions: PS-BEMP (10 mol%), (R)-BPA-1 (10 mol%), the addition of MVK (3 eq) at room temperature for 24 h, N-acyliminium cyclization at reflux in toluene for 24 h. The product 157 (R1 = H) was obtained in 81% yield and 57% ee (Scheme 46). The teatment of a set of malonamate nucleophiles 156 with methyl vinyl ketone (MVK, 155a, R1 = Me) and ethyl vinyl ketone (EVK, 155b, R1 = Et) in the presence of PS-BEMP and (R)-[H8]-BPA-1 investigated the scope of the reaction. In general, yields that range from 73 to 80% and ee from 56 to 76% were achieved [172].
Scheme 46.
Novel size exclusion phenomenon for enantioselective acid/base cascade catalysis.
Liao and coworkers reported an organocatalytic domino double-Michael/P-S/lactamization reaction sequence leading to dodecahydrobenz[a]indolo[3,2-h]quinolizines in good yields and excellent diastereoselectivities and enantioselectivities (up to >99% ee). The optimization of the double Michael reaction of nitroalkenoate 158 and cinnamaldehyde 145a (R1 = Ph) required Pro-A as catalyst, DABCO as additive, and DCM as solvent for 44 h reaction to give 159a (R1 = Ph) in 89% yield with 99% ee. The one-pot reaction strategy was achieved via the addition of toluene to the reaction mixture, followed by treatment with tryptamine 1 and TFA, to provide cyclized product 160a (R1 = Ph) in 77% yield with >99% ee. Finally, the target products 161 were obtained after lactamization (Scheme 47). The one-pot domino reaction protocol was repeated with various α,β-unsaturated aldehydes (R2 = Ar, 2-furyl), obtaining high yields and stereoselectivities. The highly enantioselective transformation and the highly functionalized pentacyclic benzoindoloquinoline products render this reaction sequence a potential protocol for future synthetic applications of “inside α-yohimbane” intermediates [173].
Scheme 47.
Synthesis of dodecahydro[a]indolo[3,2-h]quinolizine via a domino double Michael/P-S/lactamization reactions sequence.
Tryptamine-derived urea 162a (R1 = R2 = H) and methyl vinyl ketone 155a (MVK, R3 = Me, R4 = H) produced the best results in toluene with BINOL phosphoric acid when the heating was increased to 110 °C. Catalyst screening revealed that optimal enantiocontrol was associated with (R)-BPA-1 and/or (R)-[H8]-BPA-1 (both at 10 mol%) and optimal concentrations of substrates 162 were 5 mM (162) in the presence of 5 eq of MVK 155a. Under these conditions, compound 165a (R = R1 = R2 = H, R3 = Me) was obtained in 76% yield and 73% ee, through the intermediates 163 (Michael addition to the distal nitrogen) and 164 (condensation of the ketone with tryptamine Nb) (Scheme 48). The scope of the reaction was surveyed while using an array of substituted ureas 162 and enones 155 [174].
Scheme 48.
Enantioselective Michael addition/iminium ion cyclization of tryptamine-derived ureas.
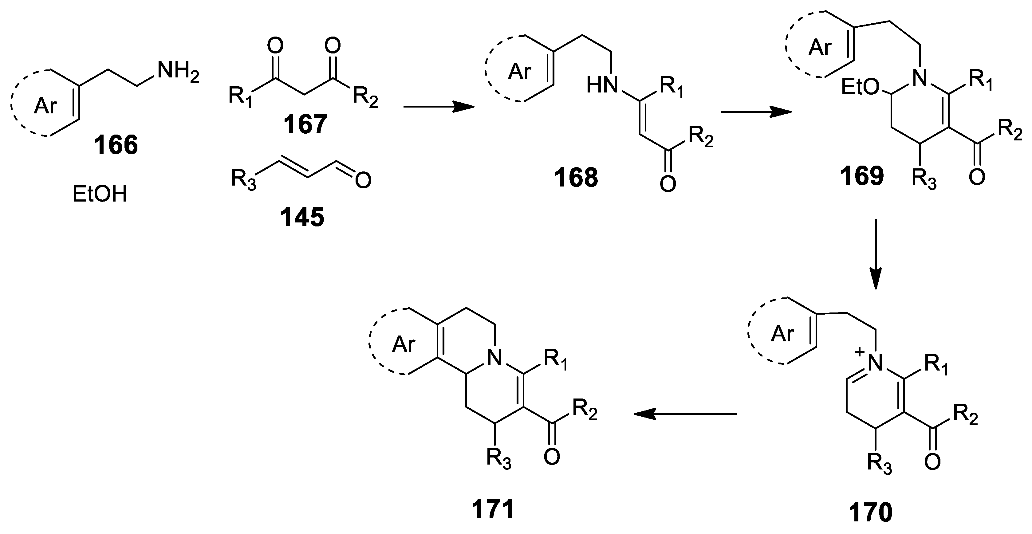
Menéndez and coworkers highlighted cerium (IV) ammonium nitrate (CAN) as an excellent catalyst for the fast synthesis of β-enaminones 168 [175] and performed the one-pot, efficient preparation of 1-alkyl-6-ethoxy-1,4,5,6-tetrahydropyridines 169 from acyclic precursors, i.e., primary amines 166, β-dicarbonyl compounds 167, α,β-unsaturated aldehydes 145, and alcohols (as sketched in Scheme 49). The combination of this preparation with a P-S cyclization makes up a domino process that involves the generation of an iminium cation 170 from the tetrahydropyridines 169 and culminates in the direct one-pot preparation of a variety of benzo[a]- or indolo[2,3-a]quinolizidines 171 [176].
Scheme 49.
Sketched synthesis of areno[2,3-a]quinolizines by the use of cerium (IV) ammonium nitrate (CAN).
(2014) Yan et al. performed a facile synthetic procedure that involves the sequential Michael addition and P-S reactions of β-enamino ester generated in situ. The one-pot three component reaction of tryptamines 1, alkyl propiolates 172, and α,β-unsaturated aldehydes 155a (R = H), as well as arylidene-acetones 155b, (R = Me) afforded the functionalized 1,2,6,7,12,12b-hexahydro-indolo[2,3-a]quinolizines 173 in moderate to high yields and with high diastereoselectivity (Scheme 50 up) [177]. Hunting for a new efficient domino reaction, the group envisioned that spiro-indolo[2,3-a]quinolizine-oxindoles 176 could be synthesized from a similar reaction of in situ generated β-enaminoesters 174 with oxindoles 175. However, the domino reaction of tryptamine 1a, alkyl propiolates 172, and 3-phenacylidene-oxindoles 175 in the presence of anhydrous ZnCl2 provided, instead of the expected compound 176a, the functionalized 2-pyrrolo-3′-yloxindoles 176b, which, in turn, can be converted into the corresponding 6,11-dihydro-5H-indolizino[8,7-b]indoles 176c via a CF3SO3H catalyzed P-S cyclization process (Scheme 50, down). By contrast, when arylamines replaced tryptamines 1, the one-pot domino reaction only afforded the corresponding 2-pyrrolo-3′-yloxindoles (not shown) [178].
Scheme 50.
Construction of hexahydroindolo[2,3-a]quinolizines and dihydro-5H-indolizino[7,8-b]indoles.
(2014) The first catalytic asymmetric construction of a new class of bispirooxindole scaffold that incorporates a THBC moiety was established via a BPA-catalyzed three-component Michael/P-S cascade sequence, which afforded the structurally complex and diverse target compounds in excellent stereoselectivities (dr > 95:5; e.r. up to 98:2) [179]. N-benzylisatin 177, N-methylisatin-derived 3-indolylmethanol 178, and diethyl-2-aminomalonate 179 in CHCl3 at 45 °C in the presence of (S)-[H8]-BPA-3 (with bulky 9-phenanthrenyl groups at 3,3′-positions; Scheme 33) afforded the desired bispirooxindoles 180 with good yield (72%) and stereoselectivity (ee 82%) (Scheme 51). 1,1,2,2-tetrachloroethane (TCE) and CHCl3 were alternated as needed, while changing the molecular sieves (MS) from 3 to 4 Å greatly improved the yield, but decreased stereoselectivity. Conversely, lowering the temperature to 25 °C provided the highest stereoselectivity (ee 92%) with a relatively high yield (61%). The incorporated THBC moiety and bispirooxindole framework are both core structures of pharmaceutically important compounds [179].
Scheme 51.
Design and practice in the construction of THBC-fused bispirooxindoles.
4.3.3. Other Pictet-Spengler Reactions in Cascade Sequences: Update (2011–2015)
P-S cyclization attends in different manners to cascade reactions, providing frameworks that are mostly centered on THIQ or THBC motifs.
(2011) The previously cited coupling of arylethylamines 181 and arylacetaldehydes 182 to give 1-benzyl-tetrahydroisoquinoline derivatives 183 in mild reaction conditions (Scheme 52) [30].
Scheme 52.
One-pot synthesis of tetrahydroisoquinoline alkaloids by phosphate buffer catalysis.
- Inter- and intramolecular P-S cyclizations conclude cascade sequences in the mechanism invoked for the assembling of tetrahydro-5H-indolo[3,2-c]quinolines 186 through the formal [4 + 2] cycloaddition of benzyl azide 184 and N-protected indole 185 (Scheme 53) [180].
Scheme 53. Two sequential P-S reactions in the cascade construction of tetrahydroindoloquinoline derivatives. - A methodology (including P-S reaction) was applied in the stereodivergent synthesis of Corynantheine and Ipecac alkaloids and their unnatural analogues [66,181].
(2012) A final intramolecular P-S cyclization was invoked for the skeletal rearrangement of substrate 187 to the tryptoline derivatives 188 (Scheme 54) [182].
Scheme 54.
Acid-promoted unexpected skeletal rearrangement.
(2013) Singlet oxygen transforms simple furan substrates in the presence of arylethylamines into complex nitrogen-bearing aromatic poly-cycles with the structural features of important natural products, such as Erythrina alkaloids. The combination of monosubstituted furan substrates 189 with different arylethylamines 1 in TFA/DCM at room temperature triggers a cascade reaction sequence to generate in a novel way an N-acyliminium ion 191 precursor of tricyclic compounds 192 (Scheme 55) [183].
Scheme 55.
Conversion of a simple furan into the intact erythrinane skeleton.
The method has been used to achieve a rapid and highly effective formal synthesis of erysotramidine, a dienoid-type member of Erythrina alkaloids, by a sequence (see Scheme 56) starting with singlet oxygen photoaddition to the furan 189a and terminating with P-S-type aromatic substitution to give the tetracycle 192a [184].
Scheme 56.
Formal synthesis of erysotramidine from simple furan derivative.
Hexacyclic indole alkaloids with a THBC motif were obtained by a stereoselective synthesis that is based on sequential P-S cyclization, N-acylation, and intramolecular Diels-Alder reactions. The synthetic route started with the installation of a diene motif in the THBC skeleton by a P-S reaction between 5-substituted furan 2-carbaldehydes 193 (R1 = Me, Et, Br) and L-tryptophan methyl ester. The resulting product 194ab (as a mixture of cis/trans diastereomers) that was treated with acryloyl chlorides (DCM, Et3N at rt) afforded the α,β-unsaturated amides 195ab, which spontaneously underwent [4 + 2] Diels–Alder cycloaddition to give the bridged indole alkaloids 196b in the exo form, while the cis-isomer 195a remained unreacted (Scheme 57) [185].
Scheme 57.
Synthesis of hexacyclic indole alkaloids via Diels-Alder reaction of N-acylated THBC constructed via P-S ring closure.
(2014) The treatment of a novel 1,2-dinucleophile (bis-silyldienediolate 197) with two p-methoxyphenyl (PMP) imines (198a and 198b) in a sequential Mannich/Mannich/P-S tandem process provided complex hexahydropyrrolo[3,2-c]quinolines (Scheme 58). The α-keto ester 200, which were obtained after a vinylogous Mannich addition (with Yb(OTf)3 in dry MeCN or DME) and a second Brønsted acid-catalyzed Mannich reaction, spontaneously cyclizes within 10 min. into the pyrroloquinolines 202 (as a mixture of diastereomers, optimized by screening of the solvents and acids) (Scheme 58). Notably, being the second step triggered by the addition of the Brønsted acid, two different imines 198a and 198b can be employed, which substantially broadens the scope of the transformation [186].
Scheme 58.
Synthesis of hexahydropyrrolo[3,2-c]quinolines via a sequential Mannich/Mannich/P-S procedure.
The reaction between N-Phth-2-formyl-L-Phe-OH (203a) and tryptamine 1a in the presence of propylphosphonic anhydride (T3P, 1 eq.), under stirring at RT for 6h in DCM afforded the polycyclic lactam 204 as a single trans diastereomer, in good yield (72%) and excellent diastereomeric excess (de > 98%, Scheme 59 up). By contrast, N-Boc-2-formyl-L-Trp-OH (203b) and tryptamine 1a provided the polycyclic spirolactam 205 instead of the expected product (Scheme 59 down). No polycyclic lactam formation was observed from the condensation of keto acid 203b and L-Trp-OMe, whereas the thiophene derivative (not shown) was obtained under optimized P-S conditions in 86% isolated yield and 98% de [187].
Scheme 59.
Diastereoselective synthesis of constrained 7,5 and 7,6 fused azabicycloalkanes.
The tandem P-S/lactamization of L-phenylalanine methyl ester with methyl levulinate (206) produced the tricyclic pyrroloisoquinoline motif 207, which was utilized as a platform containing the pluripotent reaction site for the diversity-oriented synthesis (DOS) of a library of hybrid systems. The structural diversity was generated through the introduction on the main motif of spiro-connected privileged scaffolds, such as oxoindole (a), quinolone (b), cyclopent-ane/ene (c/d), and pyrrolidinone (e) (Scheme 60) [188].
Scheme 60.
Synthesis of pyrroloisoquinoline scaffold as a platform for diversity-oriented synthesis (DOS) strategy.
5. The Ring-a Ring of Multi-Component Reactions
Awake–awake!Now come and makeA ring–a ring of roses(A.S. Stephens)
In the continuous search for an efficient synthesis of the basic skeleton of biologically active THIQs, THBCs, or polycyclic alkaloid systems embodying them, the technique of multi-component reaction (MCR) gained increasing attention from the chemists as an alternative to sequential multistep synthesis [189,190,191]. MCR chemistry enables the rapid construction of complex and diverse structures from readily accessible starting materials in a single operation under mild conditions. MCR is defined as a reaction, in which three or more starting materials combine in a single event to form a single product that contains features of all of the inputs, with the exception of condensation products, such as H2O, HCl, or MeOH [192]. In practical terms, the order of addition of the individual components does not matter, since multiple elements of diversity are being introduced in a single operation, regardless of the sequence in which they are added. MCRs mostly involve a number of equilibrium subreactions, which, like in a spiral frame culminate in the final step, an irreversible process, such as C—C bond formation or a rearrangement [193,194]. Several descriptive tags are regularly attached to MCRs: atom economic, the majority of the atoms of the reactants being incorporated in the products; efficient, the final product being formed in one-step instead of multiple sequential steps; convergent, several reactants combining in one reaction; endowed with very high bond-forming index (BFI), many non-hydrogen atom bonds being formed in one synthetic preparation [190,195]. Multicomponent reactions, in which all of the substrates are added at once, can also be considered to be domino processes; alternatively, MCRs can be performed by the sequential addition of reactants, without the isolation of intermediate species or a change of solvent. After the emergence of combinatorial chemistry and diversity-oriented synthesis, today MCRs play a central role in the development of modern synthetic methodology for pharmaceutical and drug discovery research [196,197].
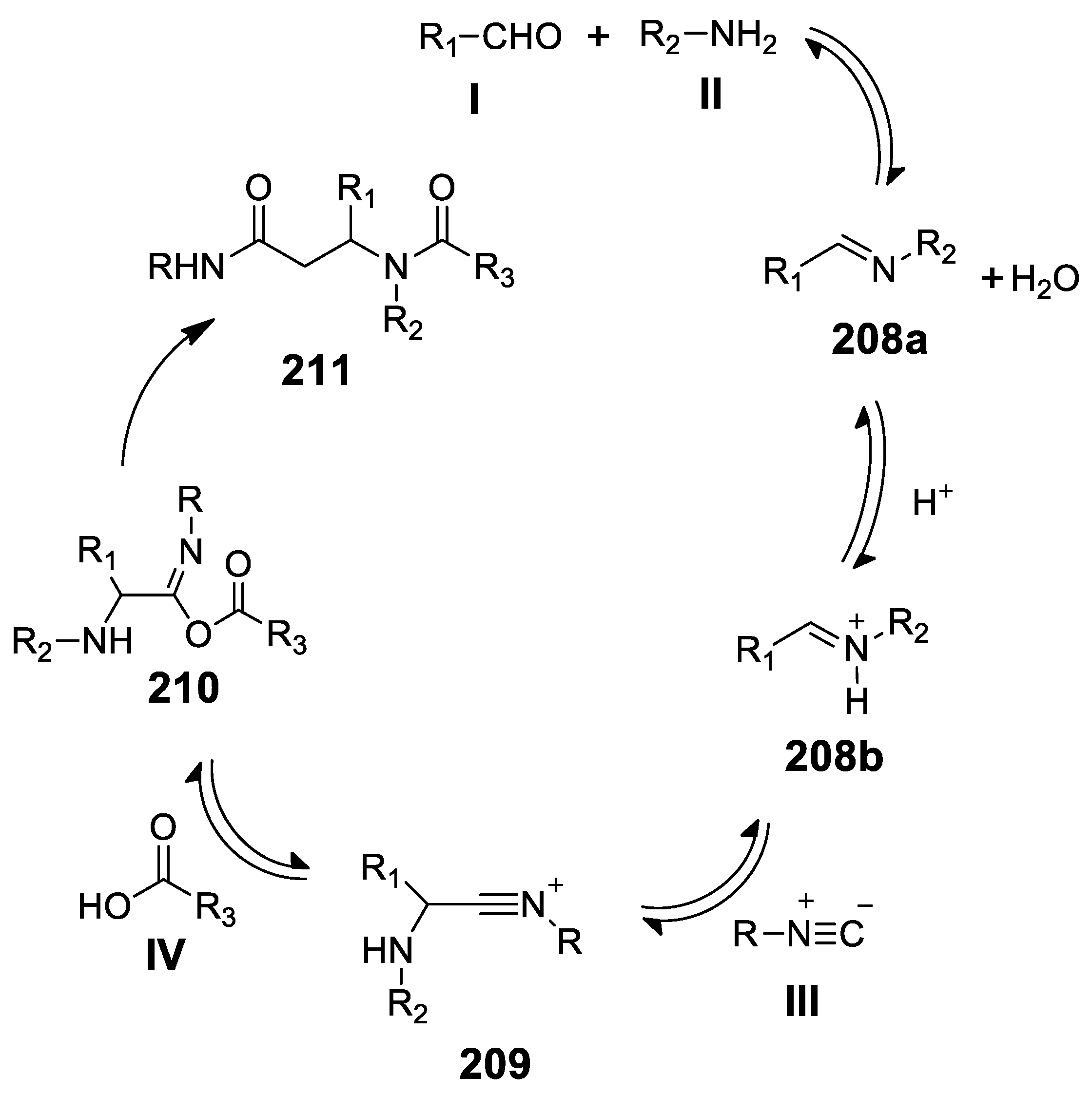
Ugi fully recognized the huge potential of the MCR methodology, who postulated that the reaction was ideally suited to probe structure-activity relationships via the synthesis of “collections of compounds”, nowadays called libraries. Since its original publication in 1959 [198], the Ugi reaction has emerged as the most well known and widely used MCR in organic synthesis. The classical Ugi four-component reaction (U-4CR) allows for simultaneous variation of four very common starting materials (educts): carbonyl compound (I), amine (II), isocyanide derivative (III) as a special guest and carboxylic acid (IV). Isocyanides (formerly known as isonitriles) are the only class of stable organic compounds with a formally bivalent carbon and a functional group fundamentally different from the others. The most synthetically important property of isocyanides is the α-addition of nucleophiles and electrophiles at the carbon atom. Scheme 61 shows a very simplified reaction mechanism with carboxylic acid as the acid component. In the first step, the oxo component (I) and the amine (II) condense to the imine 208a, via a hydroxy aminal. The Schiff base 208a upon proton activation (208b) combines with the isocyanide (III) to give the intermediate nitrilium ion 209, which by addition of carboxylate (IV) gives intermediate 210. Finally, the irreversible intramolecular acyl migration of 210 drives the reaction out of the ring-a-ring turning into the classic peptide-like Ugi adduct 211 [199,200,201,202,203].
Scheme 61.
Educts in equilibrium involved in a classical Ugi-4CR reaction.
5.1. Ugi Meets Pictet-Spengler
In earlier two-component (2C) intramolecular variations of the P-S condensation, THIQ and THBC scaffolds were prepared by the reaction of a solid-phase bound amine with a carbonyl derivative, prior to the cyclization of the incipient iminium species [204,205,206]. Successively, Wang and Ganesan added the N-acyliminium P-S reaction to the repertoire of multicomponent reactions, adapting a previous total synthesis of demethoxyfumitremorgin C (215a) [207] to the solid phase: Fmoc-protected L-tryptophan 212, which was immobilized on polystyrene-Wang resin, was treated with senecialdehyde (R = —CH = CMe2) and trimethyl orthoformate to give the imine 213a. The addition of Fmoc-L-proline chloride gave rise to N-acyliminium P-S cyclization to 214, which, in turn, treated with piperidine undergoes deprotection, diketopiperazine ring closure, and concomitant resin cleavage. The natural product 215a was obtained, together with its trans epimer (Scheme 62). Analogous compounds 215 were also prepared varying the aldehyde and/or replacing the proline unit by other amino acids [208]. On the other hand, Bonnet and Ganesan obtained THBC hydantoins (Scheme 62) with a similar cis/trans ratio by a slightly modified strategy [110]. Finally, van Loeveijin et al. reported a similar approach for the construction of a 42-membered library of fumitremorgin-type indolyl-diketopiperazines (215), such as verruculogen (Scheme 62) [209].
Scheme 62.
Indolyl diketopiperazines (215a–d) and THBC hydantoins synthesized by solid phase multicomponent (MCR)/P-S approach.
The P-S-adducts finally appeared at the edge of the ring-a-ring in the framework of a substantial body of work devoted to post condensation modifications of Ugi-4CR educts 211. Dömling and Ugi first reported the combination of Ugi and P-S reactions and included the amino acid tryptophan, phthalic aldehyde 216, and t-butyl isocyanide 217 as substrates of the synthesis of complex polycyclic products containing the THIQ and THBC motifs. The non-isolable Ugi product afforded the pentacyclic compound 218 after spontaneous P-S cyclization and the following oxidation, while other aromatic amino acids, such as phenylalanine (R = H), tyrosine (R = 4-OH), and DOPA (R = 3,4-di-OH), produced tricyclic compounds, such as 219 (Scheme 63) [199].
Scheme 63.
Synthesis of THBC- or THIQ-containing polycyclic scaffolds by Ugi-4CR/P-S and oxidation reactions.
The Ugi-4CR/P-S-2CR became quite popular for the rapid assembly of diverse polycyclic scaffolds. El Kaim et al. reported a classic version (A) of Ugi-4CR/P-S sequence (Scheme 64, up) [210] with the use of phenethyl isocyanide 220 for the obtainment of diketopiperazines 221, while Dömling et al. introduced tryptophan-derived isocyanides 224 in a version (B) of Ugi/P-S reactions for the preparation of polycyclic indole alkaloid scaffolds 225 (Scheme 64, down) [211].
Scheme 64.
Classic version A (up) and versatile version B (down) of Ugi-4CR/P-S sequence.
Dömling and coworkers reported an efficient and flexible 2-step procedure for the synthesis of complex multicyclic indole alkaloid-type compounds 227, which feature Ugi MCR and P-S reactions (Scheme 65). The final product is a highly complex molecule that contains six cycles in total, four heterocycles (pyrrole, piperazinone, hydropyridine, γ-lactam) and two carbocycles (benzene, cyclopentane) [212].
Scheme 65.
Ugi-4CR/P-S-2CR sequence for hexacyclic architecture.
Other notable employments of Ugi/P-S sequence prior to 2011 can be found in the combination of tandem MAO desymmetrization/MCR/P-S cyclization for the asymmetric synthesis of alkaloid-like polycyclic compounds [213,214], as well as for the synthesis of cyanocycline A and bioxalomycin β2 [215]. The mature state and the use in the synthesis of biologically active compounds of this large group of reactions are reflected in the numerous preclinical and development drugs, for instance, almorexant (first-in-class orexin I antagonist) and retosiban (oxytocin receptor antagonist) [216,217].
5.2. Update of Ugi/Pictet-Spengler Combinations
(2011) Dömling and coworkers elaborated on their previous Ugi-3CR/P-S reaction sequence (Scheme 65 [212]), the synthesis of a small focused library of polycyclic ring systems, based on phenylethylamine-derived isocyanides 224. All the suitable bifunctional oxocarboxylic acids 228 reacted satisfactorily with aminoaldehyde dimethyl acetal and the aryl ethyl isocyanides 224 to afford Ugi-adducts 229 with yields that range from 38 to 62% (Scheme 66). P-S reaction of intermediates 229 afforded polycyclic scaffolds 230, in the presence of formic acid at RT for the more reactive 229c and with methanesulfonic acid at 70 °C for the less reactive 229a and 229b, which also required longer reaction times [218].
Scheme 66.
Ugi-3CR/P-S ring-closure reaction sequence for the synthesis of tetra- and pentacyclic structures.
A sequential Ugi/P-S/reductive methylation reaction was used for the synthesis of the piperazinohydroisoquinoline ring system, starting from aminoacetaldehyde dimethyl acetal, (−)-(S)-N-Boc-3-(3,4-dimethoxyphenyl) alanine 231, and t-butyl isocyanide 217, in combination with several aldehydes 30 (Scheme 67). The Ugi-4CR/P-S-2CR reaction was completed in a straightforward manner within 1–2 h when the reaction was carried out at 50 °C while using microwave irradiation. The one-pot transformation of the Ugi-adducts 232 into the desired piperazinohydrosoquinolines 234 via iminium intermediates 233 was performed with comparable yields, simply by evaporating the solvent from the reaction flask after the completion of the Ugi reaction and then adding the reactive mixture CH2O/HCOOH [219].
Scheme 67.
Synthesis of the piperazinohydroisoquinoline system while using a sequential Ugi/P-S/reductive methylation reaction protocol.
The Lesma group carried out the synthesis of a novel Phe-Ala dipeptidomimetic 235 (Figure 4), built up on a diazaspiro-cyclic lactam core. Molecular modeling, IR, NMR, and X-ray diffraction experiments agree on the presence of a strong intramolecular hydrogen bond supporting the ability of this spiro compound to act as type II′ β-turn inducer [220].
Figure 4.
Ugi/P-S-based synthetic β-turn and γ-turn peptidomimetics.
(2012) In the framework of a program focused on the identification of new peptidomimetic of potential interest in drug discovery, Lesma and coworkers reported a two-step efficient route for the synthesis of THBC-based compounds as privileged molecular targets in the design of potential reverse turn mimics [221]. The authors applied the Ugi/P-S sequence for a rapid assembly of peptidomimetic scaffolds of type 236. NMR and molecular modeling on the corresponding methyl carboxamide N-acetyl derivatives both confirmed a β-turn like conformation for the cis-isomer 236a and γ-turn for the trans-isomers 236b-c (Figure 4) [222].
Praziquantel (PZQ) is the only effective drug for the treatment of schistosomiasis, a high volume neglected tropical disease that affects more than 200 million people worldwide. Liu et al. developed a convergent and versatile synthetic method to prepare easily accessible and highly diversified PZQ derivatives for extensive structure-activity relationship studies. The approach includes Ugi-4CR, followed by a P-S ring closure in a sequential one-pot, two-step procedure (Scheme 68). Even though the products were found to be slightly less active than the mother drug PZQ, the Ugi/P-S reaction sequence remains the shortest and scalable approach towards a future bioactivity-guided optimization of PZQ analogous [223].
Scheme 68.
General approach Ugi-4CR/P-S for the synthesis of praziquantel analogous.
A novel stereoselective Ugi-type reaction of the four highly variable starting materials α-amino acid (e.g., leucine), oxo component I (e.g., 2-fluorobenzaldehyde), isocyanide 224 (e.g., benzyl isocyanide), and primary or secondary amine (e.g., morpholine), thus comprising a novel and true 4-CR, provided the iminodicarboxamide 239 (Scheme 69). The extensive optimization of the reaction included: the solvent, a mixture MeOH/H2O = 4:1, as a compromise in solubility for the different classes of starting materials; the temperature, RT instead of microwave conditions avoided the formation of undesired side products); the reaction time, three days, and the catalyst. The scope of the reaction was investigated while using representative starting material of each class. The use of bifunctional starting materials allowed for cyclizing the initially formed Ugi products, such as compound 240a, whih was obtained by P-S reaction and deprotective cyclization [224].
Scheme 69.
Assembly of iminodicarboxamides by a truly Ugi-4CR followed by P-S cyclization.
(2013) The authors presented a paper containing full experimental detail on the synthesis of indole (240) and THIQ (242) derivatives that were obtained using conc. HCOOH at room temperature by the P-S reaction reported in the previous paper [224]. Notably, the cyclization was performed without purification of the initial Ugi product. The structure of the indolo annulated derivative 240b (R1 = CH2CH2OCHO; R2 = R3 = Me) was confirmed by single-crystal X-ray analysis. Structures 240 and 242 can be found in the architectures of potential natural-product targets, such as the antitumor quinocarcin or the insecticidal notoamide B (Scheme 70) [225].
Scheme 70.
New indole and isoquinoline scaffold from P-S cyclization of Ugi-4CR adducts.
(2013) The Ugi reaction of four suitably components and post-condensation reactions can provide four heterocyclic scaffolds: tetrahydroimidazo[1,2-a]pyrazine-2,6(3H,5H)dione, pyrrolidinedione, and isoindolone systems have been yielded via post-Ugi secondary cyclization, while the unique structures of the strained tricyclic 3,9-diazabicyclo[3.3.1.]nonane skeletons 240/242 were obtained by a P-S reaction, where the required functional groups, an electron rich aromatic ring and the oxo partner, were conveniently introduced via the α-amino acid and the primary amine component, respectively. Several analogous reactions show the potential of this transformation (not shown) [226].
(2015) The authors designed novel bi- and tri-cyclic scaffolds based on the Ugi tetrazole synthesis. The reaction of propionaldehyde (243), 3,4-dimethoxyphenethylamine (181), isocyanoacetaldehyde dimethyl acetal (244), and trimethylsilyl azide (245) in MeOH at room temperature afforded after 18 h the classical Ugi product 246, which in turn gave the P-S cyclized product 247 (67% yield) by simple treatment with methanesulfonic acid for 18 h at room temperature (Scheme 71). The scope of the methodology was examined with different oxo components and various aryl ethyl amines that produce a large range of results. Diastereomeric mixtures were obtained, but a major stereoisomer was isolated in some cases [227].
Scheme 71.
Synthesis via Ugi/P-S of 5H-tetrazoleo[1′,5′:4,5]pyrazino [2,1-a]isoquinoline.
6. The Enzymatic Pictet-Spengler: Briefing and Update 2011–2015
We are star-crossed;cursed to walkdivergent paths(Grace, crossroad poems)
The connection of small metabolites to the gene that encodes them has sparked a renaissance in natural product research, which is primarily focused on the biosynthesis [228]. Most of the strength of P-S reaction in the field resides in the parenthood with analogous enzyme-catalyzed key-transformations in the biogenetic pathways of natural products [1,229].
Starting in the ancient world of natural products, the pathway of P-S reaction culminates in the modern technological enzymatic applications to biological systems.
6.1. Pictet-Spenglerases
Enzymes catalyzing the P-S condensation have been isolated from several plants and they have entered in the community, named “Pictet-Spenglerases”. These are carbon-carbon bond-forming enzymes, which join two relatively simple molecules to form a nitrogen heterocycle with excellent stereochemical control of the resulting chiral center [230].
6.1.1. Biogenetic Studies
Strictosidine synthase (STR) and norcoclaurine synthase (NCS) are the best known and studied enzymes among the Pictet-Spenglerases. By the enzymatic P-S condensation of tryptamine 1a and an iridoid monoterpene, namely the secologanin, strictosidine synthase (EC 4.3:3:2) triggers the formation of strictosidine, the common precursor of the biosynthesis of more than 2500 monoterpene indole alkaloids of the Apocynaceae family (Scheme 72 up) [228,231,232,233,234,235]. STR enzyme, which was characterized in many plants, such as Rauwolfia serpentina, Catharantus roseus, and Ophiorrhiza plumila, only produces the 1α(S)-epimer (strictosidine), but not the 1β(R)-epimer (vincoside). However, strictosidine synthase was demonstrated to serve as precursor for tetrahydroisoquinolines (THIQs), not only with α- but also with β-configuration at C-1 chiral center [236,237].
Scheme 72.
Pictet-Spenglerases at work in the biosynthesis of vinblastine and morphine.
Conversely, the enzyme norcoclaurine synthase (NCS; EC 4.2.1.78), which is isolated from Thalictrum flavum (TfNCS), is responsible of the synthesis of benzylisoquinoline alkaloids (BIAs), which include morphine and codeine, through the precursor (S)-norcoclaurine (formed by the P-S condensation of dopamine and 4-hydroxyphenylacetaldehyde (4-HPAA) (Scheme 72 down) [238,239]. For instance, the anticancer candidate noscapine was obtained via this pathway [240].
An enzyme mechanism for natural substrates was developed on the basis of the holoTfCNS crystal structure, featuring dopamine and a non-productive aldehyde. This “HPAA-first” mechanism suggests the binding of 4-hydroxyphenylacetylaldehyde (4-HPAA) to the enzyme prior to dopamine [241,242].
Deacetylipecoside synthase (DIS) is the enzyme that catalyzes the Pictet-Spengler-like condensation of dopamine and secologanin to form two epimers, 1α-N-deacetylisoipecoside, the precursor of alkaloids, emetine, and cephaeline, and 1β-N-deacetylipecoside, which is converted to tetrahydroisoquinoline monoterpene glucosides, such as ipecoside (Scheme 73). Emetine, ipecoside, and similar natural products are named collectively Ipecac alkaloids, having been isolated from Psychotria ipecacuanha. Their biosynthesis has been extensively studied [243,244,245], but no new paper appeared in the 2011–2015.
Scheme 73.
Biosynthetic pathways of Ipecac alkaloid glucosides.
6.1.2. Biosynthesis: Update 2011–2015
(2012) Oikawa and coworkers demonstrated that the core scaffold of microbial THIQ antitumor antibiotic of the type bis-THIQ, such as saframycin A and ecteinascidin, is biosynthesized by a nonribosomal peptide synthetase (NRPS), which catalyzes a highly unusual seven step transformation while using a simple fatty acyl-dipeptidyl coenzyme A (248a) and a modified tyrosine analogue (249a). The authors proposed a biosynthetic pathway that involves multiple reductions (Red) of thioester intermediates (250a and 252a) and two rounds of P-S cyclization (Scheme 74) [246,247]. The group described a protocol for the biochemical characterization of saframycin NRPS SfmC and showed that the P-S reaction relies heavily on the chain length of the cryptic long acyl chain in the peptide substrates [248].
Scheme 74.
Schematic representation of saframycin biosynthetic pathway.
(2013) The Oikawa group reported then the identification of the biosynthetic gene clusters of quinocarcin and the antitumor antibiotic SF-1739, which share a common type II tetracyclic tetrahydroisoquinoline (THIQ)-pyrrolidine core scaffold. The authors proposed a reaction pathway for the construction of the quinocarcin core scaffold (sketched in Scheme 75), with similar protagonists as for saframycin and involving one P-S and one intramolecular Mannich reaction [249].
Scheme 75.
Schematic representation of quinocarcin core assembly.
Ju and coworkers identified three genes mcbA, mcbB, and mcbC as the solely responsible for scaffold construction of marinacarbolines (MCBs), 1-acetyl-β-carboline (255a), and 1-acetyl-3-carboxy-β-carboline (255b), which were isolated from Marinactispora thermotolerans. In particular, mcbB was proposed to be a multifunctional enzyme that catalyzes the P-S reaction of tryptophan and oxaloacetaldehyde for the assembly of the tetrahydro-β-carboline (THBC) 254 skeleton, followed by decarboxylation and C-ring oxidation to β-carbolines (Scheme 76) [250].
Scheme 76.
Marinacarbolines biosynthetic pathway.
Abe et al. confirmed that mcbB indeed catalyzes the PS condensation as well as the decarboxylation and oxidation reactions by crystallographic studies and biochemical characterization. The resolution of the crystal structure of mcbB complexed with tryptophan revealed a totally different structure from those of other P-S cyclization catalyzing enzymes from plants, such as strictosidine synthase or norcoclaurine synthase [251].
(2014) The crystal structure of mcbB was also analyzed and its catalytic mechanism discussed by another group [252].
6.1.3. Biocatalysis
Biotechnological approaches are gaining importance for the production of alkaloids that cannot be isolated from their natural sources in quantities that were comparable with the demand of modern medicine.
Recent advances in metabolic engineering have enabled the tailored production of plant secondary metabolites in microorganisms. A Japanese group, using selected enzyme to construct a tailor-made biosynthetic pathway, being produced the plant benzylisoquinoline alkaloid, (S)-reticuline (vide infra: Scheme 76) with a yield of 46.0 mg/L culture medium (Escherichia coli fermentation system) [253]. Analogously, O’Connor and coworkers suppressed tryptamine biosynthesis in Catharanthus roseus hairy root cultures, introduced an unnatural tryptamine analog to the silenced plant cells, and obtained a variety of novel products [254,255].
Enzymatic catalysis has been proven to be useful for a number of synthetic biotransformations [256,257], although natural product biosynthetic enzymes often have narrow substrate scope that limits their use as biocatalysts. Pictet-Spenglerases are expected to produce nitrogen heterocycles with excellent stereochemical control of the resulting chiral center. For instance, strictosidine synthase from Ophiorrhiza pumila can utilize a range of simple achiral aldehydes and substituted tryptamines to form highly enantioenriched (ee > 98%) THBCs via the P-S reaction. These findings represent the first example of aldehyde substrate promiscuity in the strictosidine synthase family of enzymes [258].
A recombinant norcoclaurine synthase (NCS) from E. coli was used to prepare (S)-norcoclaurine (R = H), starting from tyrosine and dopamine (R = H) as substrates in a one-pot, two-step process. Tyrosine was first chemically decarboxylated by stoichiometric amount of NaClO to generate the aldehyde species (4-HPAA), to which the enzyme and tyrosine were added (Scheme 77). The optimized process afforded (S)-norcoclaurine (R = H; ee 93%) in 81% yield and allowed for the recycling of the enzyme [259].
Scheme 77.
Combined chemical and enzymatic synthesis of norcoclaurine.
Successively, the same group achieved the fully enzymatic asymmetric synthesis of substituted tetrahydroisoquinolines analogs of norcoclaurine in two steps, starting from dopamine and a set of amine substrates by an oxidation performed with a diamine oxidase from plant Lathyrus cicero L., followed by the P-S reaction being catalyzed by the recombinant NCS from Thalictrum flavum. In the first step, various aliphatic and aromatic amines were transformed into the corresponding aldehydes by the broad specificity of diamine oxidase enzyme, while the second step afforded chiral substituted THIQs in good yield [260].
6.1.4. Biotransformations: Update 2011–2015
(2011) Pictet-Spenglerases (P-Sases) are highlighted among the enzymes that have been employed for C-C bond forming reaction on a preparative scale [261]. In concert with Oikawa model for saframycin [246], the presumed activity of a P-Sase was invoked in the biosynthetic pathway for anticancer agent ET-743 [262].
(2012) O’Connor and coworkers described the substrate scope and limitations of a NCS from Thalictrum flavum (TfNCS). Nineteen aldehyde analogs 256a–n, which were synthesized or commercially available, were treated (at 1 mM concentration) with dopamine and TfNCS (300 µM) in TRIS buffer (100 µM, pH 7) to give the corresponding norcoclaurine derivatives 257 in enantioselective fashion (S-form) (Scheme 78) [263]. Including for each reaction inactive (boiled) enzyme controlled the enzymatic background. As a result, TfNCS proved to have exceptionally broad aldehyde substrate specificity, turning over aldehydes 256a–n. Only the THIQs corresponding to (the small) formaldehyde (HCHO) and acetaldehyde (CH3CHO), as well as benzaldehyde (C6H5CHO), could not be detected. By contrast, NCS showed a strict requirement for the amine substrate, which is dopamine. In fact, neither tryptamine, which is the natural substrate of the enzyme in the plant, nor commercially available 3,4-disubstituted phenylethylamines (not shown), provided any product with native 4-HPAA. This substrate specificity is consistent with earlier studies [238,239] that require the amine substrate to contain a hydroxy group at the C-3 position of the aromatic ring. In conclusion, these findings revealed that NCS could be used as a catalyst to yield a variety of substituted THIQs.
Scheme 78.
Aldehyde variability of Thalictrum flavum (TfNCS) in the synthesis of substituted THIQs.
Pesnot et al. investigated the versatility and potential of a NCS from Coptis japonica (CjNCS2), together with the development and application of a novel fluorescence-based high-throughput assay using several amines/aldehydes. The tetrahydroisoquinolines were formed as the (1S)-isomer in 95% ee. The exceptional tolerance of NCS towards aldehyde substrates was further supported by the proposed mechanism, in which the aldehydes protrude out of the enzymatic pocket [264].
A novel function of strictosidine synthase (STR1) allowed, for the first time, a simple enzymatic synthesis of the strictosidine analogues 259, harboring the piperazino[1,2-a]indole (PI) scaffold, starting from secologanin and the novel indole-like amine 258 (Scheme 79). STR1 provided exclusively access to products 259 and can generate by chemoenzymatic approach libraries of a novel class of alkaloids with potentially new biological activities [265].
Scheme 79.
Enzymatic synthesis of the novel piperazino[1,2-a]indole scaffold.
(2014) Nakagawa et al. developed a production system of (R,S)-tetrahydropapaveroline (THP) by altering the reticuline synthetic pathway [253] that was previously constructed while using E. coli. L-tyrosine (obtained from glycerol via a tyrosine over-producing pathway) is oxidized by tyrosinase to L-DOPA, which in turn is transformed into dopamine by DOPA decarboxylase (DODC). Finally MAO oxidizes dopamine to 3,4-DHPAA and these last two compounds are spontaneously converted to (R,S)-THP through a non-enzymatic P-S reaction (Scheme 80) [266]. In the synthetic pathway from glycerol to tyrosine to 3,4-DHPAA, previously reported [254], NCS was used instead for THP synthesis.
Scheme 80.
(R,S)-Tetrahydropapaveroline (THP) synthetic pathway constructed in engineered E. coli strains.
Maresh et al. reported a convenient method for oxidative decarboxylation of α-amino acids and extended the enantioselective enzymatic synthesis of (S)-norcoclaurine (R = H, Scheme 72 [259,260]) to halogenated (R = Cl, Br, I) high purity derivatives. Phenylalanine and tryptophan were also successfully converted in the corresponding P-S products (not shown) [267].
Nishihachijo et al. showed that NCS is a promising catalyst for synthesizing non-natural, optically active THIQs. The authors examined the aldehyde substrate specificity of a NCS from Coptis japonica expressed in E. coli, by synthesizing 6,7-dihydroxy-1-phenethyl- and 6,7-dihydroxy-1-propyl-1,2,3,4-tetrahydroisoquinolines. The two P-S products were obtained in yield of 86.0 and 99.6%, and in ee of 95.3 and 98.0%, respectively [268].
(2015) Stöckigt and coworkers updated strategies and methods for exploring the applicability of STR to the formation of new alkaloids with unusual substitution pattern or (even) with novel scaffold while taking strictosidine synthase from Rauwolfia serpentina (RsSTR) and Catharanthus roseus (CrSTR) as representative models. The authors introduced the latest released complex structures of RsSTR with new substrates. The examples provided in the article pave the way to the construction of novel alkaloid libraries by chemoenzymatic approaches [269].
Ward et al. described and assessed two different mechanisms of NCS activity: The “HPAA-first” mechanism (based on the holo X-ray crystal structure [239]) and the “dopamine-first” mechanism. The authors observed novel kinetic parameters that show NCS to operate with low catalytic efficiency. The amino acid substitution pattern L76A, which was located in the proposed “dopamine-first” aldehyde binding site, resulted in a modification of the aldehyde activity profile, strongly supporting the mechanism in question [270].
6.2. Chemistry and biology of Pictet-Spengler Reaction
Started in the old world of natural products, the P-S reaction pathway culminates in the modern technological applications of enzymes.
Aldehyde- and ketone-functionalized proteins are appealing substrates for the development of chemically modified biotherapeutics and protein-based materials.
The close tie of P-S reaction with biology materializes in the iso-Pictet-Spengler reaction as the basis of a bond that connects the orthogonal bioconjugation of a small molecule with a large protein.
6.2.1. Iso-Pictet-Spengler
Natural and synthetic compounds containing the THBC framework are endowed with an extraordinary range of biological activity [271]. The closely related tetrahydro-γ-carboline (THGC) scaffold is unknown among natural product structures, however, holds considerable potential as a template for drug discovery [272,273].
Klausen and Jacobsen reported that chiral thiourea derivatives in combination with benzoic acid promote catalytic asymmetric iso-P-S reactions of electronically and sterically diverse imines, providing unprotected THBCs in high ee and yield [274].
(2011) Through an approach founded on the above findings, Jacobsen and coworkers described a straightforward and direct route to enantiomerically enriched THGCs 261 via the one-pot condensation/cyclization of 2-substituted-indolyl-ethylamines (isotryptamines) 260 and aldehydes or ketones I (Scheme 81). In a reaction defined “iso-Pictet-Spengler”, chiral thioureas TH-2, TH-3, or TH-4 (20 mol%) (see Scheme 81) and benzoic acid PhCO2H (10–20 mol%) were found as the more effective cocatalysts and gave the THGC 261a (X = H, R = i-Pr; R′ = H) with a 97% yield and 95% ee. [275]. Ketone substrates I were also successfully applied to the iso-P-S protocol. The authors explored also whether the THGC framework might undergo analogous transformations into structurally and stereochemically complex alkaloid scaffolds. They targeted the synthesis of the spirocyclic oxindole 261b (X = H; R = Me; R′ = 4-ClC6H4) [276].
Scheme 81.
Thiourea/benzoic acid-catalyzed enantioselective iso-Pictet-Spengler reaction.
(2012) Highly enantioselective iso-P-S reactions concerned the condensation of either (1H-indol-4-yl)methanamine 262 or 2(1H-indol-1-yl)ethanamine 258a with a variety of α-keto-amides 263, followed by the addition of a chiral silicon Lewis acid 264. The reaction, in a modified P-S-like procedure, provided access to 3,3-disubstituted-1,3,4,5-tetrahydropyrrolo[4,3,2-de]isoquinolines 265 and 1,1-disubstituted-1,3,4,5-tetrahydropyrazino[1,2-a]indoles 266, respectively (Scheme 82) [277].
Scheme 82.
Enantioselective iso-Pictet-Spengler reaction for indole-based core structures.
Conversely the substrate 268 was prepared by a gold-catalyzed domino cycloisomerization of 2(4-tosylaminobut-1-yn-1-yl)aniline 267 and then afforded with aldehydes I the corresponding 1-aryl-N-tosyl-2,3,4,5-tetrapyrido[4,3b]indole 216 (Scheme 83) [275].
Scheme 83.
One-pot domino cycloisomerization/iso-Pictet-Spengler reaction.
C2-linked o-aminobenzylindoles 217 give with trifluoromethylketones, in the presence of chiral spirocyclic phosphoric acids (SPA-2, see Scheme 33), optically active benzazepinoindoles 218, bearing trifluoromethylated quaternary stereocenters (Scheme 84) [278].
Scheme 84.
Synthesis of benzazepinoindoles via organocatalysis.
6.2.2. Orthogonal Bioconjugation
The bioorthogonal chemical reactions are the key for selective modifications of biological species and they involve the creation of non-biological molecules that exert an effect on or reveal new information about biological systems. The bioorthogonal ligation between a biomolecule and a reactive partner does not perturb other chemical functionality naturally found within the cell system [279]. Recently, McKay and Finn provided an update on the last developments in the selective chemical modification of biological molecules, the so-called bioorthogonal chemistry, and analyzed strategies and applications [280]. Aldehydes and ketones were among the functionalities amenable to incorporation into biomolecules for their synthetic accessibility and small size. Several chemical, enzymatic, and genetic methods have been developed to introduce aldehydes and ketones into protein sites specifically [279]. Historically, oximes and hydrazones have been used for ligation to carbonyls, which, as mild electrophiles are typically conjugated with α-effect nucleophiles, such as substituted hydrazines or alkoxyamines. However, the resulting C = N linkages are susceptible to hydrolysis under physiologically relevant conditions [279,280]. Moreover, oxime formation requires acidic conditions (pH 4.5) to proceed at any appreciable rate, while prolonged exposure to acid might damage sensitive biomolecules. A C-C bond was taken in consideration and the classic P-S cyclization was applied to the N-terminal labeling of horse heart myoglobin to overcome the instability of the oxime constructs [281,282,283], but to avoid harsh acidic conditions, which were not consistent with protein bioconjugation, the used the incubation of the protein and tryptophan or tryptamine in phosphate buffer (pH 6.5) at 37 °C for 18 h as reaction conditions.
(2013) Bertozzi and coworkers introduced a P-S ligation to prepare hydrolytically stable conjugates with glyoxyl- and formylglycine-modified proteins, including a monoclonal antibody [281]. The canonical aliphatic amine was replaced with alkoxyamine since kinetic studies of the classic P-S reaction suggested the formation of the iminium ion as the rate-limiting step. In addition, the functionality was moved to the 2-position, leaving the more nucleophilic 3-position to engage in the electrophilic substitution, such as in an “iso-Pictet-Spengler” reaction [276]. Finally, the aminooxy substituent was methylated to provide a more reactive oxyminium ion intermediate [281,282,283]. Compound 272a (R′ = CH2CH2CO2H) was prepared in few steps, starting from indole-2-methanol, and culminating in the rapid formation under acidic conditions of dihydroxy-β-oxa-γ-carboline 273a, a product that was hydrolytically more stable than the model oxime (Scheme 85). Compounds 273b and 273c were prepared to evaluate the iso-P-S ligation as a means to label aldehyde-functionalized proteins. The first one was obtained by treatment of Teoc protected 272a with amino-poly (ethylene glycol)- functionalized biotin, followed by deprotection with CsF, to give 272b, and by ligation to the N-terminal glyoxyl moiety of horse heart myoglobin (glyoxyl Mb). Analogously, the indole 272c was synthesized by a similar sequence of coupling 272a with Alexa Fluor 488 (AF488), while the oxacarboline 273c was obtained by ligation with the formylglicine-functionalized C-terminus of the six-residue peptide sequence LCTPSR of maltose-binding protein (FGly-MBP). The studies put in evidence that P-S ligation might enhance the metabolic, enzymatic, and chemical functionalization of proteins and other biomolecules.
Scheme 85.
Synthesis of hydrolytically stable conjugates with glyoxyl- and formylglycine-modified proteins through a reactive oxyminium ion intermediate.
(2013) Rabuka and coworkers introduced a new reaction, the hydrazino-Pictet-Spengler (HIPS) ligation, which proceeds quickly around neutral pH and allows for one-step labeling of aldehyde-functionalized proteins under mild conditions. The HIPS ligation product is very stable (>5 days) in human plasma when compared to an oxime –linked conjugate (~1 day) [283].
(2014) Hydrazino-iso-Pictet-Spengler (HIPS) chemistry was successfully employed to prepare antibody-drug-conjugates (ADCs) [284,285].
(2015) The site-specific HIPS ligation was also used for labeling covalently proteins with a fluorophore [286].
A paper from Kudirka and Rabuka reviews the advance in site-specific ADCs for cancer therapy and highlights the chemistry of the reaction, dubbed iso-Pictet-Spengler ligation [287].
6.2.3. Unnatural Compounds from Fungal Pictet-Spengler Biosynthesis
The P-S reaction contributes greatly to framework diversification of important alkaloids by forming a piperidine ring condensed to aromatic ring or indole moiety with plant-derived Pictet-Spenglerases. Piperidine ring-containing secondary metabolites have also been found in bacteria (e.g., THIQs 274 from Streptomyces lavendulae [288] and THBCs 275 from Marinactinospora thermotolerans [250]), in sponges (e.g., marine natural product hyrtioreticulin F from the sponge Hirtios reticulatis [289]) and animals (e.g., THBC derivatives 276 from rat brain [290]) (resumed in Figure 5) and a Pictet-Spenglerase has been presumed to be involved in their biosynthetic pathways.
Figure 5.
Piperidine ring-containing secondary metabolites from a variety of sources.
Fungi, especially the Ascomycota genus, have been reported as prolific producers of alkaloids containing one or more indole/indoline moieties [291], mostly endowed with potent biological activities [292]. By time nothing was known regardinf the P-S reaction in the fungal kingdom. Only more recently the availability of fungal genome sequences has significantly accelerated the identification of genes involved in the biosynthesis of secondary metabolites from fungi [293,294].
Tang and coworkers revealed that the different strategies to incorporate and derivatize indole moiety in pathways of fungal alkaloids are based on building blocks, such as L-tryptophan and the related 4-dimethylallyl-tryptophan (4-DMAT, by prenylation) and trypamine (by decarboxylation). However, biochemical evidences that confirm the direct incorporation of tryptamine as a precursor have not been reported [295]. Most, if not all, Chaetonium fungi in the Chaetomiaceae family produce L-tryptophan-derived alkaloid, but no P-S reaction-based secondary metabolite has been detected [296,297,298].
(2014) A comparative genomic analysis has clarified that C. globosum does have a fungal Pictet-Spengler (FPS) gene, which remains silent or poorly activated in laboratory cultivations. Therefore, a C. globosum IC5I strain was adopted to test for the activation of its “unworking” P-S reaction-based biosynthetic machinery, and 1-methyl-L-tryptophan (1-MT) was demonstrated to be able to up-regulate the FPS expression and condense with the fungal aldehyde flavipin (3,4,5-trihydroxy-6-methylphthalaldehyde) to unexpectedly form a family of skeletally unprecedented alkaloids (Scheme 86), trivially named chaetoglines A–H. Chaetogline B and F have been found to have antibacterial activity comparable to that of tinidazole (a coassayed drug prescribed in clinic for bacterial infections) against pathogenic anaerobes Veillonella parvula, Bacteroides vulgatus, Streptococcus sp., and Peptostreptococcus sp., whereas chaetogline F was also shown to be a potent inhibitor of acetyl-cholinesterase (AChE) [299].
Scheme 86.
Unnatural products (with new scaffold) obtained from 1-MT activated silent FPS gene of Chaetonium globosum 1C51.
Kasanah and coworkers studied the in vitro activity of the β-carboline-containing manzamine alkaloids against Fusarium solani, Fusarium oxysporum, and Fusarium proliferatum [300]. The data of their bioassays demonstrated that Fusarium spp were resistant to the manzamine alkaloids, because the fungi were able to transform manzamines via hydrolysis, reduction, and a retro-Pictet-Spengler. A pathway that involves the reverse catalytic ring opening and the hydrolysis of the iminium group, namely a retro-Pictet-Spengler reaction, was proposed for the mechanism of the acid catalyzed epimerization of reserpine [301]. A retro-P-S pathway was also suggested for the cis to trans epimerization of 1,2,3-trisubstituted-1,2,3,4-tetrahydro-β-carbolines, but it was ruled out on the basis of kinetic data [302]. According to the mechanism proposed for the activity of Fusarium solani on manzamine F, the THBC 278, provided by reduction of the metabolite 8-hydroxymanzamine A 277 derived from fungal metabolism of manzamine F, gives by protonation the intermediate 279a, in equilibrium with the open form 279b, which finally hydrolyzes to the 7-hydroxytryptamine 280 and the aldehyde 281 (Scheme 87) [300].
Scheme 87.
Enzymatic retro-Pictet-Spengler of fungi with manzamine alkaloids and the proposed mechanism.
7. Conclusions: Drawing a Veil over Act II
In the five years following the centenary birthday of P-S cyclization, a mess of paper demonstrated that the reaction did not exit the stage, but came up again on the limelight with new features. In the lustro the chameleonic transformation maintained the role of a protagonist, in spite of a fierce competition of variant and complementary reactions. But the history of the venerable reaction is not yet complete fulfilled.
In the same interval (2011–2015), the synthesis of scaffolds other than THIQ and THBC with potential biological and pharmaceutical application required the use of modified Pictet-Spengler reactions with structurally different substrates. For instance, in the oxa-Pictet-Spengler cyclization, that is an oxygen variation of the P-S reaction, an aromatic alcohol component, usually a β-arylethyl alcohol, reacts with a carbonyl compound (aldehyde, ketone, or their masked derivatives) to yield polysubstituted isochromans (Scheme 88) [303,304]. Recently a minireview on the catalytic enantioselective approaches to the oxa-P-S cyclization has been published by Zhu et al. [305]. On the other hand, arylamines linked to an activated aromatic nucleus, such as imidazole, might be treated with aldehydes to give imidazo-quinoxalines (n = 0) after DDQ oxidation [306] or triazabenzoazulenes (n = 1) [307] (Scheme 89). Several novel N-rich polycyclic skeletons have been synthesized by application of this P-S variation [308,309,310,311,312,313], for which we propose the name of aza-Pictet-Spengler. About these presences and more we may talk in the third Act. The curtain falls.
Scheme 88.
Sketched Oxa-Pictet-Spengler.
Scheme 89.
Sketched Aza-Pictet-Spengler.
No encore.As the curtain falls,All that is waiting is silence.(Spike Harper)
Author Contributions
A.C. designed, wrote and revised the manuscript. G.D.M. designed and wrote the manuscript. L.M. wrote and revised the manuscript. D.Q. and F.G., wrote the manuscript. S.B. (Silvia Balducci), S.B. (Simone Berardozzi), A.I., and R.F. revised the manuscript. B.B. critically revised it and gave scientific advisory. All authors have read and agreed to the published version of the manuscript.
Funding
This work has been supported by Italian Ministero dell’Istruzione, dell’Università e della Ricerca (MIUR) - Dipartimenti di Eccellenza—L.232/2016. Financial support from: PON (Piano Operativo Nazionale) ARS01_00432 PROGEMA—“Processi Green per l’Estrazione di principi attivi e la depurazione di matrici di scarto e non”, 03/2018–09/2020, from Progetto grande di ricerca di Ateneo 2017—“Targeting Hedgehog pathway: synthesis and evaluation of novel Smo and Gli inhibitors and their pharmacological effects in tumors and cancer stem cells” (Sapienza University of Rome), from PRIN 2017—“Targeting Hedgehog pathway: Virtual screening identification and sustainable synthesis of novel Smo and Gli inhibitors and their pharmacological drug delivery strategies for improved therapeutic effects in tumors” supported by MIUR and Sapienza University of Rome; and from ESF COST Action CM1407 “Challenging organic syntheses inspired by nature—from natural products chemistry to drug discovery”, are gratefully acknowledged.
Conflicts of Interest
The authors declare no conflict of interest.
References
- Ingallina, C.; D’Acquarica, I.; Delle Monache, G.; Ghirga, F.; Quaglio, D.; Ghirga, P.; Berardozzi, S.; Markovic, V.; Botta, B. The Pictet Spengler reaction still on stage. Curr. Pharm. Des. 2016, 22, 1808–1850. [Google Scholar] [CrossRef]
- Marianoff, B.E.; Zhang, H.-C.; Cohen, J.H.; Turchi, I.J.; Marianoff, C.A. Cyclizations of N-acyliminium ions. Chem. Rev. 2004, 104, 1431–1629. [Google Scholar] [CrossRef]
- Yokoyama, A.; Ohwada, T.; Shudo, K. Prototype Pictet-Spengler reactions catalyzed by superacids. Involvement of dicationic superelectrophiles. J. Org. Chem. 1999, 64, 611–617. [Google Scholar] [CrossRef]
- Barley, P.D.; Moore, M.H.; Smith, D.I.; Vernon, J.M. Enhancing the yield and the diastereoselectivity of the Pictet-Spengler reaction: A highly efficient route to cis-1,3-disubstituted tetrahydro-β-carbolines. Tetrahedron Lett. 1994, 35, 3587–3588. [Google Scholar]
- Pulka, K.; Misicka, A. Influence of reaction conditions on products of the Pictet-Spengler condensation. Tetrahedron 2011, 67, 1955–1959. [Google Scholar] [CrossRef]
- Larghi, E.L.; Amongero, M.; Bracca, A.B.J.; Kaufman, T. The intermolecular Pictet-Spengler condensation with chiral carbonyl derivatives in the stereoselective syntheses of optically-active isoquinoline and indole alkaloid. ARKIVOK 2005, 2015, 98–153. [Google Scholar]
- Schmidt, G.; Waldmann, H.; Henke, H.; Burkard, M. Asymmetric Pictet-Spengler Reactions Employing N,N-Phthaloyl Amino Acids as Chiral Auxiliary Groups. Angew. Chem. Int. Ed. 1995, 34, 2402–2403. [Google Scholar]
- Schmidt, G.; Waldmann, H.; Henke, H.; Burkard, M. Asymmetric Control in the Pictet-Spengler Reaction by means of N-protected Amino Acids as Chiral Auxiliary Groups. Chem. Eur. J. 1996, 2, 1566–1571. [Google Scholar] [CrossRef]
- Yamada, H.; Kawate, T.; Matsumizu, M.; Nishida, A.; Yamaguchi, K.; Nakagawa, M. Chiral Lewis Acid-mediated Enantioselective Pictet-Spengler Reaction of Nb-Hydroxy-tryptamine with Aldehydes. J. Org. Chem. 1998, 63, 6348–6354. [Google Scholar] [CrossRef]
- Kawate, T.; Yamanaka, M.; Nagakawa, M. Chiral Auxiliary Approach to the Asymmetric Pictet-Spengler Reaction of Tryptamines. Heterocycles 1999, 50, 1033–1039. [Google Scholar]
- Ascic, E.; Hansen, C.L.; Le Quement, S.T.; Nielsen, T.E. Synthesis of tetrahydro-β-carboline via isomerization of N-allyltryptamines: A metal-catalyzed variation on the Pictet-Spengler theme. Chem. Commun. 2012, 48, 3345–3347. [Google Scholar] [CrossRef] [PubMed][Green Version]
- Gholamzadeh, P. The Pictet-Spengler Reaction: A Powerful Strategy for the Synthesis of Heterocycles. In Advances in Heterocyclic Chemistry; Scriven, E.F.V., Ramsden, C.A., Eds.; Elsevier: Amsterdam, The Netherlands, 2019; Volume 127, pp. 153–226. [Google Scholar]
- Sharma, S.; Joshi, G.; Kalra, S.; Singh, S.; Kumar, R. Synthetic versus Enzymatic Pictet-Spengler Reaction: An Overview. Curr. Org. Synth. 2018, 15, 924–939. [Google Scholar] [CrossRef]
- Magnus, N.A.; Ley, C.P.; Pollock, P.M.; Wepsiec, J.P. Pictet-Spengler based synthesis of a bisarylmaleimide Glicogen Synthase Kinase 3 inhibitor. Org. Lett. 2010, 12, 3700–3703. [Google Scholar] [CrossRef] [PubMed]
- Neelamegam, R.; Hellenbrand, T.; Schroeder, F.A.; Wang, C.; Hooker, J.M. Imaging evaluation of 5HT2C agonists, [11C]WAY-163909 and [11C]vabicaserin, formed by Pictet –Spengler Cyclization. J. Med. Chem. 2014, 57, 1488–1494. [Google Scholar] [CrossRef] [PubMed]
- Raheem, I.T.; Thiara, P.S.; Petersen, E.A.; Jacobsen, E.N. Enantioselective Pictet-Spengler type cyclizations of hydroxylactams: H-bond donor catalysis by anion binding. J. Am. Chem. Soc. 2007, 129, 13404–13405. [Google Scholar] [CrossRef] [PubMed]
- Owen, R.T.; Castaner, R.; Bolos, J.; Estivill, C. Dual orexin OX1/OX2 antagonist. Treatment of sleep disorders. Drugs Fut. 2009, 34, 5–10. [Google Scholar] [CrossRef]
- Chaudary, S.; Harding, W.W. Synthesis of C-Homoaporphines via microwave-assisted direct acylation. Tetrahedron 2011, 67, 569–575. [Google Scholar] [CrossRef]
- Berhal, F.; Wu, Z.; Zhang, Z.; Ayad, T.; Ratovelomanana-Vidal, V. Enantioselective synthesis of 1-aryltetrahydroisoquinoline through iridium catalyzed asymmetric hydrogenation. Org. Lett. 2012, 14, 3308–3311. [Google Scholar] [CrossRef]
- Chang, M.; Li, W.; Zhang, X. A highly efficient and enantio-selective access to tetrahydroisoquinoline alkaloids: Asymmetric hydrogenation with an iridium catalyst. Angew. Chem. Int. Ed. 2011, 50, 10679–10681. [Google Scholar] [CrossRef]
- Fañanás-Mistral, M.; Teichert, J.; Fernández-Salas, J.A.; Heijnen, D.; Feringa, B.L. Enantio-selective synthesis of almorexant via iridium catalysed intramolecular allylic amidation. Org. Biomol. Chem. 2013, 11, 4521–4525. [Google Scholar] [CrossRef][Green Version]
- Teichert, J.; Fañanás-Mistral, M.; Feringa, B.L. Iridium-cata-lyzed asymmetric intramolecular allylic amidation: Enantioselective synthesis of chiral tetrahydro-isoquinolines and saturated nitrogen heterocycles. Angew. Chem. Int. Ed. 2011, 50, 688–691. [Google Scholar] [CrossRef] [PubMed]
- Seidel, D. The azomethine ylide route to amine C-H functionalization: Redox version of classic reactions and a pathway to new transformations. Acc. Chem. Res. 2015, 48, 317–328. [Google Scholar] [CrossRef] [PubMed]
- Zhang, C.; Das, D.; Seidel, D. Azomethine ylide annulation: Facile access to polycyclic ring systems. Chem. Sci. 2011, 2, 233–236. [Google Scholar] [CrossRef]
- Wang, S.; Chai, Z.; Zhou, S.; Wang, S.; Zhu, X.; Wei, Y. A novel Lewis acid catalyzed [3 + 3] annulation strategy for the syntheses of tetrahydro-β-carbolines and tetrahydroisoquinolines. Org. Lett. 2013, 15, 2628–2631. [Google Scholar] [CrossRef]
- Schlosser, M.; Simig, G.; Geneste, H. Three complementary methods offering access to 5-substituted 1,2,3,4-tetrahydroisoquinolines. Tetrahedron 1998, 54, 9023–9032. [Google Scholar] [CrossRef]
- Zhang, X.; Zhang, J.; Zhang, L.; Feng, J.; Xu, Y.; Yuan, Y.; Fang, H.; Xu, W. Design, synthesis and biological evaluation of novel 1,2,3,4-tetrahydroisoquinoline-3-carboxylic acid derivatives as aminopeptidase N/CD13 inhibitors. Bioorg. Med. Chem. 2011, 19, 6015–6025. [Google Scholar] [CrossRef]
- Zou, Z.H.; Lan, X.B.; Qian, H.; Huang, W.L.; Li, Y.M. Synthesis and evaluation of furoxan based nitric oxide-releasing derivatives of tetrahydroisoquinoline as anticancer and multidrug resistance reversal agents. Bioorg. Med. Chem. Lett. 2011, 21, 5934–5938. [Google Scholar] [CrossRef]
- Zou, Z.H.; Lan, X.B.; Tang, C.L.; Zhu, X.Y.; Liu, B.M.; Qian, H.; Huang, W.L.; Li, Y.M. Synthesis and biological evaluation of a series of 6,7-dimethoxy-1-(3,4-dimethoxybenzyl)-2-substituted tetrahydro-isoquinoline derivatives. Med. Chem. 2012, 8, 711–716. [Google Scholar] [CrossRef]
- Pesnot, T.; Gershater, M.C.; Ward, J.M.; Hailes, H.C. Phosphate mediated biomimetic synthesis of tetrahydroisoquinoline alkaloids. Chem. Commun. 2011, 47, 3242–3244. [Google Scholar] [CrossRef]
- Al-Horani, R.A.; Liang, A.; Desai, U.R. Designing non-saccharide, allosteric activators of antithrombin for accelerated inhibition of factor Xa. J. Med. Chem. 2011, 54, 6125–6138. [Google Scholar] [CrossRef]
- Al-Horani Desai, U.R. Electronically rich N-substituted tetrahydoisoquinoline 3-carboxilic acid esters: Concise synthesis and conformationl studies. Tetrahedron 2012, 68, 2027–2040. [Google Scholar] [CrossRef] [PubMed]
- Leese, M.P.; Jourdan, F.L.; Dohle, W.; Kimberley, M.R.; Thomas, M.P.; Bai, R.; Hamel, E.; Ferrandis, E.; Potter, B.V.L. Steroidomimetic tetrahydroisoquinolines for the design of new microtubule disruptors. ACS Med. Chem. Lett. 2012, 3, 5–9. [Google Scholar] [CrossRef] [PubMed]
- Leese, M.P.; Jourdan, F.L.; Major, M.R.; Dohle, W.; Hamel, E.; Ferrandis, E.; Fiore, A.; Kasprzyk, P.G.; Potter, B.V.L. Tetrahydro-isoquinolinone-based steroidomimetic and chimeric microtubule disruptors. ChemMedChem 2014, 9. [Google Scholar] [CrossRef]
- Pingaew, R.; Worachartcheewan, A.; Nantasenamat, C.; Prachayasittikul, S.; Ruchirawat, S.; Prachayasittikul, V. Synthesis, cytotoxicity and QSAR study of N-tosyl-1,2,3,4-tetrahydro-isoquinoline derivatives. Arch. Pharm. Res. 2013, 36, 1066–1077. [Google Scholar] [CrossRef]
- Pingaew, R.; Mandi, P.; Nantasenamat, C.; Prachayasittikul, S.; Ruchirawat, S.; Prachayasittikul, V. Design, synthesis and molecular docking studies of novel N-benzenesulfonyl-1,2,3,4-tetrahydroisoquinoline-based triazole with potential anticancer activity. Eur. J. Med. Chem. 2014, 81, 192–203. [Google Scholar] [CrossRef]
- Xu, G.; Guo, J.; Yan, Z.; Wang, N.; Liu, Z.-Z. Synthesis and citotoxicity of dinuclear platinum (II) complexes of (1S,3S)-1,2,3,4-tetrahydroisoquinolines. Chin. Chem. Lett. 2013, 24, 186–188. [Google Scholar] [CrossRef]
- Mons, E.; Wanner, M.J.; Ingemann, S.; van Maarseveen, J.H.; Hiemstra, H. Organocatalytic enantioselective Pictet-Spengler reactions for the syntheses of 1-substituted 1,2,3,4-tetrahydro-isoquinolines. J. Org. Chem. 2014, 79, 7380–7390. [Google Scholar] [CrossRef]
- Guzman, J.D.; Pesnot, T.; Barrera, D.A.; Davies, H.M.; McMahon, E.; Evangelopoulos, D.; Mortazavi, P.N.; Munshi, T.; Maitra, A.; Lamming, E.D.; et al. Tetrahydroisoquinolines affect the whole-cell phenotype of Mycobacterium tuberculosis by inhibiting the ATP-dependent MurE ligase. J. Antimicrob. Chemoter. 2015, 70, 1691–1703. [Google Scholar] [CrossRef]
- Ruiz-Olalla, A.; Würdemann, M.A.; Wanner, M.J.; Ingemann, S.; van Maarseveen, J.H.; Hiemstra, H. Organocatalytic enantioselective Pictet-Spengler approach to biologically relevant 1-benzyl-1,2,3,4-tetrahydroisoquinoline alkaloids. J. Org. Chem. 2015, 80, 5125–5132. [Google Scholar] [CrossRef]
- Shen, Y.-C.; Chang, Y.-T.; Lin, C.-L.; Liaw, C.-C.; Kuo, Y.H.; Tu, L.-C.; Yeh, S.F.; Chern, J.-W. Synthesis of 1-substituted carbazolyl-1,2,3,4-tetrahydro- and carbazolyl-3,4-dihydro-β-carboline analogs as potential antitumor agents. Mar. Drugs 2011, 9, 256–277. [Google Scholar] [CrossRef]
- Painter, T.O.; Wang, L.; Majumder, S.; Xie, X.-Q.; Brummond, K.M. Diverging DOS strategy using an allene-containing tryptophan scaffold and a library design that maximize biologically relevant chemical space while minimizing the number of compounds. ACS Comb. Sci. 2011, 13, 166–174. [Google Scholar] [CrossRef] [PubMed][Green Version]
- Arai, T.; Wasai, M.; Yokoyama, N. Easy access to fully functionalized chiral tetrahydro-β-carboline alkaloids. J. Org. Chem. 2011, 76, 2909–2916. [Google Scholar] [CrossRef] [PubMed]
- Duce, S.; Pesciaioli, F.; Gramigna, L.; Bernardi, L.; Mazzanti, A.; Ricci, A.; Bartoli, G.; Bencivenni, G. An easy entry to optically active spiroindolinones: Chiral Brønsted acid-catalysed Pictet-Spengler reactions of isatins. Adv. Synth. Catal. 2011, 353, 860–864. [Google Scholar] [CrossRef]
- Badillo, J.J.; Silva-Garcia, A.; Shupe, B.H.; Fettinger, J.C.; Franz, A.K. Enantioselective Pictet-Spengler reactions of isatins for the synthesis of spiroindolones. Tetrahedron Lett. 2011, 52, 5550–5553. [Google Scholar] [CrossRef]
- Zou, B.; Yap, P.; Sonntag, L.-S.; Leong, S.Y.; Yeung, B.K.S.; Keller, T.H. Mechanistic study of the spiroindolones: A new class of antimalarial. Molecules 2012, 17, 10131–10141. [Google Scholar] [CrossRef] [PubMed]
- Skouta, R.; Hayano, M.; Shimada, K.; Stockwell, B.R. Design and synthesis of Pictet-Spengler condensation products that exhibit oncogenic-RAS synthetic lethality and induce non-apoptotic cell death. Bioorg. Med. Chem. Lett. 2012, 22, 5707–5713. [Google Scholar] [CrossRef] [PubMed]
- Nikolić, D.; Gödecke, T.; Chen, S.-N.; White, J.; Lankin, D.C.; Pauli, G.F.; van Breemen, R.B. Mass spectrometric dereplication of nitrogen-containing constituents of black cohosh (Cimifuga racemosa L.). Fitoterapia 2012, 83, 441–460. [Google Scholar] [CrossRef]
- Huang, D.; Xu, F.; Lin, X.; Wang, Y. High enantioselective Pictet-Spengler reaction catalyzed by SPINOL phosphoric acids. Chem. Eur. J. 2012, 18, 3148–3152. [Google Scholar] [CrossRef]
- Rashid, N.; Alam, S.; Hasan, M.; Khan, K.M.; Duddeck, H.; Pescitelli, G.; Kenéz, A.; Antus, S.; Kurtán, T. Cis-diastereoselectivity in Pictet-Spengler reaction of L-tryptophan and Electronic Circular Dicroism Studies. Chirality 2012, 24, 789–795. [Google Scholar] [CrossRef]
- Brummond, K.M.; Goodell, J.R.; LaPorte, M.G.; Wang, L.; Xie, X.-Q. Synthesis and in silico screening of a library of β-carboline-containing compounds. Beilstein J. Org. Chem. 2012, 8, 1048–1058. [Google Scholar] [CrossRef]
- Edwankar, R.V.; Edwankar, C.R.; Namioshi, O.A.; Deschamps, J.R.; Cook, J.M. Brönsted acid mediated cyclization of enaminones. Rapid and efficient access to the tetracyclic framework of the Strychnos alkaloids. J. Nat. Prod. 2012, 75, 181–188. [Google Scholar] [CrossRef] [PubMed]
- Zhang, Q.; Fan, Z.; Dong, J.; Shi, X.-X.; Lu, X. Novel asymmetric total syntheses of (R)-pyridindolol, (R)-pyrindolol K1, and (R)-pyrindolol K2 via a mild one-pot aromatization of N-tosyl-tetrahydro-β-carboline with (S)-2,3-isopropylidene-L-glyceraldehyde as the source of chirality. Tetrahedron Asymmetry 2013, 24, 633–637. [Google Scholar] [CrossRef]
- Sharma, A.; Singh, M.; Nand Rai, N.; Savant, D. Mild and efficient cyanuric chloride catalyzed Pictet-Spengler reaction. Beilstein J. Org. Chem. 2013, 9, 1235–1242. [Google Scholar] [CrossRef] [PubMed]
- Gao, J.-R.; Wu, H.; Xiang, B.; Yu, W.-B.; Han, L.; Jia, Y.-X. Highly enantioselective construction of trifluoromethylated carbon quaternary stereocenters via nickel-catalyzed Friedel-Crafts alkylation reaction. J. Am. Chem. Soc. 2013, 135, 2983–2986. [Google Scholar] [CrossRef] [PubMed]
- Lesma, G.; Cecchi, R.; Cagnotto, A.; Gobbi, M.; Mereghetti, F.; Musolino, M.; Sacchetti, A.; Silvani, A. Tetrahydro-β-carboline-basedspyrocyclic lactam as type II’ β-turn: Application to the synthesis and biological evaluation of somatostatine mimetics. J. Org. Chem. 2013, 78, 2600–2610. [Google Scholar] [CrossRef] [PubMed]
- Pulka, K.; Slupska, M.; Puszko, M.; Wilczek, M.; Kozminski, W.; Misicka, A. peptides and peptidoaldehydes as substrates for the Pictet-Spengler reaction. J. Pept. Sci. 2013, 19, 433–440. [Google Scholar] [CrossRef] [PubMed]
- Hanyu, M.; Takada, Y.; Hashimoto, H.; Kawamura, K.; Zhang, M.-R.; Fukumura, T. Carbon-11 radiolabeling of an oligopeptide containing tryptophan hydrochloride via a Pictet-Spengler reaction using carbon-11 formaldehyde. J. Pept. Sci. 2013, 19, 663–668. [Google Scholar] [CrossRef]
- Wang, L.-N.; Shen, S.-L.; Qu, J. Simple and efficient synthesis of tetrahydro-β-carboline via the Pictet-Spengler reaction in1,1,1,3,3,3-hexafluoro-2-propanol (HFIP). RSC Adv. 2014, 4, 30733–30741. [Google Scholar] [CrossRef]
- Brokamp, R.; Bergmann, B.; Müller, I.B.; Bienz, S. Stereoselective preparation of pyridoxal 1,2,3,4-tetrahydro-β-carboline derivatives and the influence of their absolute and relative configuration on the proliferation of the malaria parasite Plasmodium falciparum. Bioorg Med. Chem. 2014, 22, 1832–1837. [Google Scholar] [CrossRef]
- Kabeshov, M.A.; Musio, B.; Murray, P.R.D.; Browne, D.L.; Ley, S.V. Expedient preparation of nazlinine and a small library of indole alkaloid using flow electrochemistry as an enabling technology. Org. Lett. 2014, 16, 4618–4621. [Google Scholar] [CrossRef]
- Mittal, N.; Sun, D.X.; Seidel, D. Conjugate-base-stabilized Brønsted acids: Catalytic enantioselective Pictet-Spengler reactions with unmodified tryptamine. Org. Lett. 2014, 16, 1012–1015. [Google Scholar] [CrossRef] [PubMed]
- Slupska, M.; Pulka-Ziach, K.; Deluga, E.; Sosnowski, P.; Wilenska, B.; Kozminski, W.; Misicka, A. Synthesis of rigid tryptophan mimetics by the diastereoselective Pictet-Spengler reaction of β3-homo-tryptophan derivatives with chiral α-amino aldehydes. J. Pept. Sci. 2015, 21, 893–904. [Google Scholar] [CrossRef] [PubMed]
- Vavsari, V.F.; Dianati, V.; Ramezanpour, S.; Balalaie, S. Stereoselective synthesis of functionalized tetrahydro-β-carbolines via Pictet-Spengler reaction. Synlett 2015, 26, 1955–1960. [Google Scholar] [CrossRef]
- Todd, M.H. Catalytic, Asymmetric Pictet-Spengler Reaction. OpenWetWare. 2016. Available online: https://openwetware.org/wiki/Todd:Catalytic,_Asymmetric_Pictet-Spengler_Reaction (accessed on 10 January 2020).
- Dalpozzo, R. The chiral pool in the Pictet-Spengler reaction for the synthesis of β-carbolines. Molecules 2016, 21, 699. [Google Scholar] [CrossRef]
- Mastranzo, V.M.; Yuste, F.; Ortiz, B.; Sánchez-Obregón, R.; García Ruano, J.L. Asymmetric synthesis of (S)-(−)-xylopinine.Use of the sulfinyl group as an ipso director in aromatic SE. J. Org. Chem. 2011, 76, 5036–5041. [Google Scholar] [CrossRef]
- Mastranzo, V.M.; Olivares Romero, J.L.; Yuste, F.; Ortiz, B.; Sánchez-Obregón, R.; García Ruano, J.L. Asymmetric synthesis of (S)-(−)-tetrahydropalmatine and (S)-(−)-canadine via sulfinyl directed Pictet-Spengler cyclization. Tetrahedron 2012, 68, 1266–1271. [Google Scholar] [CrossRef]
- Gómez-SanJuan, A.G.; Sotomayor, S.; Lete, E. Enantioselective intramolecular α-amidoalkylation reaction in the synthesis of pyrrolo[2,1-a]isoquinolines. Tetrahedron Lett. 2012, 53, 2157–2159. [Google Scholar] [CrossRef]
- Petersen, R.; Cohrt, A.E.; Petersen, M.Å.; Wu, P.; Clausen, M.H.; Nielsen, T.E. Synthesis of hexahydropyrrolo[2,1-a]isoquinoline compound libraries through a Pictet-Spengler cyclization/metal catalyzed cross coupling/amidation sequence. Bioorg. Med. Chem. 2015, 23, 2466–2469. [Google Scholar] [CrossRef]
- Lin, Y.D.; Cho, C.-L.; Ko, C.-W.; Pultte, A.; Wu, Y.-T. Palladium catalyzed annulation of 2,2’-diiodobiphenyls with alkynes: Synthesis and application of phenanthrenes. J. Org. Chem. 2012, 77, 9979–9988. [Google Scholar] [CrossRef]
- Su, B.; Cai, C.; Wang, Q. Enantioselective approach to 13a-methylphenanthroindozilidine A. J. Org. Chem. 2012, 77, 7981–7987. [Google Scholar] [CrossRef]
- Larsson, R.; Blanco, N.; Johansson, M.; Sterner, O. Synthesis of C-1 indol-3-yl substituted tetrahydroisoquinoline derivatives via a Pictet-Spengler approach. Tetrahedron Lett. 2012, 53, 4966–4970. [Google Scholar] [CrossRef]
- Jida, M.; Soueidan, O.-M.; Deprez, B.; Laconde, G.; Deprez-Poulain, R. Racemic and diastereoselective construction of indole alkaloid under solvent- and catalyst-free microwave-assisted Pictet-Spengler condensation. Green Chem. 2012, 14, 909–911. [Google Scholar] [CrossRef]
- Arumugam, N.; Raghunatan, R.; Almansour, A.I.; Karama, U. An efficient synthesis of highly functionalized novel chromeno[4,3-b]pyrroles and indolizino[6,7-b]indoles as potent antimicrobial and antioxidant agents. Bioorg. Med. Chem. Lett. 2012, 22, 1375–1379. [Google Scholar] [CrossRef] [PubMed]
- El-Gamil, D.S.; Ahmed, N.S.; Gary, B.D.; Piazza, G.A.; Engel, M.; Hartmann, R.W.; Abadi, A.H. Design of novel β-carboline derivatives with pendant 5-bromothienyl and their evaluation as phosphodiesterase-5 inhibitors. Arch. Pharm. 2013, 346, 23–33. [Google Scholar] [CrossRef]
- Ma, Y.; Wu, H.; Zhang, J.; Li, Y. Enantioselective synthesis and antimicrobial activities of tetrahydro-β-carboline diketopiperazines. Chirality 2013, 10, 656–662. [Google Scholar] [CrossRef]
- Airaghi, F.; Fiorati, A.; Lesma, G.; Musolino, M.; Sacchetti, A.; Silvani, A. The diketopiperazine-fused tetrahydro-β-carboline scaffold as a model peptidomimetic with an unusual α-turn secondary structure. Beilstein J. Org. Chem. 2013, 9, 147–154. [Google Scholar] [CrossRef]
- Lood, C.S.; Koskinen, A.M.P. Synthesis of (S)- and (R)-harmicine from proline: An approach toward tetrahydro-β-carbolines. Eur. J. Org. Chem. 2014, 2014, 2357–2364. [Google Scholar] [CrossRef]
- Lood, C.S.; Nieger, M.; Koskinen, A.M.P. Enantiospecific gram scale synthesis of (S)-eleagnine. Tetrahedron 2015, 71, 5019–5024. [Google Scholar] [CrossRef]
- Gurram, M.; Gyimóthy, B.; Wang, R.; Lam, S.Q.; Ahmed, F.; Herr, R.J. Concise enantiospecific, stereoselective syntheses of (±)-crispine A and its (−)-antipode. J. Org. Chem. 2011, 76, 1605–1613. [Google Scholar] [CrossRef]
- Yokoya, M.; Ito, H.; Saito, N. Synthesis of renieramycins: Construction of the core ring system of cribrostatin 4 through modified Pictet-Spengler cyclization of 3,6-bisarylpiperazine-2,5-dione with diethoxyethyl benzoate. Chem. Pharm. Bull. 2011, 59, 787–792. [Google Scholar] [CrossRef]
- Yokoya, M.; Ito, H.; Saito, N. Chemistry of renieramycins. Part 11: Total synthesis of (±)-cribrostatin 4. Tetrahedron 2011, 67, 9185–9192. [Google Scholar] [CrossRef]
- Yokoya, M.; Shinada-Fujino, K.; Saito, N. Chemistry of renieramycins. Part 9: Stereocontrolled total synthesis of (±)-renieramycin. Tetrahedron Lett. 2011, 52, 2446–2449. [Google Scholar] [CrossRef]
- Yokoya, M.; Shinada-Fujino, K.; Yoshida, S.; Mimura, M.; Takada, H.; Saito, N. Chemistry of renieramycins. Part 12: An improved total synthesis of (±)-renieramycin G. Tetrahedron 2012, 68, 4166–4181. [Google Scholar] [CrossRef]
- Petit, L.; Banwell, M.G.; Willis, A.C. The total synthesis of the crinine alkaloid hamayne via a Pd(0)-catalyzed intramolecular Alder-ene reaction. Org. Lett. 2011, 13, 5800–5803. [Google Scholar] [CrossRef]
- Huntley, R.J.; Funk, R.L. Total synthesis of (±)-γ-lycorane via the electrocyclic ring closure of a divinylpyrroline. Tetrahedron Lett. 2011, 52, 6671–6674. [Google Scholar] [CrossRef][Green Version]
- Dong, W.; Liu, W.; Liao, X.; Guan, B.; Chen, S.; Liu, Z. Asymmetric total synthesis of (−)-saframycin A from L-tyrosine. J. Org. Chem. 2011, 76, 5363–5368. [Google Scholar] [CrossRef]
- Kerschgens, I.P.; Claveau, E.; Wanner, M.J.; Ingemann, S.; van Maarseveen, J.H.; Hiemstra, H. Total syntheses of mitragynine, paynantheine and specogynine via an enantioselective thiourea-catalysed Pictet-Spengler reaction. Chem. Commun. 2012, 48, 12243–12245. [Google Scholar] [CrossRef]
- Flink, H.; Jokela, R. Microwave-assisted total synthesis of tangutorine. Tetrahedron 2012, 68, 33811–33814. [Google Scholar] [CrossRef]
- Yoshida, A.; Akaiwa, M.; Asakawa, T.; Hamashima, Y.; Yokoshima, S.; Fukuyama, T.; Kan, T. Total synthesis of (−)-lemonomycin. Chem. Eur. J. 2012, 18, 11192–11195. [Google Scholar] [CrossRef]
- Jiménez-Somarriba, A.; Williams, R.M. Synthetic studies on lemonomycin: Construction of the tetracyclic core. Tetrahedron 2013, 69, 7505–7512. [Google Scholar] [CrossRef][Green Version]
- Lebold, T.P.; Wood, J.L.; Deitch, J.; Lodewik, M.W.; Tantillo, D.J.; Sarpong, R. A divergent approach to the synthesis of the yohimbinoid alkaloids venenetine and alstovenine. Nat. Chem. 2013, 5, 126–131. [Google Scholar] [CrossRef] [PubMed]
- Guo, J.; Dong, W.; Liu, W.; Yan, Z.; Wang, N.; Liu, Z. Synthesis and cytotoxicity of 3-acrylic amide derivatives of the simplified saframycin-ecteinascidin skeleton prepared from L-DOPA. Eur. J. Med. Chem. 2013, 62, 670–676. [Google Scholar] [CrossRef] [PubMed]
- Liu, Z.-Z.; Wang, Y.; Tang, Y.-F.; Chen, S.-Z.; Chen, X.-G.; Li, H.-Y. Synthesis and antitumor activity of simplified ecteinascidin–saframycin analogs. Bioorg. Med. Chem. Lett. 2006, 16, 1282–1285. [Google Scholar] [CrossRef] [PubMed]
- Edwankart, C.R.; Edwankart, R.V.; Namjashi, O.A.; Liao, X.; Cook, J.M. Stereospecific approach to the synthesis of ring-A oxygenated Sarpagine indole alkaloids. Total synthesis of the dimeric P-(+)-dispegatrine and six other monomeric indole alkaloids. J. Org. Chem. 2013, 78, 6471–6478. [Google Scholar] [CrossRef] [PubMed]
- Chen, R.; Liu, H.; Chen, X. Asymmetric total synthesis of (−)-jorunnamycins A and C and (−)-jorumycin from L-tyrosine. J. Nat. Prod. 2013, 76, 1789–1795. [Google Scholar] [CrossRef]
- Liu, H.; Chen, R.; Chen, X. A rapid and efficient access to renieramycin-type alkaloids featuring a temperature–dependent stereoselective cyclization. Org. Biomol. Chem. 2014, 12, 1633–1640. [Google Scholar]
- Craig, D.; Goldberg, F.W.; Pett, R.V.; Tholen, N.T.H.; White, A.J.P. Aziridine-based concise synthesis of (±)-alstonerine. Chem.Commun. 2013, 49, 9275–9277. [Google Scholar] [CrossRef]
- L’Homme, C.; Menard, M.A.; Canesi, S. Synthesis of the Erythrina Alkaloid Erysotramidine. J. Org. Chem. 2014, 79, 8481–8485. [Google Scholar] [CrossRef]
- Maertens, G.; L’Homme, C.; Canesi, S. Total synthesis of natural products using hypervalent iodine reagents. Front. Chem. 2015, 2, 1–16. [Google Scholar] [CrossRef]
- Granger, B.A.; Jewett, I.T.; Butler, J.D.; Martin, S.F. Concise total synthesis of (±)-actynophyllic acid. Tetrahedron 2014, 70, 4094–4104. [Google Scholar] [CrossRef]
- Nakai, K.; Kubo, K.; Yokoya, M.; Saito, N. Preparation of renieramycin left-half model compounds. Tetrahedron 2014, 70, 6529–6545. [Google Scholar] [CrossRef]
- Yokoya, M.; Kobayashi, K.; Sato, M.; Saito, N. Chemistry of renieramycins. Part 14: Total synthesis of renieramycin I and practical synthesis of cribrostatin 4 (renieramycin H). Mar. Drugs 2015, 13, 4915–4933. [Google Scholar] [CrossRef] [PubMed]
- Herlè, B.; Wanner, M.J.; van Maarseveen, J.H.; Hiemstra, H. Total synthesis of (+)-yohimbine via an enantioselective organocatalytic Pictet-Spengler reaction. J. Org. Chem. 2011, 76, 8907–8912. [Google Scholar] [CrossRef] [PubMed]
- Mizuno, T.; Oonishi, Y.; Takimoto, M.; Sato, Y. Total synthesis of (−)-corynantheidine by nickel-catalyzed carboxylative cyclization of enynes. Eur. J. Org. Chem. 2011, 2011, 2606–2609. [Google Scholar] [CrossRef]
- Wanner, M.J.; Claveau, E.; van Maarseveen, J.H.; Hiemstra, H. Enantioselective syntheses of Corinanthe alkaloids by chiral Brønsted acid and palladium catalysis. Chem. Eur. J. 2011, 17, 13680–13683. [Google Scholar] [CrossRef] [PubMed]
- Fonseca, G.O.; Wang, Z.-J.; Namjoshi, O.A.; Deschamps, J.R.; Cook, J.M. First stereospecific total synthesis of (−)-affinisine oxindole as well as facile entry into the C(7)-diastereomeric chitosenine stereochemistry. Tetrahedron Lett. 2015, 56, 3052–3056. [Google Scholar] [CrossRef]
- Casciaro, B.; Calcaterra, A.; Cappiello, F.; Mori, M.; Loffredo, M.R.; Ghirga, F.; Mangoni, M.L.; Botta, B.; Quaglio, D. Nigritanine as a New Potential Antimicrobial Alkaloid for the Treatment of Staphylococcus aureus-Induced Infections. Toxins 2019, 11, 511. [Google Scholar] [CrossRef]
- Bonnet, D.; Ganesan, A. Solid-phase synthesis of tetrahydro-β-carbolinehydantoins via the N-acyliminium Pictet-Spengler reaction and cyclative cleavage. J. Comb. Chem. 2002, 4, 546–548. [Google Scholar] [CrossRef]
- Tornøe, C.W.; Sanderson, S.J.; Mottram, J.C.; Coombs, G.H.; Meldal, M. Combinatorial library of peptidotriazoles: Identification of [1,2,3]-triazoles inhibitors against a recombinant Leishmania mexicana cysteine protease. J. Comb. Chem. 2004, 6, 312–324. [Google Scholar] [CrossRef]
- Zhu, Z.; Sun, Z.Y.; Ye, Y.; McKittrick, B.; Greenlee, W.; Czamiecki, M.; Fawzi, A.; Zhang, H.; Lackowicz, J.E. Design and discovery of 1,3-benzodiazepine as novel dopamine antagonist. Bioorg. Med. Chem. Lett. 2009, 19, 5218–5221. [Google Scholar] [CrossRef]
- Hall, D.G.; Manku, S.; Wang, F. Solution- and solid-phase strategies for the design, synthesis, and screening of libraries based on natural product template: A comprehensive survey. J. Comb. Chem. 2001, 3, 125–150. [Google Scholar] [CrossRef] [PubMed]
- Breibauer, R.; Vetter, I.R.; Waldmann, H. From Protein Domains to Drug Candidates—Natural Products as Guiding Principles in the Design and Synthesis of Compound Libraries. Angew. Chem. Int. Ed. 2002, 41, 2878–2890. [Google Scholar] [CrossRef]
- Nielsen, T.E.; Diness, F.; Meldal, M. The Pictet-Spengler reaction in solid-phase combinatorial chemistry. Curr. Opin. Drug Discov. Dev. 2003, 6, 801–814. [Google Scholar] [CrossRef]
- Le Quement, S.T.; Petersen, R.; Meldal, M.; Nielsen, T.E. N-Acyliminium Intermediates in Solid-Phase Synthesis. Biopolymers 2009, 94, 242–256. [Google Scholar] [CrossRef] [PubMed]
- Nielsen, T.E.; Meldal, M. Solid–phase synthesis of pyrroloisoquinolines via the intra-molecular N-acyliminium Pictet-Spengler reaction. J. Comb. Chem. 2005, 7, 599–610. [Google Scholar] [CrossRef] [PubMed]
- Nielsen, T.E.; Le Quement, S.; Meldal, M. Solid–phase synthesis of bicyclic dipeptide mimetics by intramolecular cyclization of alcohols, thiols, amines, and amides with N-acyliminium intermediates. Org. Lett. 2005, 7, 3601–3604. [Google Scholar] [CrossRef]
- Diness, F.; Beyer, J.; Meldal, M. Solid–phase synthesis of tetrahydro-β-carbolines and tetrahydroisoquinolines by stereoselective intramolecular N-carbamyliminium Pictet-Spengler reactions. Chem. Eur. J. 2006, 12, 8056–8066. [Google Scholar] [CrossRef]
- Nielsen, T.E.; Le Quement, S.; Meldal, M. Solid–phase synthesis of aryl-substituted thienoindolizines: Sequential Pictet-Spengler, bromination and Suzuki cross-coupling reactions of thiophenes. J. Comb. Chem. 2008, 10, 447–455. [Google Scholar]
- Chanda, K.; Chou, C.T.; Lai, J.J.; Lin, S.-F.; Yellol, G.S.; Sun, C.M. Traceless synthesis of diketopiperazine fused tetrahydro-β-carbolines on soluble polymer support. Mol. Divers. 2011, 15, 569–581. [Google Scholar] [CrossRef]
- Komnatnyy, V.V.; Givskov, M.; Nielsen, T.E. Solid-Phase Synthesis of Structurally Diverse Heterocycles by an Amide–Ketone Condensation/N-Acyliminium Pictet-Spengler Sequence. Chem. Eur. J. 2012, 18, 16793–16800. [Google Scholar] [CrossRef]
- Ascic, E.; Jensen, J.F.; Nielsen, T.E. Synthesis of Heterocycles through a Ruthenium–Catalyzed Tandem Ring-Closing Metathesis/Isomerization/N-Acyliminium Cyclization Sequence. Angew. Chem. Int. Ed. 2011, 50, 5188–5191. [Google Scholar] [CrossRef] [PubMed]
- Hansen, C.L.; Clausen, J.W.; Ohm, R.G.; Ascic, E.; Le Quement, S.T.; Tanner, D.; Nielsen, T.E. Ruthenium hydride/Brønsted Acid-catalyzed tandem isomerization/N-acyliminium cyclization sequence for the synthesis of tetrahydro-β-carbolines. J. Org. Chem. 2013, 78, 12545–12565. [Google Scholar] [CrossRef] [PubMed]
- Cai, Q.; Liang, X.W.; Wang, S.G.; Zhang, J.W.; Zhang, X.; You, S.L. Ring-closing metathesis/isomerization/Pictet-Spengler cascade via ruthenium/chiral phosphoric acid sequential catalysis. Org. Lett. 2012, 14, 5022–5025. [Google Scholar] [CrossRef] [PubMed]
- Cai, Q.; Liang, X.W.; Wang, S.G.; You, S.L. An olefin isomerization/asymmetric Pictet-Spengler cascade via sequential catalysis of ruthenium alkylidene and chiral phosphoric acid. Org. Biomol. Chem. 2013, 11, 1602–1605. [Google Scholar] [CrossRef] [PubMed]
- Toda, Y.; Terada, M. Relay Catalysis by a Ruthenium Complex-Chiral Brønsted Acid Binary System for Ternary Reaction Sequence involving enantioselective Pictet-Spengler-Type Cyclization as the key step. Synlett 2013, 24, 752–756. [Google Scholar]
- Tietze, L.F. Domino Reactions in Organic Synthesis. Chem. Rev. 1996, 96, 115–136. [Google Scholar] [CrossRef]
- Parsons, P.J.; Penkett, C.S.; Shell, A.J. Tandem Reactions in Organic Synthesis: Novel Strategies for Natural Product elaboration and the development of new synthetic methodology. Chem. Rev. 1996, 96, 195–206. [Google Scholar] [CrossRef]
- Nicolau, K.C.; Edmonds, D.J.; Bulger, P.G. Cascade Reactions in Total Synthesis. Angew. Chem. Int. Ed 2006, 45, 7134–7186. [Google Scholar] [CrossRef]
- Enders, D.; Grondal, C.; Hütti, M.R. Asymmetric Organocatalytic Domino Reactions. Angew. Chem. Int. Ed. 2007, 46, 1570–1581. [Google Scholar] [CrossRef]
- Padwa, A.; Bur, S.K. The Domino Way to Heterocycles. Tetrahedron 2007, 63, 5341–5378. [Google Scholar] [CrossRef]
- Eschenbrenner-Lux, V.; Düchert, H.; Khedkar, V.; Bruss, H.; Waldmann, H.; Kumar, K. Cascade syntheses routes to the centrocountins. Chem. Eur. J. 2013, 19, 2294–2304. [Google Scholar] [CrossRef] [PubMed]
- Bur, S.K.; Padwa, A. The Pummerer reaction: Methodology and strategy for the synthesis of heterocyclic compounds. Chem. Rev. 2004, 104, 2401–2432. [Google Scholar] [CrossRef] [PubMed]
- Padwa, A.; Danca, M.D.; Hardcastle, K.I.; McClure, M.S. A short diastereoselective synthesis of the putative alkaloid jamtine using a tandem Pummerer/Mannich cyclization sequence. J. Org. Chem. 2003, 68, 929–941. [Google Scholar] [CrossRef] [PubMed]
- Padwa, A.; Heidelbaugh, T.M.; Kuethe, J.T.; McClure, M.S.; Wang, Q. Tandem Pummerer/Mannich cyclization cascade of α-sulfinylamides as a method to prepare aza-heterocycles. J. Org. Chem. 2002, 67, 5928–5937. [Google Scholar] [CrossRef]
- Padwa, A.; Danca, M.D. Total synthesis of (±)-jamtine using a thionium/N-acyliminium ion cascade. Org. Lett. 2002, 4, 715–717. [Google Scholar] [CrossRef]
- Padwa, A.; Waterson, A.G. Studies dealing with thionium ion promoted Mannich cyclization reactions. J. Org. Chem. 2000, 65, 235–244. [Google Scholar] [CrossRef]
- Yang, T.; Campbell, L.; Dixon, D.J. A Au(I)-Catalyzed N-Acyl Iminium Ion Cyclization Cascade. J. Am. Chem. Soc. 2007, 128, 12070–12071. [Google Scholar] [CrossRef]
- Muratore, M.E.; Holloway, C.A.; Pilling, A.W.; Storer, R.I.; Trevitt, G.; Dixon, D.J. Enantioselective Brønsted acid-catalyzed N-acyliminium cyclization cascades. J. Am. Chem. Soc. 2009, 131, 10796–10797. [Google Scholar] [CrossRef]
- Holloway, C.A.; Muratore, M.E.; Storer, R.I.; Dixon, D.J. Direct enantioselective Brønsted acid catalyzed N-acyliminium cyclization cascades of tryptamines and ketoacids. Org. Lett. 2010, 12, 4720–4723. [Google Scholar] [CrossRef]
- Wang, Y.M.; Lackner, A.D.; Toste, F.D. Developments of catalysts and ligands for enantioselective gold catalysis. Acc. Chem. Res. 2014, 47, 889–901. [Google Scholar] [CrossRef]
- Zhang, Y.; Luo, T.; Yang, Z. Strategic innovation in the total synthesis of complex natural products using gold catalysis. Nat. Prod. Rep. 2014, 31, 489–503. [Google Scholar] [CrossRef] [PubMed]
- Inamdar, S.M.; Konala, A.; Patil, N.T. When gold meets chiral Brønsted acid catalysts: Extending the boundaries of enantioselective gold catalysis. Chem. Commun. 2014, 50, 1524–1535. [Google Scholar] [CrossRef] [PubMed]
- Shen, H.C.; Graham, T.H. Gold-catalyzed formation of heterocycles–an enabling new technology for medicinal chemistry. Drug Discov. Today Technol. 2013, 10, e3–e14. [Google Scholar] [CrossRef] [PubMed]
- Rudolph, M.; Hashmi, A.S. Gold catalysis in total synthesis—An update. Chem. Soc. Rev. 2012, 41, 2448–2462. [Google Scholar] [CrossRef] [PubMed]
- Liu, L.; Zhang, L. Access to electron rich arene–fused hexahydroquinolizinones via Gold catalysis-triggered cascade process. Angew. Chem. Int. Ed. 2012, 51, 7301–7304. [Google Scholar] [CrossRef]
- Gregory, A.W.; Jakubec, P.; Turner, P.; Dixon, D.J. Gold and BINOL-phosphoric acid catalyzed enantioselective hydroamination/N-sulfonyliminium cyclization cascade. Org. Lett. 2013, 15, 4330–4333. [Google Scholar] [CrossRef]
- Pérez-Galán, P.; Delpont, N.; Herrero-Gómez, E.; Maseras, F.; Echavarren, A.M. Metal-arene interactions in dialkylbiarylphosphane complexes of copper, silver, and gold. Chemistry 2010, 16, 5324–5332. [Google Scholar] [CrossRef]
- Nieto-Oberhuber, C.; López, S.; Muñoz, M.P.; Cárdenas, D.J.; Buñuel, E.; Nevado, C.; Echavarren, A.M. Divergent mechanisms for the skeletal rearrangement and [2+2] cycloaddition of enynes catalyzed by gold. Angew. Chem. Int. Ed. 2005, 44, 6146–6148. [Google Scholar] [CrossRef]
- Li, Z.; Li, J.; Yang, N.; Chen, Y.; Zhou, Y.; Ji, X.; Zhang, L.; Wang, J.; Xie, X.; Liu, H. Gold(I)-catalyzed cascade approach for the synthesis of tryptamine-based polycyclic privileged as α1-adrenergic receptor antagonists. J. Org. Chem. 2013, 78, 10802–10811. [Google Scholar] [CrossRef]
- Iqbal, N.; Fiksdahl, A. Gold (I)-catalyzed benz[c]azepin-4-ol synthesis by intermolecular [5 + 2] cycloaddition. J. Org. Chem. 2013, 78, 7885–7895. [Google Scholar] [CrossRef]
- Danda, A.; Kumar, K.; Waldmann, H. A general catalytic reaction sequence to access alkaloid-inspired indole polycycles. Chem. Commun. 2015, 51, 7536–7539. [Google Scholar] [CrossRef] [PubMed]
- Wu, L.; Shi, M. Yb(OTf)3-or (Au(I)-catalyzed domino intramolecular hydroamination and ring-opening of sulfonamide-substituted 1,1-vinylidenecyclopropanediesters. Chem. Eur. J. 2011, 17, 13160–13165. [Google Scholar] [CrossRef] [PubMed]
- LaLonde, R.L.; Sherry, B.D.; Kang, E.J.; Toste, F.D. Gold (I)-catalyzed enantioselective intramolecular hydroamination of allenes. J. Am. Chem. Soc. 2007, 129, 2452–2453. [Google Scholar] [CrossRef] [PubMed]
- Gobé, V.; Guinchard, X. Pd(0)-catalyzed tandem deprotection/cyclization of tetrahydro-β-carbolines on allenes: Application to the synthesis of indolo[2,3-a]quinolizidines. Org. Lett. 2014, 16, 1924–1927. [Google Scholar] [CrossRef]
- Gobé, V.; Guinchard, X. Stereoselective synthesis of chiral polycyclic indolic architectures trough Pd0-catalyzed tandem deprotection/cyclization of tetrahydro-β-carbolines on allenes. Chem. Eur. J. 2015, 21, 8511–8520. [Google Scholar] [CrossRef]
- Gobé, V.; Retailleau, P.; Guinchard, X. Self-relay gold(I)-catalyzed Pictet-Spengler/cyclization cascade reaction for the rapid elaboration of pentacyclic indole derivatives. Chem. Eur. J. 2015, 21, 17587–17590. [Google Scholar] [CrossRef]
- Wu, X.; Dai, X.; Nie, L.; Fang, H.; Chen, J.; Ren, Z.; Cao, W.; Zhao, G. Organocatalyzed enantioselective one-pot three-component access to indoloquinolizidines by a Michael addition-Pictet-Spengler sequence. Chem. Commun. 2010, 46, 2733–2735. [Google Scholar] [CrossRef]
- Fang, H.; Wu, X.; Nie, L.; Dai, X.; Chen, J.; Cao, W.; Zhao, G. Diastereoselective synthesis of indoloquinolizidines by a Pictet-Spengler lactamization cascade. Org. Lett. 2010, 12, 5366–5369. [Google Scholar] [CrossRef]
- Wu, X.; Dai, X.; Fang, H.; Nie, L.; Chen, J.; Cao, W.; Zhao, G. One Pot Three-Component Syntheses of Indoloquinolizidine Derivatives Using an Organocatalytic Michael Addition and Subsequent Pictet-Spengler Cyclization. Chem. Eur. J. 2011, 17, 10510–10514. [Google Scholar] [CrossRef]
- Dai, X.; Wu, X.; Fang, H.; Nie, L.; Chen, J.; Deng, H.; Cao, W.; Zhao, G. Enantioselective organocatalyzed cascade reactions to highly functionalized quinolizidines. Tetrahedron 2011, 67, 3034–3040. [Google Scholar] [CrossRef]
- Wu, X.; Fang, H.; Liu, Q.; Nie, L.; Chen, J.; Cao, W.; Zhao, G. Diastereoselective cascade reactions toward substituted diazaindeno[2,1-α]-phenanthrenes. Tetrahedron 2011, 67, 7251–7257. [Google Scholar] [CrossRef]
- Rueping, M.; Volla, C.M.R. Brønsted-acid catalyzed condensation-Michael reaction-Pictet-Spengler cyclization—Highly stereoselective synthesis of indoloquinolizidines. RSC Adv. 2011, 1, 79–82. [Google Scholar] [CrossRef]
- Rueping, M.; Volla, C.M.R.; Bolte, M.; Raabe, G. General and Efficient Organocatalytic Synthesis of Indoloquinolizidines, Pyridoquinazolines and Quinazolinones through a One-Pot Domino Michael Addition-Cyclization-Pictet-Spengler or 1,2-Amine Addition Reaction. Adv. Synth. Catal. 2011, 353, 2853–2859. [Google Scholar] [CrossRef]
- Albrecht, A.; Morana, F.; Fraile, A.; Jørgensen, K.A. Organophosphorus reagents in organocatalysis: Synthesis of optically active α-methylene-δ-lactones and δ-lactams. Chem. Eur. J. 2012, 18, 10348–10354. [Google Scholar] [CrossRef]
- Zhu, H.-L.; Ling, J.-B.; Xu, P.-F. α-Oxo-γ-butyrolactam, N-containing pronucleophile in organocatalytic one-pot assembly of butyrolactam-fused indoloquinolizidines. J. Org. Chem. 2012, 77, 7737–7743. [Google Scholar] [CrossRef]
- Mayer, S.F.; Kroutil, W.; Faber, K. Cooperative multi-catalyst system for one-pot organic transformation. Chem. Soc. Rev. 2004, 33, 301–312. [Google Scholar]
- Veum, L.; Hanefeld, U. Carrier enabled catalytic reaction cascade. Chem. Commun. 2006, 825–831. [Google Scholar] [CrossRef]
- Pilling, A.W.; Böhmer, J.; Dixon, D.J. Site-Isolated Base–and Acid-mediated Michael initiated cascades. Angew. Chem. Int. Ed. 2007, 46, 5428–5430. [Google Scholar] [CrossRef]
- Pilling, A.W.; Böhmer, J.; Dixon, D.J. Site isolated base and acid-catalyzed azaspyrocyclization cascades. Chem. Commun. 2008, 7, 832–834. [Google Scholar] [CrossRef]
- Muratore, M.E.; Shi, L.; Pilling, A.W.; Storer, R.I.; Dixon, D.J. Exploiting a novel size exclusion phenomenon for enantioselective acid/base cascade catalysis. Chem. Commun. 2012, 48, 6351–6353. [Google Scholar] [CrossRef]
- Hong, B.-C.; Liao, W.-K.; Dange, N.S.; Liao, J.-H. One-Pot Organocatalytic Enantioselective Domino Double-Michael Reaction and Pictet-Spengler–Lactamization Reaction. A Facile Entry to the “Inside Yohimbane” System with Five Contiguous Stereogenic Centers. Org. Lett. 2013, 15, 468–471. [Google Scholar] [CrossRef] [PubMed]
- Aillaud, I.; Barber, D.M.; Thompson, A.L.; Dixon, D.J. Enantoselective Michael Addition/Iminium Ion Cyclization Cascades of Tryptamine-Derived Ureas. Org. Lett. 2013, 15, 2946–2949. [Google Scholar] [CrossRef]
- Sridharan, V.; Avendaño, C.; Menéndez, J.C. General, mild and efficient synthesis of β-enaminones catalyzed by ceric ammonium nitrate. Synlett 2007, 881–884. [Google Scholar] [CrossRef]
- Suryavanshi, P.A.; Sridharan, V.; Menéndez, J.C. A β-enaminone-initiated multicomponent domino reaction for the synthesis of indoloquinolizidines and benzoquinolines from acyclic precursors. Chem. Eur. J. 2013, 19, 13207–13215. [Google Scholar] [CrossRef] [PubMed]
- Sun, J.; Zhang, L.-L.; Yan, C.-G. Facile construction of 1,2,6,7,12,12b-hexahydroindolo[2,3a]quinolizines via one-pot three component reactions of tryptamines, propiolate, and α-β-unsaturated aromatic aldehydes or ketones. Tetrahedron 2013, 69, 5451–5459. [Google Scholar] [CrossRef]
- Zhu, D.; Sun, J.; Yan, C.G. One-pot synthesis of 6,11-dihydro-5H-indolizino[8,7-b]indoles via sequential formation of β-enamino ester, Michael addition and Pictet-Spengler reactions. RSC Adv. 2014, 4, 62817–62826. [Google Scholar] [CrossRef]
- Dai, W.; Lu, H.; Li, X.; Shi, F.; Tu, S.-J. Diastereo- and enantioselective construction of bispiro oxindole scaffold containing a tetraydro-β-carboline moiety through an organocatalytic asymmetric cascade reaction. Chem. Eur. J. 2014, 20, 11382–11389. [Google Scholar] [CrossRef]
- Song, Z.; Zhao, Y.-M.; Zai, H. One step construction of tetrahydro-5H-indolo[3,2-c]quinolines from benzyl azides and indoles via a cascade reaction sequence. Org. Lett. 2011, 24, 6331–6333. [Google Scholar] [CrossRef]
- Zhang, W.; Bah, J.; Wohlfarth, A.; Franzén, J. A stereodivergent strategy for the preparation of corynantheine and ipecac alkaloids, their epimers, and analogues: Efficient total synthesis of (−)-di-hydrocorynantheol, (−)-protoemetinol, (−)-corinantheal, (−)-protoemetine, and related natural and nonnatural compounds chemistry. Chem. Eur. J. 2011, 17, 13814–13824. [Google Scholar]
- Yokosaka, T.; Nemoto, T.; Hamada, Y. An acid-promoted novel skeletal rearrangement initiated by intramolecular ipso-Friedel-Crafts-type addition to 3-alkylidene indolenium cations. Chem. Commun. 2012, 48, 5431–5433. [Google Scholar] [CrossRef]
- Kalaitzakis, D.; Montagnon, T.; Antonatu, E.; Bardaji, N.; Vassilikogiannakis, G. From simple Furans to complex Nitrogen-bearing aromatic polycycles by means of a flexible and general reaction sequence initiated by singlet oxygen. Chem. Eur. J. 2013, 19, 10119–11021. [Google Scholar] [CrossRef] [PubMed]
- Kalaitzakis, D.; Montagnon, T.; Antonatu, E.; Vassilikogiannakis, G. One-pot synthesis of the tetracyclic framework of the aromatic erythrina alkaloids from simple furans. Org. Lett. 2013, 15, 3714–3717. [Google Scholar] [CrossRef] [PubMed][Green Version]
- Chen, C.-H.; Yellol, G.S.; Tsai, C.H.; Dalvi, P.B.; Sun, C.-M. Diastereoselective synthesis of bridged polycyclic alkaloids via tandem acylation/intramolecular Diels–Alder reaction. J. Org. Chem. 2013, 78, 9738–9747. [Google Scholar] [CrossRef] [PubMed]
- Boomhoff, M.; Yadav, A.K.; Appun, J.; Schneider, C. Modular, flexible, and stereoselective synthesis of pyrroloquinolines: Rapid assembly of complex heterocyclic scaffolds. Org. Lett. 2014, 16, 6236–6239. [Google Scholar] [CrossRef] [PubMed]
- Jida, M.; Van der Poorten, O.; Guillemyn, K.; Urbanczyk-Lipkowska, Z.; Tourwé, D.; Ballet, S. T3P-promoted, mild, one-pot syntheses of constrained polycyclic lactam dipeptide analogues via stereoselective Pictet-Spengler and Meyers lactamization reactions. Org. Lett. 2015, 17, 4482–4485. [Google Scholar] [CrossRef]
- Prabhu, G.; Agarwal, S.; Sharma, V.; Madurkar, S.M.; Munshi, P.; Singh, S.; Sen, S. A natural product based DOS library of hybrid systems. Eur. J. Med. Chem. 2015, 95, 41–48. [Google Scholar] [CrossRef]
- Ugi, I. Recent progress in the chemistry of multicomponent reactions. Pure Appl. Chem. 2001, 73, 187–191. [Google Scholar] [CrossRef]
- Zhu, J.; Bienaymé, H. Multi-Component Reactions; Wiley-VCH: Weinheim, Germany, 2005. [Google Scholar]
- Sunderhaus, J.D.; Martin, S.F. Applications of Multicomponent Reactions to the synthesis of diverse heterocyclic scaffolds. Chem. Eur. J. 2009, 15, 1300–1308. [Google Scholar] [CrossRef]
- Hulme, C.; Gore, V. “Multi-component Reactions: Emerging Chemistry in Drug Discovery” ‘From Xylocain to Crixivan’. Curr. Med. Chem. 2003, 10, 51–80. [Google Scholar] [CrossRef]
- Ruijter, E.; Scheffelaar, R.; Orru, R.V.A. Multicomponent reaction Design in the quest for Molecular Complexity and Diversity. Angew Chem. Int. Ed. 2011, 50, 6234–6246. [Google Scholar] [CrossRef]
- Van der Heijden, G.; Ruijter, E.; Orru, R.V.A. Efficiency, Diversity, and Complexity with Multicomponent Reactions. Synlett 2013, 24, 666–687. [Google Scholar]
- Dömling, A.; Wang, R.; Wang, W. Chemistry and Biology of Multicomponent Reactions. Chem. Rev. 2012, 112, 3083–3135. [Google Scholar] [CrossRef] [PubMed]
- Schreiber, S.L. Target-oriented and diversity-oriented organic synthesis in drug discovery. Science 2000, 287, 1964–1969. [Google Scholar] [CrossRef]
- Ganem, B. Strategies for the innovation in multicomponent reaction design. Acc. Chem. Res. 2009, 42, 463–472. [Google Scholar] [CrossRef] [PubMed]
- Ugi, I.; Meyr, R.; Fetzer, U.; Steinbrücher, A.C. Ugi Reaktion. Angew. Chem. 1959, 71, 386. [Google Scholar]
- Dömling, A.; Ugi, I. Multicomponent reactions with isocyanide. Angew. Chem. Int. Ed. 2000, 39, 3168–3210. [Google Scholar] [CrossRef]
- Ugi, I.; Werner, B.; Dömling, A. The chemistry of Isocyanides, their MultiComponent Reactions and their Library. Molecules 2003, 8, 53–66. [Google Scholar] [CrossRef]
- Dömling, A. Recent Developments in Isocyanide Based MultiComponents Reactions in Applied Chemistry. Chem. Rev. 2006, 106, 17–89. [Google Scholar] [CrossRef]
- Akritopoulou-Zanze, I. Isocyanide based multicomponent reaction in drug discovery. Curr. Opin. Chem. Biol. 2008, 12, 324–331. [Google Scholar] [CrossRef]
- Koopmanschap, G.; Ruijter, E.; Orru, R.V.A. Isocyanide-based multicomponent reaction towards cyclic constrained peptidomimetics. Beilstein J. Org. Chem. 2014, 10, 544–596. [Google Scholar] [CrossRef]
- Mayer, J.P.; Bankaitis-Davis, D.; Zhang, J.; Beaton, G.; Bjergarde, K.; Andersen, C.M.; Goodman, B.A.; Herrera, C.J. Application of the Pictet-Spengler reaction in combinatorial chemistry. Tetrahedron Lett. 1996, 37, 5633–5636. [Google Scholar] [CrossRef]
- Lihu, Y.; Liangqin, G. Pictet-Spengler reaction on solid support. Tetrahedron Lett. 1996, 37, 5041–5044. [Google Scholar] [CrossRef]
- Hutchins, S.M.; Chapman, K.T. Solid phase synthesis of tetrahydroisoquinolines and tetrahydroimidazopyridine. Tetrahedron Lett. 1996, 37, 4865–4868. [Google Scholar] [CrossRef]
- Wang, H.; Ganesan, A. Concise synthesis of the cell cycle inhibitor demethoxy-fumitremorgin C. Tetrahedron Lett. 1997, 38, 4327–4328. [Google Scholar] [CrossRef]
- Wang, H.; Ganesan, A. The N-Acyliminium Pictet−Spengler Condensation as a Multicomponent Combinatorial Reaction on Solid Phase and Its Application to the Synthesis of Demethoxyfumitremorgin C Analogues. Org. Lett. 1999, 1, 1647–1649. [Google Scholar] [CrossRef]
- Van Loevezijin, A.; van Maarseeven, J.H.; Stegman, K.; Visser, G.M.; Koomen, G.-J. Solid phase synthesis of fumitremorgin, verruculogen and tryptostatin analogs based on a cyclization/cleavage strategy. Tetrahedron Lett. 1998, 39, 4737–4740. [Google Scholar] [CrossRef]
- El Kaim, L.; Gageat, M.; Gaultier, L.; Grimaud, L. New Ugi/Pictet-Spengler Multi-component Formation of Polycyclic Diketopiperazines from isocyanides and α-keto acids. Synlett 2007, 3, 502–503. [Google Scholar]
- Liu, H.; Dömling, A. Efficient and diverse synthesis of indole derivatives. J. Org. Chem. 2009, 74, 6895–6898. [Google Scholar] [CrossRef]
- Wang, W.; Herdtweck, E.; Dömling, A. Polycyclic indole alkaloid-type compounds by MCR. Chem. Commun. 2010, 46, 770–772. [Google Scholar] [CrossRef]
- Znabet, A.; Ruijter, E.; de Kanter, F.J.J.; Köhler, V.; Helliwell, M.; Turner, N.J.; Orru, R.V.A. Highly stereoselective synthesis of substituted prolyl peptides using a combination of bio-catalytic desymmetrization and multicomponent reactions. Angew. Chem. Int. Ed. 2010, 49, 5289–5292. [Google Scholar] [CrossRef]
- Znabet, A.; Zonneveld, J.; Janssen, E.; de Kanter, F.J.J.; Helliwell, M.; Turner, N.J.; Ruijter, E.; Orru, R.V.A. Asymmetric synthesis of synthetic alkaloids by a tandem biocatalysis/Ugi/Pictet-Spengler-type cyclization sequence. Chem. Commun. 2010, 46, 7706–7708. [Google Scholar] [CrossRef]
- Kaniskan, H.Ü.; Garner, P. An Efficient Synthetic Approach to Cyanocycline A and Bioxalomycin β2 via [C+NC+CC] Coupling. J. Am. Chem. Soc. 2007, 129, 15460–15461. [Google Scholar] [CrossRef]
- Neubauer, D.N. Almorexant, a dual orexin receptor antagonist for the treatment of insomnia. Curr. Opin. Investig. Drugs 2010, 11, 101–110. [Google Scholar]
- Hoever, P.; de Haas, S.; Winkler, J.; Schoemaker, R.C.; Chiossi, E.; van gerven, J.; Dingemanse, J. Orexin receptor antagonism, a new sleep pomoting paradigm: An ascending single-dose study with almorexant. Clin. Pharmacol. Ther. 2010, 87, 593–600. [Google Scholar] [CrossRef]
- Wang, W.; Ollio, S.; Herdtweck, H.; Dömling, A. Polycyclic compounds by Ugi-Pictet-Spengler sequence. J. Org. Chem. 2011, 76, 637–644. [Google Scholar] [CrossRef]
- Cano-Herrera, M.-A.; Miranda, L.D. Expedient entry to the piperazinohydroisoquinoline ring system using a sequential Ugi/Pictet-Spengler/reductive methylation reaction protocol. Chem. Commun. 2011, 47, 10770–10772. [Google Scholar] [CrossRef]
- Sacchetti, A.; Silvani, A.; Lesma, G.; Pilati, T. Phe-Ala-based diazaspirocyclic lactam as nucleator of type II’ β-turn. J. Org. Chem. 2011, 76, 833–839. [Google Scholar] [CrossRef]
- Lesma, G.; Cecchi, R.; Crippa, S.; Giovanelli, P.; Meneghetti, F.; Musolino, M.; Sacchetti, A.; Silvani, A. Ugi 4CR/Pictet-Spengler reaction as short route to tryptophan-derived peptidomimetics. Org. Biomol. Chem. 2012, 10, 9004–9012. [Google Scholar] [CrossRef]
- Pulka, K.; Feytens, D.; Misicka, A.; Tourwé, D. New tetracyclic tetrahydro-β-carbolines as tryptophan-derived peptidomimetics. Mol. Divers. 2010, 14, 97–108. [Google Scholar] [CrossRef]
- Liu, H.; William, S.; Herdtweck, E.; Botros, S.; Dömling, A. MCR synthesis of praziquantel derivatives. Chem. Biol. Drug Des. 2012, 79, 470–477. [Google Scholar] [CrossRef]
- Khoury, K.; Sinha, M.K.; Nagashima, T.; Herdtweck, E.; Dömling, A. Efficient assembly of iminodicarboxamides by a truly four component reaction. Angew. Chem. Int. Ed. 2012, 51, 10280–10283. [Google Scholar] [CrossRef]
- Sinha, M.K.; Khoury, K.; Herdtweck, E.; Dömling, A. Tricycles by a new Ugi Variation and Pictet-Spengler reaction in one-pot. Chem. Eur. J. 2013, 19, 8048–8052. [Google Scholar] [CrossRef]
- Sinha, M.K.; Khoury, K.; Herdtweck, E.; Dömling, A. Various cyclization scaffolds by a truly Ugi 4-CR. Org. Biomol. Chem. 2013, 11, 4792–4796. [Google Scholar] [CrossRef]
- Patil, P.; Khoury, K.; Herdtweck, E.; Dömling, A. MCR synthesis of tetracyclic tetrazole scaffold. Bioorg. Med. Chem. 2015, 23, 2699–2715. [Google Scholar] [CrossRef]
- Stöckigt, J.; Antonchik, A.P.; Wu, F.; Waldmann, H. The Pictet-Spengler Reaction in Nature and in Organic Chemistry. Angew. Chem. Int. Ed. 2011, 50, 8538–8564. [Google Scholar] [CrossRef]
- Walsh, C.T.; Fischbach, M.A. Natural Products Version 2.0: Connecting Genes to Molecules. J. Am. Chem. Soc. 2010, 132, 2469–2473. [Google Scholar] [CrossRef]
- Schrittwieser, J.H.; Resch, V. The role of biocatalysis in the asymmetric synthesis of alkaloids. RSC Adv. 2013, 3, 17602–17632. [Google Scholar] [CrossRef]
- Treimer, J.F.; Zenk, M.H. Purification and properties of strictosidine synthase, the key enzyme in indole alkaloid formation. Eur. J. Biochem. 1979, 101, 225–233. [Google Scholar] [CrossRef]
- Kutchan, T.M. Strictosidine: From alkaloid to enzyme to gene. Phytochemistry 1993, 32, 493–506. [Google Scholar] [CrossRef]
- O’Connor, S.E.; Maresh, J.J. Chemistry and biology of monoterpene indole alkaloid biosynthesis. Nat. Prod. Rep. 2006, 23, 532–547. [Google Scholar] [CrossRef]
- McCoy, E.; Galan, M.C.; O’Connor, S.E. Substrate specificity of strictosidine synthase. Bioorg. Chem. Med. Lett. 2006, 16, 2475–2478. [Google Scholar] [CrossRef] [PubMed]
- Maresh, J.J.; Giddings, L.A.; Friedrich, A.; Loris, E.A.; Panikar, S.; Trout, B.L.; Stöckigt, J.; Peters, B.; O’Connor, S.E. Strictosidine synthase: Mechanism of a Pictet-Spengler catalyzing enzyme. J. Am. Chem. Soc. 2008, 130, 710–723. [Google Scholar] [CrossRef] [PubMed]
- Rueffer, M.; Nagakura, N.; Zenk, M.H. Strictosidine, the common precursor for monoterpenoid indole alkaloids with 3α and 3β configuration. Tetrahedron Lett. 1978, 19, 1593–1596. [Google Scholar] [CrossRef]
- Stöckigt, J.; Zenk, M.H. Isovincoside (strictosidine), the key intermediate in the enzymatic formation of indole alkaloids. FEBS Lett. 1977, 79, 233–237. [Google Scholar] [CrossRef]
- Luk, L.Y.; Bunn, S.; Liscombe, D.K.; Facchini, P.J.; Tanner, M.E. Mechanistic studies on norcoclaurine synthase of benzylisoquinoline alkaloid biosynthesis: An enzymatic Pictet-Spengler reaction. Biochemistry 2007, 46, 10153–10161. [Google Scholar] [CrossRef]
- Samanani, N.; Facchini, P.J. Purification and characterization of norcoclaurine synthase. The first committed enzyme in benzylisoquinoline alkaloid biosynthesis in plants. J. Biol. Chem. 2002, 277, 33878–33883. [Google Scholar] [CrossRef]
- Mahmoudian, M.; Rahimi-Moghaddam, P. The anticancer activity of noscapine: A review. Recent Pat. Anticancer Drug Discov. 2009, 4, 92–97. [Google Scholar] [CrossRef]
- Ilari, A.; Franceschini, S.; Bonamore, A.; Arenghi, F.; Botta, B.; Macone, A.; Pasquo, A.; Bellucci, L.; Boffi, A. Structural basis of enzymatic (S)-norcoclaurine biosynthesis. J. Biol. Chem. 2009, 284, 897–904. [Google Scholar] [CrossRef]
- Bonamore, A.; Barba, M.; Botta, B.; Boffi, A.; Macone, A. Norcoclaurine synthase: Mechanism of an enantioselective Pictet-Spengler catalyzing enzyme. Molecules 2010, 15, 2070–2078. [Google Scholar] [CrossRef]
- Nagakura, N.; Höfle, G.; Zenk, M.H. Deacetylisopecoside: The key intermediate in the biosynthesis of the alkaloids cephaeline and emetine. J. Chem. Soc. Chem. Commun. 1978, 5, 896–898. [Google Scholar] [CrossRef]
- Nagakura, N.; Höfle, G.; Coggiola, D.; Zenk, M.H. The biosynthesis of Ipecac alkaloids andof ipecoside and alangiside. Planta Med. 1978, 34, 381–389. [Google Scholar] [CrossRef]
- Nomura, T.; Lara Quesada, A.; Kutchan, T.M. The new β-D-glucosidase in terpenoid-isoquinoline alkaloid biosynthesis in Psychotria ipecacuanha. J. Biol. Chem. 2008, 283, 34650–34659. [Google Scholar] [CrossRef] [PubMed]
- Koketsu, K.; Watanabe, K.; Suda, H.; Oguri, H.; Oikawa, H. Reconstruction of the saframycin core scaffold defines dual Pictet-Spengler mechanisms. Nat. Chem. Biol. 2010, 6, 408–410. [Google Scholar] [CrossRef] [PubMed]
- Koketsu, K.; Minami, A.; Watanabe, K.; Oguri, H.; Oikawa, H. Pictet-Spenglerase involved in tetrahydroisoquinoline antibiotic biosynthesis. Curr. Opin. Chem. Biol. 2012, 16, 142–149. [Google Scholar] [CrossRef]
- Koketsu, K.; Minami, A.; Watanabe, K.; Oguri, H.; Oikawa, H. Chapter Five - The Pictet-Spengler mechanism involved in the biosynthesis of tetrahydroisoquinoline antitumor antibiotics: A novel function for a nonribososmal peptide synthetase. Methods Enzymol. 2012, 516, 79–98. [Google Scholar]
- Hiratsuka, T.; Koketsu, K.; Minami, A.; Kaneko, S.; Yamazaki, C.; Watanabe, K.; Oguri, H.; Oikawa, H. Core assembly mechanism of quinocarcin/SF-1739: Bimodular complex nonribosomal peptide synthetase for sequential Mannich-type reactions. Chem. Biol. 2013, 20, 1523–1535. [Google Scholar] [CrossRef]
- Chen, Q.; Ji, C.; Song, Y.; Huang, H.; Ma, J.; Tian, X.; Ju, J. Discovery of McbB, an enzyme catalyzing the β-carboline skeleton construction in the marinacarboline biosynthetic pathway. Angew. Chem. Int. Ed. 2013, 52, 9980–9984. [Google Scholar] [CrossRef]
- Mori, T.; Hoshino, S.; Sahashi, S.; Wakimoto, T.; Matsui, T.; Morita, H.; Abe, I. Structural basis for β-carboline alkaloid production by the microbial homodimeric enzyme McbB. Chem. Biol. 2015, 22, 898–906. [Google Scholar] [CrossRef]
- Wang, H.; Zhang, H.; Mi, Y.; Ju, J.; Chen, Q.; Zhang, H. Expression, crystallization and preliminary X-ray analysis of McbB, a multifunctional enzyme involved in β-carboline skeleton biosynthesis. Acta Crystallogr. Struct. Biol. Commun. 2014, 70, 1402–1405. [Google Scholar] [CrossRef]
- Nakagawa, A.; Minami, H.; Kim, J.-S.; Koyanagi, T.; Katayama, T.; Sato, F.; Kumagai, H. A bacterial platform for fermentative production of plant alkaloids. Nature Commun. 2011, 2, 326. [Google Scholar] [CrossRef]
- Runguphan, W.; O’Connor, S.E. Metabolic reprogramming of periwinkle plant culture. Nat. Chem. Biol. 2009, 5, 151–153. [Google Scholar] [CrossRef] [PubMed]
- Runguphan, W.; Maresh, J.J.; O’Connor, S.E. Silencing of tryptamine biosynthesis for production of nonnatural alkaloids in plant culture. Proc. Natl. Acad. Sci. USA 2009, 106, 13673–13678. [Google Scholar] [CrossRef]
- Faber, K. Biotransformation in Organic Synthesis, 5th ed.; Springer: Berlin/Heidelberg, Germany, 2008. [Google Scholar]
- Bornscheuer, U.T.; Kazlauskas, R.J. Hydrolases in Organic Synthesis, 2nd ed.; Wiley-VCH: Weinheim, Germany, 2006. [Google Scholar]
- Bernhardt, P.; Usera, A.R.; O’Connor, S.E. Biocatalityc asymmetric formation of tetrahydro-β-carbolines. Tetrahedron Lett. 2010, 51, 4400–4402. [Google Scholar] [CrossRef] [PubMed]
- Bonamore, A.; Rovardi, I.; Gasparrini, F.; Baiocco, P.; Barba, M.; Molinaro, C.; Botta, B.; Boffi, A.; Macone, A. An enzymatic, a steroselective synthesis of (S)-norcoclaurine. Green Chem. 2010, 12, 1623–1627. [Google Scholar] [CrossRef]
- Bonamore, A.; Calisti, L.; Calcaterra, A.; Ismail, O.H.; Gargano, M.; D’Acquarica, I.; Botta, B.; Boffi, A.; Macone, A. A Novel Enzymatic Strategy for the Synthesis of Substituted Tetrahydroisoquinolines. ChemistrySelect 2016, 1, 1525–1528. [Google Scholar] [CrossRef]
- Resch, V.; Schrittwieser, J.H.; Siirola, E.; Kroutil, W. Novel carbon-carbon formation for biocatalysis. Curr. Opin. Biotechnol. 2011, 22, 793–799. [Google Scholar] [CrossRef]
- Rath, C.M.; Janto, B.; Earl, J.; Ahmed, A.; Hu, F.Z.; Hiller, L.; Dahlgren, M.; Kreft, R.; Yu, F.; Wolff, J.J.; et al. Meta-omic characterization of the marine invertebrate microbial consortium that produces the chemotherapeutic natural product ET-743. ACS Chem. Biol. 2011, 6, 1244–1256. [Google Scholar] [CrossRef]
- Ruff, B.M.; Bräse, S.; O’Connor, S.E. Biocatalytic production of tetrahydroisoquinolines. Tetrahedron Lett. 2012, 53, 1071–1074. [Google Scholar] [CrossRef]
- Pesnot, T.; Gershater, M.C.; Ward, J.M.; Hailes, H.C. The catalytic potential of Coptis japonica NCS2 revealed–Development and utilisation of a fluorescamine-based assay. Adv. Synth. Catal. 2012, 354, 2997–3008. [Google Scholar] [CrossRef]
- Wu, F.; Zhu, H.; Sun, L.; Rajendran, C.; Wang, M.; Ren, X.; Panjikar, S.; Cherkasov, A.; Zou, H.; Stöckigt, J. Scaffold tailoring by a newly detected Pictet-Spenglerase activity of strictosidine synthase: From the common tryptoline skeleton to the rare piperazino-indole framework. J. Am. Chem. Soc. 2012, 134, 1498–1500. [Google Scholar] [CrossRef]
- Nagakawa, A.; Mattsuzaki, C.; Matsumura, E.; Koyanagi, T.; Katayama, T.; Yamamoto, K.; Sato, F.; Kumagai, H.; Minami, H. (R,S)-Tetrahydropapaveroline production by stepwise fermentation using engineered Escherichia coli. Sci. Rep. 2014, 4, 6695–6702. [Google Scholar] [CrossRef] [PubMed]
- Maresh, J.J.; Crowe, S.O.; Ralko, A.A.; Aparece, M.D.; Murphy, C.M.; Krzeskowiec, M.; Mullowney, M.W. Facile one-pot synthesis of tetrahydroisoquinolines from amino acids via hypochlorite-mediated decarboxylation and Pictet-Spengler condensation. Tetrahedron Lett. 2014, 55, 5047–5051. [Google Scholar] [CrossRef]
- Nishihachijo, M.; Hirai, Y.; Kawano, S.; Nishiyama, A.; Minami, H.; Katayama, T.; Yasohara, Y.; Sato, F.; Kumagai, H. Asymmetric synthesis of tetrahydroisoquinolines by enzymatic Pictet-Spengler reaction. Biosci. Biotechnol. Biochem. 2014, 78, 701–707. [Google Scholar] [CrossRef]
- Zhu, H.; Kerčmar, P.; Wu, F.; Rajendran, C.; Sun, L.; Wang, M.; Stöckigt, J. Using Strictosidine Synthase to prepare Novel Alkaloids. Curr. Med. Chem. 2015, 22, 1880–1888. [Google Scholar] [CrossRef]
- Lichman, B.R.; Gershater, M.C.; Lamming, E.D.; Pesnot, T.; Sula, A.; Keep, N.H.; Hailes, H.C.; Ward, J.M. ‘Dopamine-first’ mechanism enables the rational engineering of the norcoclaurine synthase aldehyde activity profile. FEBS J. 2015, 282, 1137–1151. [Google Scholar] [CrossRef] [PubMed]
- Pulka, K. Pictet-Spengler reactions for the synthesis of pharmaceutically relevant heterocycles. Curr. Opin. Drug Discov. Dev. 2010, 13, 669–684. [Google Scholar]
- Bridoux, A.; Millet, R.; Pommery, J.; Pommery, N.; Hemichart, J.-P. Synthesis and biological activity of N-aroyl tetrahydro-γ-carbolines. Bioorg. Med. Chem. 2010, 18, 3910–3924. [Google Scholar] [CrossRef]
- Butler, K.V.; Kalin, J.; Brochier, C.; Vistoli, G.; Langley, B.; Kozikowsky, A.P. Rational design and simple chemistry yield a superior, neuroprotective HDAC6 inhibitor, tubastatin A. J. Am. Chem. Soc. 2010, 132, 10842–10846. [Google Scholar] [CrossRef]
- Klausen, R.S.; Jacobsen, E.N. Weak Brønsted acid-thiourea cocatalysis: Enantioselective iso-Pictet-Spengler reactions. Org. Lett. 2009, 11, 887–890. [Google Scholar] [CrossRef]
- Subba Reddy, B.V.; Swain, M.; Madhusudana Reddy, S.; Yadar, J.S.; Sridhart, B. Gold-catalyzed domino cycloisomerization/Pictet-Spengler reaction of 2-(4-aminobut-1-yn-1-yl)anilines with aldehydes: Synthesis of tetrahydropyrido[4,3-b]indole scaffolds. J. Org. Chem. 2012, 14, 2610–2613. [Google Scholar] [CrossRef]
- Lee, Y.; Klausen, R.S.; Jacobsen, E.N. Thiourea-catalyzed enantioselective iso-Pictet-Spengler reactions. Org. Lett. 2011, 13, 5564–5567. [Google Scholar] [CrossRef] [PubMed]
- Schönherr, H.; Leighton, J.L. Direct and highly enantioselective iso-Pictet-Spengler reactions with α-ketoamides: Access to underexplored indole core structures. Org. Lett. 2012, 14, 2610–2613. [Google Scholar] [CrossRef] [PubMed]
- Li, X.; Chen, D.; Gu, H.; Lin, X. Enantioselective synthesis of benzazepinoindoles bearing trifluoromethylated quaternary stereocenters catalyzed by chiral phosphoric acids. Chem. Commun. 2014, 50, 7538–7541. [Google Scholar] [CrossRef] [PubMed]
- Sletten, E.M.; Bertozzi, C.R. Bioorthogonal chemistry: Fishing for selectivity in a sea of functionality. Angew. Chem. Int. Ed. 2009, 48, 6974–6988. [Google Scholar] [CrossRef] [PubMed]
- McKay, C.S.; Finn, M.G. Click chemistry in complex mixtures: Bioorthogonal bioconjugation. Chem. Biol. 2014, 21, 1075–1101. [Google Scholar] [CrossRef] [PubMed]
- Agarwal, P.; van der Weijden, J.; Sletten, E.M.; Rabuka, D.; Bertozzi, C.R. A Pictet-Spengler ligation for protein chemical modification. Proc. Natl. Acad. Sci. USA 2013, 110, 46–51. [Google Scholar] [CrossRef]
- Agarwal, P.; Kudirka, R.; Albers, A.E.; Barfield, R.M.; de Hart, G.W.; Drake, P.M.; Jones, L.C.; Rabuka, D. Hydrazino-Pictet-Spengler ligation as biocompatible method for the generation of stable protein conjugates. Bioconjug. Chem. 2013, 24, 840–851. [Google Scholar] [CrossRef]
- Bertozzi, C.R.; Agarwal, P.; Sletten, M. Pictet-Spengler Ligation for Protein Chemical Modification. Patent WO 2014078733 A1, 22 May 2014. [Google Scholar]
- Drake, P.M.; Albers, A.E.; Baker, J.; Banas, S.; Barnfield, R.M.; Bhat, A.S.; de Hart, G.W.; Garofalo, A.W.; Holder, P.; Jones, L.C.; et al. Aldehyde tag coupled with HIPS chemistry enables the production of ADCs conjugated site-specifically to different antibody regions with distinct in vivo efficacy and PK outcomes. Bioconjug. Chem. 2014, 25, 1331–1341. [Google Scholar] [CrossRef]
- Albers, A.E.; Garofalo, A.W.; Drake, P.M.; Kudirka, R.; de Hart, G.W.; Barfield, R.M.; Baker, J.; Banas, S.; Rabuka, D. Exploring the effects of linker composition on site-specifically modified antibody-drug conjugates. Eur. J. Med. Chem. 2014, 88, 3–9. [Google Scholar] [CrossRef]
- Liu, J.; Hanne, J.; Britton, B.M.; Shoffner, M.; Albers, A.E.; Bennett, J.; Zatezalo, R.; Barfield, R.; Rabuka, D.; Lee, J.B.; et al. An efficient site-specific method for irreversible covalent labeling of proteins with a fluorophore. Sci. Rep. 2015, 5, 16883–16892. [Google Scholar] [CrossRef]
- Kudirka, R.; Rabuka, D. The Hydrazino-iso-Pictet-Spengler Ligation: A Versatile, Mild, and Efficient Aldehyde Conjugation Strategy To Generate Site-Specific, Positionally Programmable Antibody-Drug Conjugates. Am. Pharm. Rev. 2015. Available online: https://www.americanpharmaceuticalreview.com/Featured-Articles/175076-The-Hydrazino-iso-Pictet-Spengler-Ligation-a-Versatile-Mild-and-Efficient-Aldehyde-Conjugation-Strategy-to-Generate-Site-specific-Positionally-Programable-Antibody-Drug-Conjugates/ (accessed on 10 January 2020).
- Li, L.; Deng, W.; Song, J.; Ding, W.; Zhao, Q.F.; Peng, C.; Song, W.W.; Tang, G.L.; Liu, W. Characterization of the Saframycin A Gene Cluster from Streptomyces lavendulae NRRL 11002 Revealing a Nonribosomal Peptide Synthetase System for Assembling the Unusual Tetrapeptidyl Skeleton in an Iterative Manner. J. Bacteriol. 2008, 190, 251–263. [Google Scholar] [CrossRef] [PubMed]
- Imada, K.; Sakai, E.; Kato, H.; Kawabata, T.; Yoshinaga, S.; Nehira, T.; Terasawa, H.; Tsukamoto, S. Reticulins A and b and hyrtioreticulin F from the marine sponge Hyrtios reticulatus. Tetrahedron 2013, 69, 7051–7055. [Google Scholar] [CrossRef]
- Barker, S.A.; Harrison, R.E.; Monti, J.A.; Brown, G.B.; Christian, S.T. Identification and quantification of 1,2,3,4-tetrahydro-β-carboline, 2-methyl-1,2,3,4-tetrahydro-β-carboline, and 6-methoxy-1,2,3,4-tetrahydro-β-carboline as in vivo constituents of rat brain and adrenal gland. Biochem. Pharmacol. 1981, 30, 9–17. [Google Scholar] [CrossRef]
- Seigler, D.S. Plant Secondary Metabolism; Springer: Basel, Switzerland, 1998. [Google Scholar]
- Hanson, J.R. The Chemistry of Fungi; RSC Publishing: Cambridge, UK, 2008. [Google Scholar]
- Wiemann, P.; Keller, N.P. Strategies for mining fungal natural products. J. Ind. Microbiol. Biotechnol. 2014, 41, 301–313. [Google Scholar] [CrossRef]
- Yaegashi, J.; Oakley, B.R.; Wang, C.C. Recent advances in genome mining of secondary metabolite biosynthetic gene clusters and the development of heterologous expression systems in Aspergyllus nidulans. J. Ind. Microbiol. Biotechnol. 2014, 41, 433–442. [Google Scholar] [CrossRef]
- Xu, W.; Gavia, D.J.; Tang, Y. Biosynthesis of fungal indole alkaloids. Nat. Prod. Rep. 2014, 31, 1474–1487. [Google Scholar] [CrossRef]
- Ding, G.; Song, Y.C.; Chen, J.R.; Xu, C.; Ge, H.M.; Wang, X.T.; Tan, R.X. Chaetoglobosin U, a cytochalasan alkaloid from endophitic Chaetonium globosum IFB-E019. J. Nat. Prod. 2006, 69, 302–304. [Google Scholar] [CrossRef]
- Jang, M.Y.; Feng, T.; Liu, J.K. N-Containing compounds of macromycetes. Nat. Prod. Res. 2011, 28, 783–808. [Google Scholar] [CrossRef]
- Ge, H.M.; Yan, W.; Guo, Z.K.; Luo, Q.; Feng, R.; Zang, L.Y.; Shen, Y.; Jao, R.; Xu, Q.; Tan, R.X. Precursor-directed fungal generation of novel halogenated chaetoglobosins with more preferable immunosuppressive action. Chem. Commun. 2011, 47, 2321–2323. [Google Scholar] [CrossRef]
- Yan, W.; Ge, H.M.; Wang, G.; Jiang, N.; Mei, Y.N.; Jiang, R.; Li, S.J.; Chen, C.J.; Jiao, R.H.; Xu, Q.; et al. Pictet-Spengler reaction-based biosynthetic machinery in fungi. Proc. Natl. Acad. Sci. USA 2014, 111, 18138–18143. [Google Scholar] [CrossRef]
- Kasanah, N.; Farr, L.L.; Gholipour, A.; Wedge, D.E.; Hamann, M.T. Metabolism and resistance of Fusarium spp. To the manzamine alkaloids via a putative retro-pictet-spengler reaction and utility of the rational design of antimalarial and antifungal agents. Mar. Biotechnol. 2014, 16, 412–422. [Google Scholar] [CrossRef] [PubMed]
- Zhang, L.H.; Gupta, A.K.; Cook, J.M. Reinvestigation of the mechanism of the acid-catalyzed epimerization of reserpine to isoreserpine. J. Org. Chem. 1989, 54, 4708–4712. [Google Scholar] [CrossRef]
- Van Linn, M.L.; Cook, J.M. Mechanistic studies of the cis to trans epimerization of trisubstituted 1,2,3,4-tetrahydro-β-carbolines. J. Org. Chem. 2010, 75, 3587–3599. [Google Scholar] [CrossRef] [PubMed]
- Larghi, E.L.; Kaufman, T.S. Synthesis of Oxacycles Employing the Oxa-Pictet- Spengler Reaction: Recent Developments and New prospects. Eur. J. Org. Chem. 2011, 27, 5195–5231. [Google Scholar] [CrossRef]
- Larghi, E.L.; Kaufman, T.S. The Oxa-Pictet-Spengler Cyclization: Synthesis of Isochromans and Related Pyran Heterocycles. Synthesis 2006, 2, 187–220. [Google Scholar] [CrossRef]
- Zhu, Z.; Adili, A.; Zhao, C.; Seidel, D. Catalytic Enantioselective Approaches to the oxa-Pictet-Spengler Cyclization and Other 3,6-Dihydropyran-Forming Reactions. SynOpen 2019, 3, 77–90. [Google Scholar] [CrossRef]
- Kundu, B.; Sawant, D.; Chhabra, R. A modified strategy for the Pictet-Spengler reaction leading to the synthesis of imidazoquinoxalines on solid phase. J. Comb. Chem. 2005, 7, 317–321. [Google Scholar] [CrossRef]
- Kundu, B.; Sawant, D.; Partani, P.; Kesarwani, A.P. New Application of Pictet-Spengler Reaction Leading to the Synthesis of an Unusual Seven-Membered Heterocyclic Ring System. J. Org. Chem. 2005, 70, 4889–4892. [Google Scholar] [CrossRef]
- Duggineni, S.; Sawant, D.; Saha, B.; Kundu, B. Application of the modified Pictet-Spengler reaction for the synthesis of thiazolo- and pyrazolo-quinolines. Tetrahedron 2006, 62, 3228–3241. [Google Scholar] [CrossRef]
- Xiang, J.; Zheng, L.; Chen, F.; Dang, Q.; Bai, X. A Cascade Reaction Consisting of a Pictet-Spengler-Type cyclization and Smiles Rearrangement: Application to the Synthesis of Novel Pyrrole-Fused Dihydropteridines. Org. Lett. 2007, 9, 765–767. [Google Scholar] [CrossRef]
- Sharma, S.; Saha, B.; Sawant, D.; Kundu, B. Synthesis of Novel N-Rich Polycyclic Skeletons Based on Azoles and Pyridines. J. Comb. Chem. 2007, 9, 783–792. [Google Scholar] [CrossRef] [PubMed]
- Wang, X.L.; Zheng, X.F.; Liu, R.H.; Reiner, J.; Chang, J.B. Synthesis of novel substituted naphthoquino[b]-benzo[e][1,4]diazepines via Pictet-Spengler cyclization. Tetrahedron 2007, 63, 3389–3394. [Google Scholar] [CrossRef]
- Che, X.; Zheng, L.; Dang, Q.; Bai, X. Synthesis of Novel Pyrimidine Fused-8-Membered Heterocycles via Iminium Ion Cyclization Reactions. J. Org. Chem. 2008, 73, 1147–1149. [Google Scholar] [CrossRef] [PubMed]
- Ma, Y.; Nam, S.; Jove, R.; Yakushijin, K.; Horne, D.-H. Synthesis and anticancer activity of ageladine A and structural analogs. Bioorg. Med. Chem. Lett. 2010, 20, 83–86. [Google Scholar] [CrossRef] [PubMed]
© 2020 by the authors. Licensee MDPI, Basel, Switzerland. This article is an open access article distributed under the terms and conditions of the Creative Commons Attribution (CC BY) license (http://creativecommons.org/licenses/by/4.0/).





























































































