Benzophenone and Benzoylphloroglucinol Derivatives from Hypericum sampsonii with Anti-Inflammatory Mechanism of Otogirinin A
Abstract
1. Introduction
2. Results and Discussion
2.1. Effect of Different Fractions of MeOH Extract and Isolation of Compounds
2.2. Structure Identification of the Known Isolates
2.3. Biological Studies
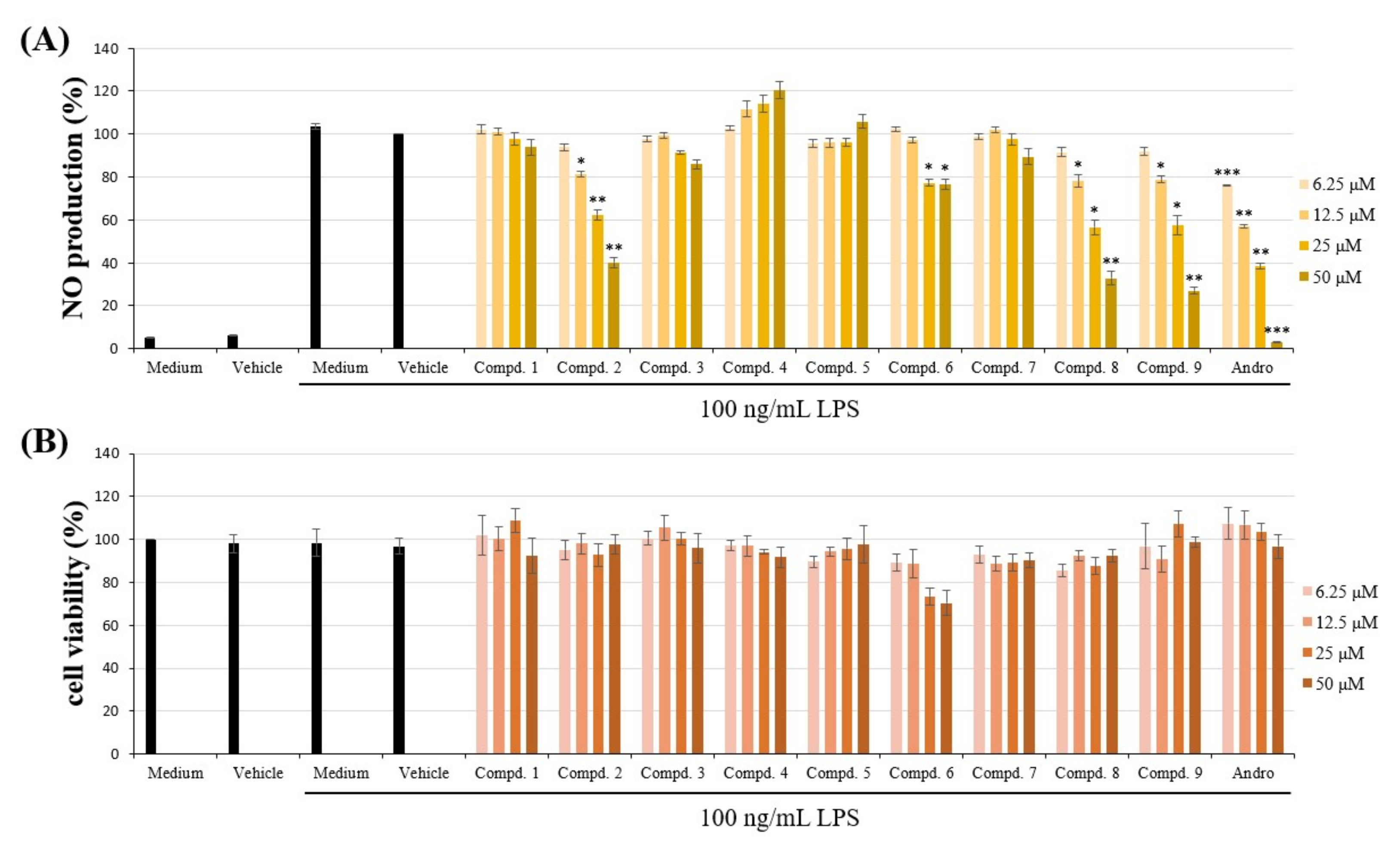
2.3.1. Reduction of LPS-Triggered Nitric Oxide (NO) Production in RAW264.7 Cells by Compounds 8 and 9
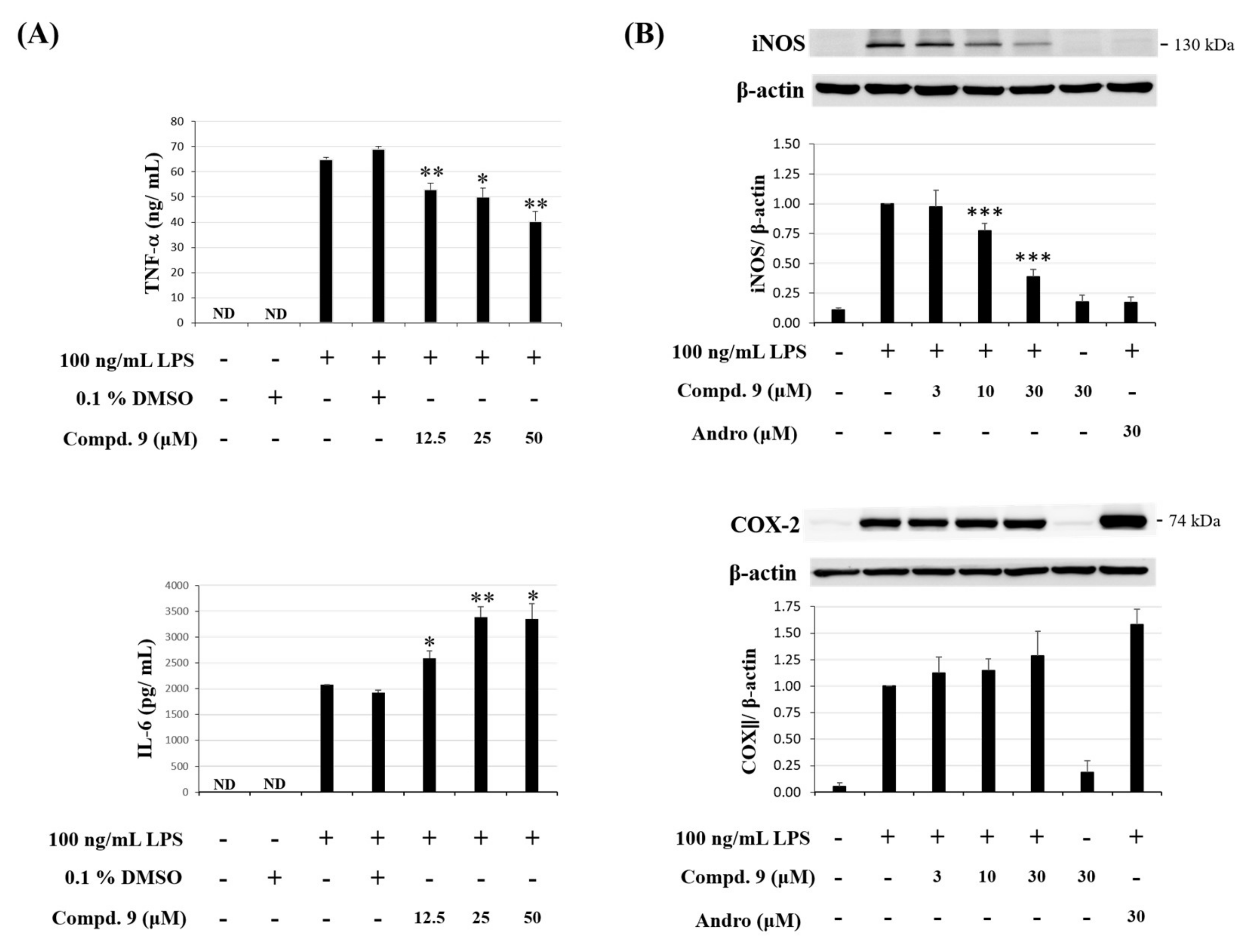
2.3.2. Effect of Otogirinin A (9) on Proinflammatory Mediators in LPS-Stimulated RAW264.7 Cells
2.3.3. Effect of Otogirinin A (9) on M2 Polarization of Macrophages in LPS-Stimulated RAW264.7 Cells
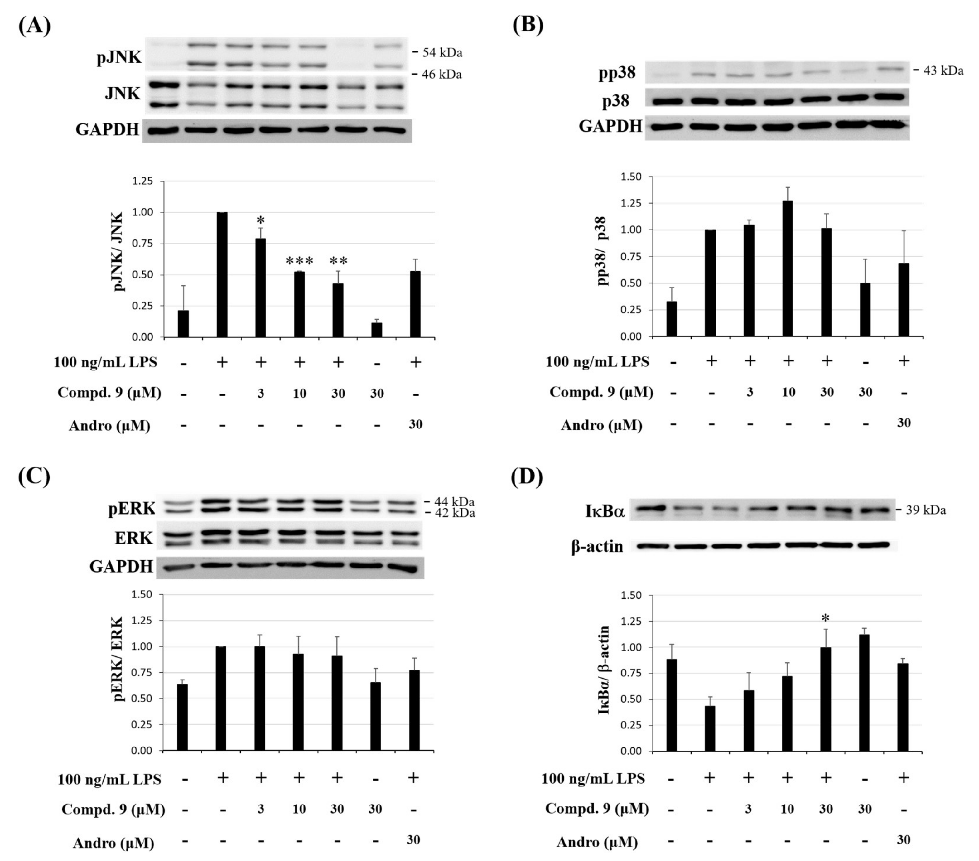
2.3.4. Effect of Otogirinin A (9) on MAPK Phosphorylation Pathway in LPS-Stimulated RAW264.7 Cells
2.3.5. Effect of Otogirinin A (9) on IκBα Phosphorylation in LPS-Stimulated RAW264.7 Cells
3. Experimental Section
3.1. General Procedures
3.2. Plant Material
3.3. Extraction and Isolation
3.4. Biologic Assay
3.4.1. Chemicals and Antibodies
3.4.2. Cells and Culture Medium
3.4.3. Determination of NO Production
3.4.4. MTT Assay
3.4.5. Enzyme-Linked Immunosorbent Assay
3.4.6. Western Blotting
3.4.7. Statistical Analysis
4. Conclusions
Supplementary Materials
Author Contributions
Funding
Conflicts of Interest
References
- Lin, Y.L.; Wu, Y.S. Polyprenylated phloroglucinol derivatives from Hypericum sampsonii. Helv. Chim. Acta 2003, 86, 2156–2163. [Google Scholar] [CrossRef]
- Chiu, N.Y.; Chang, K.H. The Illustrated Medicinal Plants of Taiwan; SMC Pubishing Inc.: Taipei, Taiwan, 1986; Volume 2, p. 126. [Google Scholar]
- Hong, D.; Yin, F.; Hu, L.H.; Lu, P. Sulfonated xanthones from Hypericum sampsonii. Phytochemistry 2004, 65, 2595–2598. [Google Scholar] [CrossRef]
- Xiao, Z.Y.; Shiu, W.K.P.; Zeng, Y.H.; Mu, Q.; Gibbons, S. A naturally occurring inhibitory agent from Hypericum sampsonii with activity against multidrug-resistant Staphylococcus aureus. Pharma. Biol. 2008, 46, 250–253. [Google Scholar] [CrossRef]
- Xin, W.B.; Mao, Z.J.; Jin, G.L.; Qin, L.P. Two new xanthones from Hypericum sampsonii and biological activity of the isolated compounds. Phytother. Res. 2011, 25, 536–539. [Google Scholar] [CrossRef]
- Zhu, H.; Chen, C.; Yang, J.; Li, D.; Zhang, J.; Guo, Y.; Wang, J.; Luo, Z.; Xue, Y.; Zhang, Y. Hyperhexanone A, a crucial intermediate from bicyclo[3.3.1]- to cyclohexanone monocyclic-polycyclic polyprenylated acylphloroglucinols. Tetrahedron 2016, 72, 4655–4659. [Google Scholar]
- Tian, W.J.; Qiu, Y.Q.; Chen, H.F.; Jin, X.J.; Yao, X.J.; Dai, Y.; Yao, X.S. Chiral separation and absolute configurations of two pairs of racemic polyprenylated benzophenones from Hypericum sampsonii. Fitoterapia 2017, 116, 39–44. [Google Scholar] [CrossRef] [PubMed]
- Xiao, Z.Y.; Zeng, Y.H.; Mu, Q.; Shiu, W.K.P.; Gibbons, S. Prenylated benzophenone peroxide derivatives from Hypericum sampsonii. Chem. Biodivers. 2010, 7, 953–958. [Google Scholar] [CrossRef]
- Don, M.J.; Huang, Y.J.; Huang, R.L.; Lin, Y.L. New Phenolic Principles from Hypericum sampsonii. Chem. Pharm. Bull. 2004, 52, 866–869. [Google Scholar] [CrossRef]
- Chen, Q.; Di, L.; Zhang, Y.; Li, N. Chemical constituents with cytotoxic and anti-inflammatoty activity in Hypericum sampsonii and the antitumor potential under the view of cancer-related inflammation. J. Ethnopharmacol. 2020, 259, 112948. [Google Scholar] [CrossRef]
- Xiao, Z.Y.; Mu, Q.; Shiu, W.K.P.; Zeng, Y.H.; Gibbons, S. Polyisoprenylated benzoylphloroglucinol derivatives from Hypericum sampsonii. J. Nat. Prod. 2007, 70, 1779–1782. [Google Scholar] [CrossRef]
- Zeng, Y.H.; Osman, K.; Xiao, Z.Y.; Gibbons, S.; Mu, Q. Four geranyl-bearing polyisoprenylated benzoylphloroglucinol derivatives from Hypericum sampsonii. Phytochem. Lett. 2012, 5, 200–205. [Google Scholar] [CrossRef]
- Zhu, H.; Chen, C.; Yang, J.; Li, X.N.; Liu, J.; Sun, B.; Huang, S.X.; Li, D.; Yao, G.; Luo, Z.; et al. Bioactive acylphloroglucinols with adamantyl skeleton from Hypericum sampsonii. Org. Lett. 2014, 16, 6322–6325. [Google Scholar] [CrossRef]
- Zhu, H.; Chen, C.; Tong, Q.; Chen, X.; Yang, J.; Liu, J.; Sun, B.; Wang, J.; Yao, G.; Luo, Z.; et al. Hyperisampsins H–M, cytotoxic polycyclic polyprenylated acylphloroglucinols from Hypericum sampsonii. Sci. Rep. 2015, 5, 14772. [Google Scholar] [CrossRef] [PubMed]
- Zhu, H.C.; Chen, C.M.; Zhang, J.W.; Guo, Y.; Tan, D.D.; Wei, G.Z.; Yang, J.; Wang, J.P.; Luo, Z.W.; Xue, Y.B.; et al. Hyperisampsins N and O, two new benzoylated phloroglucinol derivatives from Hypericum sampsonii. Chin. Chem. Lett. 2017, 28, 986–990. [Google Scholar] [CrossRef]
- Killeen, M.J.; Linder, M.; Pontoniere, P.; Crea, R. NF-κB signaling and chronic inflammatory diseases: Exploring the potential of natural products to drive new therapeutic opportunities. Drug Discov. Today 2014, 19, 373–378. [Google Scholar] [CrossRef] [PubMed]
- Karin, M.; Clevers, H. Reparative inflammation takes charge of tissue regeneration. Nature 2016, 529, 307–315. [Google Scholar] [CrossRef]
- Hu, L.H.; Sim, K.Y. Cytotoxic polyprenylated benzoylphloroglucinol derivatives with an unusual adamantyl skeleton from Hypericum sampsonii (Guttiferae). Org. Lett. 1999, 1, 879–882. [Google Scholar] [CrossRef]
- Ting, C.W.; Hwang, T.L.; Chen, I.S.; Cheng, M.J.; Sung, P.J.; Yen, M.H.; Chen, J.J. Garcimultiflorone G, a novel benzoylphloroglucinol derivative from Garcinia multiflora with inhibitory activity on neutrophil pro-inflammatory responses. Chem. Biodivers. 2014, 11, 819–824. [Google Scholar] [CrossRef]
- Cheng, L.Y.; Tsai, Y.C.; Fu, S.L.; Cheng, M.J.; Sung, P.J.; Chung, M.I.; Chen, J.J. Acylphloroglucinol derivatives from Garcinia multiflora with anti-inflammatory effect in LPS-induced RAW264.7 macrophages. Molecules 2018, 23, 2587. [Google Scholar] [CrossRef]
- Yang, C.S.; Huang, H.C.; Wang, S.Y.; Sung, P.J.; Huang, G.J.; Chen, J.J.; Kuo, Y.H. New diphenol and isocoumarins from the aerial part of Lawsonia inermis and their inhibitory activities against NO production. Molecules 2016, 21, 1299. [Google Scholar] [CrossRef]
- Yang, C.S.; Chen, J.J.; Huang, H.C.; Huang, G.J.; Wang, S.Y.; Sung, P.J.; Cheng, M.J.; Wu, M.D.; Kuo, Y.H. New benzenoid derivatives and other constituents from Lawsonia inermis with inhibitory activity against NO production. Molecules 2017, 22, 936. [Google Scholar] [CrossRef] [PubMed]
- Zhou, K.; Wunsch, C.; Dai, J.; Li, S.M. Gem-Diprenylation of acylphloroglucinols by a fungal prenyltransferase of the dimethylallyltryptophan synthase superfamily. Org. Lett. 2017, 19, 388–391. [Google Scholar] [CrossRef] [PubMed]
- Tian, W.J.; Qiu, Y.Q.; Chen, J.J.; Yao, X.J.; Wang, G.H.; Dai, Y.; Chen, H.F.; Yao, X.S. Norsampsone E, an unprecedented decarbonyl polycyclic polyprenylated acylphloroglucinol with a homoadamantyl core from Hypericum sampsonii. RSC Adv. 2017, 7, 33113–33119. [Google Scholar] [CrossRef]
- Tian, W.J.; Yu, Y.; Yao, X.J.; Chen, H.F.; Dai, Y.; Zhang, X.K.; Yao, X.S. Norsampsones A–D, four new decarbonyl polycyclic polyprenylated acylphloroglucinols from Hypericum sampsonii. Org. Lett. 2014, 16, 3448–3451. [Google Scholar] [CrossRef] [PubMed]
- Dharmaratne, H.R.W.; Napagoda, M.T.; Tennakoon, S.B. Xanthones from roots of Calophyllum thwaitesii and their bioactivity. Nat. Prod. Res. 2009, 23, 539–545. [Google Scholar] [CrossRef]
- Rao, H.; Ma, X.; Liu, Q.; Li, Z.; Cao, S.; Li, C.J. Metal-free oxidative coupling: Xanthone formation via direct annulation of 2-aryloxybenzaldehyde using tetrabutylammonium bromide as a promoter in aqueous medium. Adv. Synth. Catal. 2013, 355, 2191–2196. [Google Scholar] [CrossRef]
- Ishida, Y.; Shirota, O.; Sekita, S.; Someya, K.; Tokita, F.; Nakane, T.; Kuroyanagi, M. Polyprenylated benzoylphloroglucinol-type derivatives including novel cage compounds from Hypericum sampsonii. Chem. Pharm. Bull. 2010, 58, 336–343. [Google Scholar] [CrossRef]
- Saranya, P.; Geetha, A.; Selvamathy, S.N. A biochemical study on the gastroprotective effect of andrographolide in rats induced with gastric ulcer. Indian J. Pharm. Sci. 2011, 73, 550–557. [Google Scholar]
- Wu, H.; Zhao, G.; Jiang, K.; Li, C.; Qiu, C.; Deng, G. Engeletin alleviates lipopolysaccharide-induced endometritis in mice by inhibiting TLR4-mediated NF-κB activation. J. Agric. Food Chem. 2016, 64, 6171–6178. [Google Scholar] [CrossRef]
- Benoit, M.; Desnues, B.; Mege, J.L. Macrophage polarization in bacterial infections. J. Immunol. Res. 2008, 181, 3733–3739. [Google Scholar] [CrossRef]
- Pauleau, A.L.; Rutschman, R.; Lang, R.; Pernis, A.; Watowich, S.S.; Murray, P.J. Enhancer-mediated control of macrophage-specific arginase I expression. J. Immunol. 2004, 172, 7565–7573. [Google Scholar] [CrossRef] [PubMed]
- Yang, Z.; Ming, X.F. Functions of arginase isoforms in macrophage inflammatory responses: Impact on cardiovascular diseases and metabolic disorders. Front. Immunol. 2014, 5, 533. [Google Scholar] [CrossRef] [PubMed]
- Liao, X.; Sharma, N.; Kapadia, F.; Zhou, G.; Lu, Y.; Hong, H.; Paruchuri, K.; Mahabeleshwar, G.H.; Dalmas, E.; Venteclef, N.; et al. Krüppel-like factor 4 regulates macrophage polarization. J. Clin. Investig. 2011, 121, 2736–2749. [Google Scholar] [CrossRef] [PubMed]
- Kaminska, B. MAPK signalling pathways as molecular targets for anti-inflammatory therapy from molecular mechanisms to therapeutic benefits. Biochim. Biophys. Acta 2005, 1754, 253–262. [Google Scholar] [CrossRef]
- Liu, T.; Zhang, L.; Joo, D.; Sun, S.C. NF-κB signaling in inflammation. Sig. Transduct. Target. Ther. 2017, 2, 1–9. [Google Scholar] [CrossRef]
- Abarikwu, S.O. Kolaviron, a natural flavonoid from the seeds of Garcinia kola, reduces LPS-induced inflammation in macrophages by combined inhibition of IL-6 secretion, and inflammatory transcription factors, ERK1/2, NF-κB, p38, Akt, pc-JUN and JNK. Biochim. Biophys. Acta Gen. Subj. 2014, 1840, 2373–2381. [Google Scholar] [CrossRef]
- Johansson, M.; Köpcke, B.; Anke, H.; Sterner, O. Biologically active secondary metabolites from the ascomycete A111-95. 2. Structure elucidation. J. Antibiot. 2002, 55, 104–106. [Google Scholar] [CrossRef]
- Mosmann, T. Rapid colorimetric assay for cellular growth and survival: Application to proliferation and cytotoxicity assays. J. Immunol. Methods 1983, 65, 55–63. [Google Scholar] [CrossRef]
- Lai, J.L.; Liu, Y.H.; Liu, C.; Qi, M.P.; Liu, R.N.; Zhu, X.F.; Zhou, Q.G.; Chen, Y.Y.; Guo, A.Z.; Hu, C.M. Indirubin inhibits LPS-induced inflammation via TLR4 abrogation mediated by the NF-kB and MAPK signaling pathways. Inflammation 2017, 40, 1–12. [Google Scholar] [CrossRef]
Sample Availability: Samples of the compounds are available from the authors. |


) and HMBC (
) correlations of 1. NOESY—nuclear Overhauser effect spectrometry; HMBC—heteronuclear multiple-bond correlation.
) and HMBC (
) correlations of 1. NOESY—nuclear Overhauser effect spectrometry; HMBC—heteronuclear multiple-bond correlation.

) and HMBC (
) correlations of 2.

) and HMBC (
) correlations of 3.





| Compounds | IC50 (μM) b or (Inh%) c |
|---|---|
| 4-Geranyloxy-2-hydroxy-6-isoprenyloxybenzophenone (1) | (6.23 ± 3.71) |
| Hypericumone A (2) | 40.32 ± 2.05 ** |
| Hypericumone B (3) | (14.12 ± 2.19) |
| 1-Hydroxy-7-methoxyxanthone (4) d | elicit NO generation |
| 2-Methoxyxanthone (5) d | elicit NO generation |
| 2,4,6-Trihydroxybenzophenone-4-O-geranyl ether (6) | (23.41 ± 2.56) * |
| Sampsonin B (7) | (10.48 ± 3.52) |
| Sampsonione J (8) | 35.25 ± 2.46 ** |
| Otogirinin A (9) | 32.87 ± 1.60 ** |
| Andrographolide e | 19.36 ± 1.72 *** |
| Position | 1 a | 2 b | 3 b |
|---|---|---|---|
| 1 | |||
| 2 | 7.99 br d (7.5) | ||
| 3 | 6.16 d (2.5) | 7.45 br t (7.5) | |
| 4 | 7.55 br t (7.5) | ||
| 5 | 5.93 d (2.5) | 7.45 br t (7.5) | |
| 6 | 2.08 dd (13.8, 4.1) 2.32 dd (13.8, 2.0) | 7.99 br d (7.5) | |
| 7 | 1.80 m | ||
| 8 | 4.35 s | ||
| 9 | 7.48 d (7.5) | ||
| 10 | 7.35 br t (7.5) | 2.88 m | |
| 11 | 7.43 br t (7.5) | 1.14 m 2.20 m | |
| 12 | 7.35 br t (7.5) | 7.56 br d (8.4) | 2.64 m |
| 13 | 7.48 d (7.5) | 7.33 br dd (8.4, 7.4) | |
| 14 | 7.45 br t (7.4) | 1.98 m 2.32 m | |
| 15 | 7.33 br dd (8.4, 7.4) | 5.05 br t (7.6) | |
| 16 | 7.56 br d (8.4) | ||
| 17 | 1.36 s | 1.95 m | |
| 18 | 1.44 s | 2.02 m | |
| 19 | 1.93 m | 5.07 br t (6.8) | |
| 20 | 2.80 br t (10.0) | ||
| 21 | 1.66 s | ||
| 22 | 1.85 s | 1.58 s | |
| 23 | 5.01 br s 5.25 br s | 1.59 s | |
| 24 | 1.67 m 2.15 m | ||
| 25 | 5.21 br t (7.4) | ||
| 26 | |||
| 27 | 1.73 s | ||
| 28 | 1.60 s | ||
| 29 | 2.58 m | 0.91 s | |
| 30 | 5.40 br t (7.5) | 0.99 s | |
| 31 | |||
| 32 | 1.69 s | ||
| 33 | 2.11 m | ||
| 34 | 2.14 m | ||
| 35 | 5.10 br t (6.7) | ||
| 36 | |||
| 37 | 1.62 s | ||
| 38 | 1.68 s | ||
| 1ʹ | 4.58 d (6.5) | ||
| 2ʹ | 5.48 br t (6.5) | ||
| 3ʹ | |||
| 4ʹ | 2.11 br t (6.5) | ||
| 5ʹ | 2.14 m | ||
| 6ʹ | 5.10 br t (6.5) | ||
| 7ʹ | |||
| 8ʹ | 1.69 s | ||
| 9ʹ | 1.76 s | ||
| 10ʹ | 1.62 s | ||
| 1ʹʹ | 4.18 d (6.0) | ||
| 2ʹʹ | 4.62 br t (6.0) | ||
| 3ʹʹ | |||
| 4ʹʹ | 1.57 s | ||
| 5ʹʹ | 1.50 s | ||
| 2-OH | 12.37 s | ||
| 3-OH | 3.38 s |
| Position | 1 a | 2 a | 3 a |
|---|---|---|---|
| 1 | 105.7 | 80.6 | 138.5 |
| 2 | 166.1 | 211.6 | 128.7 |
| 3 | 94.1 | 82.6 | 128.6 |
| 4 | 165.8 | 133.2 | |
| 5 | 92.5 | 58.6 | 128.6 |
| 6 | 161.4 | 36.1 | 128.7 |
| 7 | 199.6 | 42.0 | 196.7 |
| 8 | 142.3 | 50.8 | 72.1 |
| 9 | 127.4 | 212.3 | 208.4 |
| 10 | 127.5 | 193.3 | 47.6 |
| 11 | 130.2 | 134.5 | 34.5 |
| 12 | 127.5 | 129.1 | 40.3 |
| 13 | 127.4 | 128.1 | 43.3 |
| 14 | 132.8 | 27.4 | |
| 15 | 128.1 | 121.6 | |
| 16 | 129.1 | 136.7 | |
| 17 | 21.7 | 39.8 | |
| 18 | 24.5 | 26.8 | |
| 19 | 26.0 | 124.3 | |
| 20 | 41.6 | 131.3 | |
| 21 | 142.5 | 25.7 | |
| 22 | 21.7 | 16.2 | |
| 23 | 118.5 | 17.7 | |
| 24 | 28.1 | ||
| 25 | 123.6 | ||
| 26 | 132.4 | ||
| 27 | 25.8 | ||
| 28 | 17.8 | ||
| 29 | 26.3 | 22.1 | |
| 30 | 118.5 | 26.1 | |
| 31 | 139.0 | ||
| 32 | 16.2 | ||
| 33 | 40.2 | ||
| 34 | 26.4 | ||
| 35 | 124.1 | ||
| 36 | 131.7 | ||
| 37 | 17.7 | ||
| 38 | 25.8 | ||
| 1ʹ | 65.2 | ||
| 2ʹ | 118.4 | ||
| 3ʹ | 142.3 | ||
| 4ʹ | 39.5 | ||
| 5ʹ | 26.3 | ||
| 6ʹ | 123.6 | ||
| 7ʹ | 131.9 | ||
| 8ʹ | 25.7 | ||
| 9ʹ | 16.7 | ||
| 10ʹ | 17.7 | ||
| 1ʹʹ | 65.1 | ||
| 2ʹʹ | 118.4 | ||
| 3ʹʹ | 137.0. | ||
| 4ʹʹ | 25.5 | ||
| 5ʹʹ | 18.0 |
© 2020 by the authors. Licensee MDPI, Basel, Switzerland. This article is an open access article distributed under the terms and conditions of the Creative Commons Attribution (CC BY) license (http://creativecommons.org/licenses/by/4.0/).
Share and Cite
Huang, C.-Y.; Chang, T.-C.; Wu, Y.-J.; Chen, Y.; Chen, J.-J. Benzophenone and Benzoylphloroglucinol Derivatives from Hypericum sampsonii with Anti-Inflammatory Mechanism of Otogirinin A. Molecules 2020, 25, 4463. https://doi.org/10.3390/molecules25194463
Huang C-Y, Chang T-C, Wu Y-J, Chen Y, Chen J-J. Benzophenone and Benzoylphloroglucinol Derivatives from Hypericum sampsonii with Anti-Inflammatory Mechanism of Otogirinin A. Molecules. 2020; 25(19):4463. https://doi.org/10.3390/molecules25194463
Chicago/Turabian StyleHuang, Chun-Yi, Tzu-Cheng Chang, Yu-Jing Wu, Yun Chen, and Jih-Jung Chen. 2020. "Benzophenone and Benzoylphloroglucinol Derivatives from Hypericum sampsonii with Anti-Inflammatory Mechanism of Otogirinin A" Molecules 25, no. 19: 4463. https://doi.org/10.3390/molecules25194463
APA StyleHuang, C.-Y., Chang, T.-C., Wu, Y.-J., Chen, Y., & Chen, J.-J. (2020). Benzophenone and Benzoylphloroglucinol Derivatives from Hypericum sampsonii with Anti-Inflammatory Mechanism of Otogirinin A. Molecules, 25(19), 4463. https://doi.org/10.3390/molecules25194463

