Interfacial and Foaming Properties of Tailor-Made Glycolipids—Influence of the Hydrophilic Head Group and Functional Groups in the Hydrophobic Tail
Abstract
1. Introduction
2. Results
2.1. Critical Micelle Concentration (CMC) and Dynamic Interfacial Tension
2.2. Interfacial Rheology
2.3. Foam Stability
2.4. Bubble Size Distribution
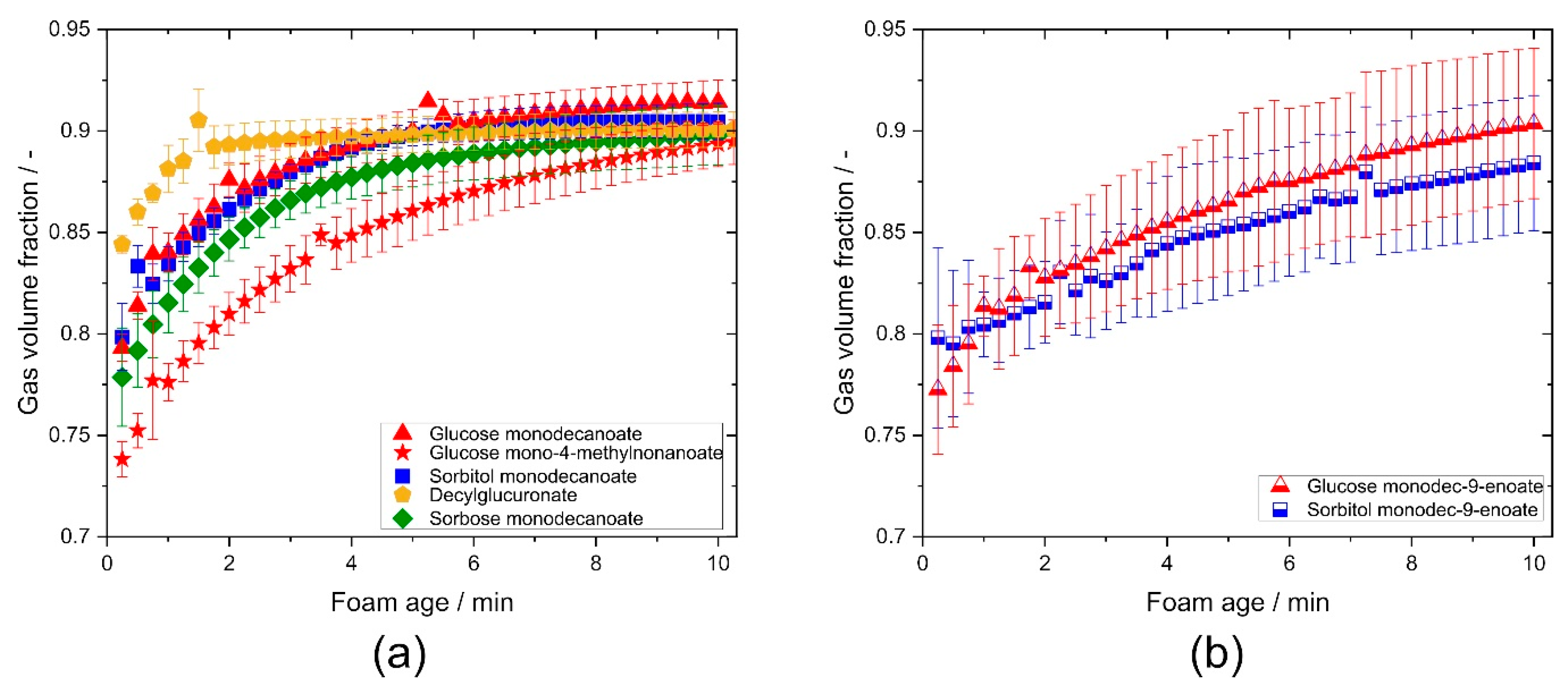
2.5. Foam Gas Volume Fraction
2.6. Foam Elasticity
3. Discussion
4. Materials and Methods
4.1. Materials
4.2. Synthesis of Glycolipids
4.3. Purification of Glycolipids
4.4. HPLC-ELSD
4.5. Determination of Interfacial Tension
4.6. Dynamic Interfacial Tension and Interfacial Rheology Measurements
4.7. Foam Generation
4.8. Foam Height Measurements
4.9. Bubble Size Distribution Measurements
4.10. Determination of Gas Volume Fractions
4.11. Determination of Shear Moduli
4.12. Statistical Analysis
5. Conclusions
Supplementary Materials
Author Contributions
Funding
Acknowledgments
Conflicts of Interest
Appendix A


References
- Lunkenheimer, K.; Malysa, K.; Winsel, K.; Geggel, K.; Siegel, S. Novel method and parameters for testing and characterization of foam stability. Langmuir 2010, 26, 3883–3888. [Google Scholar] [CrossRef] [PubMed]
- Kanokkarn, P.; Shiina, T.; Santikunaporn, M.; Chavadej, S. Equilibrium and dynamic surface tension in relation to diffusivity and foaming properties: Effects of surfactant type and structure. Colloids Surf. A Physicochem. Eng. Asp. 2017, 524, 135–142. [Google Scholar] [CrossRef]
- Georgieva, D.; Cagna, A.; Langevin, D. Link between surface elasticity and foam stability. Soft Matter 2009, 5, 2063–2071. [Google Scholar] [CrossRef]
- Briceño-Ahumada, Z.; Langevin, D. On the influence of surfactant on the coarsening of aqueous foams. Adv. Colloid Interface Sci. 2017, 244, 124–131. [Google Scholar] [CrossRef] [PubMed]
- Fruhner, H.; Wantke, K.D.; Lunkenheimer, K. Relationship between surface dilational properties and foam stability. Colloids Surf. A Physicochem. Eng. Asp. 2000, 162, 193–202. [Google Scholar] [CrossRef]
- Beneventi, D.; Carre, B.; Gandini, A. Role of surfactant structure on surface and foaming properteis. Colloids Suf. A. Physicochem. Eng. Asp. 2001, 189, 65–73. [Google Scholar] [CrossRef]
- Joye, J.L.; Hirasaki, G.J.; Miller, C.A. Asymmetric Drainage in Foam Films. Langmuir 1994, 10, 3174–3179. [Google Scholar] [CrossRef]
- Joye, J.-L.; Hirasaki, G.J.; Miller, C.A. Numerical simulation of instability causing asymmetric drainage in foam films. J. Colloid Interface Sci. 1996, 177, 542–552. [Google Scholar] [CrossRef]
- Grüninger, J.; Delavault, A.; Ochsenreither, K. Enzymatic glycolipid surfactant synthesis from renewables. Process Biochem. 2019, 87, 45–54. [Google Scholar] [CrossRef]
- Hirata, Y.; Ryu, M.; Oda, Y.; Igarashi, K.; Nagatsuka, A.; Furuta, T.; Sugiura, M. Novel characteristics of sophorolipids, yeast glycolipid biosurfactants, as biodegradable low-foaming surfactants. J. Biosci. Bioeng. 2009, 108, 142–146. [Google Scholar] [CrossRef]
- Lima, T.M.S.; Procópio, L.C.; Brandão, F.D.; Carvalho, A.M.X.; Tótola, M.R.; Borges, A.C. Biodegradability of bacterial surfactants. Biodegradation 2011, 22, 585–592. [Google Scholar] [CrossRef] [PubMed]
- Dörjes, J. Experimentelle Untersuchungen zur Wirkung von Rohöl und Rohöl/Tensid-Gemischen im Ökosystem Wattenmeer. XVI. Zusammenfassung und Schlußfolgerungen. Senckenbergiana Marit. Int. J. Mar. Sci. 1984, 16, 267–271. [Google Scholar]
- Poremba, K.; Gunkel, W.; Lang, S.; Wagner, F. Toxicity testing of synthetic and biogenic surfactants on marine microorganisms. Environ. Toxicol. Water Qual. 1991, 6, 157–163. [Google Scholar] [CrossRef]
- Johann, S.; Seiler, T.B.; Tiso, T.; Bluhm, K.; Blank, L.M.; Hollert, H. Mechanism-specific and whole-organism ecotoxicity of mono-rhamnolipids. Sci. Total Environ. 2016, 548, 155–163. [Google Scholar] [CrossRef] [PubMed]
- Baker, I.J.A.; Matthews, B.; Suares, H.; Krodkiewska, I.; Furlong, D.N.; Grieser, F.; Drummond, C.I. Sugar fatty acid ester surfactants: Structure and ultimate aerobic biodegradability. J. Surfactants Deterg. 2000, 3, 1–11. [Google Scholar] [CrossRef]
- Stubenrauch, C. Sugar surfactants—Aggregation, interfacial, and adsorption phenomena. Curr. Opin. Colloid Interface Sci. 2001, 6, 160–170. [Google Scholar] [CrossRef]
- Stubenrauch, C.; Cohen, R.; Exerowa, D. A pH-study of n-dodecyl-β-D-maltoside foam films. Langmuir 2007, 23, 1684–1693. [Google Scholar] [CrossRef]
- Lechuga, M.; Fernández-Serrano, M.; Jurado, E.; Núñez-Olea, J.; Ríos, F. Acute toxicity of anionic and non-ionic surfactants to aquatic organisms. Ecotoxicol. Environ. Saf. 2016, 125, 1–8. [Google Scholar] [CrossRef]
- Lémery, E.; Briançon, S.; Chevalier, Y.; Bordes, C.; Oddos, T.; Gohier, A.; Bolzinger, M.A. Skin toxicity of surfactants: Structure/toxicity relationships. Colloids Surfaces A Physicochem. Eng. Asp. 2015, 469, 166–179. [Google Scholar] [CrossRef]
- Perinelli, D.R.; Lucarini, S.; Fagioli, L.; Campana, R.; Vllasaliu, D.; Duranti, A.; Casettari, L. Lactose oleate as new biocompatible surfactant for pharmaceutical applications. Eur. J. Pharm. Biopharm. 2018, 124, 55–62. [Google Scholar] [CrossRef]
- Shete, A.M.; Wadhawa, G.; Banat, I.M.; Chopade, B.A. Mapping of patents on bioemulsifier and biosurfactant: A review. J. Sci. Ind. Res. India 2006, 65, 91–115. [Google Scholar]
- Younes, M.; Aggett, P.; Aguilar, F.; Crebelli, R.; Dusemund, B.; Filipič, M.; Frutos, M.J.; Galtier, P.; Gott, D.; Gundert-Remy, U. Refined exposure assessment of sucrose esters of fatty acids (E 473) from its use as a food additive. EFSA J. 2018, 16, 1–22. [Google Scholar]
- Koeltzow, D.E.; Urefer, A.D. Preparation and properties of pure alkyl glucosides, maltosides and maltotriosides. J. Am. Oil Chem. Soc. 1984, 61, 1651–1655. [Google Scholar] [CrossRef]
- Matsumura, S.; Imai, K.; Yoshikawa, S.; Kawada, K.; Uchibor, T. Surface activities, biodegradability and antimicrobial properties of n-alkyl glucosides, mannosides and galactosides. J. Am. Oil Chem. Soc. 1990, 67, 996–1001. [Google Scholar] [CrossRef]
- Zhang, X.; Wei, W.; Cao, X.; Feng, F. Characterization of enzymatically prepared sugar medium-chain fatty acid monoesters. J. Sci. Food Agric. 2015, 95, 1631–1637. [Google Scholar] [CrossRef] [PubMed]
- Garofalakis, G.; Murray, B.S.; Sarney, D.B. Surface activity and critical aggregation concentration of pure sugar esters with different sugar headgroups. J. Colloid Interface Sci. 2000, 229, 391–398. [Google Scholar] [CrossRef]
- Razafindralambo, H.; Blecker, C.; Mezdour, S.; Deroanne, C.; Crowet, J.M.; Brasseur, R.; Lins, L.; Paquot, M. Impacts of the carbonyl group location of ester bond on interfacial properties of sugar-based surfactants: Experimental and computational evidences. J. Phys. Chem. B 2009, 113, 8872–8877. [Google Scholar] [CrossRef]
- Lexis, M.; Willenbacher, N. Relating foam and interfacial rheological properties of β-lactoglobulin solutions. Soft Matter 2014, 10, 9626–9636. [Google Scholar] [CrossRef]
- Middelberg, A.P.J.; Dimitrijev-Dwyer, M. A designed biosurfactant protein for switchable foam control. ChemPhysChem 2011, 12, 1426–1429. [Google Scholar] [CrossRef]
- Yokoyama, S.; Nakagaki, M. Effect of double bond on the surface properties of aqueous solutions of eicosapolyenoic acids. Colloid Polym. Sci. 1993, 271, 512–518. [Google Scholar] [CrossRef]
- Sprague, E.D.; Duecker, D.C.; Larrabee, C.E. The effect of a terminal double bond on the micellization of a simple ionic surfactant. J. Colloid Interface Sci. 1983, 92, 416–421. [Google Scholar] [CrossRef]
- Ashby, R.D.; Solaiman, D.K.Y.; Foglia, T.A. Property control of sophorolipids: Influence of fatty acid substrate and blending. Biotechnol. Lett. 2008, 30, 1093–1100. [Google Scholar] [CrossRef] [PubMed]
- Nitschke, M.; Costa, S.G.; Contiero, J. Rhamnolipid surfactants: An update on the general aspects of these remarkable biomolecules. Biotechnol. Prog. 2005, 21, 1593–1600. [Google Scholar] [CrossRef] [PubMed]
- Youssef, N.H.; Duncan, K.E.; Michael, J.; Mcinerney, M.J. Importance of 3-Hydroxy Fatty Acid Composition of Lipopeptides for Biosurfactant Activity. Appl. Environ. Microbiol. 2005, 71, 7690–7695. [Google Scholar] [CrossRef] [PubMed]
- Sagisaka, M.; Narumi, T.; Niwase, M.; Narita, S.; Ohata, A.; James, C.; Yoshizawa, A.; Taffin de Givenchy, E.; Guittard, F.; Alexander, S.; et al. Hyperbranched hydrocarbon surfactants give fluorocarbon-like low surface energies. Langmuir 2014, 30, 6057–6063. [Google Scholar] [CrossRef] [PubMed]
- Czajka, A.; Hazell, G.; Eastoe, J. Surfactants at the Design Limit. Langmuir 2015, 31, 8205–8217. [Google Scholar] [CrossRef]
- Waltermo, Å.; Claesson, P.M.; Simonsson, S.; Manev, E.; Johansson, I.; Bergeron, V. Foam Studies of Alkyl Glucoside Systems. Langmuir 1996, 12, 5271–5278. [Google Scholar] [CrossRef]
- Ducret, A.; Giroux, A.; Trani, M.; Lortie, R. Characterization of enzymatically prepared biosurfactants. J. Am. Oil Chem. Soc. 1996, 73, 109–113. [Google Scholar] [CrossRef]
- Da Rosa, C.F.C.; Freire, D.M.G.; Ferraz, H.C. Biosurfactant microfoam: Application in the removal of pollutants from soil. J. Environ. Chem. Eng. 2015, 3, 89–94. [Google Scholar] [CrossRef]
- Razafindralambo, H.; Paquot, M.; Baniel, A.; Popineau, Y.; Hbid, C.; Jacques, P.; Thonart, P. Foaming properties of surfactin, a lipopeptide biosurfactant from Bacillus subtilis. J. Am. Oil Chem. Soc. 1996, 73, 149–151. [Google Scholar] [CrossRef]
- Deleu, M.; Razafindralambo, H.; Popineau, Y.; Jacques, P.; Thonart, P.; Paquot, M. Interfacial and emulsifying properties of lipopeptides from Bacillus subtilis. Colloids Surf. A Physicochem. Eng. Asp. 1999, 152, 3–10. [Google Scholar] [CrossRef]
- Petkova, B.; Tcholakova, S.; Chenkova, M.; Golemanov, K.; Denkov, N.; Thorley, D.; Stoyanov, S. Foamability of aqueous solutions: Role of surfactant type and concentration. Adv. Colloid Interface Sci. 2020, 276, 102084. [Google Scholar] [CrossRef] [PubMed]
- Johnsson, M.; Engberts, J.B. Novel sugar-based gemini surfactants: Aggregation properties in aqueous solution. J. Phys. Org. Chem. 2004, 17, 934–944. [Google Scholar] [CrossRef]
- Johnsson, M.; Wagenaar, A.; Engberts, J.B. Sugar-based gemini surfactant with a vesicle-to-micelle transition at acidic pH and a reversible vesicle flocculation near neutral pH. J. Am. Chem. Soc. 2003, 125, 757–760. [Google Scholar] [CrossRef] [PubMed]
- Harvey, J.M.; Symons, M.C.R. The Hydration of Monosaccharides-an NMR Study. J. Solut. Chem. 1978, 7, 571–586. [Google Scholar] [CrossRef]
- Cauglia, F.; Canepa, P. The enzymatic synthesis of glucosylmyristate as a reaction model for general considerations on “sugar esters” production. Bioresour. Technol. 2008, 99, 4065–4072. [Google Scholar] [CrossRef]
- Castillo, E.; Pezzotti, F.; Navarro, A.; López-Munguía, A. Lipase-catalyzed synthesis of xylitol monoesters: Solvent engineering approach. J. Biotechnol. 2003, 102, 251–259. [Google Scholar] [CrossRef]
- Cao, L.; Bornscheuer, U.T.; Schmid, R.D. Lipase-catalyzed solid-phase synthesis of sugar esters. Influence of immobilization on productivity and stability of the enzyme. J. Mol. Catal. B Enzym. 1999, 6, 279–285. [Google Scholar] [CrossRef]
- Hollenbach, R.; Bindereif, B.; van der Schaaf, U.S.; Ochsenreither, K.; Syldatk, C. Optimization of Glycolipid Synthesis in Hydrophilic Deep Eutectic Solvents. Front. Bioeng. Biotechnol. 2020, 8, 382. [Google Scholar] [CrossRef]
- Fox, H.W.; Chrisman, C.H. The ring method of measuring surface tension for liquids of high density and low surface tension. J. Phys. Chem. 1952, 56, 284–287. [Google Scholar] [CrossRef]
- Zuidema, H.H.; Waters, G.W. Ring Method for the Determination of Interfacial Tension. Ind. Eng. Chem. Anal. Ed. 1941, 13, 312–313. [Google Scholar] [CrossRef]
- Blecker, C.; Piccicuto, S.; Lognay, G.; Deroanne, C.; Marlier, M.; Paquot, M. Enzymatically prepared n-Alkyl esters of glucuronic acid: The effect of hydrophobic chain length on surface properties. J. Colloid Interface Sci. 2002, 247, 424–428. [Google Scholar] [CrossRef] [PubMed]
- Loglio, G.; Pandolfini, P.; Liggieri, L.; Makievski, A.; Ravera, F. Determination of interfacial properties by the pendant drop tensiometry: Optimisation of experimental and calculation procedures. Bubble Drop Interfaces 2011, 2, 7. [Google Scholar]
- Völp, A.R.; Fessler, F.; Reiner, J.; Willenbacher, N. High throughput object recognition and sizing in disperse systems using an image processing tool based on template matching. Chem. Eng. Technol. 2020, 9, 1–7. [Google Scholar]
- Feitosa, K.; Marze, S.; Saint-Jalmes, A.; Durian, D.J. Electrical conductivity of dispersions: From dry foams to dilute suspensions. J. Phys. Condens. Matter 2005, 17, 6301–6305. [Google Scholar] [CrossRef]
- Marze, S.; Guillermic, R.M.; Saint-Jalmes, A. Oscillatory rheology of aqueous foams: Surfactant, liquid fraction, experimental protocol and aging effects. Soft Matter 2009, 5, 1937–1946. [Google Scholar] [CrossRef]
Sample Availability: Samples of the compounds (glucose monodecanoate, glucose monodec-9-enoate, glucose mono-4-methylnonanoate, sorbitol monodecanoate, sorbitol monodec-9-enoate, sorbose monodecanoate, decylglucuronate) are available from the authors. |










| Glycolipids | CMC in mM | Interfacial Tension in mN/m 1 | teq in s | Molecular Area in Å2/Molecule |
|---|---|---|---|---|
| Glucose monodecanoate | 1.5 | 25.5 ± 0.17 a | 2400 | 26.3 |
| Glucose monodec-9-enoate | 3.0 | 28.5 ± 1.10 b,c | 1100 | 30.7 |
| Glucose mono-4-methylnonanoate | 1.8 | 29.6 ± 1.90 b | 300 | 39.4 |
| Sorbitol monodecanoate | 0.7 | 24.9 ± 0.84 a | 2900 | 32.6 |
| Sorbitol monodec-9-enoate | 3.0 | 26.0 ± 0.13 a,c | 700 | 42.1 |
| Decylglucuronate | 1.3 | 24.3 ± 0.63 a | 100 | 33.7 |
| Sorbose monodecanoate | 1.0 | 25.0 ± 1.10 a | 600 | 30.9 |
© 2020 by the authors. Licensee MDPI, Basel, Switzerland. This article is an open access article distributed under the terms and conditions of the Creative Commons Attribution (CC BY) license (http://creativecommons.org/licenses/by/4.0/).
Share and Cite
Hollenbach, R.; Völp, A.R.; Höfert, L.; Rudat, J.; Ochsenreither, K.; Willenbacher, N.; Syldatk, C. Interfacial and Foaming Properties of Tailor-Made Glycolipids—Influence of the Hydrophilic Head Group and Functional Groups in the Hydrophobic Tail. Molecules 2020, 25, 3797. https://doi.org/10.3390/molecules25173797
Hollenbach R, Völp AR, Höfert L, Rudat J, Ochsenreither K, Willenbacher N, Syldatk C. Interfacial and Foaming Properties of Tailor-Made Glycolipids—Influence of the Hydrophilic Head Group and Functional Groups in the Hydrophobic Tail. Molecules. 2020; 25(17):3797. https://doi.org/10.3390/molecules25173797
Chicago/Turabian StyleHollenbach, Rebecca, Annika Ricarda Völp, Ludwig Höfert, Jens Rudat, Katrin Ochsenreither, Norbert Willenbacher, and Christoph Syldatk. 2020. "Interfacial and Foaming Properties of Tailor-Made Glycolipids—Influence of the Hydrophilic Head Group and Functional Groups in the Hydrophobic Tail" Molecules 25, no. 17: 3797. https://doi.org/10.3390/molecules25173797
APA StyleHollenbach, R., Völp, A. R., Höfert, L., Rudat, J., Ochsenreither, K., Willenbacher, N., & Syldatk, C. (2020). Interfacial and Foaming Properties of Tailor-Made Glycolipids—Influence of the Hydrophilic Head Group and Functional Groups in the Hydrophobic Tail. Molecules, 25(17), 3797. https://doi.org/10.3390/molecules25173797

