Synergistic Solubilization of Phenanthrene by Mixed Micelles Composed of Biosurfactants and a Conventional Non-Ionic Surfactant
Abstract
1. Introduction
2. Materials and Methods
2.1. Materials
2.2. Surface Tension Measurements
2.3. Solubilization Experiments
2.4. Data Analysis
2.4.1. CMC of Mixed Surfactant Solutions
2.4.2. Interaction Parameter
2.4.3. Weight Solubilization Ratio
2.4.4. Partition Coefficient Km
2.4.5. Partition Coefficient Km12
2.4.6. Standard Free Energy Change ΔGs
3. Results and Discussion
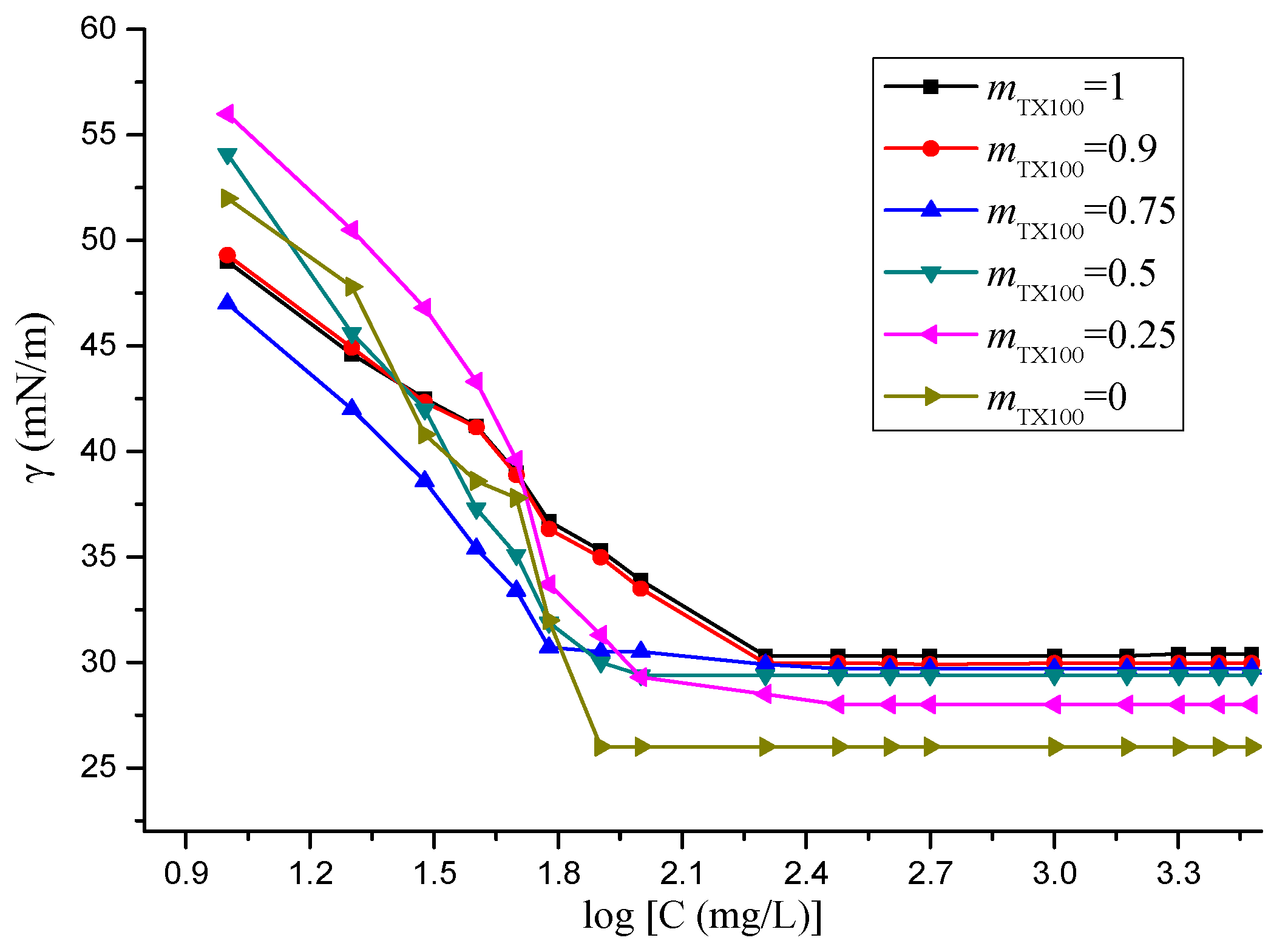
3.1. Interfacial Properties of TX100/Rham Individual and Mixed Solutions
3.2. Solubilization of Phenanthrene by Individual or Mixed Surfactants
3.3. Effect of pH on Solubilization
3.4. Effect of the Ionic Strength on Solubilization
3.5. Effect of Organic Acids on Solubilization
4. Conclusions
Author Contributions
Funding
Conflicts of Interest
Nomenclature
| mTX100 | the bulk mass fraction of TX100 in the binary surfactants |
| α1 | the bulk mole fraction of TX100 in the binary surfactants |
| β | surfactants interaction parameter |
| γ | surface tension (N/m) |
| CMC | critical micelle concentration (mol/L) |
| CMC1 | the CMC value of TX100 (mol/L) |
| CMC2 | the CMC value of rhamnolipids (mol/L) |
| CMCtheor | the CMC value of ideal mixture surfactants (mol/L) |
| CMCexp | the CMC value of experimental mixture surfactants (mol/L) |
| the mole fraction of TX100 in the binary surfactants | |
| the mole fraction of rhamnolipids in the binary surfactants | |
| WSRexp | the weight solubilization ratio of experimental mixture surfactants |
| WSRtheor | the weight solubilization ratio of deal mixture surfactants |
| Sac | the solubility of phenanthrene at a specified surfactant concentration (mg/L) |
| Scmc | the apparent solubility of phenanthrene at CMC (mg/L) |
| Csurf | surfactant concentration (mg/L) |
| Vw | the molar volume of water (L/mol) |
| Km | the partition of the organic compound between micelles and the aqueous phase |
| Km12 | the micelle–water partition of the solute in mixed surfactants systems |
| Km1 | the micelle–water partition of the solute in TX100 |
| Km2 | the micelle–water partition of the solute in rhamnolipids |
| ΔGs | the standard free energy change (J/mol) |
| R | the universal constant of the gas (J/(mol·K)) |
| T | temperature (K) |
| B | an empirical parameter including inter-surfactant and surfactant-solute interaction |
| pKa | acidity coefficient |
References
- Chen, Y.; Zhi, G.; Feng, Y.; Chongguo, T.; Bi, X.; Li, J.; Zhang, G. Increase in polycyclic aromatic hydrocarbon (PAH) emissions due to briquetting: A challenge to the coal briquetting policy. Environ. Pollut. 2015, 204, 58–63. [Google Scholar] [CrossRef] [PubMed]
- Gan, S.; Lau, E.V.; Ng, H.K. Remediation of soils contaminated with polycyclic aromatic hydrocarbons (PAHs). J. Hazard. Mater. 2009, 172, 532–549. [Google Scholar] [CrossRef]
- Trellu, C.; Mousset, E.; Pechaud, Y.; Huguenot, D.; Hullebusch, E.D.V.; Esposito, G.; Oturan, M.A. Removal of hydrophobic organic pollutants from soil washing/flushing solutions: A critical review. J. Hazard. Mater. 2016, 306, 149–174. [Google Scholar] [CrossRef] [PubMed]
- Falciglia, P.P.; De Guidi, G.; Catalfo, A.; Vagliasindi, F.G.A. Remediation of soils contaminated with PAHs and nitro-PAHs using microwave irradiation. Chem. Eng. J. 2016, 296, 162–172. [Google Scholar] [CrossRef]
- Liu, S.; Zeng, G.; Niu, Q.; Liu, Y.; Zhou, L.; Jiang, L.; Tan, X.; Xu, P.; Zhang, C.; Cheng, M. Bioremediation mechanisms of combined pollution of PAHs and heavy metals by bacteria and fungi: A mini review. Bioresour. Technol. 2017, 224, 25–33. [Google Scholar] [CrossRef]
- Souza, E.C.; Vessoni-Penna, T.C.; de Souza Oliveira, R.P. Biosurfactant-enhanced hydrocarbon bioremediation: An overview. Int. Biodeterior. Biodegrad. 2014, 89, 88–94. [Google Scholar] [CrossRef]
- Kuppusamy, S.; Thavamani, P.; Venkateswarlu, K.; Lee, Y.B.; Naidu, R.; Megharaj, M. Remediation approaches for polycyclic aromatic hydrocarbons (PAHs) contaminated soils: Technological constraints, emerging trends and future directions. Chemosphere 2017, 168, 944–968. [Google Scholar] [CrossRef] [PubMed]
- Laha, S.; Tansel, B.; Ussawarujikulchai, A. Surfactant-soil interactions during surfactant-amended remediation of contaminated soils by hydrophobic organic compounds: A review. J. Environ. Manag. 2009, 90, 95–100. [Google Scholar] [CrossRef]
- Liu, J. Soil remediation using soil washing followed by ozone oxidation. J. Ind. Eng. Chem. 2018, 65, 31–34. [Google Scholar] [CrossRef]
- Chong, Z.Y.; Liao, X.Y.; Yan, X.L.; Sun, L.; Zhao, D.; Liang, T. Enhanced Desorption of PAHs from Manufactured Gas Plant Soils Using Different Types of Surfactants. Pedosphere 2014, 24, 209–219. [Google Scholar] [CrossRef]
- Lau, E.V.; Gan, S.; Ng, H.K.; Poh, P.E. Extraction agents for the removal of polycyclic aromatic hydrocarbons (PAHs) from soil in soil washing technologies. Environ. Pollut. 2014, 184, 640–649. [Google Scholar] [CrossRef] [PubMed]
- Mao, X.; Jiang, R.; Xiao, W.; Yu, J. Use of surfactants for the remediation of contaminated soils: A review. J. Hazard. Mater. 2015, 285, 419–435. [Google Scholar] [CrossRef] [PubMed]
- Paria, S. Surfactant-enhanced remediation of organic contaminated soil and water. Adv. Colloid Interface Sci. 2008, 138, 24–58. [Google Scholar] [CrossRef] [PubMed]
- Rao, K.J.; Paria, S. Solubilization of Naphthalene in the Presence of Plant-Synthetic Mixed Surfactant Systems. J. Phys. Chem. B 2009, 113, 474–481. [Google Scholar] [CrossRef]
- Chrzanowski, Ł.; Wick, L.; Meulenkamp, R.; Kaestner, M.; Heipieper, H.J. Rhamnolipid biosurfactants decrease the toxicity of chlorinated phenols toPseudomonas putidaDOT-T1E. Lett. Appl. Microbiol. 2010, 48, 756–762. [Google Scholar] [CrossRef]
- Chrzanowski, Ł.; Owsianiak, M.; Szulc, A.; Marecik, R.; Piotrowska-Cyplik, A.; Olejnik-Schmidt, A.K.; Staniewski, J.; Lisiecki, P.; Ciesielczyk, F.; Jesionowski, T.; et al. Interactions between rhamnolipid biosurfactants and toxic chlorinated phenols enhance biodegradation of a model hydrocarbon-rich effluent. Int. Biodeterior. Biodegrad. 2011, 65, 605–611. [Google Scholar] [CrossRef]
- Nguyen, T.T.; Youssef, N.H.; McInerney, M.J.; A Sabatini, D. Rhamnolipid biosurfactant mixtures for environmental remediation. Water Res. 2008, 42, 1735–1743. [Google Scholar] [CrossRef]
- Chen, M.L.; Penfold, J.; Thomas, R.K.; Smyth, T.J.; Perfumo, A.; Marchant, R.; Banat, I.M.; Stevenson, P.; Parry, A.; Tucker, I.; et al. Mixing Behavior of the Biosurfactant, Rhamnolipid, with a Conventional Anionic Surfactant, Sodium Dodecyl Benzene Sulfonate. Langmuir 2010, 26, 17958–17968. [Google Scholar] [CrossRef]
- Liley, J.R.; Penfold, J.; Thomas, R.K.; Tucker, I.M.; Petkov, J.T.; Stevenson, P.S.; Banat, I.M.; Marchant, R.; Rudden, M.; Terry, A. Self-assembly in dilute mixtures of non-ionic and anionic surfactants and rhamnolipd biosurfactants. J. Colloid Interface Sci. 2016, 487, 493–503. [Google Scholar] [CrossRef]
- Marecik, R.; Wojtera-Kwiczor, J.; Ławniczak, Ł.; Cyplik, P.; Szulc, A.; Piotrowska-Cyplik, A.; Chrzanowski, Ł. Biodegradation of rhamnolipids in liquid cultures: Effect of biosurfactant dissipation on diesel fuel/B20 blend biodegradation efficiency and bacterial community composition. Bioresour. Technol. 2012, 111, 328–335. [Google Scholar] [CrossRef]
- Marecik, R.; Wojtera-Kwiczor, J.; Ławniczak, Ł.; Cyplik, P.; Szulc, A.; Piotrowska-Cyplik, A.; Chrzanowski, Ł. Rhamnolipids Increase the Phytotoxicity of Diesel Oil Towards Four Common Plant Species in a Terrestrial Environment. Water Air Soil Pollut. 2012, 223, 4275–4282. [Google Scholar] [CrossRef] [PubMed]
- Drakontis, C.E.; Amin, S. Biosurfactants: Formulations, properties, and applications. Curr. Opin. Colloid Interface Sci. 2020, 48, 77–90. [Google Scholar] [CrossRef]
- Chrzanowski, Ł.; Ławniczak, Ł.; Czaczyk, K. Why do microorganisms produce rhamnolipids? World J. Microbiol. Biotechnol. 2011, 28, 401–419. [Google Scholar] [CrossRef] [PubMed]
- Long, J.; Li, L.; Jin, Y.; Sun, H.; Zheng, Y.; Tian, S. Synergistic solubilization of polycyclic aromatic hydrocarbons by mixed micelles composed of a photoresponsive surfactant and a conventional non-ionic surfactant. Sep. Purif. Technol. 2016, 160, 11–17. [Google Scholar] [CrossRef]
- Ochoa-Loza, F.J.; Noordman, W.H.; Jannsen, D.B.; Brusseau, M.L.; Maier, R.M. Effect of clays, metal oxides, and organic matter on rhamnolipid biosurfactant sorption by soil. Chemosphere 2007, 66, 1634–1642. [Google Scholar] [CrossRef] [PubMed]
- Liu, J.; Zhang, Y.; Sun, X.; Hu, W. Separation of polycyclic aromatic hydrocarbons from rhamnolipid solution by activated carbon adsorption. Environ. Earth Sci. 2016, 75, 1453. [Google Scholar] [CrossRef]
- Clint, J.H. Micellization of mixed nonionic surface active agents. J. Chem. Soc. Faraday Trans. 1975, 71, 1327–1334. [Google Scholar] [CrossRef]
- Rubingh, D.N. Mixed Micelle Solutions; Springer: Berlin/Heidelberg, Germany, 1979; pp. 337–354. [Google Scholar]
- Edwards, D.A.; Luthy, R.G.; Liu, Z. Solubilization of polycyclic aromatic hydrocarbons in micellar nonionic surfactant solutions. Environ. Sci. Technol. 1991, 25, 127–133. [Google Scholar] [CrossRef]
- Chun, C.L.; Lee, J.-J.; Park, J.-W. Solubilization of PAH mixtures by three different anionic surfactants. Environ. Pollut. 2002, 118, 307–313. [Google Scholar] [CrossRef]
- Treiner, C.; Nortz, M.; Vaution, C. Micellar solubilization in strongly interacting binary surfactant systems. Langmuir 1990, 6, 1211–1216. [Google Scholar] [CrossRef]
- Karbir-ud-Din; Shafi, M.; Bhat, P.A.; Dar, A.A. Solubilization capabilities of mixtures of cationic Gemini surfactant with conventional cationic, nonionic and anionic surfactants towards polycyclic aromatic hydrocarbons. J. Hazard. Mater. 2009, 167, 575–581. [Google Scholar] [CrossRef] [PubMed]
- Serafini, P.; Leyes, M.F.; Pereyra, R.B.; Schulz, E.P.; Durand, G.A.; Schulz, P.C.; Ritacco, H.A. The aqueous Triton X-100-dodecyltrimethylammonium bromidemicellar mixed system. Experimental results and thermodynamic analysis. Colloids Surfaces A: Physicochem. Eng. Asp. 2018, 559, 127–135. [Google Scholar] [CrossRef]
- Galán-Jiménez, M.; Gómez-Pantoja, E.; Morillo, E.; Undabeytia, T. Solubilization of herbicides by single and mixed commercial surfactants. Sci. Total. Environ. 2015, 538, 262–269. [Google Scholar] [CrossRef] [PubMed]
- Liang, X.; Zhang, M.; Guo, C.; Abel, S.; Yi, X.; Lu, G.; Yang, C.; Dang, Z. Competitive solubilization of low-molecular-weight polycyclic aromatic hydrocarbons mixtures in single and binary surfactant micelles. Chem. Eng. J. 2014, 244, 522–530. [Google Scholar] [CrossRef]
- Song, D.; Liang, S.; Yan, L.; Shang, Y.; Wang, X. Solubilization of Polycyclic Aromatic Hydrocarbons by Single and Binary Mixed Rhamnolipid-Sophorolipid Biosurfactants. J. Environ. Qual. 2016, 45, 1405–1412. [Google Scholar] [CrossRef]
- Paria, S.; Yuet, P.K. Solubilization of Naphthalene by Pure and Mixed Surfactants. Ind. Eng. Chem. Res. 2006, 45, 3552–3558. [Google Scholar] [CrossRef]
- Trawińska, A.; Hallmann, E.; Mędrzycka, K. Synergistic effects in micellization and surface tension reduction in nonionic gemini S-10 and cationic RTAB surfactants mixtures. Colloids Surfaces A 2016, 488, 162–172. [Google Scholar] [CrossRef]
- Wei, Y.; Liang, X.; Tong, L.; Guo, C.; Dang, Z. Enhanced solubilization and desorption of pyrene from soils by saline anionic-nonionic surfactant systems. Colloids Surfaces A 2015, 468, 211–218. [Google Scholar] [CrossRef]
- Guo, Y.-P.; Hu, Y.-Y. Solubilization of moderately hydrophobic 17α-ethinylestradiol by mono- and di-rhamnolipid solutions. Colloids Surfaces A 2014, 445, 12–20. [Google Scholar] [CrossRef]
- Pornsunthorntawee, O.; Chavadej, S.; Rujiravanit, R. Solution properties and vesicle formation of rhamnolipid biosurfactants produced by Pseudomonas aeruginosa SP4. Colloids Surfaces B 2009, 72, 6–15. [Google Scholar] [CrossRef]
- Wei, W.; Ran, Z.; Huan, H.; Kuan, Z.; Zhuoxi, H.; Jiang, Y. Desorption process and morphological analysis of real polycyclic aromatic hydrocarbons contaminated soil by the heterogemini surfactant and its mixed systems. Chemosphere 2020, 254, 126854. [Google Scholar] [CrossRef]
- Sales, P.S.; Fernández, M.A. Synergism in the desorption of polycyclic aromatic hydrocarbons from soil models by mixed surfactant solutions. Environ. Sci. Pollut. Res. 2016, 23, 10158–10164. [Google Scholar] [CrossRef] [PubMed]
- Markus, J.; Nill, B. Phase behavior of DOPE/TritonX100 (reduced) in dilute aqueous solution: Aggregate structure and pH-dependence. Colloids Surf. B 2004, 34, 69–76. [Google Scholar] [CrossRef]
- Champion, J.T.; Gilkey, J.C.; Lamparski, H.; Retterer, J.; Miller, R.M. Electron Microscopy of Rhamnolipid (Biosurfactant) Morphology: Effects of pH, Cadmium, and Octadecane. J. Colloid Interface Sci. 1995, 170, 569–574. [Google Scholar] [CrossRef]
- Li, S.; Pi, Y.; Bao, M.; Zhang, C.; Zhao, D.; Li, Y.; Sun, P.; Lu, J. Effect of rhamnolipid biosurfactant on solubilization of polycyclic aromatic hydrocarbons. Mar. Pollut. Bull. 2015, 101, 219–225. [Google Scholar] [CrossRef]
- Zhou, W.; Yang, J.; Lou, L.; Zhu, L. Solubilization properties of polycyclic aromatic hydrocarbons by saponin, a plant-derived biosurfactant. Environ. Pollut. 2011, 159, 1198–1204. [Google Scholar] [CrossRef]
- Sowada, R. The effect of electrolytes on the critical micelle concentration of ionic surfactants: The Corrin-Harkins equation. Tenside Surfactant Det. 1994, 31, 195–199. [Google Scholar]
- Tanaka, M. New Interpretation of Small System Thermodynamics Applied to Ionic Micelles in Solution and Corrin-Harkins Equation. J. Oleo Sci. 2004, 53, 183–196. [Google Scholar] [CrossRef][Green Version]
- Fasolin, L.H.; Santana, R.; Da Cunha, R. Influence of organic acids on surfactant self-assemblies in surfactant/oil/water systems. Colloids Surfaces A 2014, 459, 290–297. [Google Scholar] [CrossRef]
- An, C.; Huang, G.; Yu, H.; Wei, J.; Chen, W.; Li, G. Effect of short-chain organic acids and pH on the behaviors of pyrene in soil-water system. Chemosphere 2010, 81, 1423–1429. [Google Scholar] [CrossRef]
- Gao, Y.; Yuan, X.; Lin, X.; Sun, B.; Zhao, Z. Low-molecular-weight organic acids enhance the release of bound PAH residues in soils. Soil Tillage Res. 2015, 145, 103–110. [Google Scholar] [CrossRef]
Sample Availability: Samples of the Triton X-100 and rhamnolipids are available from the authors. |





| Molecular Formula | Molecular Structure | Molecular Weight (g/mol) | Water Solubility 25 °C | Critical Micelle Concentration mg/L | |
|---|---|---|---|---|---|
| phenanthrene | C14H10 | ![]() | 178 | 1.2 mg/L | |
| mono-rhamnolipid | C26H48O9 | ![]() | 504 | 50 | |
| di-rhamnolipid | C32H58O13 | ![]() | 650 | 98 | |
| Triton X-100 | C8H17C6H4O(OCH2CH2)9.5H | ![]() | 625 | 150 | |
| acetic acid | CH3COOH | ![]() | 60 |
| mTX100 | α1 | CMCtheor | CMCexp | X1 | β | WSRtheor | WSRexp | lnK12 | B | G |
|---|---|---|---|---|---|---|---|---|---|---|
| 1 | 1 | 0.309 | 0.025 | 6.892 | −17.02 | |||||
| 0.9 | 0.888 | 0.270 | 0.253 | 0.744 | −0.379 | 0.022 | 0.024 | 7.036 | 0.225 | −17.37 |
| 0.75 | 0.726 | 0.228 | 0.204 | 0.528 | −0.432 | 0.019 | 0.022 | 7.089 | 0.156 | −17.51 |
| 0.5 | 0.469 | 0.182 | 0.175 | 0.294 | −0.206 | 0.014 | 0.017 | 7.197 | 0.283 | −17.77 |
| 0.25 | 0.227 | 0.154 | 0.149 | 0.136 | −0.291 | 0.007 | 0.008 | 7.232 | 0.352 | −17.86 |
| 0 | 0 | 0.134 | 0.004 | 7.237 | −17.87 |
© 2020 by the authors. Licensee MDPI, Basel, Switzerland. This article is an open access article distributed under the terms and conditions of the Creative Commons Attribution (CC BY) license (http://creativecommons.org/licenses/by/4.0/).
Share and Cite
Liu, J.; Wang, Y.; Li, H. Synergistic Solubilization of Phenanthrene by Mixed Micelles Composed of Biosurfactants and a Conventional Non-Ionic Surfactant. Molecules 2020, 25, 4327. https://doi.org/10.3390/molecules25184327
Liu J, Wang Y, Li H. Synergistic Solubilization of Phenanthrene by Mixed Micelles Composed of Biosurfactants and a Conventional Non-Ionic Surfactant. Molecules. 2020; 25(18):4327. https://doi.org/10.3390/molecules25184327
Chicago/Turabian StyleLiu, Jianfei, Yuru Wang, and Huifang Li. 2020. "Synergistic Solubilization of Phenanthrene by Mixed Micelles Composed of Biosurfactants and a Conventional Non-Ionic Surfactant" Molecules 25, no. 18: 4327. https://doi.org/10.3390/molecules25184327
APA StyleLiu, J., Wang, Y., & Li, H. (2020). Synergistic Solubilization of Phenanthrene by Mixed Micelles Composed of Biosurfactants and a Conventional Non-Ionic Surfactant. Molecules, 25(18), 4327. https://doi.org/10.3390/molecules25184327






