The Bioaccessibility of Antioxidants in Black Currant Puree after High Hydrostatic Pressure Treatment
Abstract
1. Introduction
2. Results and Discussion
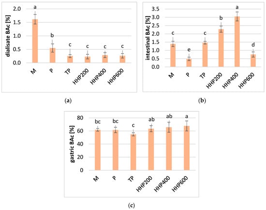
2.1. Effect of Processing on the Bioaccessibility of Vitamin C
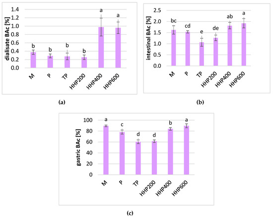
2.2. Effect of Processing on the Bioaccessibility of Anthocyanins
2.3. Effect of Processing on the Antioxidant Capacity of Blackcurrant Puree in a Simulated Digestive System
3. Materials and Methods
3.1. Reagents and Solvents
3.2. Raw Materials
3.2.1. Blackcurrant Fruit Processing
3.2.2. Extraction of Bioactive Compounds from Raw Materials
3.3. In Vitro Digestion, Dialysis, and Calculation of Bioaccessibility
3.4. Chemical Analysis
3.4.1. Determination of L-Ascorbic Acid (AA)
3.4.2. Determination of Anthocyanins
3.4.3. Antioxidant Activity against ABTS+• Radical
3.4.4. Antioxidative Activity against the DPPH• Radical
3.5. Statistical Analysis
4. Conclusions
Author Contributions
Funding
Conflicts of Interest
References
- Landbo, A.K.; Meyer, A.S. Effects of different enzymatic maceration treatments on enhancement of anthocyanins and other phenolics in black currant juice. Innov. Food Sci. Emerg. Technol. 2004, 5, 503–513. [Google Scholar] [CrossRef]
- Nour, V.; Trandafir, I.; Ionica, M.E. Ascorbic acid, anthocyanins, organic acids and mineral content of some black and red currant cultivars. Fruits 2011, 66, 353–362. [Google Scholar] [CrossRef]
- Moyer, R.A.; Hummer, K.E.; Finn, C.E.; Frei, B.; Wrolstad, R.E. Anthocyanins, phenolics, and antioxidant capacity in diverse small fruits: Vaccinium, Rubus, and Ribes. J. Agric. Food Chem. 2002, 50, 519–525. [Google Scholar] [CrossRef] [PubMed]
- Paredes-López, O.; Cervantes-Ceja, M.L.; Vigna-Pérez, M.; Hernández-Pérez, T. Berries: Improving Human Health and Healthy Aging, and Promoting Quality Life–A Review. Plant Foods Hum. Nutr. 2010, 65, 299–308. [Google Scholar] [CrossRef] [PubMed]
- Bakowska-Barczak, A.M.; Kolodziejczyk, P.P. Black currant polyphenols: Their storage stability and microencapsulation. Ind. Crops Prod. 2011, 34, 1301–1309. [Google Scholar] [CrossRef]
- Lyall, K.A.; Hurst, S.M.; Cooney, J.; Jensen, D.; Lo, K.; Hurst, R.D.; Stevenson, L.M. Short-term blackcurrant extract consumption modulates exercise-induced oxidative stress and lipopolysaccharide-stimulated inflammatory responses. Am. J. Physiol. 2009, 297, 70–81. [Google Scholar] [CrossRef]
- Vallejo, F.; Gil-Izquierdo, A.; Pérez-Vicente, A.; García-Viguera, C. In vitro gastrointestinal digestion study of broccoli inflorescence phenolic compounds, glucosinolates, and vitamin C. J. Agric. Food Chem. 2004, 52, 135–138. [Google Scholar] [CrossRef]
- Li, L.; Li, S.; Hu, C.; Zhou, L.; Zhang, Y.; Wang, M.; Qi, Z. BKca channel is a molecular target of vitamin C to protect against ischemic brain stroke. Mol. Membr. Biol. 2019, 35, 9–20. [Google Scholar] [CrossRef]
- Fernández-García, E.; Carvajal-Lérida, I.; Pérez-Gálvez, A. In vitro bioaccessibility assessment as a prediction tool of nutritional efficiency. Nutr. Res. 2009, 29, 751–760. [Google Scholar] [CrossRef]
- Stahl, W.; Van Den Berg, H.; Arthur, J.; Bast, A.; Dainty, J.; Faulks, R.M.; Gärtner, C.; Haenen, G.; Hollman, P.; Holst, B.; et al. Bioavailability and metabolism. In Molecular Aspects of Medicine; Azzi, A., Ed.; Pergamon: Oxford, UK, 2002; Volume 23, pp. 39–100. [Google Scholar]
- Hur, S.J.; Lim, B.O.; Decker, E.A.; McClements, D.J. In vitro human digestion models for food applications. Food Chem. 2011, 125, 1–12. [Google Scholar] [CrossRef]
- Egger, L.; Ménard, O.; Delgado-Andrade, C.; Alvito, P.; Assunção, R.; Balance, S.; Barberá, R.; Brodkorb, A.; Cattenoz, T.; Clemente, A.; et al. The harmonized INFOGEST in vitro digestion method: From knowledge to action. Food Res. Int. 2016, 88, 217–225. [Google Scholar] [CrossRef]
- Barba, F.J.; Terefe, N.S.; Buckow, R.; Knorr, D.; Orlien, V. New opportunities and perspectives of high pressure treatment to improve health and safety attributes of foods. A review. Food Res. Int. 2015, 77, 725–742. [Google Scholar] [CrossRef]
- Cilla, A.; Bosch, L.; Barberá, R.; Alegría, A. Effect of processing on the bioaccessibility of bioactive compounds–A review focusing on carotenoids, minerals, ascorbic acid, tocopherols and polyphenols. J. Food Compos. Anal. 2018, 68, 3–15. [Google Scholar] [CrossRef]
- Lingua, M.S.; Wunderlin, D.A.; Baroni, M.V. Effect of simulated digestion on the phenolic components of red grapes and their corresponding wines. J. Funct. Foods 2018, 44, 86–94. [Google Scholar] [CrossRef]
- Janda, K.; Kasprzak, M.; Wolska, J. Witamina C–budowa, właściwości, funkcje i występowanie. Pomeranian J. Life Sci. 2015, 61, 419–425. [Google Scholar] [CrossRef] [PubMed]
- Torres, B.; Tiwari, B.K.; Patras, A.; Cullen, P.J.; Brunton, N.; O’Donnell, C.P. Stability of anthocyanins and ascorbic acid of high pressure processed blood orange juice during storage. Innov. Food Sci. Emerg. Technol. 2011, 12, 93–97. [Google Scholar] [CrossRef]
- Pérez-Vicente, A.; Gil-Izquierdo, A.; García-Viguera, C. In vitro gastrointestinal digestion study of pomegranate juice phenolic compounds, anthocyanins, and vitamin C. J. Agric. Food Chem. 2002, 50, 2308–2312. [Google Scholar] [CrossRef]
- Rodríguez-Roque, M.J.; Rojas-Graü, M.A.; Elez-Martínez, P.; Martín-Belloso, O. Changes in vitamin C, phenolic, and carotenoid profiles throughout in vitro gastrointestinal digestion of a blended fruit juice. J. Agric. Food Chem. 2013, 61, 1859–1867. [Google Scholar] [CrossRef]
- Herranz, B.; Fernández-Jalao, I.; Dolores Álvarez, M.; Quiles, A.; Sánchez-Moreno, C.; Hernando, I.; de Ancos, B. Phenolic compounds, microstructure and viscosity of onion and apple products subjected to in vitro gastrointestinal digestion. Innov. Food Sci. Emerg. Technol. 2019, 51, 114–125. [Google Scholar] [CrossRef]
- Rodríguez-Roque, M.J. In vitro Bioaccessibility of Health-Related Compounds from Beverages Based on Fruit Juice, Milk or Soymilk: Influence of Food Matrix and Processing. Ph.D. Thesis, Universitat de Lleida, Lleida, Spain, 2014. [Google Scholar]
- Aschoff, J.K.; Kaufmann, S.; Kalkan, O.; Neidhart, S.; Carle, R.; Schweiggert, R.M. In vitro bioaccessibility of carotenoids, flavonoids, and vitamin C from differently processed oranges and orange juices [Citrus sinensis (L.) osbeck]. J. Agric. Food Chem. 2015, 63, 578–587. [Google Scholar] [CrossRef]
- Cilla, A.; Alegría, A.; De Ancos, B.; Sánchez-Moreno, C.; Cano, M.P.; Plaza, L.; Clemente, G.; Lagarda, M.J.; Barberá, R. Bioaccessibility of tocopherols, carotenoids, and ascorbic acid from milk- and soy-based fruit beverages: Influence of food matrix and processing. J. Agric. Food Chem. 2012, 60, 7282–7290. [Google Scholar] [CrossRef] [PubMed]
- Rodríguez-Roque, M.J.; de Ancos, B.; Sánchez-Moreno, C.; Cano, M.P.; Elez-Martínez, P.; Martín-Belloso, O. Impact of food matrix and processing on the in vitro bioaccessibility of vitamin C, phenolic compounds, and hydrophilic antioxidant activity from fruit juice-based beverages. J. Funct. Foods 2015, 14, 33–43. [Google Scholar] [CrossRef]
- Marszałek, K.; Woźniak, Ł.; Kruszewski, B.; Skapska, S. The effect of high pressure techniques on the stability of anthocyanins in fruit and vegetables. Int. J. Mol. Sci. 2017, 18, 277. [Google Scholar] [CrossRef] [PubMed]
- Iversen, C.K. Black currant nectar: Effect of processing and storage on anthocyanin and ascorbic acid content. J. Food Sci. 1999, 64, 37–41. [Google Scholar] [CrossRef]
- Rubinskiene, M.; Viskelis, P.; Jasutiene, I.; Viskeliene, R.; Bobinas, C. Impact of various factors on the composition and stability of black currant anthocyanins. Food Res. Int. 2005, 38, 867–871. [Google Scholar] [CrossRef]
- Carbonell-Capella, J.M.; Buniowska, M.; Esteve, M.J.; Frígola, A. Effect of Stevia rebaudiana addition on bioaccessibility of bioactive compounds and antioxidant activity of beverages based on exotic fruits mixed with oat following simulated human digestion. Food Chem. 2015, 184, 122–130. [Google Scholar] [CrossRef]
- Bouayed, J.; Hoffmann, L.; Bohn, T. Total phenolics, flavonoids, anthocyanins and antioxidant activity following simulated gastro-intestinal digestion and dialysis of apple varieties: Bioaccessibility and potential uptake. Food Chem. 2011, 128, 14–21. [Google Scholar] [CrossRef]
- Correa-Betanzo, J.; Allen-Vercoe, E.; McDonald, J.; Schroeter, K.; Corredig, M.; Paliyath, G. Stability and biological activity of wild blueberry (Vaccinium angustifolium) polyphenols during simulated in vitro gastrointestinal digestion. Food Chem. 2014, 165, 522–531. [Google Scholar] [CrossRef]
- Tagliazucchi, D.; Verzelloni, E.; Bertolini, D.; Conte, A. In vitro bio-accessibility and antioxidant activity of grape polyphenols. Food Chem. 2010, 120, 599–606. [Google Scholar] [CrossRef]
- McDougall, G.J.; Dobson, P.; Smith, P.; Blake, A.; Stewart, D. Assessing potential bioavailability of raspberry anthocyanins using an in vitro digestion system. J. Agric. Food Chem. 2005, 53, 5896–5904. [Google Scholar] [CrossRef]
- Peixoto, F.M.; Senna Gouvêa, A.; de Araújo Santiago, M.C.; de Sá Velosos Martins, Z.E.; Galhardo Borguini, R.; de Oliveira Godoy, R.L. Characterization and bioaccessibility of anthocyanins from blueberry (Vaccinium corymbosum L.) after simulated gastro-intestinal digestion: A positive effect on malvidin derivatives. Fruits 2018, 73, 101–109. [Google Scholar] [CrossRef]
- Grajek, W. Wchłanianie przeciwutleniaczy. In Przeciwutleniacze w żywności. Aspekty Zdrowotne, Technologiczne, Molekularne i Analityczne; Grajek, W., Ed.; Wydawnictwo Naukowo-Techniczne: Warsaw, Poland, 2007; pp. 331–379. ISBN 978-83-204-3277-0. [Google Scholar]
- Ribas-Agustí, A.; Martín-Belloso, O.; Soliva-Fortuny, R.; Elez-Martínez, P. Food processing strategies to enhance phenolic compounds bioaccessibility and bioavailability in plant-based foods. Crit. Rev. Food Sci. Nutr. 2018, 58, 2531–2548. [Google Scholar] [CrossRef] [PubMed]
- Narwojsz, A.; Borowska, E.J. Zmiany składników strukturotwórczych owoców porzeczki czarnej podczas maceracji miazgi a uwalnianie polifenoli do soku. Zywn. Nauk. Technol. Jakosc/Food Sci. Technol. Qual. 2011, 18, 87–98. [Google Scholar]
- Milbury, P.E.; Cao, G.; Prior, R.L.; Blumberg, J. Bioavailablility of elderberry anthocyanins. Mech. Ageing Dev. 2002, 123, 997–1006. [Google Scholar] [CrossRef]
- Cao, G.; Muccitelli, H.U.; Sánchez-Moreno, C.; Prior, R.L. Anthocyanins are absorbed in glycated forms in elderly women: A pharmacokinetic study. Am. J. Clin. Nutr. 2001, 73, 920–926. [Google Scholar] [CrossRef] [PubMed]
- Fernandes, I.; Faria, A.; Calhau, C.; de Freitas, V.; Mateus, N. Bioavailability of anthocyanins and derivatives. J. Funct. Foods 2014, 7, 54–66. [Google Scholar] [CrossRef]
- Sigurdson, G.T.; Giusti, M.M. The Stability and Absorption of Anthocyanins in the Mouth. In Anthocyanins from Natural Sources; Brooks, M.S., Celli, G.B., Eds.; The Royal Society of Chemistry: London, UK, 2019; pp. 186–215. [Google Scholar]
- Mueller, D.; Jung, K.; Winter, M.; Rogoll, D.; Melcher, R.; Richling, E. Human intervention study to investigate the intestinal accessibility and bioavailability of anthocyanins from bilberries. Food Chem. 2017, 231, 275–286. [Google Scholar] [CrossRef]
- Koss-Mikołajczyk, I.; Baranowska, M.; Namieśnik, J.; Bartoszek, A. Metody oznaczania właściwości przeciwutleniających fitozwiązków w systemach komórkowych z wykorzystaniem zjawiska fluorescencji/luminescencji* Determination of antioxidantactivity of phytochemicals in cellular models by fluorescence/luminescence methods. Postępy Higieny i Medycyny Doświadczalnej 2017, 71, 602–617. [Google Scholar] [CrossRef]
- Briones-Labarca, V.; Muñoz, C.; Maureira, H. Effect of high hydrostatic pressure on antioxidant capacity, mineral and starch bioaccessibility of a non conventional food: Prosopis chilensis seed. Food Res. Int. 2011. [Google Scholar] [CrossRef]
- Briones-Labarca, V.; Venegas-Cubillos, G.; Ortiz-Portilla, S.; Chacana-Ojeda, M.; Maureira, H. Effects of high hydrostatic pressure (HHP) on bioaccessibility, as well as antioxidant activity, mineral and starch contents in Granny Smith apple. Food Chem. 2011, 128, 520–529. [Google Scholar] [CrossRef]
- Singh, A.; Kitts, D.D. In Vitro Bioaccessibility of Tart Cherry Anthocyanins in a Health Supplement Mix Containing Mineral Clay. J. Food Sci. 2019, 84, 475–480. [Google Scholar] [CrossRef] [PubMed]
- Minekus, M.; Alminger, M.; Alvito, P.; Ballance, S.; Bohn, T.; Bourlieu, C.; Carrière, F.; Boutrou, R.; Corredig, M.; Dupont, D.; et al. A standardised static in vitro digestion method suitable for food-an international consensus. Food Funct. 2014, 5, 1113–1124. [Google Scholar] [CrossRef] [PubMed]
- Buniowska, M.; Carbonell-Capella, J.M.; Frigola, A.; Esteve, M.J. Bioaccessibility of bioactive compounds after non-thermal processing of an exotic fruit juice blend sweetened with Stevia rebaudiana. Food Chem. 2017, 221, 1834–1842. [Google Scholar] [CrossRef]
- Odriozola-Serrano, I.; Hernández-Jover, T.; Martín-Belloso, O. Comparative evaluation of UV-HPLC methods and reducing agents to determine vitamin C in fruits. Food Chem. 2007, 105, 1151–1158. [Google Scholar] [CrossRef]
- Oszmianski, J. Stabilizacja i zastosowanie barwnika antocyjanowego aronii do barwienia napoi. Acta Sci. Pol. Technol. Aliment. 2002, 1, 37–45. [Google Scholar]
- Re, R.; Pellegrini, N.; Proteggente, A.; Pannala, A.; Yang, M.; Rice-Evans, C. Antioxidant activity applying an improved ABTS radical cation decolorization assay. Free Radic. Biol. Med. 1999, 26, 1231–1237. [Google Scholar] [CrossRef]
- Yen, G.C.; Chen, H.Y. Antioxidant activity of various tea extracts in relation to their antimutagenicity. J. Agric. Food Chem. 1995, 43, 27–32. [Google Scholar] [CrossRef]
Sample Availability: Samples of the compounds are not available from the authors. |


| Sample Code | Non-Digested Sample | SD | Salivary Digestive Fraction | SD | Stomach Digestive Fraction | SD | Non-Dialysed Intestinal Fraction | SD | Dialysate Fraction | SD | |
|---|---|---|---|---|---|---|---|---|---|---|---|
| L-Ascorbic Acid (AA) [mg/100 g] | M | 229.48 a | 6.43 | 134.42 a | 3.89 | 205.42 a | 6.73 | 3.71 ab | 0.36 | <1.0 b | - |
| P | 227.24 a | 4.45 | 112.02 b | 5.08 | 177.62 c | 7.03 | 3.48 bc | 0.16 | <1.0 b | - | |
| TP | 221.56 ab | 4.71 | 104.37 c | 5.80 | 133.66 d | 5.79 | 2.35 d | 0.37 | <1.0 b | - | |
| HPP200 | 229.20 a | 2.41 | 97.70 c | 4.26 | 140.95 d | 4.69 | 2.90 cd | 0.30 | <1.0 b | - | |
| HPP400 | 225.23 ab | 1.65 | 117.63 b | 2.67 | 189.17 bc | 5.36 | 4.08 ab | 0.33 | 2.20 a | 0.49 | |
| HPP600 | 217.38 c | 6.92 | 117.02 b | 3.61 | 194.95 ab | 9.37 | 4.18 a | 0.50 | 2.09 a | 0.35 | |
| Sum of Anthocyanins [mg/kg] | M | 736.70 a | 38.30 | 257.43 c | 12.99 | 454.69 a | 24.49 | 10.22 c | 1.25 | 11.86 a | 0.95 |
| P | 638.04 b | 43.52 | 251.94 bc | 10.19 | 391.43 b | 21.53 | 3.07 d | 0.58 | 3.49 b | 0.91 | |
| TP | 601.98 b | 25.31 | 178.15 e | 9.56 | 330.07 c | 13.47 | 8.84 c | 0.75 | 1.53 c | 0.38 | |
| HPP200 | 619.09 b | 42.13 | 220.23 d | 18.75 | 391.41 b | 15.87 | 14.10 b | 1.04 | 1.41 c | 0.47 | |
| HPP400 | 626.05 b | 44.38 | 287.85 a | 13.91 | 408.71 b | 22.38 | 19.02 a | 1.33 | 1.77 c | 0.47 | |
| HPP600 | 622.81 b | 43.22 | 277.29 ab | 16.04 | 419.47 ab | 24.03 | 4.64 d | 0.76 | 1.61 c | 0.40 | |
| ABTS+• (µm/mL TEAC) | M | 30.80 a | 0.81 | 32.48 b | 0.83 | 38.28 b | 1.95 | 12.81 a | 0.54 | 11.25 b | 0.42 |
| P | 30.11 ab | 1.16 | 31.70 b | 0.78 | 35.86 c | 0.90 | 9.45 b | 0.06 | 9.31 c | 0.48 | |
| TP | 27.03 c | 1.49 | 28.38 c | 0.96 | 35.76 c | 1.18 | 2.94 e | 0.09 | 6.80 d | 0.12 | |
| HPP200 | 27.95 c | 1.36 | 28.91 c | 1.17 | 35.30 c | 0.66 | 5.29 d | 0.23 | 9.34 c | 0.26 | |
| HPP400 | 28.20 bc | 0.73 | 37.29 a | 1.03 | 42.02 a | 0.66 | 9.59 b | 0.39 | 13.44 a | 0.47 | |
| HPP600 | 31.82 a | 1.59 | 34.91 a | 0.78 | 35.49 c | 0.66 | 6.25 c | 0.22 | 9.39 c | 0.37 | |
| DPPH• (µm/mL TEAC) | M | 45.72 a | 1.63 | 22.21 a | 1.17 | 25.81 b | 1.43 | 4.36 a | 0.20 | 4.41 a | 0.03 |
| P | 47.24 a | 1.57 | 23.75 a | 0.96 | 26.08 ab | 0.55 | 4.22 ab | 0.14 | 3.33 cd | 0.08 | |
| TP | 45.11 a | 0.11 | 21.33 a | 0.82 | 21.99 c | 1.14 | 3.86 bc | 0.20 | 3.18 d | 0.05 | |
| HPP200 | 47.35 a | 0.34 | 22.05 a | 0.54 | 22.67 c | 1.15 | 3.63 c | 0.15 | 3.45 c | 0.03 | |
| HPP400 | 45.61 a | 0.28 | 22.63 a | 1.33 | 28.94 a | 0.94 | 4.63 a | 0.20 | 3.83 b | 0.01 | |
| HPP600 | 45.89 a | 0.45 | 21.99 a | 1.00 | 27.15 ab | 1.36 | 4.56 a | 0.20 | 3.41 c | 0.11 |
© 2020 by the authors. Licensee MDPI, Basel, Switzerland. This article is an open access article distributed under the terms and conditions of the Creative Commons Attribution (CC BY) license (http://creativecommons.org/licenses/by/4.0/).
Share and Cite
Trych, U.; Buniowska, M.; Skąpska, S.; Starzonek, S.; Marszałek, K. The Bioaccessibility of Antioxidants in Black Currant Puree after High Hydrostatic Pressure Treatment. Molecules 2020, 25, 3544. https://doi.org/10.3390/molecules25153544
Trych U, Buniowska M, Skąpska S, Starzonek S, Marszałek K. The Bioaccessibility of Antioxidants in Black Currant Puree after High Hydrostatic Pressure Treatment. Molecules. 2020; 25(15):3544. https://doi.org/10.3390/molecules25153544
Chicago/Turabian StyleTrych, Urszula, Magdalena Buniowska, Sylwia Skąpska, Szymon Starzonek, and Krystian Marszałek. 2020. "The Bioaccessibility of Antioxidants in Black Currant Puree after High Hydrostatic Pressure Treatment" Molecules 25, no. 15: 3544. https://doi.org/10.3390/molecules25153544
APA StyleTrych, U., Buniowska, M., Skąpska, S., Starzonek, S., & Marszałek, K. (2020). The Bioaccessibility of Antioxidants in Black Currant Puree after High Hydrostatic Pressure Treatment. Molecules, 25(15), 3544. https://doi.org/10.3390/molecules25153544

