Comparison of the Polyphenolic Profile of Medicago sativa L. and Trifolium pratense L. Sprouts in Different Germination Stages Using the UHPLC-Q Exactive Hybrid Quadrupole Orbitrap High-Resolution Mass Spectrometry
Abstract
1. Introduction
2. Results and Discussions
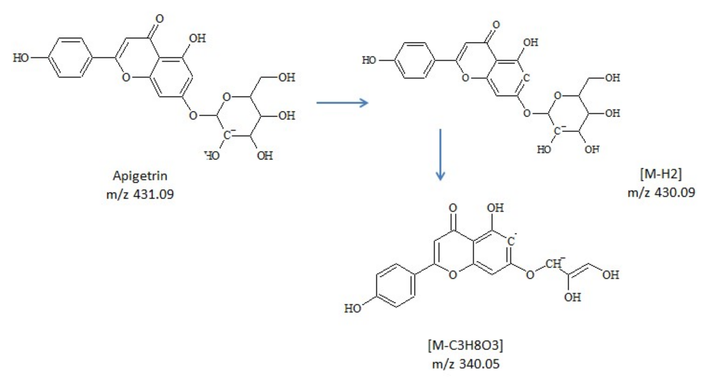
2.1. Identification of Phenolic Compounds in Alfalfa and Red Clover Sprouts
2.2. Quantification Result
2.3. Multivariate Data Analysis
3. Materials and Methods
3.1. Reagents
3.2. Stock Solutions
3.3. Plant Samples – Germination
3.4. Extraction
3.5. Instrumentation
3.5.1. LC Parameters
3.5.2. MS Parameters and Data Processing
3.5.3. Quantification Method Validation
3.5.4. Multivariate Data Analysis
4. Conclusions
Supplementary Materials
Author Contributions
Funding
Acknowledgments
Conflicts of Interest
References
- Oh, M.M.; Rajashekar, C.B. Antioxidant content of edible sprouts: Effects of environmental shocks. J. Sci. Food Agric. 2009, 89, 2221–2227. [Google Scholar] [CrossRef]
- Brajdes, C.; Bahrim, G.; Dinica, R.; Vizireanu, C. Phenolics composition and their biochemical stability confirmation by in vitro gastrointestinal conditions simulation, for a new functional fermented beverage based on sprouted buckwheat. Rom. Biotechnol. Lett. 2013, 18, 7232–7242. [Google Scholar]
- Goszcz, K.; Duthie, G.G.; Stewart, D.; Leslie, S.J.; Megson, I.L. Bioactive polyphenols and cardiovascular disease: Chemical antagonists, pharmacological agents or xenobiotics that drive an adaptive response? Br. J. Pharm. 2017, 174, 1209–1225. [Google Scholar] [CrossRef] [PubMed]
- Benincasa, P.; Falcinelli, B.; Lutts, S.; Stagnari, F.; Galieni, A. Sprouted grains: A comprehensive review. Nutrients 2019, 11, 421. [Google Scholar] [CrossRef]
- Plaza, L.; de Ancos, B.; Cano, P.M. Nutritional and health-related compounds in sprouts and seeds of soybean (Glycine max), wheat (Triticum aestivum L.) and alfalfa (Medicago sativa) treated by a new drying method. Eur. Food Res. Technol. 2003, 216, 138–144. [Google Scholar] [CrossRef]
- Silva, L.R.; Pereira, M.J.; Azevedo, J.; Gonçalves, R.F.; Valentão, P.; de Pinho, P.G.; Andrade, P.B. Glycine max (L.) Merr., Vigna radiata L. and Medicago sativa L. sprouts: A natural source of bioactive compounds. Food Res. Int. 2013, 50, 167–175. [Google Scholar] [CrossRef]
- Grela, E.R.; Kiczorowska, B.; Samolińska, W.; Matras, J.; Kiczorowski, P.; Rybiński, W.; Hanczakowska, E. Chemical composition of leguminous seeds: Part I—content of basic nutrients, amino acids, phytochemical compounds, and antioxidant activity. Eur. Food Res. Technol. 2017, 243, 1385–1395. [Google Scholar] [CrossRef]
- Witkowska, H.E.; Biały, Z.; Jurzysta, M.; Waller, G.R. Analysis of saponin mixtures from alfalfa (Medicago sativa L.) roots using mass spectrometry with MALDI techniques. Nat. Prod. Com. 2008, 3, 1395–1410. [Google Scholar] [CrossRef]
- Oleszek, W.; Stochmal, A. Cap 25. High performance Liquid Chromatography of Triterpenes (including saponins). In High Performance Liquid Chromatography in Phytochemical Analysis; Waksmundzka-Hajnos, M., Sherma, J., Eds.; CRC Press, Taylor & Francis group: New York, NY, USA, 2010; p. 649. [Google Scholar]
- Abbruscato, P.; Tosi, S.; Crispino, L.; Biazzi, E.; Menin, B.; Picco, A.M.; Pecetti, L.; Avato, P.; Tava, A. Triterpenoid glycosides from Medicago sativa as antifungal agents against Pyricularia oryzae. J. Agric. Food Chem. 2014, 62, 11030–11036. [Google Scholar] [CrossRef]
- Lei, Z.; Watson, B.S.; Huhman, D.; Yang, D.S.; Sumner, L.W. Large-Scale Profiling of Saponins in Different Ecotypes of Medicago truncatula. Front. Plant Sci. 2019, 10, 850. [Google Scholar] [CrossRef]
- Rafińska, K.; Pomastowski, P.; Wrona, O.; Górecki, R.; Buszewski, B. Medicago sativa as a source of secondary metabolites for agriculture and pharmaceutical industry. Phytochem. Lett. 2017, 20, 520–539. [Google Scholar]
- Kolodziejczyk-Czepas, J. Trifolium species – The latest findings on chemical profile, ethnomedicinal use and pharmacological properties. J. Pharm. Pharm. 2016, 68, 845–861. [Google Scholar] [CrossRef] [PubMed]
- Rietjens, I.M.; Louisse, J.; Beekmann, K. The potential health effects of dietary phytoestrogens. Br. J. Pharm. 2017, 174, 1263–1280. [Google Scholar] [CrossRef] [PubMed]
- Budryn, G.; Grzelczyk, J.; Pérez-Sánchez, H. Binding of red clover isoflavones to actin as a potential mechanism of anti-metastatic activity restricting the migration of cancer cells. Molecules 2018, 23, 2471. [Google Scholar] [CrossRef] [PubMed]
- Spanguolo, P.; Rasini, E.; Luini, A.; Legnaro, M.; Luzzani, M.; Casareto, E.; Carreri, M.; Paracchini, S.; Marino, F.; Cosentino, M. Isoflavone content and estrogenic activity of different batches of red clover (Trifolium pretense L.) extracts: An in vitro study in MCF-7 cells. Fitoterapia 2014, 94, 62–69. [Google Scholar]
- Klejdus, B.; Vitamvásová-Štěrbová, D.; Kubáň, V. Identification of isoflavone conjugates in red clover (Trifolium pratense) by liquid chromatography–mass spectrometry after two-dimensional solid-phase extraction. Anal. Chim. Acta 2001, 450, 81–97. [Google Scholar] [CrossRef]
- Vlaisavljević, S.; Kaurinović, B.; Popović, M.; Vasiljević, S. Profile of phenolic compounds in Trifolium pratense L. extracts at different growth stages and their biological activities. Int. J. Food Prop. 2017, 20, 3090–3101. [Google Scholar]
- Hong, Y.H.; Wang, S.C.; Hsu, C.; Lin, B.F.; Kuo, Y.H.; Huang, C.J. Phytoestrogenic compounds in alfalfa sprout (Medicago sativa) beyond coumestrol. J. Agric. Food Chem. 2011, 59, 131–137. [Google Scholar] [CrossRef]
- Goławska, S.; Łukasik, I.; Kapusta, I.; Janda, B. Do the contents of luteolin, tricin, and chrysoeriol glycosides in alfalfa (Medicago sativa L.) affect the behavior of pea aphid (Acyrthosiphon pisum)? Pol. J. Environ. Stud. 2012, 21. [Google Scholar]
- Wang, Z.; Qu, Y.; Wang, L.; Zhang, X.; Xiao, H. Ultra-high performance liquid chromatography with linear ion trap-Orbitrap hybrid mass spectrometry combined with a systematic strategy based on fragment ions for the rapid separation and characterization of components in Stellera chamaejasme extracts. J. Sep. Sci. 2016, 39, 1379–1388. [Google Scholar] [CrossRef]
- Sun, Z.; Zuo, L.; Sun, T.; Tang, J.; Ding, D.; Zhou, L.; Zhang, X. Chemical profiling and quantification of XueBiJing injection, a systematic quality control strategy using UHPLC-Q Exactive hybrid quadrupole-orbitrap high-resolution mass spectrometry. Sci. Rep. 2017, 7, 1–15. [Google Scholar] [CrossRef] [PubMed]
- Zomer, P.; Mol, H.G. Simultaneous quantitative determination, identification and qualitative screening of pesticides in fruits and vegetables using LC-Q-Orbitrap™-MS. Food Addit. Contam. Part A 2015, 32, 1628–1636. [Google Scholar] [CrossRef] [PubMed]
- Elmiger, M.P.; Poetzsch, M.; Steuer, A.E.; Kraemer, T. Parameter Optimization for Feature and Hit Generation in a General Unknown Screening Method—Proof of Concept Study Using a Design of Experiment Approach for a High Resolution Mass Spectrometry Procedure after Data Independent Acquisition. Anal. Chem. 2018, 90, 3531–3536. [Google Scholar] [CrossRef] [PubMed]
- Gholami, A.; De Geyter, N.; Pollier, J.; Goormachtig, S.; Goossens, A. Natural product biosynthesis in Medicago species. Nat. Prod. Rep. 2014, 31, 356–380. [Google Scholar] [CrossRef]
- Zhang, Y.M.; Yan, S.J.; Cao, Z.Z.; Shi, S.L. Methodological Study for Total Flavonoid Extraction from Alfalfa by Microwave Assistance. Acta Agrestia Sin. 2008, 16, 76–80. [Google Scholar]
- Kang, J.; Hick, L.A.; Price, W.E. A fragmentation study of isoflavones in negative electrospray ionization by MSn ion trap mass spectrometry and triple quadrupole mass spectrometry. Rapid Commun. Mass Spectrom. 2007, 21, 857–868. [Google Scholar] [CrossRef]
- Ben Said, R.; Hamed, A.I.; Mahalel, U.A.; Al-Ayed, A.S.; Kowalczyk, M.; Moldoch, J.; Stochmal, A. Tentative characterization of polyphenolic compounds in the male flowers of Phoenix dactylifera by liquid chromatography coupled with mass spectrometry and DFT. Int. J. Mol. Sci. 2017, 18, 512. [Google Scholar] [CrossRef]
- Raju, K.S.R.; Kadian, N.; Taneja, I.; Wahajuddin, M. Phytochemical analysis of isoflavonoids using liquid chromatography coupled with tandem mass spectrometry. Phytochem. Rev. 2015, 14, 469–498. [Google Scholar] [CrossRef]
- Schmidt, J. Negative ion electrospray high-resolution tandem mass spectrometry of polyphenols. J. Mass Spectrom. 2016, 51, 33–43. [Google Scholar] [CrossRef]
- Frański, R.; Gierczyk, B.; Kozik, T.; Popenda, Ł.; Beszterda, M. Signals of diagnostic ions in the product ion spectra of [M − H]− ions of methoxylated flavonoids. Rapid Commun. Mass Spectrom. 2019, 33, 125–132. [Google Scholar]
- Ablajan, K. A study of characteristic fragmentation of isoflavonoids by using negative ion ESI-MSn. J. Mass Spectrom. 2011, 46, 77–84. [Google Scholar] [CrossRef] [PubMed]
- Zhao, X.; Zhang, S.; Liu, D.; Yang, M.; Wei, J. Analysis of Flavonoids in Dalbergia odorifera by Ultra-Performance Liquid Chromatography with Tandem Mass Spectrometry. Molecules 2020, 25, 389. [Google Scholar] [CrossRef] [PubMed]
- Liu, J.; Luo, L.; Zhang, H.; Jia, B.; Lu, J.; Li, P.; Chen, J. Rapid screening for novel antioxidants in Glycyrrhiza inflata using high-resolution peak fractionation. J. Funct. Foods 2015, 16, 40–49. [Google Scholar] [CrossRef]
- Bhat, G.; Shawl, A.S.; Shah, Z.; Tantry, M. HPLC-DAD-ESI-MS/MS identification and characterization of major constituents of Iris crocea, Iris germanica and Iris spuria growing in Kashmir Himalayas, India. J. Anal. Bioanal. Tech. 2014, 5, 1. [Google Scholar] [CrossRef]
- Zhang, W.D.; Qi, L.W.; Yang, X.L.; Huang, W.Z.; Li, P.; Yang, Z.L. Identification of the major metabolites of tectorigenin in rat bile by liquid chromatography combined with time-of-flight and ion trap tandem mass spectrometry. Rapid Commun. Mass Spectrom. 2008, 22, 2677–2684. [Google Scholar] [CrossRef]
- Barreira, J.C.; Visnevschi-Necrasov, T.; Nunes, E.; Cunha, S.C.; Pereira, G.; Oliveira, M.B.P. Medicago spp. as potential sources of bioactive isoflavones: Characterization according to phylogenetic and phenologic factors. Phytochemistry 2015, 116, 230–238. [Google Scholar] [CrossRef]
- Stochmal, A.; Simonet, A.M.; Macias, F.A.; Oleszek, W. Alfalfa (Medicago sativa L.) flavonoids. 2. Tricin and chrysoeriol glycosides from aerial parts. J. Agric. Food Chem. 2001, 49, 5310–5314. [Google Scholar] [CrossRef]
- Mattioli, S.; Dal Bosco, A.; Martino, M.; Ruggeri, S.; Marconi, O.; Sileoni, V.; Falcinelli, B.; Castellini, C.; Benincasa, P. Alfalfa and flax sprouts supplementation enriches the content of bioactive compounds and lowers the cholesterol in hen egg. J. Funct. Foods 2016, 22, 454–462. [Google Scholar] [CrossRef]
- Gatouillat, G.; Alabdul Magid, A.; Bertin, E.; Okiemy-Akeli, M.G.; Morjani, H.; Lavaud, C.; Madoulet, C. Cytotoxicity and apoptosis induced by alfalfa (Medicago sativa) leaf extracts in sensitive and multidrug-resistant tumor cells. Nutr. Cancer 2014, 66, 483–491. [Google Scholar] [CrossRef]
- Barlas, N.; Özer, S.; Karabulut, G. The estrogenic effects of apigenin, phloretin and myricetin based on uterotrophic assay in immature Wistar albino rats. Toxicol. Lett. 2014, 226, 35–42. [Google Scholar] [CrossRef]
- Kumar, V.; Rani, A.; Dixit, A.K.; Bhatnagar, D.; Chauhan, G.S. Relative changes in tocopherols, isoflavones, total phenolic content, and antioxidative activity in soybean seeds at different reproductive stages. J. Agric. Food Chem. 2009, 57, 2705–2710. [Google Scholar] [CrossRef] [PubMed]
- Beck, V.; Rohr, U.; Jungbauer, A. Phytoestrogens derived from red clover: An alternative to estrogen replacement therapy? J. Steroid Biochem. Mol. Biol. 2005, 94, 499–518. [Google Scholar] [CrossRef] [PubMed]
- Chen, K.; Li, G.J.; Bressan, R.A.; Song, C.P.; Zhu, J.K.; Zhao, Y. Abscisic acid dynamics, signaling and functions in plants. J. Integr. Plant Biol. 2019, 62, 25–54. [Google Scholar] [CrossRef] [PubMed]
- Jing, C.L.; Dong, X.-F.; Tong, J.-M. Optimization of ultrasonic-assisted extraction of flavonoid compounds and antioxidants from alfalfa using response surface method. Molecules 2015, 20, 15550–15571. [Google Scholar] [CrossRef]
- ICH. Harmonised Tripartite Guideline. Validation of Analytical Procedures: Text and Methodology Q2 (R1). In Proceedings of the International Conference on Harmonization, London, UK, 6 November 2005; Available online: http://www.ich.org/products/guidelines/quality/quality-single/article/validation-of-analytical-procedures-text-and-methodology.html (accessed on 6 May 2019).
Sample Availability: Samples of the compounds are not available from the authors. |





| Compound Name | R.T. (min) | Formula | Exact Mass | Error (ppm) | Adduct Ion (m/z) | MS 2 Fragments (m/z) |
|---|---|---|---|---|---|---|
| Flavonoids (flavan-3-ols, flavone, flavonols, flavonone, flavone glucoside) | ||||||
| Catechin | 7.8 | C15H14O6 | 290.07904 | 1.47 | 289.07176 | 245.08192; 203.07088; 151.03908; 125.02320; 109.02821 |
| Epicatechin | 10.19 | C15H14O6 | 290.07904 | 1.25 | 289.07176 | 245.08192; 203.07088; 151.03908; 109.02821 |
| Quercitin | 16.59 | C15H10O7 | 302.04265 | 0.86 | 301.0354 | 245.04601; 178.99809; 273.04059; 121.02814 |
| Rutin (quercetin3-rutinoside) | 14.20 | C27H30O16 | 610.15338 | 0.5 | 609.14613 | 300.02777; 271.02505; 255.02995; 243.02980; 165.01841;151.00258 |
| Apigenin | 17.54 | C15H10O5 | 270.05282 | 1.18 | 269.04502 | 227.03389; 181.06430; 151, 00194; 149.002266; 117.03271 |
| Kaempferol | 17.06 | C15H10O6 | 286.04774 | 0.57 | 285.04049 | 255.02977; 201.01866; 151.00262; 107.01250; 92.9266 |
| Isorhamnetin | 13.20 | C16H12O7 | 316.0583 | 1.35 | 315.05105 | 300.0271; 227.03508; 163.00369; 151.00264; 107.01190; |
| Naringenin | 19.69 | C15H12O5 | 272.06847 | 0.5 | 271.06122 | 253.05055; 151.00269; 119.04903; 107.01258 |
| Naringin | 14.11 | C27H32O14 | 580.1792 | 2.02 | 579.17185 | 356.99371; 255.02995; 119.04884 |
| Hesperitin | 16.83 | C16H14O6 | 302.07904 | 1.34 | 301.07179 | 283.06204; 267.06650; 252.04286; 151.00266; 125.02319 |
| Pinostrobin | 17.40 | C16H14O4 | 270.08921 | 1.89 | 269.08196 | 254.05864; 210.06839; 177.05495; 148.01559 |
| Pinocembrin | 18.24 | C15H12O4 | 256.07356 | 1.04 | 255.06631 | 239.0713; 237.0557; 227.0713; 179.0349; 147.0451 |
| Chrysin | 17.63 | C15H10O4 | 254.05791 | 1.65 | 253.05066 | 208.96011; 151.03899; 107.04897; 89.04897; 65.03819 |
| Myricetin | 10.42 | C15H10O8 | 318.03757 | 1.37 | 317.03032 | 178.9986; 164.92636; 151.00368; 137.02442; 107.01258 |
| Galangin | 19.98 | C15H10O5 | 270.05282 | 1.48 | 269.04557 | 239.03345; 227.03389; 225.05580; 211.03877; 169.06425 |
| Hyperoside (quercetin 3-galactoside) | 13.98 | C21H20O12 | 464.09548 | 1.03 | 463.08768 | 300.02771; 355.02985; 271.02491; 243.02969; 178.99773; 151.00262 |
| Isoflavone | ||||||
| Genistin | 14.77 | C21H20O10 | 432.10565 | 1.45 | 431.09837 | 311.05637; 269.04590; 271.05133; 181.06580 |
| Genistein | 18.07 | C15H10O5 | 270.05282 | 1.24 | 269.04502 | 159.04420; 133.02835; 201.05527; 181.06546; 107.01257 |
| Daidzin | 11.42 | C21H20O9 | 416.11073 | 1.49 | 415.10348 | 252.0451; 251.0349; 224.0487; 223.0398 |
| Daidzein | 16.50 | C15H10O4 | 254.05791 | 0.87 | 253.05066 | 226.05887; 224.04649; 209.06091; 197.06055; 135.00686; 117.03333 |
| Ononin | 26.14 | C22H22O9 | 430.12638 | 2.06 | 429.11913 | 355.0969; 341.1109; 267.1028; 252.00778 |
| Formononetin | 18.74 | C16H12O4 | 268.07356 | 1.19 | 267.06631 | 252.04298; 223.03986; 195.04466; 132.02049 |
| Glycitein | 16.33 | C16H12O5 | 284.06847 | 1.18 | 283.06122 | 268.0375; 240.0483; 211.03979; 196.05252; 167.02063 |
| Phenolic Acid | ||||||
| Gallic Acid | 1.73 | C7H6O5 | 170.02152 | 0.16 | 169.01427 | 125.02318; 141.01823 |
| Chlorogenic Acid | 8.20 | C16H18O9 | 354.09508 | 0.24 | 353.08783 | 192.05876; 191.05544; 173.04474; 127.03876; 85.02806 |
| Caffeic Acid | 8.71 | C9H8O4 | 180.04226 | 0.37 | 179.03501 | 135.04390; 107.04881 |
| Ferulic Acid | 14.98 | C10H10O4 | 194.05791 | 0.62 | 193.05066 | 178.02635; 149.05974; 134.03615; 106.0424 |
| Ellagic Acid | 14.44 | C14H6O8 | 302.00627 | 1.62 | 300.99899 | 185.02349; 283.98961; 229.01391; 157.01006 |
| Abscinic Acid | 15.73 | C15H20O4 | 264.13616 | 1.42 | 263.12891 | 263.12854; 219.13864; 204.11502; 153.09126; 136.05162 |
| p-coumaric Acid | 10.77 | C9H8O3 | 164.04734 | 0.18 | 163.03954 | 211.0764; 135.00754; 119.0502; 17.0332; 116.0267 |
| Syringic Acid | 15.38 | C9H10O5 | 198.05282 | 0.41 | 197.04555 | 182.02049; 123.00697; 166.99693 |
| Compound Name | R.T. (min) | Formula | Exact Mass | Error (ppm) | Adduct Ion (m/z) | MS 2 Fragments (m/z) |
|---|---|---|---|---|---|---|
| coumestrol | 18.22 | C15H8O5 | 268.03717 | 1.2 | 267.0299 | 266.0373; 239.0487; 211.04058; 167.10689 |
| coumestrol 3-O-glucoside | 12.46 | C21H18O10 | 430.0900 | 1.5 | 429.08274 | 417.23584; 387.22531; 367.11652; 345.13385; 267.03012 |
| biochanin A | 20.09 | C16H12O5 | 284.06847 | 1.27 | 283.06122 | 269.04132; 268.03809; 267.03015; 239.03487; 224.04756; 212.04695; 211.03928; 195.13850; 154.06250; 132.02031 |
| Sissotrin (biochanin A7-O-β-dglucoside) | 22.02 | C22H22O10 | 446.1213 | 1.49 | 445.11404 | 269.04587; 283.06130; 268.03778; 166.92354; 131.94290 |
| Prunetine (O-methyl genistein) | 18.11 | C22H12O5 | 284.06847 | 1.39 | 283.06122 | 269.04132; 268.03809; 267.03015; 240.04300; 239.03487;211.03928 |
| 5,7-dihydroxy-2′-methoxyflavone | 16.58 | C22H12O5 | 284.06847 | 1.39 | 283.06122 | 269.04584; 268.03799; 267.03015; 240.04300; 239.03473; 223.03952; 211.03963; 148.01559 |
| calycosin (3′-hydroxy-formononetin) | 17.52 | C16H12O5 | 284.06847 | 1.68 | 283.06122 | 269.06122; 268.03784; 225.0554; 226.03493; 151.00259; 157.08203; 117.03323; 107.01257 |
| irilone | 17.21 | C16H10O6 | 298.04774 | 0.96 | 297.04049 | 269.04590; 252.04297; 178.9951; 133.02837 |
| baptigenin | 11.74 | C15H10O6 | 286.04774 | 1.44 | 285.04046 | 269.04565; 240.04242; 136.01556; 109.0282 |
| pseudobaptigenin | 21.29 | C16H10O5 | 282.05282 | 1.36 | 281.04557 | 253.05089; 254.05385; 255.14954; 223.02847; 224.04770 |
| pratensein | 19.70 | C16H12O6 | 300.06339 | 0.96 | 299.05614 | 284.03284; 283.02505; 257.04111; 135.00754; 211.03932 |
| afrormosin | 18.38 | C17H14O5 | 298.08412 | 1.34 | 297.07687 | 282.05362; 283.06802; 267.03021; 253.04797; 167.04965 |
| tectorigenin | 18.20 | C16H12O6 | 300.06339 | 1.41 | 299.05611 | 284.03293; 255.03006; 227.03448 |
| alfalone | 14.80 | C17H14O5 | 298.08412 | 1.06 | 297.07687 | 281.0450; 269.04120; 211.03958; 135.00395 |
| irisolidone | 16.52 | C17H14O6 | 314.07904 | 1.44 | 313.07179 | 298.04849; 269.04581; 255.02989; 211.03957; 165.01836 |
| medicarpin | 16.59 | C16H14O4 | 270.08921 | 1.48 | 269.08196 | 254.054408; 253.14426; 141.10812; 117.03334 |
| liquiritigenin | 15.30 | C15H12O4 | 256.07356 | 1.23 | 255.06631 | 211.0764; 135.00761; 119.04889; 117.03323 |
| isoliquiritigenin | 18.19 | C15H12O4 | 256.07356 | 1.04 | 255.06631 | 211.0764; 135.00760; 119.04889; 117.03323 |
| kaempferol-3-O-rutinoside | 18.24 | C27H30O15 | 594.15847 | 1.3 | 593.15122 | 299.05615; 284.03281; 255.02997; 227.0341; 229.05032; 133.02834 |
| kaempferol-O-glucoside | 13.62 | C21H20O11 | 448.10056 | 1.42 | 447.09331 | 284.04077; 284.03299; 255.02995; 243.02979 |
| Isorhamnetin3-O-glucoside | 15.37 | C22H22O12 | 478.1111 | 1.43 | 477.10381 | 315.04871; 314.04370; 271.02518; 243.03003; 285.04083; 300.02777; 151.00262 |
| ethyl gallate | 15.38 | C9H10O5 | 198.05282 | 0.42 | 197.04557 | 181.04961; 169.01326; 151.0031; 121.02814; 107.01214; 83.01234 |
| Luteolin7-glucoside | 15.19 | C21H20O11 | 448.10056 | 1.59 | 447.09331 | 287.0359; 286.04431; 285.04077; 227.0359; 199.03964; 151.00264 |
| vitexin (apigenin8-C-glucoside) | 14.79 | C21H20O10 | 432.10565 | 1.62 | 431.09839 | 341.05179; 339.14789; 269.04587; 240.04268; 225.05542; 197.06077 |
| apigetrin (apigenin-7-glucoside) | 14.29 | C21H20O10 | 432.10565 | 1.78 | 431.09839 | 269.0478; 267.03009; 257.08200; 151.00267 |
| chryosoeriol | 15.24 | C16H12O6 | 300.06339 | 1.29 | 299.05614 | 284.03284; 269.04572; 256.0357; 255.05562; 207.08704; 151.00266 |
| chryosoeriol7-glucoside | 17.32 | C22H22O11 | 462.11621 | 1.78 | 461.10893 | 446.23111; 289.04852; 283.06140; 255.02997 |
| tricin | 18.17 | C17H14O7 | 330.07395 | 0.68 | 329.06668 | 299.05634; 284.03290; 243.03044; 227.03470; 161.02370 |
| azelaic acid | 15.11 | C9H16O4 | 188.10486 | 1.05 | 187.09761 | 169.08600; 143.10655; 125.09581; 123.08015; 97.06589 |
| Ions | Biochanin A (20.09 min) | Calycosin (17.52 min) | Prunetine (18.11 min) | Glycitein (16.33min) | 5,7-dihydroxy-2′-methoxy- flavone (16.58 min) |
|---|---|---|---|---|---|
| [M–H]− | 283.06 | 283.06 | 283.06 | 283.06 | 283.06 |
| [M-H-CH3]− | 268.03 (97) | 268.03 (100) | 268.03 (100) | 268.03 (100) | 268.03 (100) |
| [M-H-OH]− | 267.06 (10) | 267.06 (4) | 267.06 (11) | 267.06 (11) | 267.06 (18) |
| [M-H-CO2]− | - | 239.07 (13) | 239.07 (6) | 239.07 (20) | 239.07 (35) |
| [M-H-CO]− | 255.06 (25) | 255.06 (9) | 255.06 (42) | 255.06 (12) | 255.06 (56) |
| [M-H-CH3-CO]− | 240.04 (5) | 240.04 (10) | 240.04(44) | 240.04 (29) | 240.04 (14) |
| [M-H-CH3-CO2]− | 224.04 (22) | 224.04 (100) | 224.04 (10) | - | - |
| [M-H-CH3-C2H2O]− | 226.04 (12) | 226.04 (10) | - | - | - |
| [M-H-CH3-H-CO]− | 239.03 (10) | 239.03 (10) | 239.03 (17) | - | 239.03 (10) |
| [M-H-CH3-H-CO2]− | 223.04 (16) | 223.04 (12) | - | - | - |
| [M-H-CH3-2CO]− | 212.02 (59) | - | - | 212.02 (18) | - |
| [M-H-CH3-CO-CO2] | - | - | 196.05 (15) | 196.05 (62) | |
| [M-H-CH3-CO-H-CO2]− | 195.13 (17) | - | - | - | |
| [M-H-CO-C-ring]− | - | 193.05 (18) | |||
| [M-H-CH3-CO-H-CO]− | 211.03 (10) | - | 211.03 (6) | - | |
| [M−H−CH3−CO−CO2−CO]− | - | - | - | 168 (12) | - |
| [M-H-CO-B-ring]− | - | - | 167.03 (23) | 167.03 (23) | - |
| [M-H-CH3-CO-B-ring]− | 147.04 (41) | 147.04 (27) | - | 147.04 (18) | 147.04 (48) |
| [A-ring fragment]− | 135.08 (74) | - | - | - | - |
| [B-ring fragment]− | 132.02 (48) | 132.02 (12) | - | - | - |
| Ions | Tectorigenin (RT 18.20 min) | Chryosoeriol (RT 15.24 min) | Pratensein (RT 19.70 min) |
|---|---|---|---|
| [M−H]− | 299.05 | 299.05 | 299.05 |
| [M-H-CH3]− | 284.03 (57) | 284.03 (21) | 284.03 (100) |
| [M-H-CO]− | - | - | 271.06 (21) |
| [M-H-CO-H]− | 270.05 (100) | - | - |
| [M-H-CH3-OH]− | 267.02(13) | - | 267.02 (48) |
| [M-CH3O]− | 269.04 (65) | 269.04 (100) | - |
| [M-H-CH3-CO]− | 256.03 (5) | - | 256.03 (100) |
| [M−H-CO2]− | 255.06(24) | 255.06 (15) | 255.06 (24) |
| [M-H-C9H6O2]− | 153.01 (25) | - | - |
| [M-H-CH3-CO-B-ring]− | 151.00 (31) | - | - |
| [M-C9H9O3]− | 135.00 (34) | 135.00 (10) | - |
| µg/g DW | ALF Seeds | ALF Day 1 | ALF Day 2 | ALF Day 3 | ALF Day 4 | ALF Day 5 | |
|---|---|---|---|---|---|---|---|
| 1 | catechin | 2.16 ± 0.16 | 2.5 ± 0.18 | 5.89 ± 0.14 | 7.53 ± 0.51 | NF * | NF |
| 2 | caffeic acid | NF | NF | NF | NF | NF | NF |
| 3 | myricetin | 117 ± 4.6 | 109.5 ± 6.05 | 113.8 ± 3.6 | 214 ± 5.6 | 62.2 ± 1.3 | 56.3 ± 2.45 |
| 4 | p-cumaric acid | 39.24 ± 2.5 | 30.18 ± 1.2 | 24.2 ± 0.8 | 23.2 ± 1.4 | 22.72 ± 0.9 | 15.2 ± 0.75 |
| 5 | syringic acid | 25.63 ± 1.04 | 4.48 ± 0.17 | 3.87 ± 0.22 | 3.88 ± 0.09 | 3.52 ± 0.16 | 2.8 ± 0.14 |
| 6 | genistin | 2.12 ± 0.06 | 6.15 ± 0.32 | 9.28 ± 0.45 | 4.8 ± 0.05 | 3.24 ± 0.15 | 1.04 ± 0.7 |
| 7 | chlorogenic acid | 2.24 ± 0.11 | 2.3 ± 0.12 | 2.36 ± 0.09 | 2.32 ± 0.06 | 2.32 ± 0.14 | 2.48 ± 0.07 |
| 8 | ferulic acid | 82.5 ± 4.2 | 63.9 ± 3.1 | 39.8 ± 2.04 | 43.03 ± 2.14 | 38.29 ± 1.54 | 50.10 ± 4.01 |
| 9 | hyperoside | 1209.2 ± 10.7 | NF | NF | NF | NF | NF |
| 10 | isohamnetin | 18.58 ± 0.85 | 26.12 ± 1.2 | 35.32 ± 1.62 | 36.12 ± 4.2 | 40.24 ± 2.87 | 15.24 ± 1.45 |
| 11 | rutin | 4.36 ± 0.28 | 3.85 ± 0.15 | 4.36 ± 0.32 | 6.96 ± 0.7 | 5.88 ± 0.14 | 3.92 ± 0.25 |
| 12 | gallic acid | NF | NF | NF | NF | NF | NF |
| 13 | ellagic acid | 7.8 ± 0.55 | 8.2 ± 0.17 | 7.15 ± 0.48 | 7.8 ± 0.84 | 7.17 ± 0.12 | 6.90 ± 0.21 |
| 14 | formononetin | NF | NF | 2.04 ± 0.07 | 133.5±6.2 | 12.04±0.17 | 2.24±0.06 |
| 15 | pinocembrin | 0.52 ± 0.02 | 1.08 ± 0.04 | 2.48 ± 0.04 | 2.6 ± 0.02 | 2.68 ± 0.07 | 5.12 ± 0.11 |
| 16 | apigenin | 8.35 ± 0.67 | 10.29 ± 1.62 | 13.12 ± 0.31 | 26.57 ± 2.83 | 19.33 ± 1.63 | 33.43 ± 1.44 |
| 17 | pinstrobin | 1.52 ± 0.32 | 1.6 ± 0.4 | 1.68 ± 0.7 | 1.76 ± 0.02 | 2.24 ± 0.014 | 6.92 ± 0.41 |
| 18 | kaempferol | 328 ± 9.2 | 162.14 ± 6.8 | 15.32 ± 1.87 | 9.2 ± 0.11 | 8.48 ± 0.15 | 6.72 ± 0.1 |
| 19 | hesperetin | 14.79 ± 1.02 | 26.74 ± 1.26 | 39.2 ± 1.42 | 366.91 ± 12.3 | 209.2 ± 11.8 | 75.9 ± 2.1 |
| 20 | genistein | NF | 20.15 ± 0.95 | 41.36 ± 1.12 | 105.8 ± 3.2 | 27.4 ± 1.05 | 10.96 ± 0.42 |
| 21 | naringenin | 0.32 ± 0.01 | 0.41 ± 0.02 | 0.52 ± 0.02 | 0.2 ± 0.01 | 0.4 ± 0.014 | 0.52 ± 0.011 |
| 22 | quercitin | 1108.64 ± 9.5 | 836.1 ± 9.9 | 725 ± 11.2 | 393.7 ± 7.9 | 299.6 ± 7.3 | 138.96 ± 5.3 |
| 23 | glycitein | NF | 10.01 ± 0.32 | 21.85 ± 1.4 | 43.69 ± 5.1 | 5.2 ± 0.23 | 6.1 ± 0.12 |
| 24 | daidzin | NF | NF | 10.9±0.32 | 5.2±0.12 | NF | NF |
| 25 | daidzein | NF | NF | 34.44 ± 2.6 | 53.96 ± 3.45 | 72.92 ± 2.9 | 12.44 ± 0.47 |
| 26 | crysin | 1.53 ± 0.4 | 1.5 ± 0.08 | 1.34 ± 0.4 | 1.67 ± 0.07 | 1.8 ± 0.09 | 2.0 ± 0.08 |
| 27 | abiscisic acid | 0.61 ± 0.3 | 0.48 ± 0.2 | 0.38 ± 0.15 | 0.32 ± 0.17 | 0.47 ± 0.15 | NF |
| Σ polyphenols | 2974.60 ± 1.32 | 1327.97 ± 3.35 | 1156.48 ± 3.22 | 1496.27 ± 3.52 | 846.92 ± 4.94 | 455.40 ± 5.01 |
| µg/g DW | RCV Seeds | RCV Day 1 | RCV Day 2 | RCV Day 3 | RCV Day 4 | RCV Day 5 | |
|---|---|---|---|---|---|---|---|
| 1 | catechin | 134.6 ± 5.8 | 23.17 ± 3.7 | 17.57 ± 2.6 | 10.39 ± 1.55 | 7.57 ± 0.70 | 7 ± 1.06 |
| 2 | caffeic acid | 16 ± 1.76 | NF * | NF | 11.88 ± 1.2 | NF | NF |
| 3 | myricetin | 199.5 ± 6.5 | 67.41 ± 3.9 | 30.41 ± 1.5 | 26.98 ± 4.03 | 44.22 ± 3.2 | 16.81 ± 1.06 |
| 4 | p-cumaric acid | 19.48 ± 1.086 | 16.48 ± 1.44 | 14.68 ± 0.95 | 12.6 ± 0.6 | 11.44 ± 0.55 | 11.6 ± 0.28 |
| 5 | syringic acid | 16.11 ± 1.14 | 8.68 ± 1.5 | 6.37 ± 0.24 | 5.48 ± 1.14 | 3.17 ± 0.17 | 2.19 ± 0.04 |
| 6 | genistin | NF | 0.76 ± 0.04 | 12.2 ± 1.04 | 20.38 ± 1.28 | 19.31 ± 2.09 | 11.9 ± 1.10 |
| 7 | chlorogenic acid | NF | NF | NF | NF | NF | NF |
| 8 | ferulic acid | 175.48 ± 6.8 | 67.56 ± 4.6 | 99.64 ± 7.5 | 82 ± 5.2 | 97.12 ± 8.3 | 101.48 ± 6.9 |
| 9 | hyperoside | 750.9 ± 10.02 | 196.2 ± 4.6 | 12.6 ± 0.6 | NF | NF | NF |
| 10 | isohamnetin | 28.6 ± 0.52 | 56.04 ± 0.12 | 43.6 ± 0.34 | 30.52 ± 0.47 | 88.48 ± 1.28 | 38.16 ± 0.9 |
| 11 | rutin | 16 ± 0.9 | 67.78 ± 4.6 | 71.14 ± 5.02 | 71.56 ± 3.95 | 122.68 ± 7.21 | 140.2 ± 6.95 |
| 12 | gallic acid | 2 ± 0.04 | 1.2 ± 0.02 | 1.04 ± 0.01 | NF | 1.56 ± 0.02 | 1.64 ± 0.03 |
| 13 | ellagic acid | 9.08 ± 0.06 | 10.20 ± 1.14 | 8.21 ± 1.09 | 7.8 ± 1.11 | 7.16 ± 1.15 | NF |
| 14 | formononetin | 14.8 ± 1.03 | 35.68 ± 3.6 | 134.2 ± 6.2 | 172.76 ± 8.05 | 180.12 ± 6.12 | 141.36 ± 4.8 |
| 15 | pinocembrin | NF | 0.2 ± 0.03 | 0.2 ± 0.02 | 0.24 ± 0.02 | 0.48 ± 0.03 | 0.28 ± 0.01 |
| 16 | apigenin | NF | NF | NF | NF | NF | NF |
| 17 | pinstrobin | 1.6 ± 0.14 | 1.6 ± 0.12 | 1.92 ± 0.2 | 2.4 ± 0.04 | 3.24 ± 0.15 | 4.52 ± 0.04 |
| 18 | kaempferol | 78.8 ± 3.8 | 5.76 ± 2.05 | 5.48 ± 2.12 | 5.48 ± 1.5 | 6.48 ± 1.9 | 5.48 ± 2.4 |
| 19 | hesperetin | 2824.8 ± 8.5 | 759.86 ± 7.3 | 424.83 ± 6.8 | 343.62 ± 10.05 | 203.44 ± 6.5 | 173.95 ± 4.6 |
| 20 | genistein | 28.76 ± 2.06 | 435.44 ± 4.7 | 593.44 ± 5.2 | 607.2 ± 3.9 | 499.92 ± 4.8 | NF |
| 21 | naringenin | 1.32 ± 0.7 | 0.16 ± 0.01 | 0.24 ± 0.03 | 0.32 ± 0.03 | 0.28 ± 0.04 | NF |
| 22 | quercitin | 6714 ± 9.54 | 2105 ± 6.25 | 1840.84 ± 5.07 | 1169.17 ± 5.10 | 1406.05 ± 3.9 | 1633.61 ± 3.04 |
| 23 | glycitein | 2.49 ± 1.05 | 1.9 ± 1.01 | 17.43 ± 0.95 | 44.54 ± 2.45 | 43.74 ± 1.90 | 27 ± 1.05 |
| 24 | daidzin | NF | 94.1 ± 4.3 | 78.3 ± 3.7 | 12.4 ± 2.4 | NF | NF |
| 25 | daidzein | NF | NF | 185.2 ± 6.8 | 220.2 ± 4.2 | 263.1 ± 3.7 | 114.5 ± 4.6 |
| 26 | crysin | 1.09 ± 0.1 | 1.09 ± 0.2 | NF | 1.10 ± 0.07 | 1.11 ± 0.09 | 1.10 ± 0.4 |
| 27 | abiscisic acid | 0.98 ± 0.4 | 0.17 ± 0.01 | 0.17 ± 0.02 | 0.52 ± 0.25 | 1.00 ± 0.51 | 0.92 ± 0.32 |
| Σ polyphenols | 11036.40 ± 2.18 | 2056.45 ± 3.07 | 3599.72 ± 1.45 | 2859.55 ± 3.68 | 3011.68 ± 2.98 | 2433.72 ± 4.21 |
© 2020 by the authors. Licensee MDPI, Basel, Switzerland. This article is an open access article distributed under the terms and conditions of the Creative Commons Attribution (CC BY) license (http://creativecommons.org/licenses/by/4.0/).
Share and Cite
Chiriac, E.R.; Chiţescu, C.L.; Borda, D.; Lupoae, M.; Gird, C.E.; Geană, E.-I.; Blaga, G.-V.; Boscencu, R. Comparison of the Polyphenolic Profile of Medicago sativa L. and Trifolium pratense L. Sprouts in Different Germination Stages Using the UHPLC-Q Exactive Hybrid Quadrupole Orbitrap High-Resolution Mass Spectrometry. Molecules 2020, 25, 2321. https://doi.org/10.3390/molecules25102321
Chiriac ER, Chiţescu CL, Borda D, Lupoae M, Gird CE, Geană E-I, Blaga G-V, Boscencu R. Comparison of the Polyphenolic Profile of Medicago sativa L. and Trifolium pratense L. Sprouts in Different Germination Stages Using the UHPLC-Q Exactive Hybrid Quadrupole Orbitrap High-Resolution Mass Spectrometry. Molecules. 2020; 25(10):2321. https://doi.org/10.3390/molecules25102321
Chicago/Turabian StyleChiriac, Elena Roxana, Carmen Lidia Chiţescu, Daniela Borda, Mariana Lupoae, Cerasela Elena Gird, Elisabeta-Irina Geană, Giorgiana-Valentina Blaga, and Rica Boscencu. 2020. "Comparison of the Polyphenolic Profile of Medicago sativa L. and Trifolium pratense L. Sprouts in Different Germination Stages Using the UHPLC-Q Exactive Hybrid Quadrupole Orbitrap High-Resolution Mass Spectrometry" Molecules 25, no. 10: 2321. https://doi.org/10.3390/molecules25102321
APA StyleChiriac, E. R., Chiţescu, C. L., Borda, D., Lupoae, M., Gird, C. E., Geană, E.-I., Blaga, G.-V., & Boscencu, R. (2020). Comparison of the Polyphenolic Profile of Medicago sativa L. and Trifolium pratense L. Sprouts in Different Germination Stages Using the UHPLC-Q Exactive Hybrid Quadrupole Orbitrap High-Resolution Mass Spectrometry. Molecules, 25(10), 2321. https://doi.org/10.3390/molecules25102321

