Ruthenacarborane–Phenanthroline Derivatives as Potential Metallodrugs
Abstract
1. Introduction
2. Results and Discussion
2.1. Ligand and Precursor Syntheses
2.2. Synthesis of Ruthenium(II) Complexes
2.3. Biological Studies
3. Materials and Methods
- [3-(CO)-3,3-(L2-κ2N,N)-closo-3,1,2-RuC2B9H11] (2): 0.10 g (0.32 mmol, 1.00 eq.) 1 were placed in a 250 mL round bottom flask and dissolved in 25 mL acetonitrile. With stirring, a solution of 0.05 g (0.64 mmol, 2.00 eq.) trimethylamine N-oxide in 10 mL acetonitrile was added. The mixture was stirred for 10 min. Subsequently, 0.07 g (0.31 mmol, 0.97 eq.) 5-nitro-1,10-phenanthroline (L2), dissolved in 20 mL acetonitrile, were added dropwise to the mixture. The reaction mixture was stirred for 17 h at rt. After the reaction was finished (monitored using TLC), the mixture was filtered and the filtrate was dried under reduced pressure. The product was purified using column chromatography (dichloromethane; Rf = 0.60). 2 (0.02 g, 0.04 mmol, 13%) was obtained as an orange-red crystalline solid. 1H-NMR (400 MHz, CD3CN): δ = 1.00–2.80 (br, 9 H, 9× BH), 3.39 (s, br, 2 H, 2× CH1), 8.05 (m, 2 H, CH3, CH7), 8.88 (d, 3JHH = 8.2 Hz, 1 H, CH6), 9.10 (s, 1 H, CH5), 9.23 (d, 3JHH = 8.6 Hz, 1 H, CH4), 9.49 (d, 3JHH = 5.2 Hz, 1 H, CH8), 9.53 ppm (d, 3JHH = 5.3 Hz, 1 H, CH2); 11B{1H}-NMR (128 MHz, CD3CN): δ = −22.2 (s, 1 B, BH), −21.4 (s, 2 B, BH), −9.8 (s, 2 B, BH), −8.9 (s, 2 B, BH), −6.8 (s, 1 B, BH), −2.0 ppm (s, 1 B, BH); 11B-NMR (128 MHz, CD3CN): δ = −21.8 (m, br, 3 B, BH), −9.3 (m, br, 4 B, BH), −6.8 (d, 1JBH = 139 Hz, 1 B, BH), −2.0 ppm (d, 1JBH = 135 Hz, 1 B, BH); IR (KBr): = 2524 (s, νBH-sp3), 1970 (s, νCO-sp), 1535 (m, νasym.NO2), 1514 (m, νCN-sp2), 1342 cm−1 (m, νsym.NO2); MS (ESI, neg.): found: m/z (%): 549 (100) [M + NO3]−; calcd: m/z: 549 [M + NO3]−.
- [3-(CO)-3,3-(L3-κ2N,N)-closo-3,1,2-RuC2B9H11] (3): 0.10 g (0.32 mmol, 1.00 eq.) 1 were placed in a 250 mL round bottom flask and dissolved in 25 mL acetonitrile. Subsequently, 0.05 g (0.64 mmol, 2.00 eq.) trimethylamine N-oxide, dissolved in 10 mL acetonitrile, were added. The mixture was stirred for 10 min at rt. Then, 0.07 g (0.33 mmol, 1.03 eq.) 1,10-phenanthroline-5,6-dione (L3), dissolved in 15 mL acetonitrile, were added dropwise to the mixture. The reaction mixture was stirred for 84 h at rt. After the reaction was complete (monitored using TLC), the resulting precipitate was filtered off and the filtrate was concentrated under reduced pressure. The product was purified using column chromatography (dichloromethane; Rf = 0.17). Yield of 3: 0.11 g (0.23 mmol, 73%), orange solid. 1H-NMR (400 MHz, CD3CN): δ = 1.00–3.90 (br, 9 H, 9 × BH), 3.37 (s, br, 2 H, 2× CH1), 7.82 (dd, 3JHH = 7.9 Hz, 3JHH = 5.6 Hz, 2 H, 2× CH3), 8.62 (dd, 3JHH = 7.9 Hz, 4JHH = 1.4 Hz, 2 H, 2× CH4), 9.26 ppm (dd, 3JHH = 5.6 Hz, 4JHH = 1.4 Hz, 2 H, 2× CH2); 11B{1H}-NMR (128 MHz, CD3CN): δ = −21.9 (s, br, 3 B, BH), −9.6 (s, br, 4 B, BH), −7.8 (s, 1 B, BH), −1.4 ppm (s, 1 B, BH); 11B-NMR (128 MHz, CD3CN): δ = −21.9 (d, 1JBH = 143 Hz, 3 B, BH), −9.6 (d, 1JBH = 142 Hz, 4 B, BH), −7.8 (d, 1JBH = 144 Hz, 1 B, BH), −1.4 ppm (d, 1JBH = 151 Hz, 1 B, BH); IR (KBr): = 2507 (m, νBH-sp3), 1984 (m, νCO-sp), 1702 (m, νCO-sp2), 1691 (m, νCN-sp2), 802 cm−1 (s, 1,2,3-trisubstituted aromatic ring); MS (ESI, neg.): found: m/z (%): 552 (67) [M + Br]−; calcd: m/z: 552 [M + Br]−.
- [3-(CO)-3,3-(L4-κ2N,N)-closo-3,1,2-RuC2B9H11] (4): 0.20 g (0.63 mmol, 1.00 eq.) 1 were placed in a 250 mL round bottom flask and dissolved in 25 mL acetonitrile. To this solution, 0.10 g (1.26 mmol, 2.00 eq.) trimethylamine N-oxide, dissolved in 10 mL acetonitrile, were added dropwise. The mixture was stirred for 10 min at rt. Then, 0.28 g (1.28 mmol, 2.03 eq.) 1,10-phenanthrolinopyrrole (L4) were added in one portion and the reaction mixture was stirred for 48 h at room temperature. After the reaction was completed (monitored using TLC), the resulting precipitate was filtered off and the filtrate was concentrated under reduced pressure. The product was purified using column chromatography (dichloromethane; Rf = 0.33). Yield of 4: 0.14 g (0.29 mmol, 46%), yellow crystalline solid. 1H-NMR (400 MHz, CD3CN): δ = 0.70–2.80 (br, 9 H, 9× BH), 3.28 (s, br, 2 H, 2× CH1), 7.71 (dd, 3JHH = 8.1 Hz, 3JHH = 5.4 Hz, 2 H, 2× CH3), 7.92 (d, 3JHH = 2.8 Hz, 2 H, 2× CH5), 8.67 (d, 3JHH = 7.7 Hz, 2 H, 2× CH4), 9.03 (d, 3JHH = 5.1 Hz, 2 H, 2× CH2), 10.70 ppm (s, br, 1 H, NH6); 11B{1H}-NMR (128 MHz, CD3CN): δ = −21.7 (s, br, 3 B, BH), −10.1 (s, 2 B, BH), −9.0 (s, 2 B, BH), −7.2 (s, br, 1 B, BH), −2.7 ppm (s, br, 1 B, BH); 11B-NMR (128 MHz, CD3CN): δ = −21.8 (m, 3 B, BH), −8.8 (m, br, 5 B, BH), −2.7 ppm (d, 1JBH = 139 Hz, 1 B, BH); IR (KBr): = 2523 (m, νBH-sp3), 1958(s, νCO-sp), 1639 (w, νCN-sp2), 1600 (w, νCC-sp2), 803 cm−1 (m, 1,2,3-trisubstituted aromatic ring); MS (ESI, neg.): found: m/z (%): 480 (100) [M − H]−; calcd: m/z: 480 [M − H]−.
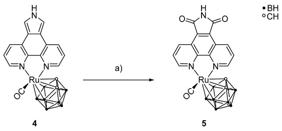
- [3-(CO)-3,3-{1′,10′-NC5H3(C(CO)(NH)(CO)C)NC5H3-κ2N,N}-closo-3,1,2-RuC2B9H11] (5): 0.31 g (0.65 mmol, 1.00 eq.) 4 were placed in a 250 mL round bottom flask and dissolved in 30 mL acetonitrile. Subsequently, 0.45 g (2.61 mmol, 4.01 eq.) m-CPBA, dissolved in 10 mL acetonitrile, were added under stirring at rt. The reaction mixture was heated under reflux for 84 h. During this time, two additional portions of 0.28 g (1.62 mmol, 2.49 eq.) m-CPBA, dissolved in 10 mL acetonitrile, were added after 24 h and 48 h, respectively. After completion of the reaction (monitored using TLC), the mixture was cooled to rt; the resulting precipitate was filtered off and the filtrate was concentrated under reduced pressure. The product was purified using column chromatography (dichloromethane/acetonitrile, 10:1, (v/v); Rf = 0.52). Yield of 5: 0.03 g (0.06 mmol, 9%, corrected, after recovery of starting material 4: 10%), deep red crystalline powder. In addition, 0.03 g (0.06 mmol) 4 were recovered. 1H-NMR (400 MHz, acetone-d6): δ = 0.82–3.01 (br, 9 H, 9× BH), 3.53 (s, br, 2 H, 2× CH1), 8.31 (dd, 3JHH = 8.3 Hz, 3JHH = 5.2 Hz, 2 H, 2× CH3), 9.59 (dd, 3JHH = 8.3 Hz, 3JHH = 1.4 Hz, 2 H, 2× CH4), 9.73 (dd, 3JHH = 5.3 Hz, 3JHH = 1.4 Hz, 2 H, 2× CH2), 10.74 ppm (s, br, 1 H, NH5); 11B{1H}-NMR (128 MHz, acetone-d6): δ = −21.7 (s, br, 3 B, BH), −9.3 (s, 2 B, BH), −7.5 (s, 3 B, BH), −1.3 ppm (s, 1 B, BH); 11B-NMR (128 MHz, acetone-d6): δ = −21.7 (d, 1JBH = 157 Hz, 3 B, BH), −9.2 (d, 1JBH = 162 Hz, 2 B, BH), −7.5 (d, 1JBH = 150 Hz, 3 B, BH), −1.3 ppm (d, 1JBH = 142 Hz, 1 B, BH); IR (KBr): = 2531 (s, νBH-sp3), 1956 (s, νCO-sp), 1727 (s, νCO-sp2), 1695 cm−1 (m, νCN-sp2); MS (ESI, neg.): found: m/z (%): 510 (100) [M − H]−, 482 (26) [M − CO − H]−; calcd: m/z: 510 [M − H]−, 482 [M − CO − H]−.
4. Conclusions
Supplementary Materials
Author Contributions
Funding
Acknowledgments
Conflicts of Interest
References
- Thompson, K.H.; Orvig, C. Metal Complexes in Medicinal Chemistry: New Vistas and Challenges in Drug Design. Dalton Trans. 2006, 761–764. [Google Scholar] [CrossRef]
- Colotti, G.; Ilari, A.; Boffi, A.; Morea, V. Metals and Metal Derivatives in Medicine. Mini Rev. Med. Chem. 2013, 13, 211–221. [Google Scholar] [CrossRef]
- Cohen, S.M. New Approaches for Medicinal Applications of Bioinorganic Chemistry. Curr. Opin. Chem. Biol. 2007, 11, 115–120. [Google Scholar] [CrossRef]
- Meggers, E.; Atilla-Gokcumen, G.E.; Bregman, H.; Maksimoska, J.; Mulcahy, S.P.; Pagano, N.; Williams, D.S. Exploring Chemical Space with Organometallics: Ruthenium Complexes as Protein Kinase Inhibitors. Synlett 2007, 1177–1189. [Google Scholar] [CrossRef]
- Bregman, H.; Williams, D.S.; Atilla, G.E.; Carroll, P.J.; Meggers, E. An Organometallic Inhibitor for Glycogen Synthase Kinase 3. J. Am. Chem. Soc. 2004, 126, 13594–13595. [Google Scholar] [CrossRef] [PubMed]
- Bregman, H.; Williams, D.S.; Meggers, E. Pyrido[2,3-a]pyrrolo[3,4-c]carbazole-5,7(6H)-diones: Synthesis, Cyclometalation, and Protein Kinase Inhibition. Synthesis 2005, 1521–1527. [Google Scholar] [CrossRef]
- Chiara, F.; Rasola, A. GSK-3 and Mitochondria in Cancer Cells. Front. Oncol. 2013, 3, 16. [Google Scholar] [CrossRef] [PubMed]
- Cohen, P. Protein Kinases—the Major Drug Targets of the Twenty-First Century? Nat. Rev. Drug Discov. 2002, 1, 309–315. [Google Scholar] [CrossRef]
- Allardyce, C.S.; Dyson, P.J. Ruthenium in Medicine: Current Clinical Uses and Future Prospects. Platinum Metals Rev. 2001, 45, 62–69. [Google Scholar]
- Dyson, P.J. Systematic Design of a Targeted Organometallic Antitumour Drug in Pre-clinical Development. CHIMIA 2007, 61, 698–703. [Google Scholar] [CrossRef]
- Gozzi, M.; Schwarze, B.; Sárosi, M.-B.; Lönnecke, P.; Drača, D.; Maksimović-Ivanić, D.; Mijatović, S.; Hey-Hawkins, E. Antiproliferative Activity of (η6-Arene)ruthenacarborane Sandwich Complexes Against HCT116 and MCF7 Cell Lines. Dalton Trans. 2017, 46, 12067–12080. [Google Scholar] [CrossRef]
- Süss-Fink, G. Arene Ruthenium Complexes as Anticancer Agents. Dalton Trans. 2010, 39, 1673–1688. [Google Scholar] [CrossRef]
- Gozzi, M.; Murganic, B.; Drača, D.; Popp, J.; Coburger, P.; Maksimović-Ivanić, D.; Mijatović, S.; Hey-Hawkins, E. Quinoline-Conjugated Ruthenacarboranes: Toward Hybrid Drugs with a Dual Mode of Action. Chem. Med. Chem. 2019, 14, 2061–2074. [Google Scholar] [CrossRef]
- Gozzi, M.; Schwarze, B.; Hey-Hawkins, E. Half- and Mixed-sandwich Metallacarboranes for Potential Applications in Medicine. Pure Appl. Chem. 2019, 91, 563–573. [Google Scholar] [CrossRef]
- Bregman, H.; Meggers, E. Ruthenium Half-Sandwich Complexes as Protein Kinase Inhibitors: An N-succinimidyl Ester for Rapid Derivatizations of the Cyclopentadienyl Moiety. Org. Lett. 2006, 8, 5465–5468. [Google Scholar] [CrossRef]
- Atilla-Gokcumen, G.E.; Williams, D.S.; Bregman, H.; Pagano, N.; Meggers, E. Organometallic Compounds with Biological Activity: A Very Selective and Highly Potent Cellular Inhibitor for Glycogen Synthase Kinase 3. ChemBioChem 2006, 7, 1443–1450. [Google Scholar] [CrossRef]
- Atilla-Gokcumen, G.E.; Di Costanzo, L.; Meggers, E. Structure of Anticancer Ruthenium Half-Sandwich Complex Bound to Glycogen Synthase Kinase 3β. J. Biol. Inorg. Chem. 2011, 16, 45–50. [Google Scholar] [CrossRef]
- Rüegg, U.T.; Burgess, G.M. Staurosporine, K-252 and UCN-01: Potent but Nonspecific Inhibitors of Protein Kinases. Trends Pharmacol. Sci. 1989, 10, 218–220. [Google Scholar] [CrossRef]
- Scholz, M.; Hey-Hawkins, E. Carbaboranes as Pharmacophores: Properties, Synthesis, and Application Strategies. Chem. Rev. 2011, 111, 7035–7062. [Google Scholar] [CrossRef]
- Issa, F.; Kassiou, M.; Rendina, L.M. Boron in Drug Discovery: Carboranes as Unique Pharmacophores in Biologically Active Compounds. Chem. Rev. 2011, 111, 5701–5722. [Google Scholar] [CrossRef]
- Grimes, R.N. Carboranes, 3rd ed.; Elsevier, Academic Press: Amsterdam, The Netherland; Boston, MA, USA; Heidelberg, Germany, 2016; ISBN 9780128018941. [Google Scholar]
- Grimes, R.N. Carboranes in the Chemist’s Toolbox. Dalton Trans. 2015, 44, 5939–5956. [Google Scholar] [CrossRef] [PubMed]
- Leśnikowski, Z.J. Challenges and Opportunities for the Application of Boron Clusters in Drug Design. J. Med. Chem. 2016, 59, 7738–7758. [Google Scholar] [CrossRef] [PubMed]
- Marta, G.; Benedikt, S.; Evamarie, H.-H. Half- and Mixed-sandwich Metallacarboranes in Catalysis. In Handbook of Boron Chemistry in Organometallics, Catalysis, Materials and Medicine, 2nd ed.; Imperial College Press/World Scientific Publishing (UK) Ltd.: London, UK, 2018; Volume 2, pp. 27–80. ISBN 9781786344410. [Google Scholar]
- Fujii, S. Expanding the Chemical Space of Hydrophobic Pharmacophores: The Role of Hydrophobic Substructures in the Development of Novel Transcription Modulators. Med. Chem. Commun. 2016, 7, 1082–1092. [Google Scholar] [CrossRef]
- Vincenzi, M.; Bednarska, K.; Leśnikowski, Z.J. Comparative Study of Carborane- and Phenyl-Modified Adenosine Derivatives as Ligands for the A2A and A3 Adenosine Receptors Based on a Rigid in Silico Docking and Radioligand Replacement Assay. Molecules 2018, 23, 1846. [Google Scholar] [CrossRef] [PubMed]
- Stockmann, P.; Gozzi, M.; Kuhnert, R.; Sárosi, M.-B.; Hey-Hawkins, E. New Keys for Old Locks: Carborane-Containing Drugs as Platforms for Mechanism-based Therapies. Chem. Soc. Rev. 2019, 48, 3497–3512. [Google Scholar] [CrossRef] [PubMed]
- Leśnikowski, Z.J. Recent Developments with Boron as a Platform for Novel Drug Design. Expert Opin. Drug Dis. 2016, 11, 569–578. [Google Scholar] [CrossRef]
- Lesnikowski, Z.J. Boron Units as Pharmacophores-New Applications and Opportunities of Boron Cluster Chemistry. Collect. Czech. Chem. C. 2007, 72, 1646–1658. [Google Scholar] [CrossRef]
- Ahrens, V.M.; Frank, R.; Boehnke, S.; Schütz, C.L.; Hampel, G.; Iffland, D.S.; Bings, N.H.; Hey-Hawkins, E.; Beck-Sickinger, A.G. Receptor-mediated Uptake of Boron-rich Neuropeptide Y Analogues for Boron Neutron Capture Therapy. Chem. Med. Chem. 2015, 10, 164–172. [Google Scholar] [CrossRef]
- Armstrong, A.F.; Valliant, J.F. The Bioinorganic and Medicinal Chemistry of Carboranes: From New Drug Discovery to Molecular Imaging and Therapy. Dalton Trans. 2007, 4240–4251. [Google Scholar] [CrossRef]
- Scholz, M.; Kaluđerović, G.N.; Kommera, H.; Paschke, R.; Will, J.; Sheldrick, W.S.; Hey-Hawkins, E. Carbaboranes as Pharmacophores: Similarities and Differences between Aspirin and Asborin. Eur. J. Med. Chem. 2011, 46, 1131–1139. [Google Scholar] [CrossRef]
- Scholz, M.; Steinhagen, M.; Heiker, J.T.; Beck-Sickinger, A.G.; Hey-Hawkins, E. Asborin Inhibits Aldo/Keto Reductase 1A1. Chem. Med. Chem. 2011, 6, 89–93. [Google Scholar] [CrossRef] [PubMed]
- Schwarze, B.; Gozzi, M.; Hey-Hawkins, E. Half- and Mixed-sandwich Transition Metal nido-Carboranes(-1) and Metallacarboranes for Medicinal Applications. In Boron-Based Compounds: Potential and Emerging Applications in Medicine; Hey-Hawkins, E., Viñas Teixidor, C., Eds.; John Wiley & Sons Ltd.: Hoboken, NJ, USA, 2016; pp. 60–108, Online; ISBN 9781119275602. [Google Scholar]
- Neumann, W.; Xu, S.; Sárosi, M.B.; Scholz, M.S.; Crews, B.C.; Ghebreselasie, K.; Banerjee, S.; Marnett, L.J.; Hey-Hawkins, E. nido-Dicarbaborate Induces Potent and Selective Inhibition of Cyclooxygenase-2. Chem. Med. Chem. 2016, 11, 175–178. [Google Scholar] [CrossRef] [PubMed]
- Gozzi, M.; Schwarze, B.; Coburger, P.; Hey-Hawkins, E. On the Aqueous Solution Behavior of C-Substituted 3,1,2-Ruthenadicarbadodecaboranes. Inorganics 2019, 7, 91. [Google Scholar] [CrossRef]
- Schwarze, B.; Gozzi, M.; Zilberfain, C.; Rüdiger, J.; Birkemeyer, C.; Estrela-Lopis, I.; Hey-Hawkins, E. Nanoparticle-based Formulation of Metallacarboranes with Bovine Serum Albumin for Application in Cell Cultures. J. Nanopart. Res. 2020, 22, 24. [Google Scholar] [CrossRef]
- Brown, D.A.; Fanning, M.O.; Fitzpatrick, N.J. Molecular Orbital Theory of Organometallic Compounds. 15. A Comparative Study of Ferrocene and π-cyclopentadienyl-(3)-1,2-dicarbollyliron. Inorg. Chem. 1978, 17, 1620–1623. [Google Scholar] [CrossRef]
- Hoffmann, R. Building Bridges Between Inorganic and Organic Chemistry (Nobel Lecture). Angew. Chem. Int. Ed. Engl. 1982, 21, 711–724, Angew. Chem.1982, 94, 725–739. [Google Scholar] [CrossRef]
- Hosmane, N.S. Handbook of Boron Science with Applications in Organometallics, Catalysis, Materials and Medicine; Eagling, R., Ed.; World Scientific Publishing Europe Ltd.: London, UK; Munich, Germany, 2019; ISBN 1786344475. [Google Scholar]
- Debreczeni, J.É.; Bullock, A.N.; Atilla, G.E.; Williams, D.S.; Bregman, H.; Knapp, S.; Meggers, E. Ruthenium Half-sandwich Complexes Bound to Protein Kinase Pim-1. Angew. Chem. Int. Ed. 2006, 45, 1580–1585, Angew. Chem.2006, 118, 1610–1615. [Google Scholar] [CrossRef]
- Feng, L.; Geisselbrecht, Y.; Blanck, S.; Wilbuer, A.; Atilla-Gokcumen, G.E.; Filippakopoulos, P.; Kräling, K.; Celik, M.A.; Harms, K.; Maksimoska, J.; et al. Structurally Sophisticated Octahedral Metal Complexes as Highly Selective Protein Kinase Inhibitors. J. Am. Chem. Soc. 2011, 133, 5976–5986. [Google Scholar] [CrossRef]
- Hlatky, G.G.; Crowther, D.J. Main Group and Transition Metal Cluster Compounds: 38. 7,8-Dicarbaundecaborane(13). Inorg. Syn. 1998, 32, 229–231. [Google Scholar]
- Smith, G.F.; Cagle, F.W., Jr. The Improved Synthesis of 5-Nitro-1,10-phenanthroline. J. Org. Chem. 1947, 12, 781–784. [Google Scholar] [CrossRef]
- Sergeeva, N.N.; Donnier-Marechal, M.; Vaz, G.M.; Davies, A.M.; Senge, M.O. Stability and Spectral Properties of Europium and Zinc Phenanthroline Complexes as Luminescent Probes in High Content Cell-imaging Analysis. J. Inorg. Biochem. 2011, 105, 1589–1595. [Google Scholar] [CrossRef] [PubMed]
- Wang, C.; Lystrom, L.; Yin, H.; Hetu, M.; Kilina, S.; McFarland, S.A.; Sun, W. Increasing the Triplet Lifetime and Extending the Ground-state Absorption of Biscyclometalated Ir(III) Complexes for Reverse Saturable Absorption and Photodynamic Therapy Applications. Dalton Trans. 2016, 45, 16366–16378. [Google Scholar] [CrossRef] [PubMed]
- Barton, D.H.R.; Kervagoret, J.; Zard, S.Z. An Useful Synthesis of Pyrroles from Nitroolefins. Tetrahedron 1990, 46, 7587–7598. [Google Scholar] [CrossRef]
- Barton, D.H.R.; Zard, S.Z. A New Synthesis of Pyrroles from Nitroalkenes. J. Chem. Soc. Chem. Commun. 1985, 1098–1100. [Google Scholar] [CrossRef]
- Villegas, J.M.; Stoyanov, S.R.; Rillema, D.P. Synthesis and Photochemistry of Ru(II) Complexes Containing Phenanthroline-based Ligands with Fused Pyrrole Rings. Inorg. Chem. 2002, 41, 6688–6694. [Google Scholar] [CrossRef]
- Lash, T.D.; Lin, Y.; Novak, B.H.; Parikh, M.D. Porphyrins with Exocyclic Rings. Part 19: Efficient Syntheses of Phenanthrolinoporphyrins. Tetrahedron 2005, 61, 11601–11614. [Google Scholar] [CrossRef]
- Lash, T.D.; Novak, B.H.; Lin, Y. Synthesis of Phenanthropyrroles and Phenanthrolinopyrroles from Isocyanoacetates: An Extension of the Barton-Zard Pyrrole Condensation. Tetrahedron Lett. 1994, 35, 2493–2494. [Google Scholar] [CrossRef]
- Lin, Y.; Lash, T.D. Porphyrin Synthesis by the "3+1" Methodology: A Superior Approach for the Preparation of Porphyrins with Fused 9,10-Phenanthroline Subunits. Tetrahedron Lett. 1995, 36, 9441–9444. [Google Scholar] [CrossRef]
- Ono, N.; Hironaga, H.; Ono, K.; Kaneko, S.; Murashima, T.; Ueda, T.; Tsukamura, C.; Ogawa, T. A New Synthesis of Pyrroles and Porphyrins Fused with Aromatic Rings. J. Chem. Soc. Perkin Trans. 1 1996, 417–423. [Google Scholar] [CrossRef]
- Ono, N.; Hironaga, H.; Simizu, K.; Ono, K.; Kuwano, K.; Ogawa, T. Synthesis of Pyrroles Annulated with Polycyclic Aromatic Compounds; Precursor Molecules for Low Band Gap Polymers. J. Chem. Soc. Chem. Commun. 1994, 1019–1020. [Google Scholar] [CrossRef][Green Version]
- Anderson, S.; Mullica, D.F.; Sappenfield, E.L.; Stone, F.G.A. Carborane Complexes of Ruthenium: A Convenient Synthesis of [Ru(CO)3(η5-7,8-C2B9H11)] and a Study of Reactions of This Complex. Organometallics 1995, 14, 3516–3526. [Google Scholar] [CrossRef]
- Behnken, P.E.; Hawthorne, M.F. Reactions at the Metal Vertex of a Ruthenacarborane Cluster. Activation of Carbon Monoxide by closo-3,3,3-(CO)3-3,1,2-RuC2B9H11. Inorg. Chem. 1984, 3420–3423. [Google Scholar] [CrossRef]
- Siedle, A.R. Dicarbollide Complexes of Rhodium and Ruthenium. J. Organomet. Chem. 1975, 90, 249–256. [Google Scholar] [CrossRef]
- Jelliss, P.A.; Mason, J.; Nazzoli, J.M.; Orlando, J.H.; Vinson, A.; Rath, N.P.; Shaw, M.J. Synthesis and Characterization of Ruthenacarborane Complexes Incorporating Chelating N-donor Ligands: Unexpected Luminescence from the Complex 3-CO-3,3-κ2-Me2N(CH2)2NMe2-closo-3,1,2-RuC2B9H11. Inorg. Chem. 2006, 45, 370–385. [Google Scholar] [CrossRef] [PubMed]
- Dyson, P.J.; McIndoe, J.S. Transition Metal Carbonyl Cluster Chemistry; Gordon and Breach Science Publishers: Amsterdam, The Netherlands, 2000; ISBN 90-5699-289-9. [Google Scholar]
- Paw, W.; Eisenberg, R. Synthesis, Characterization, and Spectroscopy of Dipyridocatecholate Complexes of Platinum. Inorg. Chem. 1997, 36, 2287–2293. [Google Scholar] [CrossRef]
- Pearsons, R.G. Hard and Soft Acids and Bases. J. Am. Chem. Soc. 1963, 85, 3533–3539. [Google Scholar] [CrossRef]
- Alamgir, M.; Mitchell, P.S.R.; Bowyer, P.K.; Kumar, N.; Black, D.S. Synthesis of 4,7-Indoloquinones from Indole-7-carbaldehydes by Dakin Oxidation. Tetrahedron 2008, 64, 7136–7142. [Google Scholar] [CrossRef]
- Howard, J.K.; Hyland, C.J.T.; Just, J.; Smith, J.A. Controlled Oxidation of Pyrroles: Synthesis of Highly Functionalized γ-Lactams. Org. Lett. 2013, 15, 1714–1717. [Google Scholar] [CrossRef]
- MestReNova; v12.0.0-20080; Mestrelab Research S.L.: Santiago de Compostela, Spain, 2017.
- Diamond; v4.6.2; Crystal Impact GbR: Bonn, Germany, 1997–2020.
Sample Availability: Samples of the compounds are not available from the authors. |









| Atom Group | 2 | 4 a | 5 | I |
|---|---|---|---|---|
| Ru(1)–C(1) | 226.5(9) | 222.3(4) [225.0(4)] | 221.3(2) | 217.4(4) |
| Ru(1)–C(2) | 222.7(9) | 217.6(4) [223.4(49] | 222.7(2) | 222.4(4) |
| Ru(1)–B(1) | 220(1) | 222.4(4) [220.1(4)] | 220.6(2) | 227.9(4) |
| Ru(1)–B(2) | 219(1)) | 227.3(4) [220.5(4)] | 224.0(2) | 227.7(4) |
| Ru(1)–B(3) | 221.5(9) | 223.4(4) [223.6(4)] | 224.0(2) | 220.6(5) |
| Ru(1)–C(3) | 185(1) | 185.6(4) [183.5(4)] | 184.6(2) | 186.6(4) |
| Ru(1)–N(1) | 212.9(8) | 210.5(3) [211.6(3)] | 212.2(1) | 209.3(3) |
| Ru(1)–N(2) | 213.6(7) | 212.4(3) [212.2(3)] | 211.9(1) | 213.5(3) |
| N(1)···N(2) | 261(1) | 262.5(5) [262.3(4)] | 262.8(2) | 261.0(5) |
| C(3)–O(1) | 115(1) | 114.7(4) [114.6(4)] | 115.0(2) | 115.4(5) |
| N(1)–Ru(1)–C(3) | 90.9(4) | 91.5(1) [94.9(2)] | 93.9(1) | 90.1(2) |
| N(2)–Ru(1)–C(3) | 91.0(4) | 95.5(1) [94.0(1)] | 92.2(1) | 92.0(1) |
| N(1)–Ru(1)–N(2) | 75.5(3) | 76.7(1) [76.5(1)] | 76.6(1) | 76.3(1) |
| Ru(1)–C(3)–O(1) | 176.4(9) | 173.4(3) [174.1(4)] | 173.8(2) | 175.3(4) |
© 2020 by the authors. Licensee MDPI, Basel, Switzerland. This article is an open access article distributed under the terms and conditions of the Creative Commons Attribution (CC BY) license (http://creativecommons.org/licenses/by/4.0/).
Share and Cite
Kellert, M.; Sárosi, I.; Rajaratnam, R.; Meggers, E.; Lönnecke, P.; Hey-Hawkins, E. Ruthenacarborane–Phenanthroline Derivatives as Potential Metallodrugs. Molecules 2020, 25, 2322. https://doi.org/10.3390/molecules25102322
Kellert M, Sárosi I, Rajaratnam R, Meggers E, Lönnecke P, Hey-Hawkins E. Ruthenacarborane–Phenanthroline Derivatives as Potential Metallodrugs. Molecules. 2020; 25(10):2322. https://doi.org/10.3390/molecules25102322
Chicago/Turabian StyleKellert, Martin, Imola Sárosi, Rajathees Rajaratnam, Eric Meggers, Peter Lönnecke, and Evamarie Hey-Hawkins. 2020. "Ruthenacarborane–Phenanthroline Derivatives as Potential Metallodrugs" Molecules 25, no. 10: 2322. https://doi.org/10.3390/molecules25102322
APA StyleKellert, M., Sárosi, I., Rajaratnam, R., Meggers, E., Lönnecke, P., & Hey-Hawkins, E. (2020). Ruthenacarborane–Phenanthroline Derivatives as Potential Metallodrugs. Molecules, 25(10), 2322. https://doi.org/10.3390/molecules25102322

