Clerodane Diterpenoids from Callicarpa hypoleucophylla and Their Anti-Inflammatory Activity
Abstract
1. Introduction
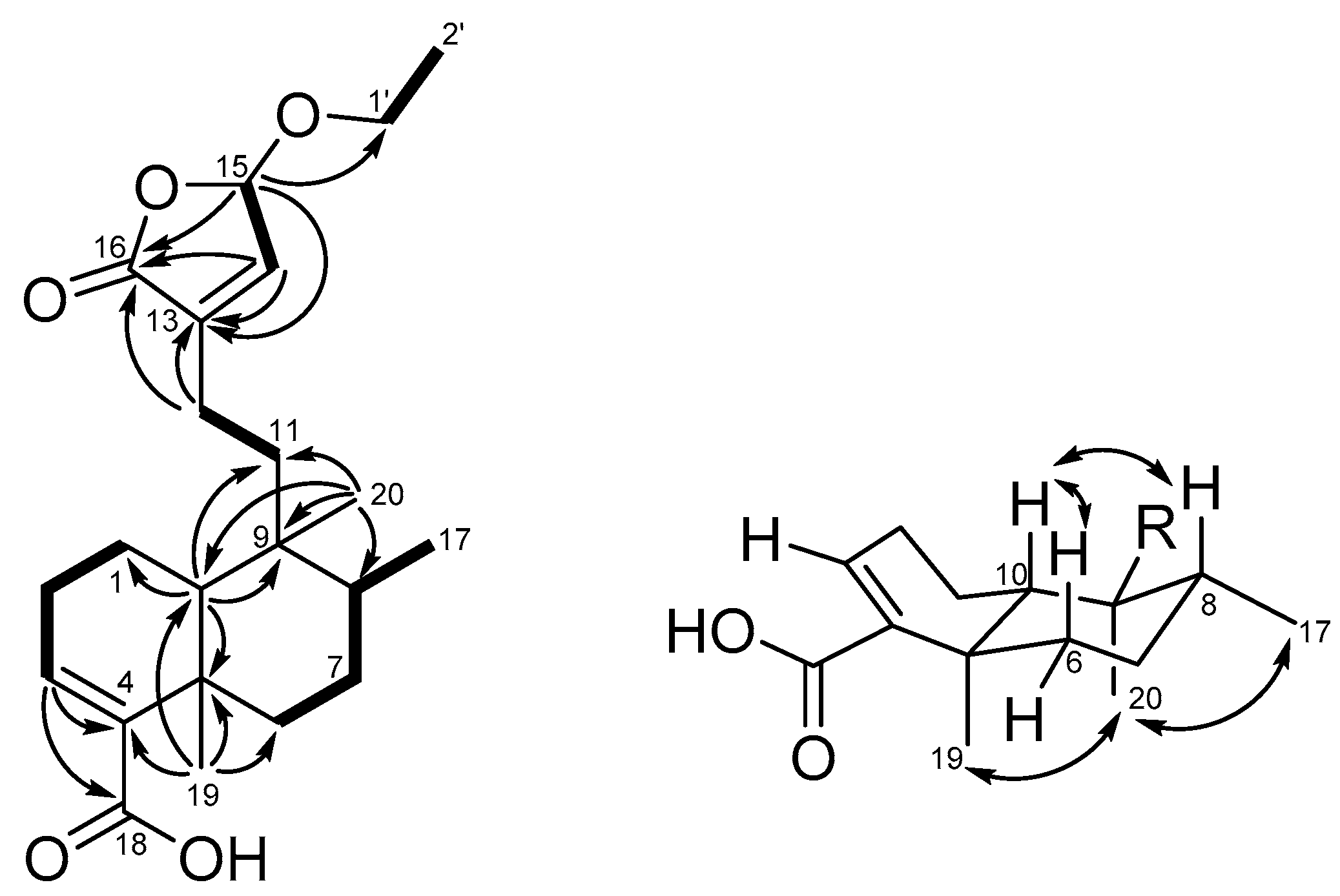
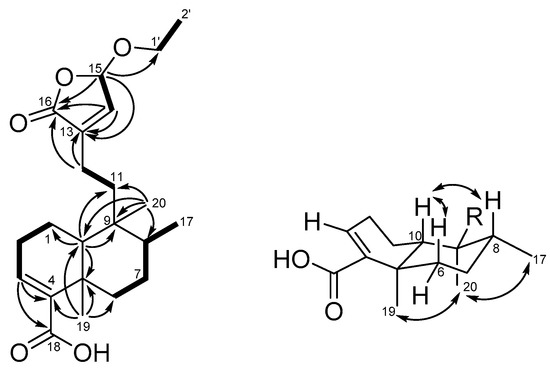
2. Results and Discussion
3. Experimental
3.1. General
3.2. Plant Material
3.3. Extraction and Isolation
3.4. Spectroscopic Data
3.5. Superoxide Anion Generation and Elastase Release Assays by Human Neutrophils
3.6. Cytotoxicity Test
4. Conclusions
Supplementary Materials
Author Contributions
Funding
Conflicts of Interest
References
- Tu, Y.; Sun, L.; Guo, M.; Chen, W. The medicinal uses of Callicarpa, L. in traditional Chinese medicine: An ethnopharmacological, phytochemical and pharmacological review. J. Ethnopharmacol. 2013, 146, 465–481. [Google Scholar] [CrossRef] [PubMed]
- Kawazu, K.; Inaba, M.; Mitsui, T. Studies on fish-killing components of Callicarpa candicans. Agr. Biol. Chem. 1967, 31, 494–497. [Google Scholar]
- Cantrell, C.L.; Klun, J.A.; Bryson, C.T.; Kobaisy, M.; Duke, S.O. Isolation and identification of mosquito bite deterrent terpenoids from leaves of American (Callicarpa americana) and Japanese (Callicarpa japonica) beautyberry. J. Agric. Food Chem. 2005, 53, 5948–5953. [Google Scholar] [CrossRef] [PubMed]
- Zhang, L.; Dong, L.; Huang, J.; Liu, M.; Li, G.; Zhang, C.; Zhang, K.; Wang, J. 3,4-seco-Labdane diterpenoids from the leaves of Callicarpa nudiflora and their inhibitory effects on nitric oxide production. Fitoterapia 2013, 89, 218–223. [Google Scholar] [CrossRef]
- Dong, L.; Zhang, L.; Zhang, X.; Liu, M.; Wang, J.; Wang, Y. Two new 3,4-seco-labdane diterpenoids from Callicarpa nudiflora and their inhibitory activities against nitric oxide production. Phytochem. Lett. 2014, 10, 127–131. [Google Scholar] [CrossRef]
- Cheng, H.H.; Cheng, Y.B.; Hwang, T.L.; Kuo, Y.H.; Chen, C.H.; Shen, Y.C. Randainins A–D, based on unique diterpenoid architectures, from Callicarpa randaiensis. J. Nat. Prod. 2015, 78, 1823–1828. [Google Scholar] [CrossRef]
- Zhou, Z.; Wei, X.; Fu, H.; Luo, Y. Chemical constituents of Callicarpa nudiflora and their anti-platelet aggregation activity. Fitoterapia 2013, 88, 91–95. [Google Scholar] [CrossRef]
- Wu, A.Z.; Zhai, Y.J.; Zhao, Z.X.; Zhang, C.X.; Lin, C.Z.; Zhu, C.C. Phenylethanoid glycosides from the stems of Callicarpa peii (hemostatic drug). Fitoterapia 2013, 84, 237–241. [Google Scholar] [CrossRef]
- Luo, Y.H.; Zhou, Z.Q.; Ma, S.C.; Fu, H.Z. Three new antioxidant furofuran lignans from Callicarpa nudiflora. Phytochem. Lett. 2014, 7, 194–197. [Google Scholar] [CrossRef]
- Cai, H.; Xie, Z.; Liu, G.; Sun, X.; Peng, G.; Lin, B.; Liao, Q. Isolation, identification and activities of natural antioxidants from Callicarpa kwangtungensis Chun. PLoS ONE 2014, 9, e93000. [Google Scholar] [CrossRef]
- Jones, W.P.; Lobo-Echeverri, T.; Mi, Q.; Chai, H.B.; Soejarto, D.D.; Cordell, G.A.; Swanson, S.M.; Kinghorn, A.D. Cytotoxic constituents from the fruiting branches of Callicarpa Americana collected in southern Florida. J. Nat. Prod. 2007, 70, 372–377. [Google Scholar] [CrossRef] [PubMed]
- Mei, W.L.; Han, Z.; Cui, H.B.; Zhao, Y.X.; Deng, Y.Y.; Dai, H.F. A new cytotoxic iridoid from Callicarpa nudiflora. Nat. Prod. Res. 2010, 24, 899–904. [Google Scholar] [CrossRef] [PubMed]
- Xu, J.; Sun, Y.; Wang, M.; Ren, Q.; Li, S.; Wang, H.; Sun, X.; Jin, D.Q.; Sun, H.; Ohizumi, Y.; et al. Bioactive diterpenoids from the leaves of Callicarpa macrophylla. J. Nat. Prod. 2015, 78, 1563–1569. [Google Scholar] [CrossRef] [PubMed]
- Chen, J.J.; Wu, H.M.; Peng, C.F.; Chen, I.S.; Chu, S.D. seco-Abietane diterpenoids, a phenylethanoid derivative, and antitubercular constituents from Callicarpa pilosissima. J. Nat. Prod. 2009, 72, 223–228. [Google Scholar] [CrossRef] [PubMed]
- Huang, B.; Fu, H.Z.; Chen, W.K.; Luo, Y.H.; Ma, S.C. Hepatoprotective triterpenoid saponins from Callicarpa nudiflora. Chem. Pharm. Bull. 2014, 62, 695–699. [Google Scholar] [CrossRef] [PubMed]
- Luo, Y.H.; Fu, H.Z.; Huang, B.; Chen, W.K.; Ma, S.C. Hepatoprotective iridoid glucosides from Callicarpa nudiflora. J. Asian. Nat. Prod. Res. 2016, 18, 274–279. [Google Scholar] [CrossRef]
- Chung, P.Y.; Chung, L.Y.; Navaratnam, P. Potential targets by pentacyclic triterpenoids from Callicarpa farinosa against methicillin-resistant and sensitive. Staphylococcus aureus. Fitoterapia 2014, 94, 48–54. [Google Scholar] [CrossRef]
- Gupta, S.K.; Gupta, A.; Gupta, A.K.; Pakash, D.V. In vitro anti-arthritic activity of ethanolic extract of Callicarpa Macrophylla flower. Int. Res. J. Pharm. 2013, 4, 160–162. [Google Scholar] [CrossRef]
- Yadav, V.; Jayalakshmi, S.; Singla, R.K.; Patra, A.; Khan, S. Assessment of anti-inflammatory and analgesic activities of Callicarpa macrophylla Vahl. roots extracts. Webmed Cent. Pharmacol. 2012, 3, WMC003366. [Google Scholar]
- Ahmad, V.U.; Farooq, U.; Abbaskhan, A.; Hussain, J.; Abbasi, M.A.; Nawaz, S.A.; Choudhary, M.I. Four new diterpenoids from Ballota limbata. Helv. Chim. Acta. 2004, 87, 682–689. [Google Scholar] [CrossRef]
- Pinto, M.E.F.; Silva, M.S.D.; Schindler, E.; Filho, J.M.B.; El-Bachá, R.D.S.; Castello-Branco, M.V.S.; Agra, M.D.F.; Tavares, J.F. 3′,8"-Biisokaempferide, a cytotoxic biflavonoid and other chemical constituents of Nanuza plicata (Velloziaceae). J. Braz. Chem. Soc. 2010, 21, 1819–1824. [Google Scholar] [CrossRef]
- Farooq, U.; Khan, A.; Ahmad, V.U.; Kousar, F.; Iqbal, S. Limbatolide F and G: Two new trans-clerodane diterpenoids from Otostegia limbata. Pol. J. Chem. 2005, 79, 1757–1762. [Google Scholar] [CrossRef]
- Ahmad, V.U.; Khan, A.; Farooq, U.; Kousar, F.; Khan, S.S.; Nawaz, S.A.; Abbasi, M.A.; Choudhary, M.I. Three new cholinesterase-inhibiting cis-clerodane diterpenoids from Otostegia limbata. Chem. Pharm. Bull. 2005, 53, 378–381. [Google Scholar] [CrossRef] [PubMed]
- Iqbal Choudhary, M.; Mohammad, M.Y.; Musharraf, S.G.; Onajobi, I.; Mohammad, A.; Anis, I.; Shah, M.R.; Atta-Ur-Rahman. Biotransformation of clerodane diterpenoids by Rhizopus stolonifer and antibacterial activity of resulting metabolites. Phytochemistry 2013, 90, 56–61. [Google Scholar] [CrossRef] [PubMed]
- Raha, P.; Das, A.K.; Adityachaudhuri, N.; Majumder, P.L. Cleroinermin, aneo-clerodane diterpenoid from Clerodendron inermi. Phytochemistry 1991, 30, 3812–3814. [Google Scholar] [CrossRef]
- Huang, Z.; Jiang, M.Y.; Zhou, Z.Y.; Xu, D. Two new clerodane diterpenes from Dodonaea viscosa. Z. Naturforsch. 2010, 65b, 83–86. [Google Scholar] [CrossRef]
- Song, B.; Ding, G.; Tian, X.H.; Li, L.; Zhou, C.; Zhang, Q.B.; Wang, M.H.; Zhang, T.; Zou, Z.M. Anti-HIV-1 integrase diterpenoids from Dichrocephala benthamii. Phytochem. Lett. 2015, 14, 249–253. [Google Scholar] [CrossRef]
- Rustaiyan, A.; Simozar, E.; Ahmadi, A.; Grenz, M.; Bohlmann, F. A hardwickiic acid derivative from Pulicaria gnaphalodes. Phytochemistry 1981, 20, 2772–2773. [Google Scholar] [CrossRef]
- Heymann, H.; Tezuka, Y.; Kikuchi, T.; Supriyatna, S. Constituents of Sindora sumatrana MIQ. III. new trans-clerodane diterpenoids from the dried pods. Chem. Pharm. Bull. 1994, 42, 1202–1207. [Google Scholar] [CrossRef]
- García, A.; Ramírez-Apan, T.; Cogordan, J.A.; Delgado, G. Absolute configuration assignments by experimental and theoretical approaches of ent-labdane- and cis-ent-clerodane-type diterpenes isolated from Croton glabellus. Can. J. Chem. 2006, 84, 1593–1602. [Google Scholar] [CrossRef]
- Chang, F.R.; Huang, S.T.; Liaw, C.C.; Yen, M.H.; Hwang, T.L.; Chen, C.Y.; Hou, M.F.; Yuan, S.S.; Cheng, Y.B.; Wu, Y.C. Diterpenes from Grangea maderaspatana. Phytochemistry 2016, 131, 124–129. [Google Scholar] [CrossRef] [PubMed]
- Calderón, C.; De Ford, C.; Castro, V.; Merfort, I.; Murillo, R. Cytotoxic clerodane diterpenes from Zuelania guidonia. J. Nat. Prod. 2014, 77, 455–463. [Google Scholar] [CrossRef] [PubMed]
- Oberlies, N.H.; Burgess, J.P.; Navarro, H.A.; Pinos, R.E.; Fairchild, C.R.; Peterson, R.W.; Soejarto, D.D.; Farnsworth, N.R.; Kinghorn, A.D.; Wani, M.C.; et al. Novel bioactive clerodane diterpenoids from the leaves and twigs of Casearia sylvestris. J. Nat. Prod. 2002, 65, 95–99. [Google Scholar] [CrossRef] [PubMed]
- Tokoroyama, T. Synthesis of clerodane diterpenoids and related compounds-stereoselective construction of the decalin skeleton with multiple contiguous stereogenic centers. Synthesis 2000, 5, 611–633. [Google Scholar] [CrossRef]
- Wu, T.H.; Cheng, Y.Y.; Liou, J.R.; Way, T.D.; Chen, C.J.; Chen, Y.H.; Kuo, S.C.; El-Shazly, M.; Chang, F.R.; Wu, Y.C.; et al. Clerodane diterpenes from Polyalthia longifolia var. pendula protect SK-N-MC human neuroblastoma cells from β-amyloid insult. RSC Adv. 2014, 4, 23707–23712. [Google Scholar] [CrossRef]
- Itokawa, H.; Morita, H.; Katou, I.; Takeya, K.; Cavalheiro, A.J.; de Oliveira, R.C.; Ishige, M.; Motidome, M. Cytotoxic diterpenes from the rhizomes of Hedychium coronarium. Planta Med. 1988, 54, 311–315. [Google Scholar] [CrossRef]
- Liu, F.C.; Yu, H.P.; Chen, P.J.; Yang, H.W.; Chang, S.H.; Tzeng, C.C.; Cheng, W.J.; Chen, Y.R.; Chen, Y.L.; Hwang, T.L. A novel NOX2 inhibitor attenuates human neutrophil oxidative stress and ameliorates inflammatory arthritis in mice. Redox Biol. 2019, 26, 101273. [Google Scholar] [CrossRef]
- Chang, F.R.; Hwang, T.L.; Yang, Y.L.; Li, C.E.; Wu, C.C.; Issa, H.H.; Hsieh, W.B.; Wu, Y.C. Anti-inflammatory and cytotoxic diterpenes from formosan Polyalthia longifolia var. pendula. Planta Med. 2006, 72, 1344–1347. [Google Scholar] [CrossRef]
- Chang, H.L.; Chang, F.R.; Chen, J.S.; Wang, H.P.; Wu, Y.H.; Wang, C.C.; Wu, Y.C.; Hwang, T.L. Inhibitory effects of 16-hydroxycleroda-3,13(14)E-dien-15-oic acid on superoxide anion and elastase release in human neutrophils through multiple mechanisms. Eur. J. Pharmacol. 2008, 31, 332–339. [Google Scholar] [CrossRef]
- Yang, S.C.; Chung, P.J.; Ho, C.M.; Kuo, C.Y.; Hung, M.F.; Huang, Y.T.; Chang, W.Y.; Chang, Y.W.; Chan, K.H.; Hwang, T.L. Propofol inhibits superoxide production, elastase release, and chemotaxis in formyl peptide-activated human neutrophils by blocking formyl peptide receptor 1. J. Immunol. 2013, 190, 6511–6519. [Google Scholar] [CrossRef]
Sample Availability: Samples of the compounds are available from the authors. |




| 1 a | 2 b | |||
|---|---|---|---|---|
| Position | δH Mult. (J in Hz) | δC, Type | δH Mult. (J in Hz) | δC, Type |
| 1 | 2.56 (dd, 18.0, 14.2) | 34.4, CH2 | 1.46 (m) | 17.3, CH2 |
| 2.43 (dd, 18.0, 3.5) | 1.66 (m) | |||
| 2 | 199.0, C | 2.27 (m) | 27.4, CH2 | |
| 3 | 5.96 (s) | 126.6, CH | 6.85 (m) | 140.3, CH |
| 4 | 160.4, C | 141.2, C | ||
| 5 | 45.5, C | 37.5, C | ||
| 6 | 3.84 (dd, 12.6, 4.4) | 72.5, CH | 2.44 (m) | 35.7, CH2 |
| 1.14 (m) | ||||
| 7 | 1.70 (dt, 12.6, 4.4) | 36.1, CH2 | 1.46 (m) | 27.2, CH2 |
| 1.61 (m) | 1.42 (m) | |||
| 8 | 1.76 (m) | 34.5, CH | 1.50 (m) | 36.2, CH |
| 9 | 38.5, C | 38.7, C | ||
| 10 | 2.00 (dd, 14.2, 3.5) | 44.9, CH | 1.32 (d, 11.6) | 46.6, CH |
| 11 | 1.61 (m) | 34.8, CH2 | 1.50 (m) | 35.7, CH2 |
| 1.47 (m) | 1.66 (m) | |||
| 12 | 2.19 (m) | 18.7, CH2 | 2.20 (m) | 18.9, CH2 |
| 2.00 (tm, 13.0) | 2.03 (m) | |||
| 13 | 134.0, C | 139.0, C | ||
| 14 | 7.09 (quin, 1.7) | 143.9, CH | 6.76 (quin, 1.2) | 141.4, CH |
| 15 | 4.77 (dd, 3.9, 1.7) | 70.2, CH2 | 5.79 (brd, 1.2) | 101.6, CH |
| 16 | 174.0, C | 171.5, C | ||
| 17 | 0.90 (d, 6.8) | 15.3, CH3 | 0.81 (d, 6.2) | 15.9, CH3 |
| 18 | 169.8, C | 172.3, C | ||
| 19 | 1.33 (s) | 14.0, CH3 | 1.23 (s) | 20.5, CH3 |
| 20 | 0.84 (s) | 17.3, CH3 | 0.76 (s) | 18.2, CH3 |
| 1′ | 3.81 (s) | 52.8, CH3 | 3.94 (m) | 66.0, CH2 |
| 3.74 (m) | ||||
| 2′ | 1.27 (t, 7.1) | 15.0, CH3 | ||
| Compound | Superoxide Anion | Elastase Release | ||
|---|---|---|---|---|
| Inh % | Inh % | |||
| 1 | 20.28 ± 5.98 | * | 8.26 ± 3.72 | |
| 2 | 32.19 ± 6.92 | ** | 17.55 ± 2.64 | *** |
| 3 | 31.19 ± 5.99 | ** | 12.15 ± 2.38 | *** |
| 4 | 32.88 ± 4.41 | *** | 13.57 ± 1.48 | *** |
| 5 | 23.65 ± 7.67 | * | 7.33 ± 1.56 | ** |
| 6 | 8.44 ± 6.40 | 10.50 ± 3.23 | * | |
| 7 | 7.93 ± 5.86 | 9.30 ± 2.91 | * | |
| 8 | 15.23 ± 6.37 | 11.80 ± 3.55 | * | |
| 9 | 18.80 ± 7.82 | 16.30 ± 3.74 | ** | |
| Genistein a | 89.00 ± 3.00 | *** | 22.79 ± 2.25 | *** |
© 2020 by the authors. Licensee MDPI, Basel, Switzerland. This article is an open access article distributed under the terms and conditions of the Creative Commons Attribution (CC BY) license (http://creativecommons.org/licenses/by/4.0/).
Share and Cite
Lin, Y.-C.; Lin, J.-J.; Chen, S.-R.; Hwang, T.-L.; Fang, S.-Y.; Korinek, M.; Chen, C.-Y.; Lin, Y.-S.; Wu, T.-Y.; Yen, M.-H.; et al. Clerodane Diterpenoids from Callicarpa hypoleucophylla and Their Anti-Inflammatory Activity. Molecules 2020, 25, 2288. https://doi.org/10.3390/molecules25102288
Lin Y-C, Lin J-J, Chen S-R, Hwang T-L, Fang S-Y, Korinek M, Chen C-Y, Lin Y-S, Wu T-Y, Yen M-H, et al. Clerodane Diterpenoids from Callicarpa hypoleucophylla and Their Anti-Inflammatory Activity. Molecules. 2020; 25(10):2288. https://doi.org/10.3390/molecules25102288
Chicago/Turabian StyleLin, Yu-Chi, Jue-Jun Lin, Shu-Rong Chen, Tsong-Long Hwang, Shu-Yen Fang, Michal Korinek, Ching-Yeu Chen, Yun-Sheng Lin, Tung-Ying Wu, Ming-Hong Yen, and et al. 2020. "Clerodane Diterpenoids from Callicarpa hypoleucophylla and Their Anti-Inflammatory Activity" Molecules 25, no. 10: 2288. https://doi.org/10.3390/molecules25102288
APA StyleLin, Y.-C., Lin, J.-J., Chen, S.-R., Hwang, T.-L., Fang, S.-Y., Korinek, M., Chen, C.-Y., Lin, Y.-S., Wu, T.-Y., Yen, M.-H., Wang, C.-H., & Cheng, Y.-B. (2020). Clerodane Diterpenoids from Callicarpa hypoleucophylla and Their Anti-Inflammatory Activity. Molecules, 25(10), 2288. https://doi.org/10.3390/molecules25102288

