Surface Structuring Combined with Chemical Surface Functionalization: An Effective Tool to Manipulate Cell Adhesion
Abstract
1. Introduction
2. Results
2.1. Surface Design and Fabrication
2.2. Physical Surface Characterization
2.2.1. Atomic Force Microscopy
2.2.2. Contact Angle Measurements
2.2.3. Protein Adhesion Studies by Surface Plasmon Resonance Spectroscopy
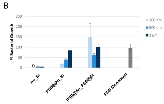
2.3. Biological Surface Characterization
3. Discussion
4. Materials and Methods
4.1. Surface Structuring and Functionalization
4.2. Surface Characterization
4.2.1. Atomic Force Microscopy
4.2.2. Contact Angle Measurements
4.2.3. Surface Plasmon Resonance Spectroscopy
4.3. Biological Assays
4.3.1. Antimicrobial Activity Assay
4.3.2. Optical Microscopy and Alamar Blue Assay
4.3.3. Live-Dead Staining of Keratinocytes Grown on Structured Functionalized Surfaces
5. Conclusions
Supplementary Materials
Author Contributions
Funding
Acknowledgments
Conflicts of Interest
References
- Armentano, I.; Fortunati, E.; Mattioli, S.; Arciola Carla, R.; Ferrari, D.; Amoroso Concetta, F.; Rizzo, J.; Kenny Jose, M.; Imbriani, M.; Visai, L. The interaction of bacteria with engineered nanostructured polymeric materials: A review. Sci. World. J. 2014, 2014, 410423. [Google Scholar] [CrossRef] [PubMed]
- Arima, Y.; Kato, K.; Teramura, Y.; Iwata, H. Design of biointerfaces for regenerative medicine. Adv. Polym. Sci. 2012, 247, 167–200. [Google Scholar]
- Prucker, O.; Brandstetter, T.; Rühe, J. Surface-attached hydrogel coatings via c,h-insertion crosslinking for biomedical and bioanalytical applications (review). Biointerphases 2017, 13, 010801. [Google Scholar] [CrossRef] [PubMed]
- Diaz, C.; Schilardi, P.L.; Salvarezza, R.C.; Fernandez Lorenzo de Mele, M. Nano/microscale order affects the early stages of biofilm formation on metal surfaces. Langmuir 2007, 23, 11206–11210. [Google Scholar] [CrossRef] [PubMed]
- Krishnan, S.; Weinman, C.J.; Ober, C.K. Advances in polymers for anti-biofouling surfaces. J. Mater. Chem. 2008, 18, 3405–3413. [Google Scholar] [CrossRef]
- Hetrick, E.M.; Schoenfisch, M.H. Reducing implant-related infections: Active release strategies. Chem. Soc. Rev. 2006, 35, 780–789. [Google Scholar] [CrossRef] [PubMed]
- Riga, E.K.; Vöhringer, M.; Widyaya, V.T.; Lienkamp, K. Polymer-based surfaces designed to reduce biofilm formation: From antimicrobial polymers to strategies for long-term applications. Macromol. Rapid Commun. 2017, 38, 1700216. [Google Scholar] [CrossRef] [PubMed]
- Siedenbiedel, F.; Tiller, J.C. Antimicrobial polymers in solution and on surfaces: Overview and functional principles. Polymers 2012, 4, 46–71. [Google Scholar] [CrossRef]
- Banerjee, I.; Pangule, R.C.; Kane, R.S. Antifouling coatings: Recent developments in the design of surfaces that prevent fouling by proteins, bacteria, and marine organisms. Adv. Mater. 2011, 23, 690–718. [Google Scholar] [CrossRef] [PubMed]
- Gristina, A.G. Biomaterial-centered infection: Microbial adhesion versus tissue integration. Science 1987, 237, 1588–1595. [Google Scholar] [CrossRef] [PubMed]
- Subbiahdoss, G.; Grijpma, D.W.; van der Mei, H.C.; Busscher, H.J.; Kuijer, R. Microbial biofilm growth versus tissue integration on biomaterials with different wettabilities and a polymer-brush coating. J. Biomed. Mater. Res. Part A 2010, 94A, 533–538. [Google Scholar] [CrossRef] [PubMed]
- Busscher, H.J.; van der Mei, H.C.; Subbiahdoss, G.; Jutte, P.C.; van den Dungen, J.J.A.M.; Zaat, S.A.J.; Schultz, M.J.; Grainger, D.W. Biomaterial-associated infection: Locating the finish line in the race for the surface. Sci. Transl. Med. 2012, 4, 153rv10. [Google Scholar] [CrossRef] [PubMed]
- Prucker, O.; Naumann, C.A.; Ruehe, J.; Knoll, W.; Frank, C.W. Photochemical attachment of polymer films to solid surfaces via monolayers of benzophenone derivatives. J. Am. Chem. Soc. 1999, 121, 8766–8770. [Google Scholar] [CrossRef]
- Gianneli, M.; Roskamp, R.F.; Jonas, U.; Loppinet, B.; Fytas, G.; Knoll, W. Dynamics of swollen gel layers anchored to solid surfaces. Soft Matter 2008, 4, 1443–1447. [Google Scholar] [CrossRef]
- Zou, P.; Hartleb, W.; Lienkamp, K. It takes walls and knights to defend a castle—Synthesis of surface coatings from antimicrobial and antibiofouling polymers. J. Mater. Chem. 2012, 22, 19579–19589. [Google Scholar] [CrossRef]
- Riga, E.K.; Saar, J.S.; Erath, R.; Hechenbichler, M.; Lienkamp, K. On the limits of benzophenone as cross-linker for surface-attached polymer hydrogels. Polymers 2017, 9, 686. [Google Scholar] [CrossRef]
- Kurowska, M.; Eickenscheidt, A.; Guevara-Solarte, D.L.; Widyaya, V.T.; Marx, F.; Al-Ahmad, A.; Lienkamp, K. A simultaneously antimicrobial, protein-repellent and cell-compatible polyzwitterion network. Biomacromolecules 2017, 18, 1373–1386. [Google Scholar] [CrossRef] [PubMed]
- Knoll, W. Interfaces and thin films as seen by bound electromagnetic waves. Annu. Rev. Phys. Chem. 1998, 49, 569–638. [Google Scholar] [CrossRef] [PubMed]
- Green, T.A. Gold etching for microfabrication. Gold Bull. 2014, 47, 205–216. [Google Scholar] [CrossRef]
- Glinel, K.; Thebault, P.; Humblot, V.; Pradier, C.M.; Jouenne, T. Antibacterial surfaces developed from bio-inspired approaches. Acta Biomater. 2012, 8, 1670–1684. [Google Scholar] [CrossRef] [PubMed]
- Anselme, K.; Davidson, P.; Popa, A.M.; Giazzon, M.; Liley, M.; Ploux, L. The interaction of cells and bacteria with surfaces structured at the nanometre scale. Acta Biomater. 2010, 6, 3824–3846. [Google Scholar] [CrossRef] [PubMed]
- Ploux, L.; Ponche, A.; Anselme, K. Bacteria/material interfaces: Role of the material and cell wall properties. J. Adhes. Sci. Technol. 2010, 24, 2165–2201. [Google Scholar] [CrossRef]
- Truong, V.K.; Rundell, S.; Lapovok, R.; Estrin, Y.; Wang, J.Y.; Berndt, C.C.; Barnes, D.G.; Fluke, C.J.; Crawford, R.J.; Ivanova, E.P. Effect of ultrafine-grained titanium surfaces on adhesion of bacteria. Appl. Microbiol. Biotechnol. 2009, 83, 925–937. [Google Scholar] [CrossRef] [PubMed]
- Crawford, R.J.; Webb, H.K.; Truong, V.K.; Hasan, J.; Ivanova, E.P. Surface topographical factors influencing bacterial attachment. Adv. Colloid Interface Sci. 2012, 179–182, 142–149. [Google Scholar] [CrossRef] [PubMed]
- Ivanova, E.P.; Hasan, J.; Webb, H.K.; Truong, V.K.; Watson, G.S.; Watson, J.A.; Baulin, V.A.; Pogodin, S.; Wang, J.Y.; Tobin, M.J.; et al. Natural bactericidal surfaces: Mechanical rupture of pseudomonas aeruginosa cells by cicada wings. Small 2012, 8, 2489–2494. [Google Scholar] [CrossRef] [PubMed]
- Ivanova, E.P.; Hasan, J.; Webb, H.K.; Gervinskas, G.; Juodkazis, S.; Truong, V.K.; Wu, A.H.F.; Lamb, R.N.; Baulin, V.A.; Watson, G.S.; et al. Bactericidal activity of black silicon. Nat. Commun. 2013, 4, 2838. [Google Scholar] [CrossRef] [PubMed]
- May, R.M.; Magin, C.M.; Mann, E.E.; Drinker, M.C.; Fraser, J.C.; Reddy, S.T.; Siedlecki, C.A.; Brennan, A.B. An engineered micropattern to reduce bacterial colonization, platelet adhesion and fibrin sheath formation for improved biocompatibility of central venous catheters. Clin. Transl. Med. 2015, 4, 9. [Google Scholar] [CrossRef] [PubMed]
- Reddy, S.T.; Chung, K.K.; McDaniel, C.J.; Darouiche, R.O.; Landman, J.; Brennan, A.B. Micropatterned surfaces for reducing the risk of catheter-associated urinary tract infection: An in vitro study on the effect of sharklet micropatterned surfaces to inhibit bacterial colonization and migration of uropathogenic escherichia coli. J. Endourol./Endourol. Soc. 2011, 25, 1547–1552. [Google Scholar] [CrossRef] [PubMed]
- Perera-Costa, D.; Bruque, J.M.; González-Martín, M.L.; Gómez-García, A.C.; Vadillo-Rodríguez, V. Studying the influence of surface topography on bacterial adhesion using spatially organized microtopographic surface patterns. Langmuir 2014, 30, 4633–4641. [Google Scholar] [CrossRef] [PubMed]
- Vöhringer, M.; Hartleb, W.; Lienkamp, K. Surface structuring meets orthogonal chemical modifications: Toward a technology platform for site-selectively functionalized polymer surfaces and biomems. ACS Biomater. Sci. Eng. 2017, 3, 909–921. [Google Scholar] [CrossRef]
- Al-Ahmad, A.; Laird, D.; Zou, P.; Tomakidi, P.; Steinberg, T.; Lienkamp, K. Nature-inspired antimicrobial polymers—Assessment of their potential for biomedical applications. PLoS ONE 2013, 8, e73812. [Google Scholar] [CrossRef] [PubMed]
- Zou, P.; Laird, D.; Riga, E.K.; Deng, Z.; Perez-Hernandez, H.-R.; Guevara-Solarte, D.L.; Steinberg, T.; Al-Ahmad, A.; Lienkamp, K. Antimicrobial and cell-compatible surface-attached polymer networks—How the correlation of chemical structure to physical and biological data leads to a modified mechanism of action. J. Mater. Chem. B Mater. Biol. Med. 2015, 3, 6224–6238. [Google Scholar] [CrossRef]
- Al-Ahmad, A.; Zou, P.; Guevara-Solarte, D.L.; Hellwig, E.; Steinberg, T.; Lienkamp, K. Development of a standardized and safe airborne antibacterial assay, and its evaluation on antibacterial biomimetic model surfaces. PLoS ONE 2014, 9, e111357. [Google Scholar] [CrossRef] [PubMed]
- Burmeister, F.; Schaefle, C.; Matthes, T.; Boehmisch, M.; Boneberg, J.; Leiderer, P. Colloid monolayers as versatile lithographic masks. Langmuir 1997, 13, 2983–2987. [Google Scholar] [CrossRef]
- Colak, S.; Tew, G.N. Dual-functional romp-based betaines: Effect of hydrophilicity and backbone structure on nonfouling properties. Langmuir 2012, 28, 666–675. [Google Scholar] [CrossRef] [PubMed]
- Colak, S.; Tew, G.N. Amphiphilic polybetaines: The effect of side-chain hydrophobicity on protein adsorption. Biomacromolecules 2012, 13, 1233–1239. [Google Scholar] [CrossRef] [PubMed]
- Kargar, M.; Pruden, A.; Ducker, W.A. Preventing bacterial colonization using colloidal crystals. J. Mater. Chem. B Mater. Biol. Med. 2014, 2, 5962–5971. [Google Scholar] [CrossRef]
- Widyaya, V.T.; Müller, C.; Al-Ahmad, A.; Lienkamp, K. Three-dimensional, bifunctional microstructured polymer hydrogels made from polyzwitterions and antimicrobial polymers. Langmuir 2019, 35, 1211–1226. [Google Scholar] [CrossRef] [PubMed]
- Lorenzetti, M.; Dogsa, I.; Stosicki, T.; Stopar, D.; Kalin, M.; Kobe, S.; Novak, S. The influence of surface modification on bacterial adhesion to titanium-based substrates. ACS Appl. Mater. Interfaces 2015, 7, 1644–1651. [Google Scholar] [CrossRef] [PubMed]
- Goldberg, S.; Doyle, R.J.; Rosenberg, M. Mechanism of enhancement of microbial cell hydrophobicity by cationic polymers. J. Bacteriol. 1990, 172, 5650. [Google Scholar] [CrossRef] [PubMed]










| Sample Type | Contact Angle (°) | ||
|---|---|---|---|
| θstatic | θadvancing | θreceding | |
| Si | 71 ± 1 | 75 ± 3 | 41 ± 3 |
| PSB monolayer | 34 ± 3 | 35 ± 3 | 22 ± 1 |
| SMAMP monolayer | 59 ± 3 | 61 ± 3 | 33 ± 3 |
| Au_Si | |||
| 200 nm | 88 ± 3 | 91 ± 3 | 65 ± 3 |
| 500 nm | 81 ± 1 | 86 ± 2 | 63 ± 1 |
| 1 µm | 73 ± 4 | 74 ± 4 | 66 ± 2 |
| PSB@Au_Si | |||
| 200 nm | 38 ± 3 | 43 ± 2 | 31 ± 2 |
| 500 nm | 53 ± 3 | 70 ± 1 | 42 ± 2 |
| 1 µm | 51 ± 3 | 62 ± 2 | 43 ± 1 |
| PSB@Au_PSB@Si | |||
| 200 nm | 24 ± 3 | 28 ± 2 | 20 ± 1 |
| 500 nm | 40 ± 3 | 36 ± 3 | 27 ± 2 |
| 1 µm | 31 ± 4 | 33 ± 3 | 25 ± 4 |
| SMAMP@Au_Si | |||
| 200 nm | 56 ± 3 | 55 ± 3 | 33 ± 2 |
| 500 nm | 60 ± 2 | 69 ± 2 | 45 ± 1 |
| 1 µm | 63 ± 3 | 71 ± 4 | 47 ± 3 |
| SMAMP@Au_SMAMP@Si | |||
| 200 nm | 48 ± 1 | 42 ± 4 | 29 ± 4 |
| 500 nm | 43 ± 3 | 59 ± 3 | 35 ± 3 |
| 1 µm | 65 ± 1 | 68 ± 4 | 45 ± 4 |
| Sample | Adhered Fibrinogen (ng mm−2) |
|---|---|
| PSB monolayer | 11 |
| SiO2_Au, 500 nm | 3.7 |
| PSB@SiO2_Au, 500 nm | 0.2 |
| PSB@SiO2_PSB@Au, 500 nm | 0.0 |
| SMAMP monolayer | 13 |
| SMAMP@SiO2_Au, 500 nm | 2.8 |
| SMAMP@SiO2_SMAMP@Au, 500 nm | 8.0 |
© 2019 by the authors. Licensee MDPI, Basel, Switzerland. This article is an open access article distributed under the terms and conditions of the Creative Commons Attribution (CC BY) license (http://creativecommons.org/licenses/by/4.0/).
Share and Cite
Elsayed, S.M.; Paschke, S.; Rau, S.J.; Lienkamp, K. Surface Structuring Combined with Chemical Surface Functionalization: An Effective Tool to Manipulate Cell Adhesion. Molecules 2019, 24, 909. https://doi.org/10.3390/molecules24050909
Elsayed SM, Paschke S, Rau SJ, Lienkamp K. Surface Structuring Combined with Chemical Surface Functionalization: An Effective Tool to Manipulate Cell Adhesion. Molecules. 2019; 24(5):909. https://doi.org/10.3390/molecules24050909
Chicago/Turabian StyleElsayed, Sarah M., Stefan Paschke, Sibylle J. Rau, and Karen Lienkamp. 2019. "Surface Structuring Combined with Chemical Surface Functionalization: An Effective Tool to Manipulate Cell Adhesion" Molecules 24, no. 5: 909. https://doi.org/10.3390/molecules24050909
APA StyleElsayed, S. M., Paschke, S., Rau, S. J., & Lienkamp, K. (2019). Surface Structuring Combined with Chemical Surface Functionalization: An Effective Tool to Manipulate Cell Adhesion. Molecules, 24(5), 909. https://doi.org/10.3390/molecules24050909

