Succinylation Improves the Thermal Stability of Egg White Proteins
Abstract
1. Introduction
2. Results and Discussion
2.1. Determination of Succinylation Degree
2.2. Turbidity
2.3. Differential Scanning Calorimetry (DSC)
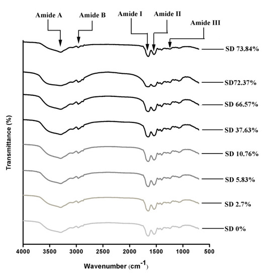
2.4. FTIR Spectroscopy
2.5. Surface Hydrophobicity
2.6. Intrinsic Fluorescence Spectra
2.7. Zeta Potential
2.8. Transmission Electron Microscope (TEM)
3. Materials and Methods
3.1. Materials
3.2. Preparation of Freeze-Dried EWP Powder
3.3. Succinylation of EWP
3.4. The Determination of Succinylation Degree
3.5. Turbidity
3.6. Differential Thermal Analysis
3.7. Fourier Transform Infrared (FTIR) Spectroscopy
3.8. Surface Hydrophobicity
3.9. Intrinsic Fluorescence Spectroscopy
3.10. Zeta Potential
3.11. Transmission Electron Microscopy (TEM)
3.12. Statistical Analysis
4. Conclusions
Author Contributions
Funding
Acknowledgments
Conflicts of Interest
References
- Nyemb, K.; Guérin-Dubiard, C.; Pézennec, S.; Jardin, J.; Briard-Bion, V.; Cauty, C.; Rutherfurd, S.M.; Dupont, D.; Nau, F. The structural properties of egg white gels impact the extent of in vitro protein digestion and the nature of peptides generated. Food Hydrocoll. 2016, 54, 315–327. [Google Scholar] [CrossRef]
- Nyemb, K.; Guerin-Dubiard, C.; Dupont, D.; Jardin, J.; Rutherfurd, S.M.; Nau, F. The extent of ovalbumin in vitro digestion and the nature of generated peptides are modulated by the morphology of protein aggregates. Food Chem. 2014, 157, 429–438. [Google Scholar] [CrossRef] [PubMed]
- Silva, F.V.M.; Gibbs, P.A. Thermal pasteurization requirements for the inactivation of Salmonella in foods. Food Res. Int. 2012, 45, 695–699. [Google Scholar] [CrossRef]
- Hong, T.; Iwashita, K.; Handa, A.; Shiraki, K. Arginine prevents thermal aggregation of hen egg white proteins. Food Res. Int. 2017, 97, 272–279. [Google Scholar] [CrossRef]
- Singh, A.; Ramaswamy, H.S. High pressure modification of egg components: Exploration of calorimetric, structural and functional characteristics. Innov. Food Sci. Emerg. Technol. 2015, 32, 45–55. [Google Scholar] [CrossRef]
- Kulchaiyawat, C.; Wang, T.; Han, Z. Improving albumen thermal stability using succinylation reaction with octenyl succinic anhydride. LWT-Food Sci. Technol. 2016, 73, 630–639. [Google Scholar] [CrossRef]
- Gounaris, A.D.; Perlmann, G.E. Succinylation of pepsinogen. J. Biol. Chem. 1967, 242, 2739. [Google Scholar]
- Kohara, N.; Kanei, M.; Nakajima, T. Effect of reduction and succinylation on water absorbance of wool fibers. Text. Res. J. 2002, 71, 1095–1098. [Google Scholar] [CrossRef]
- Min, Y.; Ying, S.; Wang, P.; Liu, H.; Wen, P.; Ren, F. Effect of succinylation on the functional properties of yak caseins: A comparison with cow caseins. Dairy Sci. Technol. 2014, 94, 359–372. [Google Scholar]
- Mirmoghtadaie, L.; Kadivar, M.; Shahedi, M. Effects of succinylation and deamidation on functional properties of oat protein isolate. Food Chem. 2009, 114, 127–131. [Google Scholar] [CrossRef]
- Shepherd, R. Food science and Technology. In Food Additives Data Book, 2nd, ed.; Smith, J., Hong-Shun, L., Eds.; Blackwell Publishing Limited Company: Oxford, UK, 2011; pp. 1031–1032. [Google Scholar]
- Kinsella, J.E.; Melachouris, N. Functional properties of proteins in foods: A survey. Crit. Rev. Food Sci. Nutr. 1976, 7, 219–280. [Google Scholar] [CrossRef]
- Shilpashree, B.G.; Arora, S. Effect of succinylation on mineral binding ability of whey proteins and its effect on physicochemical characteristics of proteins. J. Food Meas. Charact. 2018, 12, 1–15. [Google Scholar] [CrossRef]
- Shilpashree, B.G.; Arora, S.; Chawla, P.; Tomar, S.K. Effect of succinylation on physicochemical and functional properties of milk protein concentrate. Food Res. Int. 2015, 72, 223–230. [Google Scholar] [CrossRef]
- Yang, M.; Cui, N.; Fang, Y.; Shi, Y.; Yang, J.; Wang, J. Influence of succinylation on the conformation of yak casein micelles. Food Chem. 2015, 179, 246–252. [Google Scholar] [CrossRef]
- Yang, M.; Yang, J.; Zhang, Y.; Zhang, W. Influence of succinylation on physicochemical property of yak casein micelles. Food Chem. 2016, 190, 836–842. [Google Scholar] [CrossRef] [PubMed]
- Qi, G.; Li, N.; Wang, D.; Sun, X.S. Physicochemical properties of soy protein adhesives modified by 2-octen-1-ylsuccinic anhydride. Ind. Crop. Prod. 2013, 46, 165–172. [Google Scholar] [CrossRef]
- Wan, Y.; Liu, J.; Guo, S. Effects of succinylation on the structure and thermal aggregation of soy protein isolate. Food Chem. 2018, 245, 542–550. [Google Scholar] [CrossRef]
- Yin, S.W.; Tang, C.H.; Wen, Q.B.; Yang, X.Q.; Yuan, D.B. The relationships between physicochemical properties and conformational features of succinylated and acetylated kidney bean (vulgaris L.) protein isolates. Food Res. Int. 2010, 43, 730–738. [Google Scholar] [CrossRef]
- Doyle, J.J.; Schuler, M.A.; Godette, W.D.; Zenger, V.; Beachy, R.N.; Slightom, J.L. The glycosylated seed storage proteins of Glycine max and Phaseolus vulgaris. Structural homologies of genes and proteins. J. Biol. Chem. 1986, 261, 9228–9238. [Google Scholar]
- Guérin-Dubiard, C.; Pasco, M.; Mollé, D.; Désert, C.; Croguennec, T.; Nau, F. Proteomic analysis of hen egg white. J. Agric. Food Chem. 2006, 54, 3901–3910. [Google Scholar] [CrossRef]
- Huntington, J.A.; Stein, P.E. Structure and properties of ovalbumin. J. Chromatogr. B 2001, 756, 189–198. [Google Scholar] [CrossRef]
- Chakraborty, A.; Basak, S. pH-induced structural transitions of caseins. J. Photochem. Photobiol. B-Biol. 2007, 87, 191–199. [Google Scholar] [CrossRef] [PubMed]
- Yan, L.; Rong, G. pH-dependent structures and properties of casein micelles. Biophys. Chem. 2008, 136, 67–73. [Google Scholar]
- Liu, M.N.; Foegeding, E.A.; Wang, S.F.; Smith, D.M.; Davidian, M. Denaturation and aggregation of chicken myosin isoforms. J. Agric. Food Chem. 1996, 44, 1435–1440. [Google Scholar] [CrossRef]
- Sankar, T.V.; Ramachandran, A. Thermal stability of myofibrillar protein from Indian major carps. J. Sci. Food Agric. 2005, 85, 563–568. [Google Scholar] [CrossRef]
- Kaewmanee, T.; Benjakul, S.; Visessanguan, W. Effect of NaCl on thermal aggregation of egg white proteins from duck egg. Food Chem. 2011, 125, 706–712. [Google Scholar] [CrossRef]
- Haug, I.J.; Skar, H.M.; Vegarud, G.E.; Langsrud, T.; Draget, K.I. Electrostatic effects on β-lactoglobulin transitions during heat denaturation as studied by differential scanning calorimetry. Food Hydrocoll. 2009, 23, 2287–2293. [Google Scholar] [CrossRef]
- Donovan, J.W.; Mapes, C.J.; Davis, J.G.; Garibaldi, J.A. A differential scanning calorimetric study of the stability of egg white to heat denaturation. J. Agric. Food Chem. 2010, 26, 73–83. [Google Scholar] [CrossRef]
- Marijn, V.D.V.; Willem, N.; Martien Cohen, S. Effects of succinylation on the structure and thermostability of lysozyme. J. Agric. Food Chem. 2005, 53, 5702–5707. [Google Scholar]
- Guan, J.-J.; Qiu, A.-Y.; Liu, X.-Y.; Hua, Y.-F.; Ma, Y.-H. Microwave improvement of soy protein isolate–saccharide graft reactions. Food Chem. 2006, 97, 577–585. [Google Scholar] [CrossRef]
- Zhao, Y.; Chen, Z.; Li, J.; Xu, M.; Shao, Y.; Tu, Y. Formation mechanism of ovalbumin gel induced by alkali. Food Hydrocoll. 2016, 61, 390–398. [Google Scholar] [CrossRef]
- Benjakul, S.; Oungbho, K.; Visessanguan, W.; Thiansilakul, Y.; Roytrakul, S. Characteristics of gelatin from the skins of bigeye snapper, Priacanthus tayenus and Priacanthus macracanthus. Food Chem. 2009, 116, 445–451. [Google Scholar] [CrossRef]
- Surewicz, W.K.; Mantsch, H.H. New insight into protein secondary structure from resolution-enhanced infrared spectra. Biochim. Biophys. Acta. 1988, 952, 115–130. [Google Scholar] [CrossRef]
- Muyonga, J.H.; Cole, C.G.B.; Duodu, K.G. Fourier transform infrared (FTIR) spectroscopic study of acid soluble collagen and gelatin from skins and bones of young and adult Nile perch (Lates niloticus). Food Chem. 2004, 86, 325–332. [Google Scholar] [CrossRef]
- Derkach, S.R.; Ilyin, S.O.; Maklakova, A.A.; Kulichikhin, V.G.; Malkin, A.Y. The rheology of gelatin hydrogels modified by κ-carrageenan. LWT-Food Sci. Technol. 2015, 63, 612–619. [Google Scholar] [CrossRef]
- Lian, X.; Zhu, W.; Wen, Y.; Li, L.; Zhao, X. Effects of soy protein hydrolysates on maize starch retrogradation studied by IR spectra and ESI-MS analysis. Int. J. Biol. Macromol. 2013, 59, 143–150. [Google Scholar] [CrossRef]
- Nagarajan, M.; Benjakul, S.; Prodpran, T.; Songtipya, P.; Kishimura, H. Characteristics and functional properties of gelatin from splendid squid (Loligo formosana) skin as affected by extraction temperatures. Food Hydrocoll. 2012, 29, 389–397. [Google Scholar] [CrossRef]
- Ahmad, M.; Benjakul, S. Characteristics of gelatin from the skin of unicorn leatherjacket (Aluterus monoceros) as influenced by acid pretreatment and extraction time. Food Hydrocoll. 2010, 25, 381–388. [Google Scholar] [CrossRef]
- Thompson, L.U.; Reyes, E.S. Modification of Heat Coagulated Whey Protein Concentrates by Succinylation. J. Dairy Sci. 1980, 63, 715–721. [Google Scholar] [CrossRef]
- Manderson, G.A.; Creamer, L.K.; Hardman, M.J. Effect of heat treatment on the circular dichroism spectra of bovine beta-lactoglobulin A., B., and C. J. Agric. Food Chem. 1999, 47, 4557–4567. [Google Scholar] [CrossRef]
- Knopfe, C.; Schwenke, K.D.; Mothes, R.; Mikheeva, L.M.; Grinberg, V.Y.; Görnitz, E.; Dautzenberg, H. Acetylation and succinylation of faba bean legumin: Modification of hydrophobicity and conformation_. Food 1998, 42, 194–196. [Google Scholar] [CrossRef]
- Vetri, V.; Militello, V. Thermal induced conformational changes involved in the aggregation pathways of beta-lactoglobulin. Biophys. Chem. 2004, 113, 83–91. [Google Scholar] [CrossRef] [PubMed]
- Mihir, G.; Sukhendu, N.; Alakananda, H.; Subrata, S. Fluorescence self-quenching of tetraphenylporphyrin in liquid medium. J. Lumin. 2013, 141, 87–92. [Google Scholar]
- Mireille, W.; Kerensa, B.; Barneveld, P.A.; Stuart, M.A.C.; Hamer, R.J.; De Jongh, H.H.J.; Visschers, R.W. Net charge affects morphology and visual properties of ovalbumin aggregates. Biomacromolecules 2008, 9, 3165–3172. [Google Scholar]
- Friedman, M.; Pang, J.; Smith, G.A. Ninhydrin-Reactive Lysine in Food Proteins. J. Food Sci. 2010, 49, 10–13. [Google Scholar] [CrossRef]
Sample Availability: Samples of the egg white protein and succinylation are available from the authors. |








© 2019 by the authors. Licensee MDPI, Basel, Switzerland. This article is an open access article distributed under the terms and conditions of the Creative Commons Attribution (CC BY) license (http://creativecommons.org/licenses/by/4.0/).
Share and Cite
He, D.; Lv, Y.; Tong, Q. Succinylation Improves the Thermal Stability of Egg White Proteins. Molecules 2019, 24, 3783. https://doi.org/10.3390/molecules24203783
He D, Lv Y, Tong Q. Succinylation Improves the Thermal Stability of Egg White Proteins. Molecules. 2019; 24(20):3783. https://doi.org/10.3390/molecules24203783
Chicago/Turabian StyleHe, Dabo, Ying Lv, and Qigen Tong. 2019. "Succinylation Improves the Thermal Stability of Egg White Proteins" Molecules 24, no. 20: 3783. https://doi.org/10.3390/molecules24203783
APA StyleHe, D., Lv, Y., & Tong, Q. (2019). Succinylation Improves the Thermal Stability of Egg White Proteins. Molecules, 24(20), 3783. https://doi.org/10.3390/molecules24203783

