Lignin-Based Hybrid Admixtures and their Role in Cement Composite Fabrication
Abstract
:1. Introduction
2. Results and Discussion
2.1. Characteristics of Inorganic-Organic Hybrid Materials and Original Components
2.1.1. FTIR Spectroscopy
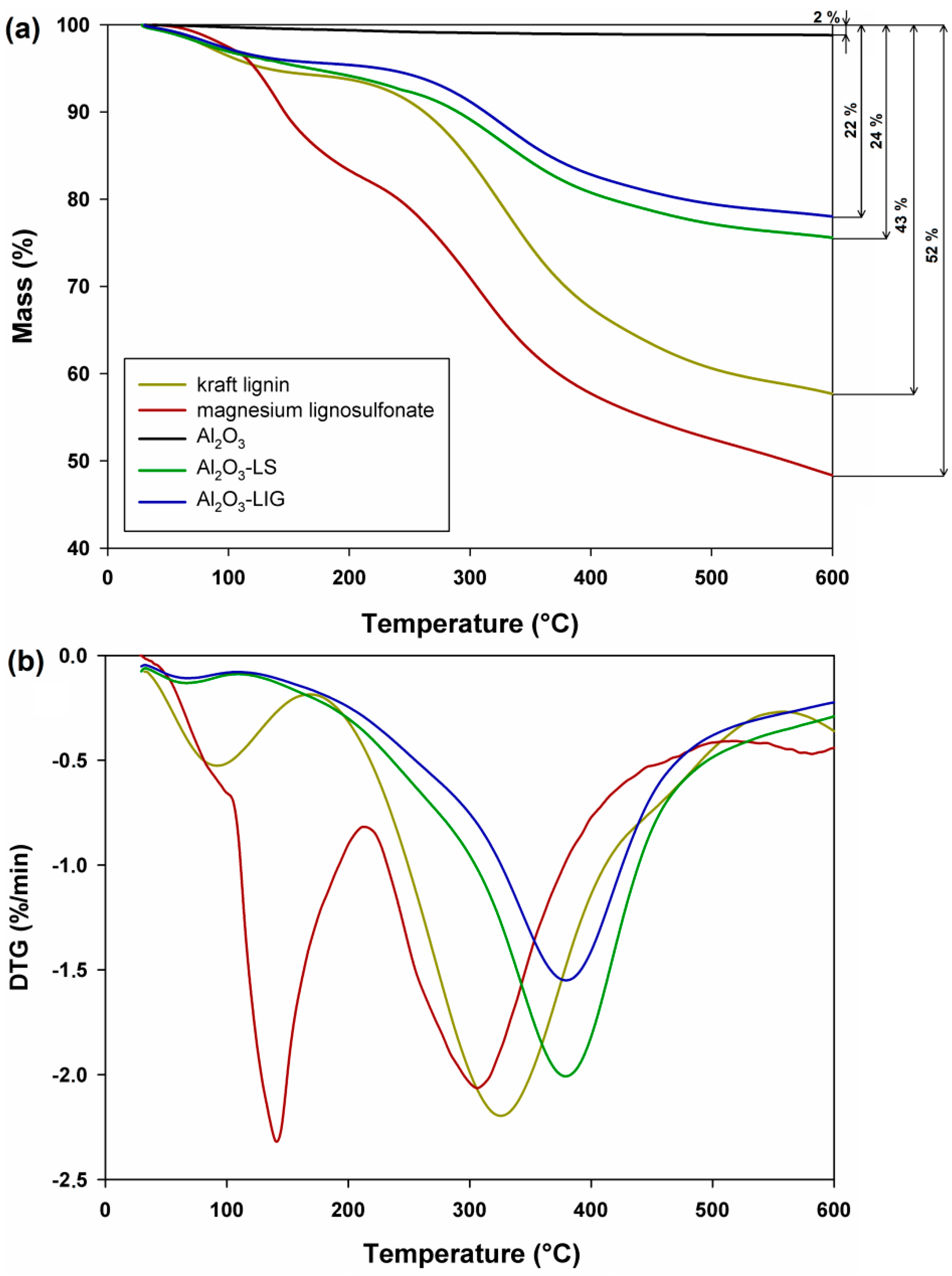
2.1.2. TGA Analysis
2.1.3. Dispersive-Morphological Properties
2.2. Analysis of the Properties of Cement Mortars
2.2.1. Investigation of the Degree of Compactability of Cement Mortars
2.2.2. Determination of Compressive Strength of Cement Mortars
2.2.3. SEM Analysis of Cement Mortars
3. Materials and Methods
3.1. Materials
3.2. Preparation of Alumina-Lignin and Alumina-Lignosulfonate Hybrid Materials
3.3. Characterization of Inorganic-Organic Hybrid Materials
3.4. Preparation of Cement Composites
3.5. Determination of the Consistency of Fresh Cement Mortars
3.6. Determination of Compressive Strength
4. Conclusions
Author Contributions
Funding
Conflicts of Interest
References
- Wang, R.; Wang, G.; Xia, Y.; Sui, W.; Si, C. Functionality study of lignin as a tyrosinase inhibitor: Influence of lignin heterogeneity on anti-tyrosinase activity. Int. J. Biol. Macromol. 2019, 128, 107–113. [Google Scholar] [CrossRef]
- Saratale, R.G.; Saratale, G.D.; Ghodake, G.; Cho, S.; Kadam, A.; Kumar, G.; Jeon, B.; Pant, D.; Bhatnagar, A.; Shin, H.S. Wheat straw extracted lignin in silver nanoparticles synthesis: Expanding its prophecy towards antineoplastic potency and hydrogen peroxide sensing ability. Int. J. Biol. Macromol. 2019, 128, 391–400. [Google Scholar] [CrossRef] [PubMed]
- Gomes, E.D.; Rodrigues, A.E. Lignin biorefinery: Separation of vanillin, vanillic acid and acetovanillone by adsorption. Sep. Purif. Technol. 2019, 216, 92–101. [Google Scholar] [CrossRef]
- Thakur, V.K.; Thakur, M.K.; Raghavan, P.; Kessler, M.R. Progress in green polymer composites from lignin for multifunctional applications: A review. ACS Sustain. Chem. Eng. 2014, 2, 1072–1092. [Google Scholar] [CrossRef]
- Bula, K.; Klapiszewski, Ł.; Jesionowski, T. A novel functional silica/lignin hybrid material as a potential bio-based polypropylene filler. Polym. Compos. 2015, 36, 913–922. [Google Scholar] [CrossRef]
- Klapiszewski, Ł.; Bula, K.; Dobrowolska, A.; Czaczyk, K.; Jesionowski, T. A high-density polyethylene container based on ZnO/lignin dual fillers with potential antimicrobial activity. Polym. Testing 2019, 73, 51–59. [Google Scholar] [CrossRef]
- Klapiszewski, Ł.; Jamrozik, A.; Strzemiecka, B.; Koltsov, I.; Borek, B.; Matykiewicz, D.; Voelkel, A.; Jesionowski, T. Characteristics of multifunctional, eco-friendly lignin-Al2O3 hybrid fillers and their influence on the properties of composites for the abrasive tools. Molecules 2017, 22, 1920. [Google Scholar] [CrossRef] [PubMed]
- Klapiszewski, Ł.; Jamrozik, A.; Strzemiecka, B.; Jakubowska, P.; Szalaty, T.J.; Szewczyńska, M.; Voelkel, A.; Jesionowski, T. Kraft lignin/cubic boron nitride hybrid materials as functional components for abrasive tools. Int. J. Biol. Macromol. 2019, 122, 88–94. [Google Scholar] [CrossRef]
- Klapiszewski, Ł.; Bartczak, P.; Wysokowski, M.; Jankowska, M.; Kabat, K.; Jesionowski, T. Silica conjugated with kraft lignin and its use as a novel ‘green’ sorbent for hazardous metal ions removal. Chem. Eng. J. 2015, 260, 684–693. [Google Scholar] [CrossRef]
- Klapiszewski, Ł.; Siwińska-Stefańska, K.; Kołodyńska, D. Preparation and characterization of novel TiO2/lignin and TiO2-SiO2/lignin hybrids and their use as functional biosorbents for Pb(II). Chem. Eng. J. 2017, 314, 169–181. [Google Scholar] [CrossRef]
- Wysokowski, M.; Klapiszewski, Ł.; Moszyński, D.; Bartczak, P.; Szatkowski, T.; Majchrzak, I.; Siwińska-Stefańska, K.; Bazhenov, V.V.; Jesionowski, T. Modification of chitin with kraft lignin and development of new biosorbents for removal of cadmium(II) and nickel(II) ions. Mar. Drugs 2014, 12, 2245–2268. [Google Scholar] [CrossRef] [PubMed]
- Tsetkov, M.V.; Salganskii, E.A. Lignin: Applications and ways of utilization (review). Russian J. Appl. Chem. 2018, 91, 1129–1136. [Google Scholar] [CrossRef]
- Naseem, A.; Tabasum, S.; Zia, K.M.; Zuber, M.; Ali, M.; Noreen, A. Lignin-derivatives based polymers, blends and composites: A review. Int. J. Biol. Macromol. 2016, 93, 296–313. [Google Scholar] [CrossRef] [PubMed]
- de Haro, J.C.; Magagnin, L.; Turri, S.; Griffini, G. Lignin-based anticorrosion coatings for the protection of aluminum surfaces. ACS Sustain. Chem. Eng. 2019, 7, 6213–6222. [Google Scholar] [CrossRef]
- Li, S.; Li, Z.; Zhang, Y.; Liu, C.; Yu, G.; Li, B.; Mu, X.; Peng, H. Preparation of concrete water reducer via fractionation and modification of lignin extracted from pine wood by formic acid. ACS Sustain. Chem. Eng. 2017, 5, 4214–4222. [Google Scholar] [CrossRef]
- Huang, C.; Ma, J.; Zhang, W.; Huang, G.; Yong, Q. Preparation of lignosulfonates from biorefinery lignins by sulfomethylation and their application as a water reducer for concrete. Polymers 2018, 10, 841. [Google Scholar] [CrossRef]
- Gupta, C.; Nadelman, E.; Washburn, N.R.; Kurtis, K.E. Lignopolymer superplasticizers for low-CO2 cements. ACS Sustain. Chem. Eng. 2017, 5, 4041–4049. [Google Scholar] [CrossRef]
- Kalliola, A.; Vehmas, T.; Liitia, T.; Tamminen, T. Alkali-O2 oxidized lignin – A bio-based concrete plasticizer. Ind. Crop. Prod. 2015, 74, 150–157. [Google Scholar] [CrossRef]
- Li, C.; Jiang, L.; Xu, N.; Jiang, S. Pore structure and permeability of concrete with high volume of limestone powder addition. Powder Technol. 2018, 338, 416–424. [Google Scholar] [CrossRef]
- Zheng, D.; Ji, T.; Wang, C.; Sun, C.; Lin, X.; Hossain, K.M.A. Effect of the combination of fly ash and silica fume on water resistance of magnesium-potassium phosphate cement. Constr. Build. Mater. 2016, 106, 415–421. [Google Scholar] [CrossRef]
- Siddique, R.; Cachim, P. Waste and Supplementary Cementitious Materials in Concrete: Characterisation, Properties and Applications, 1st ed.; Woodhead Publishing: Cambridge, UK, 2018. [Google Scholar]
- Chatchawan, R.; Saengsoy, W.; Tangtermsirikul, S.; Sugiyama, T. Influences of different types of fly ash and confinement on performances of expansive mortars and concretes. Constr. Build. Mater. 2019, 209, 176–186. [Google Scholar]
- Elgalhud, A.A.; Dhir, R.K.; Ghataora, G. Limestone addition effects on concrete porosity. Cement Concrete Compos. 2016, 72, 222–234. [Google Scholar] [CrossRef]
- Wang, D.; Shi, C.; Farzadnia, N.; Shi, Z.; Jia, H. A review on effects of limestone powder on the properties of concrete. Constr. Build. Mater. 2018, 192, 153–166. [Google Scholar] [CrossRef]
- Norhasri, M.S.M.; Hamidah, M.S.; Fadzil, A.M. Applications of using nano material in concrete: A review. Constr. Build. Mater. 2017, 133, 91–97. [Google Scholar] [CrossRef]
- Bareiro, W.G.; Silva, F.A.; Sotelino, E.D.; Gomes, O.F.M. The influence of alumina content on the chemical and mechanical behavior of refractory concretes fired at different temperatures. Constr. Build. Mater. 2018, 187, 1214–1223. [Google Scholar] [CrossRef]
- Liu, N.; Chen, B. Experimental research on magnesium phosphate cements containing alumina. Constr. Build. Mater. 2016, 121, 354–360. [Google Scholar] [CrossRef]
- Sarkar, R.; Parija, A. Effect of alumina fines on high alumina self-flow low cement castables. Refractories Worldforum 2013, 5, 1–4. [Google Scholar]
- Patil, J.; Pendharjar, U. Study of effect of nanomaterials as cement replacement on physical properties of concrete. Int. Res. J. Eng. Technol. 2016, 3, 300–308. [Google Scholar]
- Yaghoubi, H.; Sarpoolaky, H.; Golestanifard, F.; Souri, A. Influence of nano silica on properties and microstructure of high alumina ultra-low cement refractory castables. Iranian J. Mater. Sci. Eng. 2012, 9, 50–58. [Google Scholar]
- Melo, J.V.S.; Triches, G. Study of the influence of nano-TiO2 on the properties of Portland cement concrete for application on road surfaces. Road Mater. Pavement Des. 2018, 19, 1011–1026. [Google Scholar] [CrossRef]
- Tang, Q.; Wang, F.; Guo, H.; Yang, Y.; Du, Y.; Liang, J.; Zhang, F. Effect of coupling agent on surface free energy of organic modified attapulgite (OAT) powders and tensile strength of OAT/ethylene-propylene- diene monomer rubber nanocomposites. Powder Technol. 2015, 270, 92–97. [Google Scholar] [CrossRef]
- Tang, Q.; Wang, F.; Liu, X.; Tang, M.; Zeng, Z.; Liang, J.; Guan, X.; Wang, J.; Mu, X. Surface modified palygorskite nanofibers and their applications as reinforcement phase in cis-polybutadiene rubber nanocomposites. Appl. Clay Sci. 2016, 132–133, 175–181. [Google Scholar] [CrossRef]
- Wang, F.; Xie, Z.; Liang, J.; Fang, B.; Piao, Y.; Hao, M.; Wang, Z. Tourmaline-Modified FeMnTiOx Catalysts for Improved Low-Temperature NH3-SCR Performance. Environ. Sci. Technol. 2019, 53, 6989–6996. [Google Scholar] [CrossRef] [PubMed]
- Wang, F.; Zhang, H.; Liang, J.; Tang, Q.; Li, Y.; Shang, Z. High emission reduction performance of a novel organicinorganic composite filters containing sepiolite mineral nanofibers. Sci. Rep. 2017, 7, 43218. [Google Scholar] [CrossRef] [PubMed]
- Moubarik, A.; Grimi, N.; Boussetta, N.; Pizzi, A. Isolation and characterization of lignin from Moroccan sugar cane bagasse: Production of lignin–phenol -formaldehyde wood adhesive. Ind. Crop. Prod. 2013, 45, 296–302. [Google Scholar] [CrossRef]
- Mohammed-Ziegler, I.; Holmgren, A.; Forsling, W.; Lindberg, M.; Ranheimer, M. Mechanism of the adsorption process of pinosylvin and some polyhydroxybenzenes onto the structure of lignin. Vib. Spectr. 2004, 36, 65–72. [Google Scholar] [CrossRef]
- Naskar, M.K. Hydrothermal synthesis of petal-like alumina flakes. J. Am. Ceram. Soc. 2009, 92, 2392–2395. [Google Scholar] [CrossRef]
- Klapiszewski, Ł.; Bula, K.; Sobczak, M.; Jesionowski, T. Influence of processing conditions on the thermal stability and mechanical properties of PP/silica-lignin composites. Int. J. Polym. Sci. 2016, 1627258, 1–9. [Google Scholar] [CrossRef]
- Hemanth, J. Compressive strength and microstructural properties of lightweight high-strength cement mortar reinforced with eloxal. Mater. Des. 2006, 27, 657–664. [Google Scholar] [CrossRef]
- Roussel, N. Understanding the Rheology of Concrete, 1st ed.; Woodhead Publishing: Cambridge, UK, 2012. [Google Scholar]
Sample Availability: Not available. |







| Sample Name | Dispersive Properties | ||||
|---|---|---|---|---|---|
| Particle Size Distribution from Zetasizer Nano ZS (nm) | Particle Diameter from Mastersizer 2000 (μm) | ||||
| d(0.1) 1 | d(0.5) 2 | d(0.9) 3 | D[4.3] 4 | ||
| Lignin | 91–106, 712–1110, 2670–5560 | 2.0 | 5.4 | 8.3 | 6.8 |
| Lignosulfonate | 59–142, 955–1484, 2670–5560 | 2.2 | 5.7 | 8.4 | 7.0 |
| Al2O3 | 342–2670 | 0.8 | 1.6 | 2.4 | 1.8 |
| Al2O3-lignin (1:1 wt./wt.) | 122–615, 1484–5560 | 2.3 | 5.5 | 8.6 | 7.1 |
| Al2O3-lignosulfonate (1:1 wt./wt.) | 164–955, 1720–5560 | 2.6 | 5.8 | 8.8 | 7.4 |
© 2019 by the authors. Licensee MDPI, Basel, Switzerland. This article is an open access article distributed under the terms and conditions of the Creative Commons Attribution (CC BY) license (http://creativecommons.org/licenses/by/4.0/).
Share and Cite
Klapiszewski, Ł.; Klapiszewska, I.; Ślosarczyk, A.; Jesionowski, T. Lignin-Based Hybrid Admixtures and their Role in Cement Composite Fabrication. Molecules 2019, 24, 3544. https://doi.org/10.3390/molecules24193544
Klapiszewski Ł, Klapiszewska I, Ślosarczyk A, Jesionowski T. Lignin-Based Hybrid Admixtures and their Role in Cement Composite Fabrication. Molecules. 2019; 24(19):3544. https://doi.org/10.3390/molecules24193544
Chicago/Turabian StyleKlapiszewski, Łukasz, Izabela Klapiszewska, Agnieszka Ślosarczyk, and Teofil Jesionowski. 2019. "Lignin-Based Hybrid Admixtures and their Role in Cement Composite Fabrication" Molecules 24, no. 19: 3544. https://doi.org/10.3390/molecules24193544
APA StyleKlapiszewski, Ł., Klapiszewska, I., Ślosarczyk, A., & Jesionowski, T. (2019). Lignin-Based Hybrid Admixtures and their Role in Cement Composite Fabrication. Molecules, 24(19), 3544. https://doi.org/10.3390/molecules24193544

