Abstract
Disubstituted pyrenes at the non-K region by the same or different (hetero)aryl groups have proven to be an increasingly interesting area of research for scientists over the last decade due to their optical and photophysical properties. However, in this area, there is no systematization of the structures and synthesis methods nor their limitations. In this review, all approaches to the synthesis of these compounds, starting from the commercially available pyrene are described. Herein, the ways of obtaining of disubstituted intermediates based on bromination and acylation reaction are presented. This is crucial in the determination of the possibility of further functionalization by using coupling, cycloaddition, condensation, etc. reactions. Moreover, the application of disubstituted pyrenes in the synthesis of 1,3,6,8-tetrasubstituted was also reviewed. This review describes the directions of research on chemistry of disubstituted pyrenes.
1. Introduction
Despite the topic of pyrene derivatives having already been covered extensively by scientific literature, it still proves to be a popular subject of new research [1,2,3]. Without a doubt, pyrene and its derivatives exhibit intriguing properties. Multiple systematic studies have shown this already, yet still, new areas of interest such as the non-K region (the positions 4-, 5-, 9-, and 10- of pyrene are described as K-region due to carcinogenic effect of pyrene upon its oxidation) disubstituted by aryl or heteroaryl groups at pyrenes (1,3-, 1,6-, and 1,8-) are being elucidated. Disubstituted pyrenes of this type are interesting in themselves and can act as substrates in the synthesis of the other molecules that also exhibit expected properties. The vast majority of disubstituted pyrenes can be applied in organic electronics in materials such as organic light-emitting diodes (OLEDs) [4,5,6,7,8,9], organic field-effect transistors (OFETs) [10,11], and solar cells [12] but also in the synthesis of nanographenes [13], metal cages [14,15], and many others. A wide spectrum of methods for the synthesis of the reported compounds exists, though a fundamental problem lies within the methods’ ordering. Nonetheless, in 2011, Klaus Müllen and Teresa M. Figueira-Duarte presented a review article about pyrene-based materials for organic electronics [1], in 2014, Anthony P. Davis et al. systematized the ways of synthesis of substituted pyrenes by indirect methods [16], and in 2016, Xing Feng et al. described functionalization of pyrene in detail, especially tetrasubstituted pyrenes at non-K and K-region, which are suitable as luminescent materials [2]. However, the systematization of 1,3-, 1,6-, and 1,8-disubstituted pyrenes is still lacking.
Despite the hard work of the scientists mentioned above, an issue concerning the description of substituted positions in recently published papers on pyrenes becomes apparent. Indeed, it could just be a result of getting used to an idea replicated in literature. However, if a recognized misconception is accepted as truth, it ought to be eliminated and corrected. According to International Union of Pure and Applied Chemistry (IUPAC) enumeration, what was also mentioned by Franz S. Ehrenhauser, [17] it should be as presented in Figure 1 for pyrene in the frame.
Figure 1.
Various locant numeration for pyrene structure.
In the presented review, the ways of synthesis of 1,3-, 1,6- and 1,8-disubstituted pyrenes starting from pyrene, followed by the intermediates such as dibromo, diacetyl, and boroorganic pyrenes suitable for further functionalization in pure form or as mixtures are described as reported in the literature. Moreover, the possibility of the application of disubstituted pyrenes in the synthesis of 1,3,6,8-tetrasubstituted is also presented.
2. Dibromopyrenes
The most significant role in the synthesis of disubstituted pyrenes plays its dibromo derivatives, which are suitable for the further functionalization in various reactions such as substitution and coupling reactions (Suzuki-Miyaura, Stille, and Sonogashira). The electronic structure of pyrene causes a bromination reaction, and the derivatives containing bromine at positions 1-, 3-, 6-, 8- (non-K region) can be preferably obtained. Only the application of appropriate reaction conditions allows us to obtain dibromopyrenes with the expected substitution pattern.
2.1. 1,6- And 1,8-dibromopyrene
The interest of the synthesis and obtaining of the 1,6- and 1,8-dibromopyrene (Scheme 1) in its pure form dates back to early 1970s of the previous century when J. Grimshaw and J. Trocha-Grimshaw reported a procedure for synthesis that used slow addition of bromine solution in carbon tetrachloride into pyrene 1 solution in the same solvent, which resulted in the isomers that were separated by crystallization from toluene or mixture of benzene-hexane with 44% yield 1,6-isomer 2 and 45% yield 1,8-isomer 3 [18].
Scheme 1.
Introduction of bromine into the pyrene structure at positions 1,6- and 1,8-.
In the following years, various solvents, brominating agents, and reaction conditions were used. The vast majority of reported procedures was focused on obtaining the pure 1,6-isomer (Table 1). It can be noted that, in the case of carbon disulfide used as a solvent, the 1,8-isomer is obtained with the high yield ~85%. What is more, in other cases, almost the same reaction conditions resulted in the products with yields varying about 40%, which means the main problem is connected with the purification of the crude mixture after the reaction’s completion.
Table 1.
The reported bromination reactions of pyrene.
The other approach to the synthesis of 1,6- and 1,8-dibromopyrene presented in the literature is based on the synthesis in which the starting material 1-bromopyrene 4 is used (Scheme 2). 1-Bromopyrene can be successfully obtained with the high yield up to 96% by bromination of pyrene by the mixture HBr/H2O2 [34].
Scheme 2.
Bromination of 1-bromopyrene.
The reaction conditions for the method mentioned above of obtaining of 1,6- and 1,8-dibromopyrene are discussed in the literature in two publications. The first used a mixture of KBr/NaClO in HCl and MeOH solution, yielding in a mixture of products with 43% yield, whereas in the second case, bromine in dichloromethane obtained the target pure dibromopyrenes, with yields about 35% for every isomer (Table 2).
Table 2.
Reported bromination reactions of 1-bromopyrene.
2.2. 1,3-Dibromopyrene
As presented above, the synthesis of 1,6- and 1,8-dibromopyrenes is well described, whereas the 1,3-isomer is relatively unexplored. It is related to the difficulty of substitution of the pyrene structure due to the preference for electrophilic substitution at the 1,6- and 1,8- positions rather than the 1,3-positions of pyrene. The determined spectroscopy yield of that isomer that is present as a byproduct of the bromination reaction equals 3% [36]. It causes that the substitution at positions 1 and 3 is only possible by the multistep reactions with the number of intermediates that contain the protecting groups at 7-position. 2-Pyrenecarboxylic acid 5 is suitable for that reaction and can be obtained in two multistep ways—starting from 4,5,9,10-tetrahydropyrene [37] or pyrene [38].
In the first approach reported in 1972 by Yu. E. Gerasimenko, 2-pyrenecarboxylic acid 5 was used in the bromination reaction, obtaining 1,3-dibromo-7-pyrenecarboxylic acid 6, which in further steps turned into 1,3-dibromo-7-aminopyrene 8, followed by the Sandmeyer reaction, which resulted in 1,3-dibromopyrene 9 with a 9.3% yield (Scheme 3) [39]. The other synthesis possibility was described by T. Nielsen et al., where 1,3-dibromopyrene was prepared from 1,3-dibromo-7-pyrenecarboxylic acid 6, previously obtained in alkaline hydrolysis of methyl 1,3-dibromopyrene-2-carboxylate. Intermediate 6 is used in the decarboxylation reaction with copper powder in boiling quinoline [40]. It should be noticed that authors describing the usage of 230 g of 6, resulting in 120 mg of 9. It can be supposed that 10 mL of quinoline and 100 mg of copper powder would be suitable for 230 mg of 6. I also conducted the reaction on the scale of 230 mg of 6 and 100 mg of Cu powder, but the target product was not obtained. Nontrivial synthesis of 1,3-dibromopyrene and the insufficiently reported protocols of its synthesis are also demonstrable by the lack of its application in the synthesis of 1,3-disubstituted pyrenes; only the approach with acylation of pyrene allows us to obtain the 1,3-disubstituted pyrenes, as described above.
Scheme 3.
Synthetic routes of obtaining 1,3-dibromopyrene.
2.3. Suzuki-Miyaura Coupling
Dibromopyrenes (1,6- and 1,8-isomer) are most often used in Suzuki-Miyaura coupling reaction in which they can react with (hetero)arylboronates or (hetero)arylboronic acids as well as after the functionalization as a boroorganic compounds. The synthesis of boroorganic derivatives of pyrene was described for 1,6-isomer (Scheme 4 and Scheme 5). 1,6-Bis(4,4,5,5-tetramethyl-1,3,2-dioxaborolane-2-yl)pyrene 10 can be obtained in the commonly used reaction between the bromo derivative with bis(pinacolato)diboron in the presence of the catalyst [PdCl2(dppf)] and AcOK as a base, which results in a product with 99% yield [41].
Scheme 4.
Synthesis of 1,6-bis(4,4,5,5-tetramethyl-1,3,2-dioxaborolane-2-yl)pyrene [41].
Scheme 5.
Synthesis of 1,6-pyrenediyldiboronic acid [30].
Hikaru Suenaga et al. described the synthesis of 1,6-pyrenediyldiboronic acid that was obtained in a two-step reaction starting from 1,6-dibromopyrene and followed by 1,6-bis(trimethylsilyl)pyrene intermediate 11, which was suitable for obtaining the target acid 12 (Scheme 5). The authors did not report the yield of the compound 12 because it was used directly in the synthesis of pyrene-1,6-diyldiboronic acid dimethyl ester, which was obtained with a 61% yield [30].
2.3.1. Pyrene Derivative Acting as a Boroorganic Compound
The application of the boroorganic derivative of pyrene 10 was presented by Long Chen and co-workers. Molecule 10 was applied in the reaction with methyl 2-iodobenzoate with the catalytic system [Pd(PPh3)4]/K2CO3 in THF/H2O, which resulted in the derivative 13 with 49% yield (Scheme 6) [10]. This compound was used further in the synthesis of the angularly fused bistetracene. Compound 10 was also reacted with bromo derivatives of methyl benzo[b]thiophene-2-carboxylate or methyl thiophene-2-carboxylate that yielded 14 (59%) and 15 (30%), which were used in the synthesis of bisthienoacenes [42].
Scheme 6.
The Suzuki-Miyaura coupling reactions of 10 [10,42].
Xinliang Feng et al. reported the synthesis of 1,6-di(pyridin-2-yl)pyrene based on the Suzuki-Miyaura coupling reactions between 10 and 2-bromopyridine with catalytic system [Pd(PPh3)4]/Na2CO3 in PhMe/MeOH/H2O, which obtained product 16 with 96% yield (Scheme 7) and which was further used in synthesis of target cationic nitrogen-doped helical nanographenes [41].
Scheme 7.
Suzuki-Miyaura coupling reaction to afford 16 [41].
There is only one report where 1,6-pyrenediyldiboronic acid is used in the synthesis of the pyrene derivative containing substituted heteroaryl groups. In that case, 1,6-bis(bipyridinyl)pyrene 17 was synthesized by using the system [PdCl2(PPh3)2]/CaCO3 in DMF with 4-bromo-2,2′-bipyridine, which resulted in a product with 60% yield (Scheme 8) [43].
Scheme 8.
Suzuki-Miyaura reaction with 1,6-pyrenediyldiboronic acid 12 [43].
2.3.2. Suzuki-Miyaura Coupling of Dibromopyrenes with (Hetero)Arylboronic Acids
Plenty of the reports are dedicated to the Suzuki-Miyaura coupling reactions where dibromopyrenes react with (hetero)arylboronic acids. The introduction of anthracen-9-yl motifs into a pyrene structure was presented by Jongwook Park et al., where [Pd(PPh3)4]/K2CO3 in PhMe/THF was used as a catalytic system (Scheme 9). It resulted in 1,6-di(anthracen-9-yl)pyrene 18 with a 66% yield, which was used in the preparation of organic emitter films [7].
Scheme 9.
Introduction of anthracen-9-yl motifs into pyrene structure by using the Suzuki-Miyaura coupling reaction [7].
Due to the wide interest in organic semiconductors based on the expanded polyaromatic structures such as bistetracene and naphtho-tetracenone, molecule 13, which is suitable for their synthesis, was also obtained by Michel Frigoli and co-workers using 2-methoxycarbonylphenylboronic acid with catalytic system [Pd2(dba)3]/K3PO4 in PhMe with two kinds of phosphines—SPhos and XPhos (Scheme 10). [44,45] The results of the reactions did not show any differences in the yield of the product (88%) in reference to using phosphine. It should be noted that the presented method resulted in a product with a higher yield of about 39% in comparison to the report of Long Chen et al. [10].
Scheme 10.
Synthesis route to compound 13 [44,45].
Among the other important disubstituted pyrene derivatives that are necessary for the synthesis of nanographenes, 1,6-bis(2-formylphenyl)pyrene 19 plays an important role. The compound mentioned above was obtained by two research teams (Scheme 11). Both of them used catalytic system [Pd(PPh3)4]/K2CO3 but different solvents. Wenming Su et al. carried out the reaction in a mixture of THF/H2O which led to obtaining a product with a higher yield (84%) [46] in comparison to Konstantin Amsharov et al., who applied a mixture of PhMe/MeOH, obtaining a product with 61% yield [13].
Scheme 11.
Synthesis of 1,6-bis(2-formylphenyl)pyrene 19 [13,46].
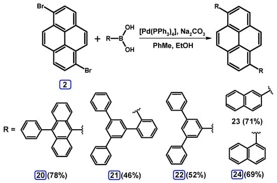
Investigation of the efficient organic light-emitting devices based on pyrene derivatives was also a stimulus to the synthesis of 1,6-disubstituted pyrenes, which contain various aryl groups 20–28, such as presented in Scheme 12, Scheme 13, Scheme 14 and Scheme 15 [4,8,47,48,49,50]. All reactions used [Pd(PPh3)4] as a catalyst and are divided in reference to applied bases Na2CO3, NaOH, and K2CO3, and solvents PhMe/EtOH, 1,4-dioxane, and THF.
Scheme 12.
Suzuki-Miyaura coupling reaction resulted in molecules 20–24 [4,47,48].
Scheme 13.
Suzuki-Miyaura coupling reaction resulted in molecules 25, 26 [49].
Scheme 14.
Suzuki-Miyaura coupling reaction resulted in molecule 27 [8].
Scheme 15.
Suzuki-Miyaura coupling reaction resulted in molecule 28 [50].
2.3.3. Suzuki-Miyaura Coupling of Dibromopyrenes with (Hetero)Arylboronates
The synthesis of the next part of reported disubstituted pyrene derivatives was also conducted using the Suzuki-Miyaura coupling reaction, but in this case, with (hetero)arylboronates. The aim of the synthesis was similar—obtaining the most efficient materials for OLEDs or molecules that will be used in further functionalization. Liheng Feng et al. presented two 1,6-disubstituted pyrenes containing 4-(5-phenyl-1,3,4-oxadiazol-2-yl)phenyl 29 and 9-benzyl-9H-carbazol-2-yl 30 groups and described by them as pyrenes substituted at positions 2 and 7 (Scheme 16) [51]. The catalytic system [Pd(PPh3)4]/K2CO3 in DMSO/H2O was used, which resulted in the products 29 and 30 with yields of 65% and 56%, respectively.
Scheme 16.
Obtaining compounds 29 and 30 in coupling reaction with (hetero)arylboronates [51].
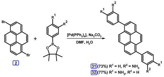
In 2014 and 2015, Jonathan R. Nitschke and co-workers published two papers about the pyrene-edged cages where 1,6-bis(4-aminophenyl)pyrene 31 or 1,6-bis(3-aminophenyl)pyrene 32 were used as a starting material [14,15] As the authors described, molecules 31 and 32 were obtained in the presence of Pd(PPh3)4]/Na2CO3 in DMF/H2O with similar yields of about 75% (Scheme 17).
Scheme 17.
Synthesis of 1,6-bis(4-aminophenyl)pyrene 31 and 1,6-bis(3-aminophenyl)pyrene 32 [14,15].
Among the described derivatives of 1,6-disubstituted pyrene, the group of molecules containing 4-cyanophenyl 33 [20,52], 2-methyl-1-naphthyl 34 [53], or expanded groups based on diindolocarbazole 35 [54] were obtained using [Pd(PPh3)4] with base K2CO3 or Na2CO3 in PhMe/H2O or 1,4-dioxane/H2O solution, which resulted in target products with yields up to 60% (Scheme 18, Scheme 19 and Scheme 20).
Scheme 18.
Obtaining of disubstituted pyrene containing 4-cyanophenyl unit 33 [20,52].
Scheme 19.
Obtaining of compound 34 [53].
Scheme 20.
Synthesis of molecule 35 [54].
In the case of synthesis of the compound containing phenylcoumarin 36, a small excess of tetrabutylammonium bromide (TBAB) (5% mol) was used, which significantly increased the yield of the reaction, and the product was obtained with a 76% yield (Scheme 21) [55].
Scheme 21.
Synthesis of compound 36 [55].
The previously mentioned research team of Konstantin Amsharov also reported the synthesis of 1,6-bis(3-formylnaphthyl)pyrene, which, in contrast to disubstituted pyrene by 2-formylphenyl groups, was obtained in the Suzuki-Miyaura coupling reaction with 3-formylnaphthalene-2-boronic acid pinacol ester, which resulted in 37 with a higher yield of 76% (Scheme 22) [13].
Scheme 22.
Synthesis of 1,6-bis(3-formylnaphthyl)pyrene 37 [13].
In 2016, Jongwook Park and co-workers obtained 1,6-bis(3,5-diphenylbiphenyl-4-yl)pyrene 38 by using the system [Pd(OAc)2]/Et4NOH in PhMe/THF what resulted in a product with low yield ≈ 7% (Scheme 23) [24]. Two years later, the same team presented extensive research with molecule 38 and its 1,8- and 4,9- isomers, which were synthesized starting from the pure dibromopyrene isomers using the catalytic system [Pd(OAc)2]/Et4NOH in PhMe with the addition of triphenylphosphine (PPh3). As a result of the reaction, molecule 38 was obtained with a 16% higher yield (23%), whereas the 1,8-isomer 39 had a 67% yield [25].
Scheme 23.
Synthesis of 1,6- and 1,8-disubstituted pyrenes 38 and 39 [24,25].
Introduction of the 3-dodecylthiophen-2-yl units into pyrene at positions 1,6- and 1,8- was described by Deqing Gao et al., where, as a starting material, pure dibromopyrenes were applied and reacted with dodecylthiophene-2-boronic acid pinacol ester using [Pd(PPh3)4] with base Na2CO3 in PhMe/H2O solution, which resulted in products with comparable yields 65% and 63% for 1,6-bis(3-dodecylthiophen-2-yl)pyrene 40 and 1,8-bis(3-dodecylthiophen-2-yl)pyrene 41, respectively (Scheme 24) [21].
Scheme 24.
Obtaining of 1,6- and 1,8-isomers containing dodecylthiophen-2-yl substituents 40 and 41 [21].
Based on similar reaction conditions, Yoshiteru Sakata introduced 3,5-di-tert-butylphenyl substituents into 1,6- and 1,8- positions of pyrene using 5,5-dimethyl-2-(3,5-di-tert-butylphenyl)-1,3,2-dioxaborinane, which resulted in molecules 42 and 43 with 82% and 70% yields, respectively (Scheme 25) [56].
Scheme 25.
Suzuki-Miyaura coupling reaction with 5,5-dimethyl-2-(3,5-di-tert-butylphenyl)-1,3,2-dioxaborinane [56].
2.3.4. Mono-Suzuki-Miyaura Coupling
The pioneer in applying the mono-Suzuki-Miyaura coupling reactions in the synthesis of asymmetric 1,6-disubstituted pyrenes is Jongwook Park and co-workers, who presented in several papers derivatives of pyrene that contain at 1-position anthracen-9-yl motif (mostly substituted at 10-position) and at 6-position various aryl/heteroaryl groups. The introduction of anthracen-9-yl group into the pyrene structure was achieved by the Suzuki-Miyaura coupling of anthracene-9-boronic acid with 1,6-dibromopyrene, where the boroorganic compound was used with 1.5 excess, which resulted in 44 with a 32% yield (Scheme 26). The further functionalization of the obtained compound was possible by bromination reaction using N-bromosuccinimide (NBS), which resulted in 45 with a 96% yield.
Scheme 26.
Introduction of anthracen-9-yl motif by using mono-Suzuki-Coupling reaction [22].
Obtained intermediate 45 was used in the next reactions of the introduction of aryls at the 6-position of pyrene and also at 10-position of the substituted anthracen-9-yl group, which was conducted using Suzuki-Miyaura coupling with various boroorganic derivatives, i.e., boronic acids or boronates (Scheme 27, Scheme 28 and Scheme 29). The catalytic systems based on [Pd(OAc)2]/Et4NOH resulted in molecules 46 and 48 with higher yields—i.e., 51% and 53%, respectively—in comparison to system [Pd(OAc)2]/K2CO3 and [Pd(PPh3)4]/K2CO3 for molecules 47 (30%) and 49 (14%) [22,57,58,59].
Scheme 27.
Synthesis of 1,6-disubstituted unsymmetrical pyrene derivative 46 [22,57].
Scheme 28.
Obtaining of the 1,6-disubstituted pyrene derivatives with one substituted anthracenyl unit 47 and 48 [58].
Scheme 29.
Synthesis of molecule 49 [59].
Furthermore, Jongwook Park et al. reported mono Suzuki-Miyaura coupling with already substituted anthracen-9-yl at 10-position by 1,1’:3’,1’’-terphenyl-5’-yl unit, which resulted in 50 with a 42% yield (Scheme 30) [60]. Further functionalization of molecule 50 was achieved by the introduction of triphenylamine substituent, which resulted in 51 with a 62% yield (Scheme 31).
Scheme 30.
Suzuki-coupling reaction with an expanded anthracen-9-yl substituent [60].
Scheme 31.
Introduction of triphenylamine by using Suzuki-coupling reaction [60].
In the same year, Baoming Ji and co-workers published a paper with unsymmetrical 1,6-disubstituted pyrene derivatives where the starting monosubstituted pyrene was substituted by 1,1’:3’,1’’-terphenyl-5’-yl unit 52, which was obtained with 43% yield (Scheme 32) [61]. Molecule 52 was subjected in the next reaction with boronic acids pinacol ester, which allowed them to introduce 3-(2-phenyl)-9-phenylcarbazole 53 and 5′-phen-2-yl-1,1′:3′,1″-terphenyl 54 at 6-position groups with 45% and 48% yields, respectively (Scheme 33).
Scheme 32.
Mono Suzuki-Miyaura coupling reaction resulted in compound 52 [61].
Scheme 33.
Further functionalization of 52 by the Suzuki-Miyaura coupling reaction [61].
2.4. Stille Coupling
In the area of disubstituted pyrene derivatives obtained using the Stille coupling reaction, there are only three papers in which authors used tributylstannyl derivatives of heteroaryls. The other approach to synthesis of previously mentioned 1,6-di(pyrid-2-yl)pyrene 16 was reported by Yu-Wu Zhong and Yan-Qin He in the presence of [PdCl2(PPh3)2], LiCl in PhMe, which resulted in a product with a significantly lower yield of 44% (Scheme 34). Synthesis using the Suzuki-Miyaura reaction obtained a product with a 96% yield (Scheme 7) [62].
Scheme 34.
Stille cross-coupling reaction in obtaining of 1,6-di(pyrid-2-yl)pyrene 16 [62].
K. R. Justin Thomas and co-workers reported two isomers of pyrene derivative (1,6- and 1,8-) that are substituted by thienylphenothiazine groups and that were obtained starting from pure dibromo isomers of pyrene using [PdCl2(PPh3)2] as a catalyst in DMF solution, which resulted in products 55 and 56 with high yields of 60% and 70%, respectively (Scheme 35) [63].
Scheme 35.
Introduction of thienylphenothiazine by using the Stille-coupling reaction [63].
1,8-Disubstituted pyrenes dedicated for materials that can be used as high-performance organic field-effect transistors containing 5-octyl-2-thienyl 57 and 5-octyl-(2,2′-bithiophen)-5′-yl 58 substituents were obtained with 73% and 40% yields, as described by Deqing Gao et al. (Scheme 36) [11].
Scheme 36.
Synthesis of 1,8-bis(5-octyl-2-thienyl)pyrene 57 and 1,8-bis[5 -octyl-(2,2′-bithiophen)-5′-yl]pyrene 58 [11].
2.5. Sonogashira Coupling
Applying the Sonogashira coupling reaction in the synthesis of disubstituted pyrenes containing directly substituted (hetero)aryl groups was described by Bo Song and co-workers [64]. The authors presented the synthetic route leading to 1,6-diethynylpyrene 60, which was obtained in a two-step reaction with a 44% yield. That compound was suitable for the Huisgen cycloaddition reaction, which allowed for the synthesizing of pyrene substituted by triazolyl groups 61 (Scheme 37). It should be mentioned that, in the literature, other examples of disubstituted pyrenes by triazolyl groups are present, but the synthetic methodology is similar [65,66].
Scheme 37.
Sonogashira-coupling reaction followed by the Huisgen cycloaddition [64].
2.6. Ullmann, Buchwald-Hartwig, Rosenmund-von Braun, and Substitution Reactions
Another important approach to the synthesis of disubstituted pyrenes is based on Ullmann C-N coupling reaction, described by Yoon Soo Han and co-workers, where 1,6-di(9H-carbazol-9-yl)pyrene 62 was obtained at the presence of Cu/K2CO3 in PhNO2, which resulted in a product with 27% yield (Scheme 38) [67].
Scheme 38.
Ullmann reaction [67].
Synthesis of disubstituted pyrenes in which substituents are connected by the C-N bond can also be obtained by the Buchwald-Hartwig cross coupling reaction, which was reported by Qingbo Meng et al. for 1,6-disubstituted by N3,N6-bis(di-4-anisylamino)-9H-carbazole groups 63. This was obtained by using the catalytic system [Pd2(dba)3]/P(t-Bu)3/NaOt-Bu in PhMe with a 38% yield (Scheme 39) [12].
Scheme 39.
Buchwald-Hartwig cross-coupling reaction [12].
The same coupling reaction was also applied for the previously described product of mono Suzuki-Miyaura coupling reaction 50, which allowed the introduction of the diphenylamine moiety into the structure at 6-position with a 58% yield 64 (Scheme 40) [60].
Scheme 40.
Further functionalization of 51 by Buchwald-Hartwig cross-coupling reaction [60].
1,6- And 1,8-disubstituted pyrenes by 2-butyl-2H-1,2,3,4-tetrazol-5-yl groups 66 and 68 were synthesized starting from pure dibromo isomers in which, as the result of the Rosenmund-von Braun reaction using CuCN in NMP, bromine atoms were exchanged on cyano groups 65 and 67. The obtained intermediates were suitable for the cycloaddition reaction [3 + 2] using NaN3/NH4Cl in a DMF solution, followed by the alkylation with butyl bromide. This resulted in molecules 66 and 68 with 45% and 48% yields (Scheme 41) [68].
Scheme 41.
Rosenmund-von Braun reaction followed by cycloaddition reaction [68].
Deqing Gao and co-workers reported a synthesis route based on the nucleophilic aromatic substitution SNAr, which used the lithiation of 1,6-dibromopyrene using n-BuLi in THF at −78 °C, which formed the carbanion. The obtained intermediate reacted with the large excess of octafluorotoluene, which resulted in 1,6-di[2,3,5,6-tetrafluoro-4-(trifluoromethyl)phenyl]pyrene 69 with a 35% yield (Scheme 42) [52].
Scheme 42.
Synthesis of 1,6-di[2,3,5,6-tetrafluoro-4-(trifluoromethyl)phenyl]pyrene 69 based on the SNAr process [52].
2.7. Reaction with a Mixture of 1,6- and 1,8-dibromo Isomers
Depending on target molecules and separation possibility of isomers, there is also another approach to the synthesis of 1,6- and 1,8-disubstituted pyrenes, which was presented by three research teams. Krzysztof Idzik and co-workers described the spectrum of pyrene derivatives containing furyl and thienyl units substituted at various positions of pyrene. In the case of 1,6- and 1,8- isomers, as a starting material, the mixture of 1,6- and 1,8-dibromopyrenes (authors described the isomers as 1,6- and 1,4-) was applied in the Stille-coupling reaction with 2-(tributylstannyl)thiophene or 2-(tributylstannyl)furan. This resulted in mixtures of isomers that were isolated using column chromatography, yielding compounds 70 (80%) and 71 (10%) in the case of thienyl units and 72 (70%) and 73 (10%) containing furyl groups (Scheme 43) [69,70]. It should be noted that the yields of reaction strongly depend on the applied bromination method of pyrene, and the authors did not report the ratio of the starting material mixture.
Scheme 43.
Stille-coupling reaction with a mixture of 1,6- and 1,8-dibromopyrene [69,70].
Zhonghai Ni et al. used a mixture of 1,8-dibromopyrene (85%) and 1,6-dibromopyrene (15%) in the Suzuki-Miyaura coupling reactions with phenylboronic acid (for 74 and 75) or 4-substituted-phenylboronic acids (for 76–79). Target compounds were isolated by crystallization or column chromatography with yields in the range of 65–90%, expressed per the starting material (Scheme 44) [6,9].
Scheme 44.
Suzuki-Miyaura coupling reaction with a mixture of dibromo isomers [6,9].
Lawrence T. Scott et al. also applied a mixture of 1,6- and 1,8-dibromopyrene (the ratio of the starting material mixture is unknown) in the Suzuki-Miyaura coupling reaction with 2-methoxyphenylboronic acid, and the obtained isomers 80 and 81 were separated by a simple treatment with acetone, resulting in the products with 58% (80) and 32% (81) yields (Scheme 45) [71].
Scheme 45.
Suzuki-Miyaura coupling reaction resulted in 80 and 81 [71].
They also reported another example where a mixture of the two dibromopyrenes reacted with 2-bromophenylboronic acid at conditions, which resulted in a mixture of diindenopyrenes, but there was no possibility to separate the isomers. Therefore, a two-step variant was applied, obtaining pure isomers 82 and 83 with a total reaction efficiency of 64% (Scheme 46), which were reacted further in the direction of diindenopyrenes [71].
Scheme 46.
Suzuki-Miyaura coupling reaction of a mixture of dibromopyrenes with 2-bromophenylboronic acid [71].
3. Acetylpyrenes
Apart from 1,6- and 1,8-dibromopyrenes, the significant role as a starting material in the synthesis of 1,6-, 1,8-, and 1,3-disubstituted pyrenes by heteroaryl groups play acetylpyrenes due to the wide possibility of functionalization of an acetyl group [72]. Their synthesis is based on the acylation of pyrene using acetyl chloride (AcCl), what resulted in disubstituted and various isomers of acetylpyrenes (Scheme 47).
Scheme 47.
Acylation reaction of pyrene.
Reaction conditions reported in the literature are based on AcCl with AlCl3 as a catalyst in carbon disulfide, which results in 1,8-diacetylpyrene 85 with the highest yields up to 46%, followed by 1,6-isomer 84 and 1,3-diacetylpyrene 86. [73,74,75] Separation of the isomers can be achieved by crystallization or column chromatography (Table 3). Moreover, application of the ionic liquid (1-methyl-3-ethylimidazolium chloride) in the acylation of pyrene was described by Martyn J. Earle et al., which resulted in a mixture of 1,6- and 1,8- isomer with total reaction efficiency of 55% [76].
Table 3.
Reported conditions of acylation reaction.
Masahiro Minabe and co-workers reported the way of synthesis of diacetylpyrenes starting from 1-acetylpyrene 87, which resulted in isomers 84 (27%), 85 (38%), and 86 (35%) (Scheme 48) [36].
Scheme 48.
Acylation reaction of 1-acetylpyrene 87 [36].
Condensation Reactions with Acetylpyrenes
Pure 1,6- and 1,8-diacetylpyrene (84 and 85) were used by Carlos Peinador and co-workers in the Friedländer condensation reaction with 2-amino-5-cyano-6-ethoxy-4-phenylpyridine-3-carbaldehyde, which resulted in 1,6- and 1,8-di(1,8-naphthyridyn-20-yl)pyrenes with yields of 60% for 87 and 67% for 88 (Scheme 49) [77].
Scheme 49.
Friedländer condensation resulted in compounds 87 and 88 [77].
As the result of the Friedländer reaction between 1,3-, 1,6- and 1,8-diacetylpyrene 84–86 with 8-amino-7-quinolinecarbaldehyde, Randolph P. Thummel et al. obtained bis(2′-[1′,10′]phenanthrolinyl)pyrenes 89–91 with high yields up to 96% (Scheme 50) [74]. They were applied as ligands in the synthesis of dinuclear ruthenium complexes.
Scheme 50.
Friedländer reaction resulting in pyrenes with phenanthrolinyl units [74].
In 2016, Mahesh Hariharan et al. described the way of synthesis of bisthiazolylpyrenes starting from the pure isomers of acetylpyrenes 84–86, which were then reacted with copper(II) bromide resulted in bromoacetylpyrene derivatives 92, 94, and 96. Intermediates were used in the Hantzsch condensation reaction between thioacetamide and appropriate bis(bromoacetyl)pyrene, which obtained target molecules 93, 95, and 97 with 64%, 68%, and 55% yields, respectively (Scheme 51) [78]. It should be noted that, as the result of all presented condensations reactions, isomers with substitution pattern 1,8 were obtained with the highest yields.
Scheme 51.
Hantzsch condensation resulting in molecules 93, 95, and 97 [78].
4. 1,3-Disubstituted Pyrene
The most challenging of disubstituted pyrenes are the derivatives with the 1,3-substitution pattern, as presented earlier. Apart from their synthesis starting from 1,3-diacetylpyrene, which allows for the introduction of a limited group of substituents into the pyrene structure at positions 1 and 3, another approach is presented in the literature. Takehiko Yamato et al. reported 1,3-diphenylpyrene 101, which was obtained in a multistep procedure [79]. As the first step, the introduction of the protecting group was achieved by the alkylation of pyrene at the 2-position by tert-butyl chloride, resulting in molecule 98 with a 71% yield [79]. The intermediate 98 was brominated by benzyltrimethylammonium tribromide (BTMABr3), which led to the synthesis of 1,3-dibromo-7-tert-butylpyrene 99 with a 76% yield (Scheme 52).
Scheme 52.
Introduction of protecting tert-butyl group [79].
Compound 99 was used in the Suzuki-Miyaura coupling reaction with phenylboronic acid and molecule 100 containing phenyl groups at positions 1 and 3, and a protecting group at 7-position was obtained. Removing the protecting tert-butyl was conducted by using Nafion-H as a catalyst, which resulted in compound 101 with an 80% yield (Scheme 53) [80].
Scheme 53.
Synthesis of 1,3-diphenylpyrene 101 [80].
5. Synthesis of 1,3,6,8-tetrasubstituted Starting from Disubstituted Pyrenes
In many cases, disubstituted pyrenes by (hetero)aryl groups act as substrates in the subsequent reactions: functionalization of already introduced substituents or the introduction of other groups into the pyrene structure at unoccupied positions, especially at the non-K region, which is possible by the introduction of bromine atoms. Brominating agent bromine solution in DMF or CHCl3 was used, which resulted in products with yields above 95% (Scheme 54 and Scheme 55) [6,9,44].
Scheme 54.
Bromination of disubstituted pyrenes 74–79 by Br2/DMF [6,9].
Scheme 55.
Bromination of disubstituted pyrene 13 by Br2/CHCl3 [44].
What is more, another approach to bromination of disubstituted pyrene was achieved using the hexamethylenetetramine-bromine complex (HMTAB) (Scheme 56) [13] and benzyltrimethylammonium tribromide (BTMABr3) (Scheme 57) [80].
Scheme 56.
Bromination of disubstituted pyrene 19 by HMTAB/CH2Cl2 [13].
Scheme 57.
Bromination of disubstituted pyrene 101 by BTMABr3/CH2Cl2 + MeOH [80].
Unlike bromination using N-bromosuccinimide (NBS), the unoccupied positions of disubstituted pyrene remained unchanged, which was reported for 1,6-di(anthracen-9-yl)pyrene 18 (Scheme 58) [7].
Scheme 58.
Bromination of disubstituted pyrene 18 by NBS/CHCl3+AcOH [7].
6. Summary
The review of structures of 1,3-, 1,6-, and 1,8-disubstituted pyrenes by (hetero)aryl groups and the methods for their synthesis revealed that the number of 1,6-isomer derivatives is the highest and compounds are preferably obtained using the Suzuki-Miyaura coupling reaction. The main reason for taking interesting in those compounds is connected with their optical and photophysical properties, which make them potential materials for broadly defined organic electronics. The wide possibility of obtaining of 1,6- and 1,8-dibromopyrene, unlike 1,3-dibromopyrene, showed that, in the case of 1,3-isomer, indirect methods must be applied. Moreover, acylation of pyrene allows 1,3-, 1,6-, and 1,8-isomers to be obtained, which can be successfully used in condensation reactions that result in products with high yields. I believe that, as the results of the presented systematization and described diversity in the area of disubstituted pyrenes at the non-K region, the expected direction in pyrene chemistry will be followed.
Funding
This research was funded by the Ministry of Science and Higher Education, Poland Diamentowy Grant 0215/DIA/2015/44 and by the National Science Centre of Poland ETIUDA 6 2018/28/T/ST5/00005.
Acknowledgments
The author thanks Maja Walnik.
Conflicts of Interest
The author declares no conflict of interest.
References
- Figueira-Duarte, T.M.; Müllen, K. Pyrene-Based Materials for Organic Electronics. Chem. Rev. 2011, 111, 7260–7314. [Google Scholar] [CrossRef] [PubMed]
- Feng, X.; Hu, J.-Y.; Redshaw, C.; Yamato, T. Functionalization of Pyrene To Prepare Luminescent Materials-Typical Examples of Synthetic Methodology. Chem.—A Eur. J. 2016, 22, 11898–11916. [Google Scholar] [CrossRef] [PubMed]
- Zych, D.; Kurpanik, A.; Slodek, A.; Maroń, A.; Pajak, M.; Szafraniec-Gorol, G.; Matussek, M.; Krompiec, S.; Schab-Balcerzak, E.; Kotowicz, S.; et al. NCN-Coordinating Ligands based on Pyrene Structure with Potential Application in Organic Electronics. Chem.—A Eur. J. 2017, 23, 15746–15758. [Google Scholar] [CrossRef] [PubMed]
- Kim, C.; Yoon, J.-Y.; Lee, S.J.; Lee, H.W.; Kim, Y.K.; Yoon, S.S. Various Blue Emitting Materials Based on Pyrene Derivatives for Organic Light-Emitting Diodes. J. Nanosci. Nanotechnol. 2015, 15, 5246–5249. [Google Scholar] [CrossRef] [PubMed]
- Lee, J.; Ryu, J.; Wakamiya, A.; Park, J. New blue emitting materials based on triple-core chromophores for organic light-emitting diodes. Mol. Cryst. Liq. Cryst. 2017, 654, 40–46. [Google Scholar] [CrossRef]
- Zhang, R.; Zhao, Y.; Zhang, T.; Xu, L.; Ni, Z. A series of short axially symmetrically 1,3,6,8-tetrasubstituted pyrene-based green and blue emitters with 4-tert-butylphenyl and arylamine attachments. Dyes Pigments 2016, 130, 106–115. [Google Scholar] [CrossRef]
- Lee, J.; Kim, B.; Kwon, J.E.; Kim, J.; Yokoyama, D.; Suzuki, K.; Nishimura, H.; Wakamiya, A.; Park, S.Y.; Park, J. Excimer formation in organic emitter films associated with a molecular orientation promoted by steric hindrance. Chem. Commun. 2014, 50, 14145–14148. [Google Scholar] [CrossRef] [PubMed]
- Mizoshita, N.; Inagaki, S. Enhanced Photoluminescence of Mesostructured Organosilica Films with a High Density of Fluorescent Chromophores. Macromol. Chem. Phys. 2018, 219, 1700596. [Google Scholar] [CrossRef]
- Zhang, R.; Zhang, T.; Xu, L.; Han, F.; Zhao, Y.; Ni, Z. A new series of short axially symmetrically and asymmetrically 1,3,6,8-tetrasubstituted pyrenes with two types of substituents: Syntheses, structures, photophysical properties and electroluminescence. J. Mol. Struct. 2017, 1127, 237–246. [Google Scholar] [CrossRef]
- Wang, Z.; Li, R.; Chen, Y.; Tan, Y.-Z.; Tu, Z.; Gao, X.J.; Dong, H.; Yi, Y.; Zhang, Y.; Hu, W.; et al. A novel angularly fused bistetracene: facile synthesis, crystal packing and single-crystal field effect transistors. J. Mater. Chem. C 2017, 5, 1308–1312. [Google Scholar] [CrossRef]
- Gong, X.; Zheng, C.; Feng, X.; Huan, Y.; Li, J.; Yi, M.; Fu, Z.; Huang, W.; Gao, D. 1,8-Substituted Pyrene Derivatives for High-Performance Organic Field-Effect Transistors. Chem.—An Asian J. 2018, 13, 3920–3927. [Google Scholar] [CrossRef] [PubMed]
- Li, D.; Shao, J.-Y.; Li, Y.; Li, Y.; Deng, L.-Y.; Zhong, Y.-W.; Meng, Q. New hole transporting materials for planar perovskite solar cells. Chem. Commun. 2018, 54, 1651–1654. [Google Scholar] [CrossRef] [PubMed]
- Lungerich, D.; Papaianina, O.; Feofanov, M.; Liu, J.; Devarajulu, M.; Troyanov, S.I.; Maier, S.; Amsharov, K. Dehydrative π-extension to nanographenes with zig-zag edges. Nat. Commun. 2018, 9, 4756. [Google Scholar] [CrossRef] [PubMed]
- Ronson, T.K.; Roberts, D.A.; Black, S.P.; Nitschke, J.R. Stacking Interactions Drive Selective Self-Assembly and Self-Sorting of Pyrene-Based M II 4 L 6 Architectures. J. Am. Chem. Soc. 2015, 137, 14502–14512. [Google Scholar] [CrossRef]
- Ronson, T.K.; League, A.B.; Gagliardi, L.; Cramer, C.J.; Nitschke, J.R. Pyrene-Edged Fe II 4 L 6 Cages Adaptively Reconfigure During Guest Binding. J. Am. Chem. Soc. 2014, 136, 15615–15624. [Google Scholar] [CrossRef] [PubMed]
- Casas-Solvas, J.M.; Howgego, J.D.; Davis, A.P. Synthesis of substituted pyrenes by indirect methods. Org. Biomol. Chem. 2014, 12, 212–232. [Google Scholar] [CrossRef] [PubMed]
- Ehrenhauser, F.S. PAH and IUPAC Nomenclature. Polycycl. Aromat. Compd. 2015, 35, 161–176. [Google Scholar] [CrossRef]
- Grimshaw, J.; Trocha-Grimshaw, J. Characterisation of 1,6- and 1,8-dibromopyrenes. J. Chem. Soc. Perkin Trans. 1 1972, 0, 1622. [Google Scholar] [CrossRef]
- Bheemireddy, S.R.; Ubaldo, P.C.; Finke, A.D.; Wang, L.; Plunkett, K.N. Contorted aromatics via a palladium-catalyzed cyclopentannulation strategy. J. Mater. Chem. C 2016, 4, 3963–3969. [Google Scholar] [CrossRef]
- Gong, X.; Xie, X.; Chen, N.; Zheng, C.; Zhu, J.; Chen, R.; Huang, W.; Gao, D. Two Symmetrically Bis-substituted Pyrene Derivatives: Synthesis, Photoluminescence, and Electroluminescence. Chin. J. Chem. 2015, 33, 967–973. [Google Scholar] [CrossRef]
- Liu, M.; Gong, X.; Zheng, C.; Gao, D. Development of Pyrene Derivatives as Promising n-Type Semiconductors: Synthesis, Structural and Spectral Properties. Asian J. Org. Chem. 2017, 6, 1903–1913. [Google Scholar] [CrossRef]
- Lee, H.; Kim, B.; Kim, S.; Kim, J.; Lee, J.; Shin, H.; Lee, J.-H.; Park, J. Synthesis and electroluminescence properties of highly efficient dual core chromophores with side groups for blue emission. J. Mater. Chem. C 2014, 2, 4737–4747. [Google Scholar] [CrossRef]
- Kim, B.; Park, Y.; Lee, J.; Yokoyama, D.; Lee, J.-H.; Kido, J.; Park, J. Synthesis and electroluminescence properties of highly efficient blue fluorescence emitters using dual core chromophores. J. Mater. Chem. C 2013, 1, 432–440. [Google Scholar] [CrossRef]
- Jung, M.; Lee, J.; Jung, H.; Park, J. Synthesis and Physical Properties of New Pyrene Derivative with Bulky Side Groups for Blue Emission. J. Nanosci. Nanotechnol. 2016, 16, 8796–8799. [Google Scholar] [CrossRef]
- Jung, M.; Lee, J.; Jung, H.; Kang, S.; Wakamiya, A.; Park, J. Highly efficient pyrene blue emitters for OLEDs based on substitution position effect. Dye. Pigment. 2018, 158, 42–49. [Google Scholar] [CrossRef]
- Kim, J.-H.; Lee, S.; Kang, I.-N.; Park, M.-J.; Hwang, D.-H. Photovoltaic devices using semiconducting polymers containing head-to-tail-structured bithiophene, pyrene, and benzothiadiazole derivatives. J. Polym. Sci. Part A Polym. Chem. 2012, 50, 3415–3424. [Google Scholar] [CrossRef]
- Kim, J.-H.; Kim, H.U.; Kang, I.-N.; Lee, S.K.; Moon, S.-J.; Shin, W.S.; Hwang, D.-H. Incorporation of Pyrene Units to Improve Hole Mobility in Conjugated Polymers for Organic Solar Cells. Macromolecules 2012, 45, 8628–8638. [Google Scholar] [CrossRef]
- Keshtov, M.L.; Sharma, G.D.; Godovskii, D.Y.; Belomoina, N.M.; Geng, Y.; Zou, Y.; Kochurov, V.S.; Stakhanov, A.I.; Khokhlov, A.R. Novel electron-withdrawing π-conjugated pyrene-containing poly(phenylquinoxaline)s. Dokl. Chem. 2014, 456, 65–71. [Google Scholar] [CrossRef]
- Connor, D.M.; Kriegel, R.M.; Collard, D.M.; Liotta, C.L.; Schiraldi, D.A. Pyrene and anthracene dicarboxylic acids as fluorescent brightening comonomers for polyester. J. Polym. Sci. Part A Polym. Chem. 2000, 38, 1291–1301. [Google Scholar] [CrossRef]
- Suenaga, H.; Nakashima, K.; Mizuno, T.; Takeuchi, M.; Hamachi, I.; Shinkai, S. Pyrenylboronic acids as a novel entry for photochemical DNA cleavage: diradical-forming pyrene-1,6-diyldiboronic acid mimics the cleavage mechanism of enediyne antitumor antibiotics. J. Chem. Soc. Perkin Trans. 1 1998, 0, 1263–1268. [Google Scholar] [CrossRef]
- Kaplunov, M.G.; Yakushchenko, I.K.; Krasnikova, S.S.; Echmaev, S.B. Novel 1,8-bis(diarylamino)pyrenes as OLED materials. Mendeleev Commun. 2016, 26, 437–439. [Google Scholar] [CrossRef]
- Hu, J.-Y.; Hiyoshi, H.; Do, J.-H.; Yamato, T. Synthesis and fluorescence emission properties of 1,3,6,8-tetrakis(9H-fluoren-2-yl)pyrene derivative. J. Chem. Res. 2010, 2010, 278–282. [Google Scholar] [CrossRef]
- Arai, R.; Uemura, S.; Irie, M.; Matsuda, K. Reversible Photoinduced Change in Molecular Ordering of Diarylethene Derivatives at a Solution−HOPG Interface. J. Am. Chem. Soc. 2008, 130, 9371–9379. [Google Scholar] [CrossRef] [PubMed]
- He, C.; He, Q.; Chen, Q.; Shi, L.; Cao, H.; Cheng, J.; Deng, C.; Lin, T. Highly fluorescent intramolecular dimmers of two pyrenyl-substituted fluorenes bridged by 1,6-hexanyl: synthesis, spectroscopic, and self-organized properties. Tetrahedron Lett. 2010, 51, 1317–1321. [Google Scholar] [CrossRef]
- Nakamura, H.; Tomonaga, Y.; Miyata, K.; Uchida, M.; Terao, Y. Reaction of Polycyclic Aromatic Hydrocarbons Adsorbed on Silica in Aqueous Chlorine. Environ. Sci. Technol. 2007, 41, 2190–2195. [Google Scholar] [CrossRef] [PubMed]
- Minabe, M.; Takeshige, S.; Soeda, Y.; Kimura, T.; Tsubota, M. Electrophilic Substitution of Monosubstituted Pyrenes. Bull. Chem. Soc. Jpn. 1994, 67, 172–179. [Google Scholar] [CrossRef]
- Cabral, L.I.L.; Henriques, M.S.C.; Paixão, J.A.; Cristiano, M.L.S. Synthesis and structure of 2-substituted pyrene-derived scaffolds. Tetrahedron Lett. 2017, 58, 4547–4550. [Google Scholar] [CrossRef]
- Casas-Solvas, J.; Mooibroek, T.; Sandramurthy, S.; Howgego, J.; Davis, A. A Practical, Large-Scale Synthesis of Pyrene-2-Carboxylic Acid. Synlett 2014, 25, 2591–2594. [Google Scholar]
- Gerasimenko, Y.E.P. No Title. J. Org. Chem. USSR (Engl. Transl.) 1972, 8, 1084. [Google Scholar]
- Nielsen, T.; Siigur, K.; Helweg, C.; Jørgensen, O.; Hansen, P.E.; Kirso, U. Sorption of Polycyclic Aromatic Compounds to Humic Acid As Studied by High-Performance Liquid Chromatography. Environ. Sci. Technol. 1997, 31, 1102–1108. [Google Scholar] [CrossRef]
- Xu, K.; Fu, Y.; Zhou, Y.; Hennersdorf, F.; Machata, P.; Vincon, I.; Weigand, J.J.; Popov, A.A.; Berger, R.; Feng, X. Cationic Nitrogen-Doped Helical Nanographenes. Angew. Chemie Int. Ed. 2017, 56, 15876–15881. [Google Scholar] [CrossRef] [PubMed]
- Wang, Z.; Li, J.; Zhang, S.; Wang, Q.; Dai, G.; Liu, B.; Zhu, X.; Li, Z.; Kolodziej, C.; McCleese, C.; et al. Stable 2D Bisthienoacenes: Synthesis, Crystal Packing, and Photophysical Properties. Chem.—A Eur. J. 2018, 24, 14442–14447. [Google Scholar] [CrossRef]
- Soujanya, T.; Philippon, A.; Leroy, S.; Vallier, M.; Fages, F. Tunable Photophysical Properties of Two 2,2‘-Bipyridine-Substituted Pyrene Derivatives. J. Phys. Chem. A 2000, 104, 9408–9414. [Google Scholar] [CrossRef]
- Sbargoud, K.; Mamada, M.; Jousselin-Oba, T.; Takeda, Y.; Tokito, S.; Yassar, A.; Marrot, J.; Frigoli, M. Low Bandgap Bistetracene-Based Organic Semiconductors Exhibiting Air Stability, High Aromaticity and Mobility. Chem.—A Eur. J. 2017, 23, 5076–5080. [Google Scholar] [CrossRef]
- Jousselin-Oba, T.; Sbargoud, K.; Vaccaro, G.; Meinardi, F.; Yassar, A.; Frigoli, M. Novel Fluorophores based on Regioselective Intramolecular Friedel-Crafts Acylation of the Pyrene Ring Using Triflic Acid. Chem.—A Eur. J. 2017, 23, 16184–16188. [Google Scholar] [CrossRef] [PubMed]
- Zhai, G.; Wei, C.; Chen, S.; Yin, X.; Xiao, J.; Su, W. Synthesis and red electroluminescence of a dimesityl-functionalized bistetracene. Chinese Chem. Lett. 2018, 29, 293–296. [Google Scholar] [CrossRef]
- Wang, Z.; Xu, C.; Wang, W.; Dong, X.; Zhao, B.; Ji, B. Novel pyrene derivatives: Synthesis, properties and highly efficient non-doped deep-blue electroluminescent device. Dyes Pigments 2012, 92, 732–736. [Google Scholar] [CrossRef]
- Wang, Z.-Q.; Liu, C.-L.; Zheng, C.-J.; Wang, W.-Z.; Xu, C.; Zhu, M.; Ji, B.-M.; Li, F.; Zhang, X.-H. Efficient violet non-doped organic light-emitting device based on a pyrene derivative with novel molecular structure. Org. Electron. 2015, 23, 179–185. [Google Scholar] [CrossRef]
- Lee, S.B.; Park, K.H.; Joo, C.W.; Lee, J.-I.; Lee, J.; Kim, Y.-H. Highly twisted pyrene derivatives for non-doped blue OLEDs. Dyes Pigments 2016, 128, 19–25. [Google Scholar] [CrossRef]
- Liu, X.; Tian, F.; Han, Y.; Song, T.; Zhao, X.; Xiao, J. Synthesis, physical properties and electroluminescence of functionalized pyrene derivative. Dyes Pigments 2019, 167, 22–28. [Google Scholar] [CrossRef]
- Zhu, J.; Yin, N.; Feng, L. Two non-doped blue emitters for electroluminescent devices: Preparation, photophysics and electroluminescence. Dyes Pigments 2016, 132, 121–127. [Google Scholar] [CrossRef]
- Gong, X.; Heeran, D.; Zhao, Q.; Zheng, C.; Yufit, D.S.; Sandford, G.; Gao, D. Synthesis of Fluoro and Cyanoaryl-Containing Pyrene Derivatives and their Optical and Electrochemical Properties. Asian J. Org. Chem. 2019, 8, 722–730. [Google Scholar] [CrossRef]
- Gong, X.; Pan, Y.; Xie, X.; Tong, T.; Chen, R.; Gao, D. Synthesis, characterization and electroluminescence of two highly-twisted non-doped blue light-emitting materials. Opt. Mater. (Amst). 2018, 78, 94–101. [Google Scholar] [CrossRef]
- Sang, M.; Cao, S.; Yi, J.; Huang, J.; Lai, W.-Y.; Huang, W. Multi-substituted triazatruxene-functionalized pyrene derivatives as efficient organic laser gain media. RSC Adv. 2016, 6, 6266–6275. [Google Scholar] [CrossRef]
- Zhang, H.; Zhao, L.; Luo, Q.; Zhao, Y.; Yu, T. Synthesis, Characterization and Luminescent Properties of Anthracen- or Pyrene-Based Coumarin Derivatives. J. Fluoresc. 2018, 28, 1143–1150. [Google Scholar] [CrossRef] [PubMed]
- Sugiura, K.; Mikami, S.; Iwasaki, K.; Hino, S.; Asato, E.; Sakata, Y. Synthesis, properties, molecular structure and electron transfer salts of 13,13,14,14-tetracyano-1,6- and -1,8-pyrenoquinodimethanes (1,6-TCNP and 1,8-TCNP). J. Mater. Chem. 2000, 10, 315–319. [Google Scholar] [CrossRef]
- Lee, Y.-S.; Kim, S.; Lee, H.; Shin, H.; Jung, H.; Park, J.; Koo, K.-K. Efficient White Organic Light Emitting Diodes Using New Blue Fluorescence Emitter Based on Vacuum and Solution Process. J. Nanosci. Nanotechnol. 2017, 17, 4339–4342. [Google Scholar] [CrossRef]
- Lee, S.; Kim, B.; Jung, H.; Shin, H.; Lee, H.; Lee, J.; Park, J. Synthesis and electroluminescence properties of new blue dual-core OLED emitters using bulky side chromophores. Dye. Pigment. 2017, 136, 255–261. [Google Scholar] [CrossRef]
- Lee, J.; Kim, B.; Park, J. Excimer Formation Promoted by Steric Hindrance in Dual Core Chromophore for Organic Light-Emitting Diodes Emitters. J. Nanosci. Nanotechnol. 2016, 16, 8854–8857. [Google Scholar] [CrossRef]
- Shin, H.; Kim, B.; Jung, H.; Lee, J.; Lee, H.; Kang, S.; Moon, J.; Kim, J.; Park, J. Achieving a high-efficiency dual-core chromophore for emission of blue light by testing different side groups and substitution positions. RSC Adv. 2017, 7, 55582–55593. [Google Scholar] [CrossRef]
- Wang, Z.; Zheng, C.; Fu, W.; Xu, C.; Wu, J.; Ji, B. Efficient non-doped deep-blue electroluminescence devices based on unsymmetrical and highly twisted pyrene derivatives. New J. Chem. 2017, 41, 14152–14160. [Google Scholar] [CrossRef]
- He, Y.-Q.; Zhong, Y.-W. The synthesis of 2- and 2,7-functionalized pyrene derivatives through Ru(II)-catalyzed C–H activation. Chem. Commun. 2015, 51, 3411–3414. [Google Scholar] [CrossRef] [PubMed]
- Konidena, R.K.; Justin Thomas, K.R.; Singh, M.; Jou, J.-H. Thienylphenothiazine integrated pyrenes: an account on the influence of substitution patterns on their optical and electroluminescence properties. J. Mater. Chem. C 2016, 4, 4246–4258. [Google Scholar] [CrossRef]
- Huang, J.; Wang, S.; Wu, G.; Yan, L.; Dong, L.; Lai, X.; Yin, S.; Song, B. Mono-molecule-layer nano-ribbons formed by self-assembly of bolaamphiphiles. Soft Matter 2014, 10, 1018. [Google Scholar] [CrossRef] [PubMed]
- Werder, S.; Malinovskii, V.L.; Häner, R. Triazolylpyrenes: Synthesis, Fluorescence Properties, and Incorporation into DNA. Org. Lett. 2008, 10, 2011–2014. [Google Scholar] [CrossRef]
- Liu, H.; Wang, L.; Wu, Y.; Liao, Q. Luminescence emission-modulated based on specific two-photon compound of triazole-conjugated pyrene derivative. RSC Adv. 2017, 7, 19002–19006. [Google Scholar] [CrossRef]
- Jeong, S.; Park, S.H.; Kim, K.-S.; Kwon, Y.; Ha, K.-R.; Choi, B.-D.; Han, Y.S. Synthesis and Electro-Optical Properties of Carbazole-Substituted Pyrene Derivatives. J. Nanosci. Nanotechnol. 2011, 11, 4351–4356. [Google Scholar] [CrossRef]
- Zych, D.; Slodek, A.; Frankowska, A. Is it worthwhile to deal with 1,3-disubstituted pyrene derivatives? – Photophysical, optical and theoretical study of substitution position effect of pyrenes containing tetrazole groups. Comput. Mater. Sci. 2019, 165, 101–113. [Google Scholar] [CrossRef]
- Idzik, K.R.; Licha, T.; Lukeš, V.; Rapta, P.; Frydel, J.; Schaffer, M.; Taeuscher, E.; Beckert, R.; Dunsch, L. Synthesis and Optical Properties of Various Thienyl Derivatives of Pyrene. J. Fluoresc. 2014, 24, 153–160. [Google Scholar] [CrossRef]
- Idzik, K.R.; Ledwon, P.; Licha, T.; Kuznik, W.; Lapkowski, M.; Frydel, J. Furyl derivatives of pyrene: Efficient synthesis and relevant optical properties. Dye. Pigment. 2014, 103, 55–61. [Google Scholar] [CrossRef]
- Wegner, H.A.; Reisch, H.; Rauch, K.; Demeter, A.; Zachariasse, K.A.; Meijere, A.; Scott, L.T. Oligoindenopyrenes: A New Class of Polycyclic Aromatics. J. Org. Chem. 2006, 71, 9080–9087. [Google Scholar] [CrossRef] [PubMed]
- Abdelhamid, A.O.; Gomha, S.M. The Chemistry of Acetylpyrazoles and Its Utility in Heterocyclic Synthesis. J. Heterocycl. Chem. 2019, 56, 726–758. [Google Scholar] [CrossRef]
- Rajagopal, S.K.; Philip, A.M.; Nagarajan, K.; Hariharan, M. Progressive acylation of pyrene engineers solid state packing and colour via C–H⋯H–C, C–H⋯O and π–π interactions. Chem. Commun. 2014, 50, 8644–8647. [Google Scholar] [CrossRef] [PubMed]
- Chouai, L.; Wu, F.; Jang, Y.; Thummel, R.P. Pyrene-Bridged Bis(phenanthroline) Ligands and Their Dinuclear Ruthenium(II) Complexes. Eur. J. Inorg. Chem. 2003, 2774–2782. [Google Scholar] [CrossRef]
- Harvey, R.G.; Pataki, J.; Lee, H. The Friedel-Crafts acylation and benzoylation of pyrene. Org. Prep. Proced. Int. 1984, 16, 144–148. [Google Scholar] [CrossRef]
- Earle, M.J.; Seddon, K.R.; Adams, C.J.; Roberts, G. Friedel–Crafts reactions in room temperature ionic liquids. Chem. Commun. 1998, 0, 2097–2098. [Google Scholar] [CrossRef]
- Fernández-Mato, A.; Blanco, G.; Quintela, J.M.; Peinador, C. Synthesis of new bis(2-[1,8]naphthyridinyl) bridging ligands with multidentate binding sites. Tetrahedron 2008, 64, 3446–3456. [Google Scholar] [CrossRef]
- Rajagopal, S.K.; Salini, P.S.; Hariharan, M. S···π, π–π, and C–H···π Contacts Regulate Solid State Fluorescence in Regioisomeric Bisthiazolylpyrenes. Cryst. Growth Des. 2016, 16, 4567–4573. [Google Scholar] [CrossRef]
- Feng, X.; Hu, J.-Y.; Yi, L.; Seto, N.; Tao, Z.; Redshaw, C.; Elsegood, M.R.J.; Yamato, T. Pyrene-Based Y-shaped Solid-State Blue Emitters: Synthesis, Characterization, and Photoluminescence. Chem.—An Asian J. 2012, 7, 2854–2863. [Google Scholar] [CrossRef]
- Feng, X.; Tomiyasu, H.; Hu, J.-Y.; Wei, X.; Redshaw, C.; Elsegood, M.R.J.; Horsburgh, L.; Teat, S.J.; Yamato, T. Regioselective Substitution at the 1,3- and 6,8-Positions of Pyrene for the Construction of Small Dipolar Molecules. J. Org. Chem. 2015, 80, 10973–10978. [Google Scholar] [CrossRef]
© 2019 by the author. Licensee MDPI, Basel, Switzerland. This article is an open access article distributed under the terms and conditions of the Creative Commons Attribution (CC BY) license (http://creativecommons.org/licenses/by/4.0/).


























































