Structural, Physical, and Antifungal Characterization of Starch Edible Films Added with Nanocomposites and Mexican Oregano (Lippia berlandieri Schauer) Essential Oil
Abstract
1. Introduction
2. Results and Discussion
2.1. EO Chemical Composition
2.2. Physical Properties
2.3. Structural Analyses
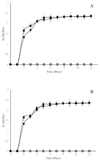
2.4. Antifungal Properties
3. Materials and Methods
3.1. Reagents, Culture Media and EO
3.2. Film Preparation
3.3. Chemical Characterization of Mexican Oregano Essential Oil
3.4. Physical Films Properties
Color
Thickness
3.5. Films O2 and CO2 Permeability
3.6. Films Structural Analysis
3.7. Antifungal Effect
3.8. Modeling andStatistical Analysis
Author Contributions
Acknowledgments
Conflicts of Interest
References
- Li, M.; Tian, X.; Jin, R.; Li, D. Preparation and Characterization of Nanocomposite Films Containing Starch and Cellulose Nanofibers. Ind. Crops Prod. 2018, 123, 654–660. [Google Scholar] [CrossRef]
- Hu, X.; Jia, X.; Zhi, C.; Jin, Z.; Miao, M. Improving the Properties of Starch-Based Antimicrobial Composite Films Using ZnO-Chitosan Nanoparticles. Carbohydr. Polym. 2019, 210, 204–209. [Google Scholar] [CrossRef] [PubMed]
- Avila-Sosa, R.; Hernández-Zamoran, E.; López-Mendoza, I.; Palou, E.; Munguía, M.T.J.; Nevárez-Moorillón, G.V.; López-Malo, A. Fungal Inactivation by Mexican Oregano (Lippia Berlandieri Schauer) Essential Oil Added to Amaranth, Chitosan, or Starch Edible Films. J. Food Sci. 2010, 75, M127–M133. [Google Scholar] [CrossRef] [PubMed]
- Acosta, S.; Chiralt, A.; Santamarina, P.; Rosello, J.; González-Martínez, C.; Cháfer, M. Antifungal Films Based on Starch-Gelatin Blend, Containing Essential Oils. Food Hydrocoll. 2016, 61, 233–240. [Google Scholar] [CrossRef]
- Lorenzo, J.M.; Batlle, R.; Gómez, M. Extension of the Shelf-Life of Foal Meat with Two Antioxidant Active Packaging Systems. LWT Food Sci. Technol. 2014, 59, 181–188. [Google Scholar] [CrossRef]
- Wu, H.; Lei, Y.; Zhu, R.; Zhao, M.; Lu, J.; Xiao, D.; Jiao, C.; Zhang, Z.; Shen, G.; Li, S. Preparation and Characterization of Bioactive Edible Packaging Films Based on Pomelo Peel Flours Incorporating Tea Polyphenol. Food Hydrocoll. 2019, 90, 41–49. [Google Scholar] [CrossRef]
- Thakur, R.; Pristijono, P.; Scarlett, C.J.; Bowyer, M.; Singh, S.P.; Vuong, Q.V. Starch-Based Films: Major Factors Affecting Their Properties. Int. J. Biol. Macromol. 2019, 132, 1079–1089. [Google Scholar] [CrossRef] [PubMed]
- Kumari, M.; Mahajan, H.; Joshi, R.; Gupta, M. Development and Structural Characterization of Edible Films for Improving Fruit Quality. Food Packag. Shelf Life 2017, 12, 42–50. [Google Scholar] [CrossRef]
- Li, J.; Ye, F.; Lei, L.; Zhao, G. Combined Effects of Octenylsuccination and Oregano Essential Oil on Sweet Potato Starch Films with an Emphasis on Water Resistance. Int. J. Biol. Macromol. 2018, 115, 547–553. [Google Scholar] [CrossRef]
- Yu, Z.; Alsammarraie, F.K.; Nayigiziki, F.X.; Wang, W.; Vardhanabhuti, B.; Mustapha, A.; Lin, M. Effect and Mechanism of Cellulose Nanofibrils on the Active Functions of Biopolymer-Based Nanocomposite Films. Food Res. Int. 2017, 99, 166–172. [Google Scholar] [CrossRef]
- Roy, S.; Rhim, J.W. Preparation of Carrageenan-Based Functional Nanocomposite Films Incorporated with Melanin Nanoparticles. Colloids Surf. B Biointerfaces 2019, 176, 317–324. [Google Scholar] [CrossRef] [PubMed]
- Li, J.; Zhou, M.; Cheng, G.; Cheng, F.; Lin, Y.; Zhu, P.X. Fabrication and Characterization of Starch-Based Nanocomposites Reinforced with Montmorillonite and Cellulose Nanofibers. Carbohydr. Polym. 2019, 210, 429–436. [Google Scholar] [CrossRef] [PubMed]
- Davachi, S.M.; Shekarabi, A.S. Preparation and Characterization of Antibacterial, Eco-Friendly Edible Nanocomposite Films Containing Salvia Macrosiphon and Nanoclay. Int. J. Biol. Macromol. 2018, 113, 66–72. [Google Scholar] [CrossRef] [PubMed]
- Giannakas, A.; Vlacha, M.; Salmas, C.; Leontiou, A.; Katapodis, P.; Stamatis, H.; Barkoula, N.-M. Preparation, Characterization, Mechanical, Barrier and Antimicrobial Properties of Chitosan/PVOH/Clay Nanocomposites. Carbohydr. Polym. 2016, 140, 408–415. [Google Scholar] [CrossRef] [PubMed]
- Palou, L.; Valencia-Chamorro, S.; Pérez-Gago, M. Antifungal Edible Coatings for Fresh Citrus Fruit: A Review. Coatings 2015, 5, 962–986. [Google Scholar] [CrossRef]
- Abdollahi, M.; Damirchi, S.; Shafafi, M.; Rezaei, M.; Ariaii, P. Carboxymethyl Cellulose-Agar Biocomposite Film Activated with Summer Savory Essential Oil as an Antimicrobial Agent. Int. J. Biol. Macromol. 2019, 126, 561–568. [Google Scholar] [CrossRef] [PubMed]
- Ali, A.; Chen, Y.; Liu, H.; Yu, L.; Baloch, Z.; Khalid, S.; Zhu, J.; Chen, L. Starch-Based Antimicrobial Films Functionalized by Pomegranate Peel. Int. J. Biol. Macromol. 2018, 129, 1120–1126. [Google Scholar] [CrossRef] [PubMed]
- Salgado, P.R.; Ortiz, C.M.; Musso, Y.S.; Di Giorgio, L.; Mauri, A.N. Edible Films and Coatings Containing Bioactives. Curr. Opin. Food Sci. 2015, 5, 86–92. [Google Scholar] [CrossRef]
- Dunford, N.T.; Silva-Vazquez, R. Effect of Water Stress on Plant Growth and Thymol and Carvacrol Concentrations in Mexican Oregano Grown under Controlled Conditions. J. Appl. Hortic. 2005, 7, 20–22. [Google Scholar]
- Avila-Sosa, R.; Gastélum-Franco, M.G.; Camacho-Dávila, A.; Torres-Muñoz, J.V.; Nevárez-Moorillón, G.V. Extracts of Mexican Oregano (Lippia Berlandieri Schauer) with Antioxidant and Antimicrobial Activity. Food Bioprocess Technol. 2010, 3, 434–440. [Google Scholar] [CrossRef]
- Arcila-Lozano, C.; Loarca-Piña, G.; Lecona-Uribe, S.; González de Mejía, E. El Orégano: Propiedades, Composición y Actividad Biológica de Sus Componentes. Arch. Latinoam. Nutr. 2004, 54, 100–111. [Google Scholar] [PubMed]
- Brigatti, M.F.; Galan, E.; Theng, B.K.G. Structures and Mineralogy of Clay Minerals. In Handbook of Clay Science. Developments in Clay Science; Bergaya, F., Theng, B.K.G., Lagaly, G., Eds.; Elsevier: New York, NY, USA, 2006; pp. 19–86. [Google Scholar]
- Flaker, C.H.C.; Lourenço, R.V.; Bittante, A.M.Q.B.; Sobral, P.J.A. Gelatin-Based Nanocomposite Films: A Study on Montmorillonite Dispersion Methods and Concentration. J. Food Eng. 2015, 167, 65–70. [Google Scholar] [CrossRef]
- Voon, H.C.; Bhat, R.; Easa, A.M.; Liong, M.T.; Karim, A.A. Effect of Addition of Halloysite Nanoclay and SiO 2 Nanoparticles on Barrier and Mechanical Properties of Bovine Gelatin Films. Food Bioprocess Technol. 2012, 5, 1766–1774. [Google Scholar] [CrossRef]
- Escamilla-García, M.; Calderón-Domínguez, G.; Chanona-Pérez, J.J.; Mendoza-Madrigal, A.G.; Di Pierro, P.; García-Almendárez, B.E.; Amaro-Reyes, A.; Regalado-González, C. Physical, Structural, Barrier, and Antifungal Characterization of Chitosan-Zein Edible Films with Added Essential Oils. Int. J. Mol. Sci. 2017, 18, 2370. [Google Scholar] [CrossRef] [PubMed]
- Slavutsky, A.M.; Bertuzzi, M.A.; Armada, M.; García, M.G.; Ochoa, N.A. Preparation and Characterization of Montmorillonite/Brea Gum Nanocomposites Films. Food Hydrocoll. 2014, 35, 270–278. [Google Scholar] [CrossRef]
- Manjarrez Nevárez, L.; Ballinas Casarrubias, L.; Canto, O.S.; Celzard, A.; Fierro, V.; Ibarra Gómez, R.; González Sánchez, G. Biopolymers-Based Nanocomposites: Membranes from Propionated Lignin and Cellulose for Water Purification. Carbohydr. Polym. 2011, 86, 732–741. [Google Scholar] [CrossRef]
- Casariego, A.; Souza, B.W.S.; Cerqueira, M.A.; Teixeira, J.A.; Cruz, L.; Díaz, R.; Vicente, A.A. Chitosan/Clay Films’ Properties as Affected by Biopolymer and Clay Micro/Nanoparticles’ Concentrations. Food Hydrocoll. 2009, 23, 1895–1902. [Google Scholar] [CrossRef]
- Sales Monteiro, M.K.; Leal de Oliveira, V.R.; Gomes do Santos, F.K.; de Lima Leite, R.H.; Mendes Aroucha, E.M.; da Silva, R.R.; de Oliveira Silva, K.N. Analysis of Water Barrier, Mechanical and Thermal Properties of Nanocoposites Based on Cassava Starch and Natural Clay or Modified by Anionic Exchange. Mater. Res. 2017, 20, 69–76. [Google Scholar] [CrossRef][Green Version]
- Sahraee, S.; Milani, J.M.; Ghanbarzadeh, B.; Hamishehkar, H. Physicochemical and Antifungal Properties of Bio-Nanocomposite Film Based on Gelatin-Chitin Nanoparticles. Int. J. Biol. Macromol. 2017, 97, 373–381. [Google Scholar] [CrossRef]
- Sahraee, S.; Milani, J.M.; Ghanbarzadeh, B.; Hamishehkar, H. Effect of Corn Oil on Physical, Thermal, and Antifungal Properties of Gelatin-Based Nanocomposite Films Containing Nano Chitin. LWT Food Sci. Technol. 2017, 76, 33–39. [Google Scholar] [CrossRef]
- Ortega-Toro, R.; Collazo-Bigliardi, S.; Roselló, J.; Santamarina, P.; Chiralt, A. Antifungal Starch-Based Edible Films Containing Aloe Vera. Food Hydrocoll. 2017, 72, 1–10. [Google Scholar] [CrossRef]
- Portillo-Ruiz, M.; Viramontes-Ramos, S.; Muñoz-Castellanos, L.; Gastélum-Franco, M.; Nevárez-Moorillón, G. Antifungal Activity of Mexican Oregano (Lippia Berlandieri Shauer). J. Food Prot. 2005, 68, 2713–2717. [Google Scholar] [CrossRef]
- Srinivasa, P.C.; Tharanathan, R.N. Chitin/Chitosan—Safe, Ecofriendly Packaging Materials with Multiple Potential Uses. Food Rev. Int. 2007, 23, 53–72. [Google Scholar] [CrossRef]
- Ponce, A.; Roura, S.; del Valle, C.; Moreira, M. Antimicrobial and Antioxidant Activities of Edible Coatings Enriched with Natural Plants Extracts: In Vitro and in Vivo Studies. Postharvest Biol. Technol. 2008, 49, 294–300. [Google Scholar] [CrossRef]
- Bertuzzi, M.A.; Castro Vidaurre, E.F.; Armada, M.; Gottifredi, J.C. Water Vapor Permeability of Edible Starch Based Films. J. Food Eng. 2007, 80, 972–978. [Google Scholar] [CrossRef]
- Aparicio-Fernández, X.; Vega-Ahuatzin, A.; Ochoa-Velasco, C.E.; Cid-Pérez, S.; Hernández-Carranza, P.; Ávila-Sosa, R. Physical and Antioxidant Characterization of Edible Films Added with Red Prickly Pear (Opuntia Ficus-Indica L.) Cv. San Martín Peel and/or Its Aqueous Extracts. Food Bioprocess Technol. 2018, 11, 368–379. [Google Scholar] [CrossRef]
- Mujica-Paz, H.; Gontard, N. Oxygen and Carbon Dioxide Permeability of Wheat Gluten Film: Effect of Relative Humidity and Temperature. J. Agric. Food Chem. 1997, 45, 4101–4105. [Google Scholar] [CrossRef]
- Sebti, I.; Martial-Gros, A.; Carnet-Pantiez, A.; Grelier, S.; Coma, V. Chitosan Polymer as Bioactive Coating and Film against Aspergillus Niger Contamination. J. Food Sci. 2007, 70, 100–104. [Google Scholar] [CrossRef]
- Char, C.; Guerrero, S.; Alzamora, S. Growth of Eurotium Chevalieri in Milk Jam: Influence of PH, Potassium Sorbate and Water Activity. J. Food Saf. 2007, 27, 1–6. [Google Scholar] [CrossRef]
Sample Availability: Samples of the compounds are available from the authors. |






| L* | h* | Thickness (μm) | O2 Permeability (mL O2/m × s × bar) | CO2 Permeability (mL CO2/m × s × bar) | ||
|---|---|---|---|---|---|---|
| Control | 58.34 ± 1.12 a | 0.82 ± 0.14 a | 10.24 ± 2.15 a | 1.47 × 10−6 ± 3.32 × 10−8 a | 3.14 × 10−8 ± 7.55 × 10−10 a | |
| Bentonite | 0% | 51.45 ± 1.44 b | 0.61 ± 0.08 b | 13.32 ± 2.31 a | 2.34 × 10−6 ± 3.72 × 10−8 b | 3.30 × 10−8 ± 5.32 × 10−10 a |
| 1% | 52.31 ± 1.31 b | 0.34 ± 0.05 c | 13.46 ± 1.96 a | 2.20 × 10−6 ± 5.53 × 10−8 b | 2.11 × 10−8 ± 5.02 × 10−10 b | |
| 2% | 50.67 ± 0.99 b | 0.15 ± 0.04 d | 16.34 ± 0.92 b | 2.12 × 10−6 ± 3.09 × 10−8 b | 1.71 × 10−8 ± 0.21 × 10−10 c | |
| Halloysite | 0% | 57.73 ± 2.03 a | 0.75 ± 0.13 a | 8.34 ± 1.16 a | 1.98 × 10−6 ± 5.28 × 10−8 c | 3.53 × 10−8 ± 0.18 × 10−10 d |
| 1% | 59.44 ± 1.72 a | 0.79 ± 0.11 a | 17.23 ± 1.52 b | 1.64 × 10−6 ± 1.80 × 10−8 d | 2.91 × 10−8 ± 0.28 × 10−10 e | |
| 2% | 57.59 ± 1.47 a | 1.14 ± 0.18 e | 18.21 ± 1.64 b | 1.71 × 10−6 ± 1.53 × 10−8 d | 2.26 × 10−8 ± 0.44 × 10−10 f |
| A | νmax (1/day) | λ (day) | ||
|---|---|---|---|---|
| A. niger | ||||
| Control | 2.45 ± 0.72 a | 0.65 ± 0.14 a | 1.05 ± 0.44 a | |
| Bentonite | 0% | 2.51 ± 0.31 a | 0.53 ± 0.11 a | 1.23 ± 0.67 a |
| 1% | - | - | >12 b | |
| 2% | - | - | >12 b | |
| Halloysite | 0% | 2.36 ± 0.16 a | 0.58 ± 0.08 a | 1.21 ± 0.22 a |
| 1% | - | - | >12 b | |
| 2% | - | - | >12 b | |
| Fusarium spp. | ||||
| Control | 2.31 ± 0.52 a | 0.45 ± 0.09 a | 1.32 ± 0.34 a | |
| Bentonite | 0% | 2.35 ± 0.12 a | 0.55 ± 0.10 a | 2.09 ± 0.25 b |
| 1% | 2.16 ± 0.21 a | 0.60 ± 0.06 a | 3.15 ± 0.32 c | |
| 2% | - | - | >12 d | |
| Halloysite | 0% | 2.31 ± 0.23 a | 0.65 ± 0.08 a | 2.13 ± 0.17 b |
| 1% | 2.23 ± 0.16 a | 0.57 ± 0.16 a | 3.09 ± 0.14 ac | |
| 2% | 2.19 ± 0.25 a | 0.58 ± 0.11 a | 3.14 ± 0.07 c | |
| Rhizopus spp. | ||||
| Control | 2.33 ± 0.17 a | 0.76 ± 0.19 a | 0.12 ± 0.02 a | |
| Bentonite | 0% | 2.28 ± 0.08 a | 0.67 ± 0.21 a | 0.08 ± 0.01 a |
| 1% | - | - | >12 b | |
| 2% | - | - | >12 b | |
| Halloysite | 0% | 2.31 ± 0.11 a | 0.51 ± 0.14 a | 0.13 ± 0.04 a |
| 1% | 2.28 ± 0.09 a | 0.56 ± 0.12 a | 1.12 ± 0.32 b | |
| 2% | - | - | >12 c | |
© 2019 by the authors. Licensee MDPI, Basel, Switzerland. This article is an open access article distributed under the terms and conditions of the Creative Commons Attribution (CC BY) license (http://creativecommons.org/licenses/by/4.0/).
Share and Cite
Aguilar-Sánchez, R.; Munguía-Pérez, R.; Reyes-Jurado, F.; Navarro-Cruz, A.R.; Cid-Pérez, T.S.; Hernández-Carranza, P.; Beristain-Bauza, S.d.C.; Ochoa-Velasco, C.E.; Avila-Sosa, R. Structural, Physical, and Antifungal Characterization of Starch Edible Films Added with Nanocomposites and Mexican Oregano (Lippia berlandieri Schauer) Essential Oil. Molecules 2019, 24, 2340. https://doi.org/10.3390/molecules24122340
Aguilar-Sánchez R, Munguía-Pérez R, Reyes-Jurado F, Navarro-Cruz AR, Cid-Pérez TS, Hernández-Carranza P, Beristain-Bauza SdC, Ochoa-Velasco CE, Avila-Sosa R. Structural, Physical, and Antifungal Characterization of Starch Edible Films Added with Nanocomposites and Mexican Oregano (Lippia berlandieri Schauer) Essential Oil. Molecules. 2019; 24(12):2340. https://doi.org/10.3390/molecules24122340
Chicago/Turabian StyleAguilar-Sánchez, Rocio, Ricardo Munguía-Pérez, Fatima Reyes-Jurado, Addí Rhode Navarro-Cruz, Teresa Soledad Cid-Pérez, Paola Hernández-Carranza, Silvia del Carmen Beristain-Bauza, Carlos Enrique Ochoa-Velasco, and Raúl Avila-Sosa. 2019. "Structural, Physical, and Antifungal Characterization of Starch Edible Films Added with Nanocomposites and Mexican Oregano (Lippia berlandieri Schauer) Essential Oil" Molecules 24, no. 12: 2340. https://doi.org/10.3390/molecules24122340
APA StyleAguilar-Sánchez, R., Munguía-Pérez, R., Reyes-Jurado, F., Navarro-Cruz, A. R., Cid-Pérez, T. S., Hernández-Carranza, P., Beristain-Bauza, S. d. C., Ochoa-Velasco, C. E., & Avila-Sosa, R. (2019). Structural, Physical, and Antifungal Characterization of Starch Edible Films Added with Nanocomposites and Mexican Oregano (Lippia berlandieri Schauer) Essential Oil. Molecules, 24(12), 2340. https://doi.org/10.3390/molecules24122340

