Ultrasonic Degradation of Konjac Glucomannan and the Effect of Freezing Combined with Alkali Treatment on Their Rheological Profiles
Abstract
:1. Introduction
2. Results and Discussion
2.1. Effects of Ultrasonic Time on the Intrinsic Viscosity and Viscosity Average Molecular Weight of KGM Solutions
2.2. Effects of Ultrasonic Time on the Molecular Morphology of KGM
2.3. FT-IR Analysis
2.4. Rheological Characterization
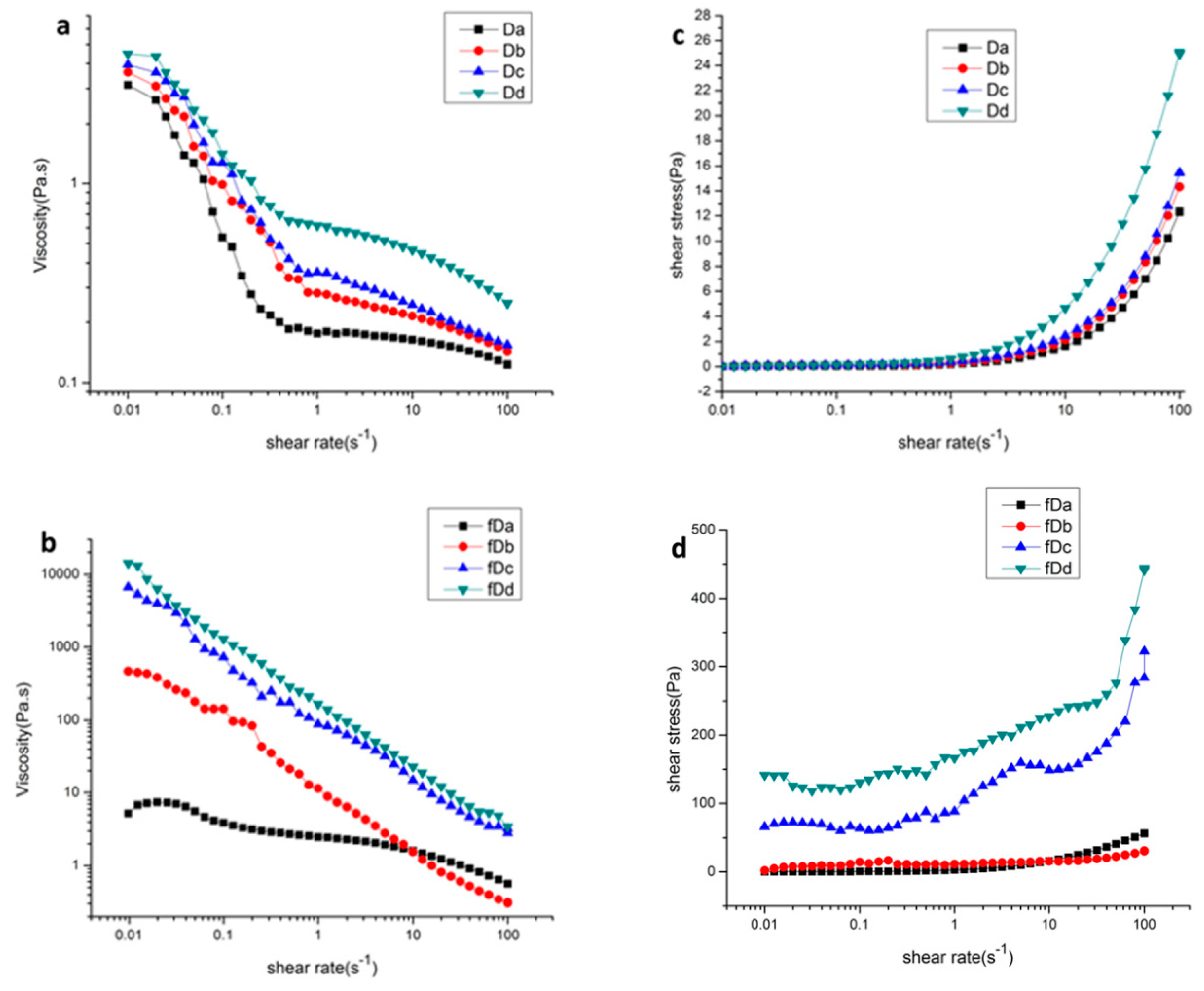
2.4.1. Effect of Alkali Concentration on Rheological Profiles
2.4.2. Effect of Sonication Time on Rheological Profiles
3. Material and Methods
3.1. Materials
3.2. Ultrasonic Treatment of Konjac Glucomannan
3.3. Intrinsic Viscosity of KGM Solutions
3.4. Atomic Force Microscopy (AFM) Measurement
3.5. Fourier Transformation Infrared (FT-IR) Analysis
3.6. Preparation of Deacetylated Konjac Glucomannan (Da-KGM) Sols
3.7. Preparation of Freezing Treated Da-KGM Sols
3.8. Rheological Characterization
4. Conclusions
Author Contributions
Funding
Conflicts of Interest
References
- Abbaszadeh, A.; Macnaughtan, W.; Sworn, G.; Foster, T.J. New insights into xanthan synergistic interactions with konjac glucomannan: A novel interaction mechanism proposal. Carbohydr. Polym. 2016, 144, 168–177. [Google Scholar] [CrossRef]
- Du, X.; Li, J.; Chen, J.; Li, B. Effect of degree of deacetylation on physicochemical and gelation properties of konjac glucomannan. Food Res. Int. 2012, 46, 270–278. [Google Scholar] [CrossRef]
- Behera, S.S.; Ray, R.C. Konjac glucomannan, a promising polysaccharide of Amorphophallus konjac K. Koch in health care. Int. J. Biol. Macromol. 2016, 92, 942–956. [Google Scholar] [CrossRef]
- Jimenez-Colmenero, F.; Cofrades, S.; Herrero, A.M.; Solas, M.T.; Ruiz-Capillas, C. Konjac gel for use as potential fat analogue for healthier meat product development: Effect of chilled and frozen storage. Food Hydrocoll. 2013, 30, 351–357. [Google Scholar] [CrossRef]
- Connolly, M.L.; Lovegrove, J.A.; Tuohy, K.M. Konjac glucomannan hydrolysate beneficially modulates bacterial composition and activity within the faecal microbiota. J. Funct. Foods 2010, 2, 219–224. [Google Scholar] [CrossRef]
- Wang, C.H.; Lai, P.; Chen, M.E.; Chen, H.L. Antioxidative capacity produced by Bifidobacterium-and Lactobacillus acidophilus-mediated fermentations of konjac glucomannan and glucomannan oligosaccharides. J. Sci. Food Agric. 2008, 88, 1294–1300. [Google Scholar] [CrossRef]
- Li, J.; Li, B.; Geng, P.; Song, A.X.; Wu, J.Y. Ultrasonic degradation kinetics and rheological profiles of a food polysaccharide (konjac glucomannan) in water. Food Hydrocoll. 2017, 70, 14–19. [Google Scholar] [CrossRef]
- Grönroos, A.; Pirkonen, P.; Ruppert, O. Ultrasonic depolymerization of aqueous carboxymethylcellulose. Ultrason. Sonochem. 2004, 11, 9–12. [Google Scholar] [CrossRef]
- Wang, Z.M.; Cheung, Y.C.; Leung, P.H.; Wu, J.Y. Ultrasonic treatment for improved solution properties of a high-molecular weight exopolysaccharide produced by a medicinal fungus. Bioresour. Technol. 2010, 101, 5517–5522. [Google Scholar] [CrossRef] [PubMed]
- Koda, S.; Taguchi, K.; Futamura, K. Effects of frequency and a radical scavenger on ultrasonic degradation of water-soluble polymers. Ultrason. Sonochem. 2011, 18, 276–281. [Google Scholar] [CrossRef]
- Lima, F.F.; Andrade, C.T. Effect of melt-processing and ultrasonic treatment on physical properties of high-amylose maize starch. Ultrason. Sonochem. 2010, 17, 637–641. [Google Scholar] [CrossRef]
- Hosseini, S.M.H.; Emam-Djomeh, Z.; Razavi, S.H.; Moosavi-Movahedi, A.A.; Saboury, A.A.; Atri, M.S.; Van der Meeren, P. β-Lactoglobulin–sodium alginate interaction as affected by polysaccharide depolymerization using high intensity ultrasound. Food Hydrocoll. 2013, 32, 235–244. [Google Scholar] [CrossRef]
- Zhang, H.; Yoshimura, M.; Nishinari, K.; Williams, M.A.K.; Foster, T.J.; Norton, I.T. Gelation behaviour of konjac glucomannan with different molecular weights. Biopolym. Orig. Res. Biomol. 2001, 59, 38–50. [Google Scholar] [CrossRef]
- Shen, D.; Wan, C.; Gao, S. Molecular weight effects on gelation and rheological properties of konjac glucomannan–xanthan mixtures. J. Polym. Sci. B Polym. Phys. 2010, 48, 313–321. [Google Scholar] [CrossRef]
- Kök, M.S.; Abdelhameed, A.S.; Ang, S.; Morris, G.A.; Harding, S.E. A novel global hydrodynamic analysis of the molecular flexibility of the dietary fibre polysaccharide konjac glucomannan. Food Hydrocoll. 2009, 23, 1910–1917. [Google Scholar] [CrossRef]
- Nishinari, K.; Zhang, H. Recent advances in the understanding of heat set gelling polysaccharides. Trends Food Sci. Technol. 2004, 15, 305–312. [Google Scholar] [CrossRef]
- Li, Z.; Wang, J.; Zheng, B.; Guo, Z. Effects of high pressure processing on gelation properties and molecular forces of myosin containing deacetylated konjac glucomannan. Food Chem. 2019, 291, 117–125. [Google Scholar] [CrossRef]
- Xu, K.; Guo, M.; Du, J.; Zhang, Z. Okra polysaccharide: Effect on the texture and microstructure of set yoghurt as a new natural stabilizer. Int. J. Biol. Macromol. 2019, 133, 117–126. [Google Scholar] [CrossRef] [PubMed]
- Nakao, Y. Curdlan: Properties and application to foods. Nippon Shokuhin Kogyo Gakkaishi. 1991, 38, 736–742. [Google Scholar] [CrossRef]
- Genevro, G.M.; de Moraes, M.A.; Beppu, M.M. Freezing influence on physical properties of glucomannan hydrogels. Int. J. Biol. Macromol. 2019, 128, 401–405. [Google Scholar] [CrossRef] [PubMed]
- Li, R.; Feke, D.L. Rheological and kinetic study of the ultrasonic degradation of xanthan gum in aqueous solution: Effects of pyruvate group. Carbohydr. Polym. 2015, 124, 216–221. [Google Scholar] [CrossRef]
- Li, R.; Feke, D.L. Rheological and kinetic study of the ultrasonic degradation of locust bean gum in aqueous saline and salt-free solutions. Ultrason. Sonochem. 2015, 27, 334–338. [Google Scholar] [CrossRef]
- Yu, X.; Zhou, C.; Yang, H.; Huang, X.; Ma, H.; Qin, X.; Hu, J. Effect of ultrasonic treatment on the degradation and inhibition cancer cell lines of polysaccharides from Porphyra yezoensis. Carbohydr. Polym. 2015, 117, 650–656. [Google Scholar] [CrossRef]
- Zdunek, A.; Kozioł, A.; Pieczywek, P.M.; Cybulska, J. Evaluation of the nanostructure of pectin, hemicellulose and cellulose in the cell walls of pears of different texture and firmness. Food Bioprocess. Technol. 2014, 7, 3525–3535. [Google Scholar] [CrossRef]
- Jin, W.; Song, R.; Xu, W.; Wang, Y.; Li, J.; Shah, B.R.; Li, Y.; Li, B. Analysis of deacetylated konjac glucomannan and xanthan gum phase separation by film forming. Food Hydrocoll. 2015, 48, 320–326. [Google Scholar] [CrossRef]
- Xu, W.; Wang, S.; Ye, T.; Jin, W.; Liu, J.; Lei, J.; Li, B.; Wang, C. A simple and feasible approach to purify konjac glucomannan from konjac flour–Temperature effect. Food Chem. 2014, 158, 171–176. [Google Scholar] [CrossRef]
- Lee, S.; Warner, K.; Inglett, G.E. Rheological properties and baking performance of new oat β-glucan-rich hydrocolloids. J. Agric. Food Chem. 2005, 53, 9805–9809. [Google Scholar] [CrossRef]
- Jin, W.; Mei, T.; Wang, Y.; Xu, W.; Li, J.; Zhou, B.; Li, B. Synergistic degradation of konjac glucomannan by alkaline and thermal method. Carbohydr. Polym. 2014, 99, 270–277. [Google Scholar] [CrossRef] [PubMed]
- Zhou, Y.; Zhao, D.; Winkworth-Smith, C.G.; Foster, T.J.; Nirasawa, S.; Tatsumi, E.; Cheng, Y. Effect of a small amount of sodium carbonate on konjac glucomannan-induced changes in wheat starch gel. Carbohydr. Polym. 2015, 116, 182–188. [Google Scholar] [CrossRef] [PubMed]
- Williams, P.A.; Phillips, G.O. Introduction to food hydrocolloids. In Handbook of Hydrocolloids; Woodhead Publishing: Cambridge, UK, 2009; pp. 1–22. [Google Scholar]
- Wang, C.; Xu, M.; Lv, W.P.; Qiu, P.; Gong, Y.Y.; Li, D.S. Study on rheological behavior of konjac glucomannan. Phys. Procedia 2012, 33, 25–30. [Google Scholar] [CrossRef]
- Copetti, G.; Grassi, M.; Lapasin, R.; Pricl, S. Synergistic gelation of xanthan gum with locust bean gum: A rheological investigation. Glycoconj. J. 1997, 14, 951–961. [Google Scholar] [CrossRef] [PubMed]
- Huggins, M.L. The viscosity of dilute solutions of long-chain molecules. IV. Dependence on concentration. J. Am. Chem. Soc. 1942, 64, 2716–2718. [Google Scholar] [CrossRef]
- Kraemer, E.O. Molecular weights of celluloses and cellulose derivates. Ind. Eng. Chem. 1938, 30, 1200–1203. [Google Scholar] [CrossRef]
- Li, B.; Xie, B.J. Single molecular chain geometry of konjac glucomannan as a high quality dietary fiber in East Asia. Food Res. Int. 2006, 39, 127–132. [Google Scholar] [CrossRef]
Sample Availability: Samples of the compounds are available from the authors. |








| Sonication Time (min) | Molecular Weight | ||||
|---|---|---|---|---|---|
| [η](dl/g) | R2 | [η](dl/g) | R2 | ||
| 0 | 1456.01 | 0.977 | 1522.24 | 0.764 | 1.02 × 106 |
| 5 | 1027.23 | 0.957 | 1043.67 | 0.642 | 6.36 × 105 |
| 15 | 723.08 | 0.950 | 730.00 | 0.614 | 3.93 × 105 |
| 30 | 458.35 | 0.988 | 470.00 | 0.968 | 2.10 × 105 |
| 60 | 309.06 | 0.988 | 315.09 | 0.972 | 1.22 × 105 |
| No. | n | K(Pa·s) | No. | n | K(Pa·s) |
|---|---|---|---|---|---|
| Da | 0.8613 | 0.2354 | fDa | 0.5757 | 4.128 |
| Db | 0.8146 | 0.3388 | fDb | 0.1528 | 12.52 |
| Dc | 0.8040 | 0.3802 | fDc | 0.1316 | 125.2 |
| Dd | 0.7278 | 0.8908 | fDd | 0.1091 | 177.2 |
| No. | n | K(Pa·s) | No. | n | K(Pa·s) |
|---|---|---|---|---|---|
| D5 | 0.5909 | 6.372 | fD5 | 0.1686 | 131.1 |
| D15 | 0.6629 | 2.629 | fD15 | 0.1179 | 135.2 |
| D30 | 0.7897 | 0.5558 | fD30 | 0.1091 | 177.2 |
| D60 | 0.7050 | 0.3577 | fD60 | 0.9873 | 263.9 |
© 2019 by the authors. Licensee MDPI, Basel, Switzerland. This article is an open access article distributed under the terms and conditions of the Creative Commons Attribution (CC BY) license (http://creativecommons.org/licenses/by/4.0/).
Share and Cite
Zhu, B.; Xin, C.; Li, J.; Li, B. Ultrasonic Degradation of Konjac Glucomannan and the Effect of Freezing Combined with Alkali Treatment on Their Rheological Profiles. Molecules 2019, 24, 1860. https://doi.org/10.3390/molecules24101860
Zhu B, Xin C, Li J, Li B. Ultrasonic Degradation of Konjac Glucomannan and the Effect of Freezing Combined with Alkali Treatment on Their Rheological Profiles. Molecules. 2019; 24(10):1860. https://doi.org/10.3390/molecules24101860
Chicago/Turabian StyleZhu, Bo, Chen Xin, Jing Li, and Bin Li. 2019. "Ultrasonic Degradation of Konjac Glucomannan and the Effect of Freezing Combined with Alkali Treatment on Their Rheological Profiles" Molecules 24, no. 10: 1860. https://doi.org/10.3390/molecules24101860
APA StyleZhu, B., Xin, C., Li, J., & Li, B. (2019). Ultrasonic Degradation of Konjac Glucomannan and the Effect of Freezing Combined with Alkali Treatment on Their Rheological Profiles. Molecules, 24(10), 1860. https://doi.org/10.3390/molecules24101860
