Quantification of Gly m 5.0101 in Soybean and Soy Products by Liquid Chromatography-Tandem Mass Spectrometry
Abstract
:1. Introduction
2. Results and Discussion
2.1. Selection of External Standard Peptide
2.2. Development of LC-MS/MS Method
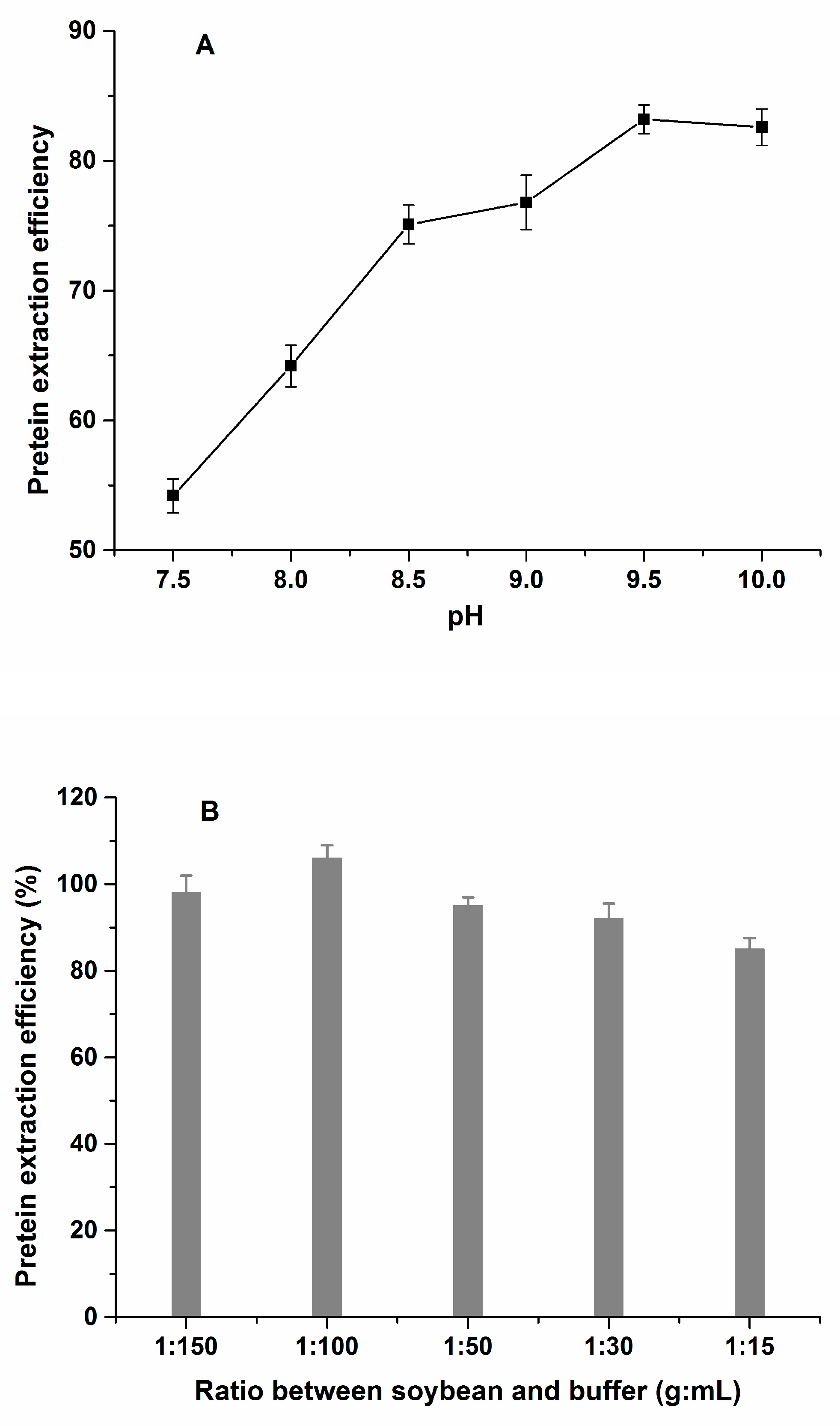
2.3. Optimization of Sample Extraction
2.4. Optimization of Sample Digestion
2.5. Method Validation
2.6. Quantitation of Gly m 5.0101 in Soybean Seeds and Soybean Products
2.7. Analysis of β-Conglycinin in Soybean Samples
3. Materials and Methods
3.1. Materials and Reagents
3.2. Instruments and Apparatus
3.3. Sample Extraction
3.4. Trypsin Digestion by on-Filter or in-Solution
3.5. Analysis of Trypsin Digestion Efficiency
3.6. Nano LC-Q-Extractive Analysis
3.7. LC-MS/MS Analysis
3.8. Validation Procedure
3.9. Analysis of Gly m 5.0101 in Soybean Seeds and Soybean Products
3.10. Analysis of β-Conglycinin in Soybean Seeds and Soybean Products
4. Conclusions
Supplementary Materials
Author Contributions
Funding
Conflicts of Interest
References
- Friedman, M.; Brandon, D.L. Nutritional and health benefits of soy proteins. J. Agric. Food Chem. 2001, 49, 1069–1086. [Google Scholar] [CrossRef] [PubMed]
- He, L.; Han, M.; Qiao, S.; He, P.; Li, D.; Li, N.; Ma, X. Soybean Antigen Proteins and their Intestinal Sensitization Activities. Curr. Protein Pept. Sci. 2015, 16, 613–621. [Google Scholar] [CrossRef] [PubMed]
- Hao, Y.; Zhan, Z.; Guo, P.; Piao, X.; Li, D. Soybean beta-conglycinin-induced gut hypersensitivity reaction in a piglet model. Arch. Anim. Nutr. 2009, 63, 188–202. [Google Scholar] [CrossRef]
- Sun, P.; Li, D.; Li, Z.; Dong, B.; Wan, F. Effects of glycinin on IgE-mediated increase of mast cell numbers and histamine release in the small intestine. J. Nutr. Biochem. 2008, 19, 627–633. [Google Scholar] [CrossRef] [PubMed]
- Palliyeguru, M.W.C.D.; Rose, S.P.; Mackenzie, A.M. Effect of trypsin inhibitor activity in soya bean on growth performance, protein digestibility and incidence of sub-clinical necrotic enteritis in broiler chicken flocks. Br. Poult. Sci. 2011, 52, 359–367. [Google Scholar] [CrossRef] [PubMed]
- Amigo-Benavent, M.; Athanasopoulos, V.I.; Dolores del Castillo, M. Ion exchange chromatographic conditions for obtaining individual subunits of soybean beta-conglycinin. J. Chromatogr. B 2010, 878, 2453–2456. [Google Scholar] [CrossRef]
- Martinez-Villaluenga, C.; Bringe, N.A.; Berhow, M.A.; de Mejia, E.G. beta-Conglycinin Embeds Active Peptides That Inhibit Lipid Accumulation in 3T3-L1 Adipocytes in Vitro. J. Agric. Food Chem. 2008, 56, 10533–10543. [Google Scholar] [CrossRef]
- Krishnan, H.; Kim, W.S.; Jang, S.; Kerley, M.S. All Three Subunits of Soybean beta-Conglycinin Are Potential Food Allergens. J. Agric. Food Chem. 2009, 57, 938–943. [Google Scholar] [CrossRef]
- Zheng, S.; Tian, H.; Ma, N.; Qin, G.; Sun, Z.; Yu, C. Purification and IgE-binding properties of soybean beta-conglycinin subunits. Process Biochem. 2012, 47, 2531–2537. [Google Scholar] [CrossRef]
- Fu, C.J.; Jez, J.M.; Kerley, M.S.; Allee, G.L.; Krishnan, H.B. Identification, Characterization, Epitope Mapping, and Three-Dimensional Modeling of the α-Subunit of β-Conglycinin of Soybean, a Potential Allergen for Young Pigs. J. Agric. Food Chem. 2007, 55, 4014–4020. [Google Scholar] [CrossRef]
- Ogawa, T.; Bando, N.; Tsuji, H.; Nishikawa, K.; Kitamura, K. α-Subunit of β-Conglycinin, an Allergenic Protein Recognized by IgE Antibodies of Soybean-sensitive Patients with Atopic Dermatitis. Biosci. Biotechnol. Biochem. 1995, 59, 831–833. [Google Scholar] [CrossRef] [PubMed]
- Mo, X.; Wang, D.; Sun, X.S. Physicochemical Properties of beta and alpha ‘alpha Subunits Isolated from Soybean beta-Conglycinin. J. Agric. Food Chem. 2011, 59, 1217–1222. [Google Scholar] [CrossRef] [PubMed]
- De Oliveira Silva, F.; Miranda, T.G.; Justo, T.; Frasao, B.S.; Conte-Junior, C.A.; Monteiro, M.; Perrone, D. Soybean meal and fermented soybean meal as functional ingredients for the production of low-carb, high-protein, high-fiber and high isoflavones biscuits. LWT-Food Sci. Technol. 2018, 90, 224–231. [Google Scholar] [CrossRef]
- Aguirre, L.; Garro, M.S.; Savoy de Gioria, G. Enzymatic hydrolysis of soybean protein using lactic acid bacteria. Food Chem. 2008, 111, 976–982. [Google Scholar] [CrossRef]
- Goetz, H.; Kuschel, M.; Wulff, T.; Sauber, C.; Miller, C.; Fisher, S.; Woodward, C. Comparison of selected analytical techniques for protein sizing, quantitation and molecular weight determination. J. Biochem. Biophys. Methods 2004, 60, 281–293. [Google Scholar] [CrossRef] [PubMed]
- Liu, B.; Teng, D.; Yang, Y.; Wang, X.; Wang, J. Development of a competitive ELISA for the detection of soybean alpha subunit of beta-conglycinin. Process Biochem. 2012, 47, 280–287. [Google Scholar] [CrossRef]
- Julka, S.; Kuppannan, K.; Karnoup, A.; Dielman, D.; Schafer, B.; Young, S.A. Quantification of Gly m 4 Protein, A Major Soybean Allergen, By Two-Dimensional Liquid Chromatography with Ultraviolet and Mass Spectrometry Detection. Anal. Chem. 2012, 84, 10019–10030. [Google Scholar] [CrossRef]
- Ippoushi, K.; Sasanuma, M.; Oike, H.; Kobori, M.; Maeda-Yamamoto, M. Absolute quantification of protein NP24 in tomato fruit by liquid chromatography/tandem mass spectrometry using stable isotope-labelled tryptic peptide standard. Food Chem. 2015, 173, 238–242. [Google Scholar] [CrossRef]
- Winther, B.; Moi, P.; Nordlund, M.S.; Lunder, N.; Paus, E.; Reubsaet, J.L.E. Absolute ProGRP quantification in a clinical relevant concentration range using LC-MS/MS and a comprehensive internal standard. J. Chromatogr. B 2009, 877, 1359–1365. [Google Scholar] [CrossRef]
- Ippoushi, K.; Sasanuma, M.; Oike, H.; Kobori, M.; Maeda-Yamamoto, M. Absolute quantification of Pru av 2 in sweet cherry fruit by liquid chromatography/tandem mass spectrometry with the use of a stable isotope-labelled peptide. Food Chem. 2016, 204, 129–134. [Google Scholar] [CrossRef]
- Houston, N.L.; Lee, D.G.; Stevenson, S.E.; Ladics, G.S.; Bannon, G.A.; McClain, S.; Privalle, L.; Stagg, N.; Herouet-Guicheney, C.; MacIntosh, S.C.; et al. Quantitation of Soybean Allergens Using Tandem Mass Spectrometry. J. Proteome Res. 2011, 10, 763–773. [Google Scholar] [CrossRef] [PubMed]
- Kamiie, J.; Ohtsuki, S.; Iwase, R.; Unine, K.; Katsukura, Y.; Yanai, K.; Sekine, Y.; Uchida, Y.; Ito, S.; Terasaki, T. Quantitative atlas of membrane transporter proteins: Development and application of a highly sensitive simultaneous LC/MS/MS method combined with novel in-silico peptide selection criteria. Pharm. Res. 2008, 25, 1469–1483. [Google Scholar] [CrossRef] [PubMed]
- Faste, C.K.; Moen, A.; Schniedewind, B.; Haug Anonsen, J.; Klawitter, J.; Christians, U. Development of liquid chromatography-tandem mass spectrometry methods for the quantitation of Anisakis simplex proteins in fish. J. Chromatogr. A 2016, 1432, 58–72. [Google Scholar] [CrossRef] [PubMed]
- Wang, H.; Johnson, L.A.; Wang, T. Preparation of soy protein concentrate and isolate from extruded-expelled soybean meals. J. Am. Oil Chem. Soc. 2004, 81, 713–717. [Google Scholar] [CrossRef]
- Hill, R.C.; Oman, T.J.; Wang, X.; Shan, G.; Schafer, B.; Herman, R.A.; Tobias, R.; Shippar, J.; Malayappan, B.; Sheng, L.; et al. Development, validation, and interlaboratory evaluation of a quantitative multiplexing method to assess Levels of ten endogenous allergens in soybean seed and its application to field trials spanning three growing seasons. J. Agric. Food Chem. 2017, 65, 5531–5544. [Google Scholar] [CrossRef] [PubMed]
- Hei, W.; Li, Z.; Ma, X.; He, P. Determination of beta-conglycinin in soybean and soybean products using a sandwich enzyme-linked immunosorbent assay. Anal. Chim. Acta 2012, 734, 62–68. [Google Scholar] [CrossRef] [PubMed]
- You, J.; Li, D.; Qiao, S.; Wang, Z.; He, P.; Ou, D.; Dong, B. Development of a monoclonal antibody-based competitive ELISA for detection of beta-conglycinin, an allergen from soybean. Food Chem. 2008, 106, 352–360. [Google Scholar] [CrossRef]
- Zhou, T.; Qiao, S.; Ma, X.; He, P. Detection and analysis of main antinutritional factors content in soybean products. Chin. J. Anim. Nutr. 2015, 27, 221–229. [Google Scholar]
- Shi, C.; Zhang, Y.; Lu, Z.; Wang, Y. Solid-state fermentation of corn-soybean meal mixed feed with Bacillus subtilis and Enterococcus faecium for degrading antinutritional factors and enhancing nutritional value. J. Anim. Sci. Biotechnol. 2017, 8, 50. [Google Scholar] [CrossRef]
- Jeon, H.H.; Jung, J.Y.; Chun, B.H.; Kim, M.D.; Baek, S.Y.; Moon, J.Y.; Yeo, S.H.; Jeon, C.O. Screening and Characterization of Potential Bacillus Starter Cultures for Fermenting Low-Salt Soybean Paste (Doenjang). J. Microbiol. Biotechnol. 2016, 26, 666–674. [Google Scholar] [CrossRef]
- Zhang, Y.T.; Yu, B.; Lu, Y.H.; Wang, J.; Liang, J.B.; Tufarelli, V.; Laudadio, V.; Liao, X.D. Optimization of the Fermentation Conditions to Reduce Anti-Nutritive Factors in Soybean Meal. J. Food Process. Preserv. 2017, 41, e13114. [Google Scholar] [CrossRef]
- Liu, Z.S.; Chang, S.K.C.; Li, L.; Tatsumi, E. Effect of selective thermal denaturation of soybean proteins on soymilk viscosity and tofu’s physical properties. Food Res. Int. 2004, 37, 815–822. [Google Scholar] [CrossRef]
- Zarkadas, L.N.; Wiseman, J. Influence of processing of full fat soya beans included in diets for piglets. I. Performance. Anim. Feed Sci. Technol. 2005, 118, 109–119. [Google Scholar] [CrossRef]
- Zhou, T.; Han, S.; Li, Z.; He, P. Purification and Quantification of Kunitz Trypsin Inhibitor in Soybean Using Two-Dimensional Liquid Chromatography. Food Anal. Methods 2017, 10, 3350–3360. [Google Scholar] [CrossRef]
- Wisniewski, J.R.; Zougman, A.; Nagaraj, N.; Mann, M. Universal sample preparation method for proteome analysis. Nat. Methods 2009, 6, 359–362. [Google Scholar] [CrossRef]
Sample Availability: Samples of the soybean products are available from the authors. |





| Spiked Level (fmol) | Measured Concentration (fmol) | Mean Recovery (%) | Intra-day Precision CV (%) | Inter-day Precision CV (%) |
|---|---|---|---|---|
| 30 | 31.03 | 103.43 | 5.91 | 6.37 |
| 60 | 65.06 | 108.44 | 2.25 | 2.36 |
| 120 | 135.76 | 113.13 | 2.49 | 2.83 |
| No. | Name | Gly m 5.0101 Concentration (mg/g) | The Proportion of Gly m 5.0101 in β-Conglycinin (%) | β-Conglycinin Concentration (mg/g) | No. | Name | Gly m 5.0101 Concentration (mg/g) | The Proportion of Gly m 5.0101 in β-Conglycinin (%) | β-Conglycinin Concentration (mg/g) |
|---|---|---|---|---|---|---|---|---|---|
| 1 | Southeast spring-summer-autumn soybean seeds | 41.00 (0.51) a | 37.92 (2.32) b | 108.27 | 12 | Fermented soybean meal | 0.00 | ─ | 0.00 |
| 2 | 41.07 (7.12) | 36.63 (3.38) | 112.37 | 13 | Fermented soybean meal | 0.00 | ─ | ─ | |
| 3 | 34.60 (3.08) | 35.58 (1.62) | 97.19 | 14 | Fermented soybean meal | 11.19 (4.22) | 25.65 (3.78) | 43.63 | |
| 4 | 28.33 (3.11) | 35.31 (3.14) | 80.32 | 15 | Fermented soybean meal | 21.27 (10.31) | 26.53 (2.42) | 80.17 | |
| 5 | Huanghuai summer soybean seeds | 38.02 (4.52) | 36.93 (4.19) | 103.15 | 16 | Fermented soybean meal | 18.83 (9.72) | 26.22 (3.74) | 71.82 |
| 6 | 35.71 (3.58) | 38.60 (2.84) | 92.47 | 17 | Fermented soybean meal | 6.15 (9.54) | 33.96 (4.63) | 18.11 | |
| 7 | 25.15 (3.04) | 47.41 (1.93) | 53.03 | 18 | Extruded soybean meal | 10.83 (9.03) | 36.36 (2.07) | 29.79 | |
| 8 | North spring soybean seeds | 30.66 (4.29) | 47.02 (4.08) | 65.23 | 19 | Extruded soybean meal | 17.55 (0.23) | 33.04 (3.61) | 53.12 |
| 9 | 35.00 (3.17) | 46.73 (3.72) | 74.95 | 20 | Extruded soybean meal | 24.52 (0.73) | 36.84 (1.52) | 66.56 | |
| 10 | 28.41 (2.42) | 43.61 (2.53) | 65.16 | 21 | Extruded soybean meal | 19.83 (2.54) | 36.86 (4.28) | 53.80 | |
| 11 | 30.00 (3.71) | 41.28 (4.64) | 72.65 | 22 | Extruded soybean meal | 16.30 (0.42) | 36.06 (2.93) | 45.20 | |
| 23 | Extruded soybean meal | 21.06 (4.31) | 37.78 (3.48) | 55.74 | |||||
| 24 | Extruded full-fat soybean | 26.19 (1.73) | 37.09 (4.68) | 70.61 | |||||
| 25 | Extruded full-fat soybean | 32.64 (3.87) | 38.85 (4.88) | 84.02 | |||||
| 26 | Extruded full-fat soybean | 25.86 (3.04) | 35.09 (3.82) | 73.70 | |||||
| 27 | Extruded full-fat soybean | 10.24 (2.54) | 43.40 (2.68) | 23.59 | |||||
| 28 | Extruded full-fat soybean | 29.75 (3.64) | 45.54 (3.41) | 65.33 |
© 2018 by the authors. Licensee MDPI, Basel, Switzerland. This article is an open access article distributed under the terms and conditions of the Creative Commons Attribution (CC BY) license (http://creativecommons.org/licenses/by/4.0/).
Share and Cite
Jia, H.; Zhou, T.; Zhu, H.; Shen, L.; He, P. Quantification of Gly m 5.0101 in Soybean and Soy Products by Liquid Chromatography-Tandem Mass Spectrometry. Molecules 2019, 24, 68. https://doi.org/10.3390/molecules24010068
Jia H, Zhou T, Zhu H, Shen L, He P. Quantification of Gly m 5.0101 in Soybean and Soy Products by Liquid Chromatography-Tandem Mass Spectrometry. Molecules. 2019; 24(1):68. https://doi.org/10.3390/molecules24010068
Chicago/Turabian StyleJia, Hongmin, Tianjiao Zhou, Hong Zhu, Li Shen, and Pingli He. 2019. "Quantification of Gly m 5.0101 in Soybean and Soy Products by Liquid Chromatography-Tandem Mass Spectrometry" Molecules 24, no. 1: 68. https://doi.org/10.3390/molecules24010068
APA StyleJia, H., Zhou, T., Zhu, H., Shen, L., & He, P. (2019). Quantification of Gly m 5.0101 in Soybean and Soy Products by Liquid Chromatography-Tandem Mass Spectrometry. Molecules, 24(1), 68. https://doi.org/10.3390/molecules24010068
