Rapid Characterization and Identification of Chemical Constituents in Gentiana radix before and after Wine-Processed by UHPLC-LTQ-Orbitrap MSn
Abstract
:1. Introduction
2. Results and Discussion
2.1. Identification of the Constituents by UHPLC-LTQ-Orbitrap MSn
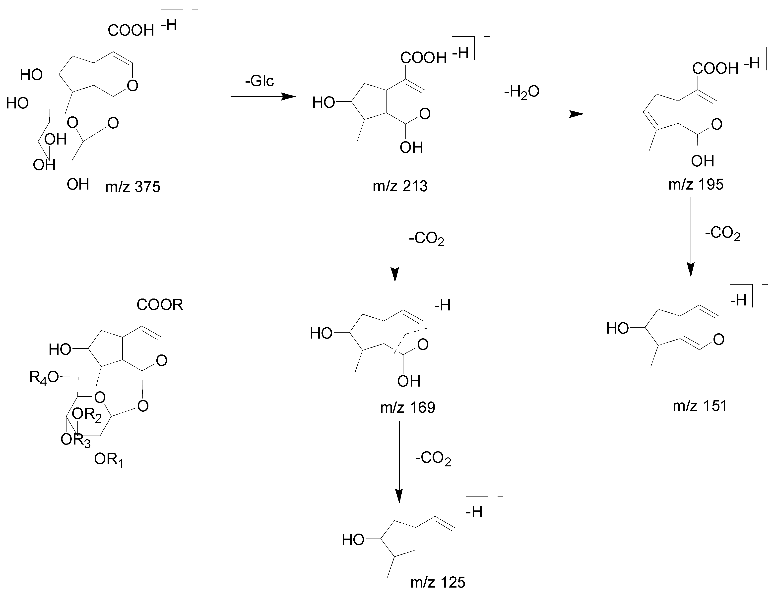
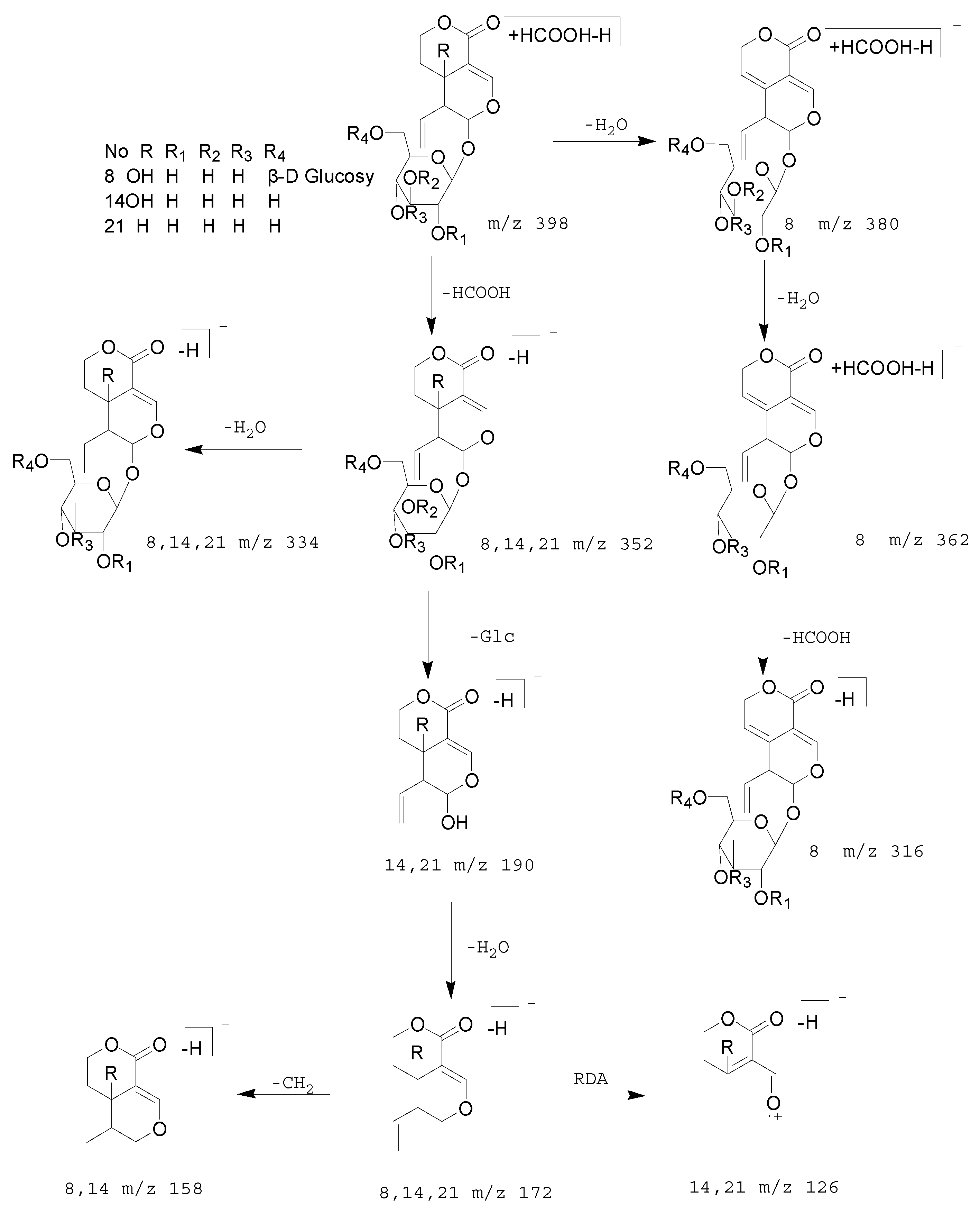
2.1.1. Structural Characterization and Identification of Iridoid
2.1.2. Structural Characterization and Identification of Flavonoid
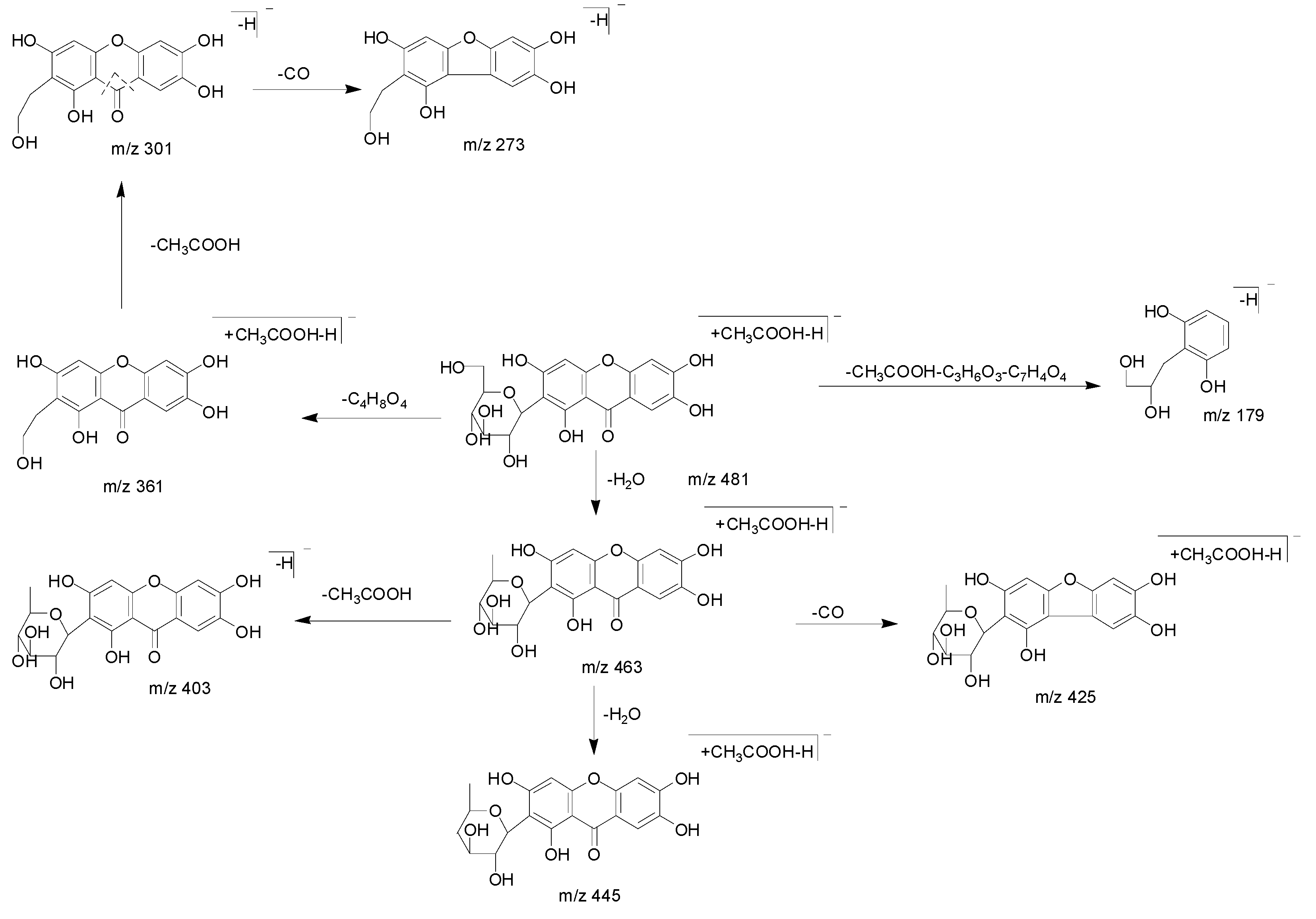
2.1.3. Structural Characterization and Identification of Xanthones
2.1.4. Structural Characterization and Identification of Other
3. Materials and Methods
3.1. Materials and Chemicals
3.2. Sample and Standards Preparation
3.3. Instrumentation and Condition
4. Conclusions
Author Contributions
Funding
Acknowledgments
Conflicts of Interest
References
- Chinese Pharmacopeia Commission. Pharmacopeia of the People’s Republic of China, 10th ed.; China Medical Science Press: Beijing, China, 2015; p. 96. [Google Scholar]
- Cao, F.H.; Li, C. New advances in research of chemical constituents and pharmacological activities of genus Gentiana. Chin. J. New Drugs 2008, 17, 27–29. [Google Scholar]
- Cheng, Z.Y.; Yu, L.Y.; Ji, H.J.; Han, D.D.; Shen, Q.H.; Lv, Y.; Yang, Y.J. Study on different extraction technology of polysaccharides form Gentiana scabra and its antioxidation. J. Henan Univ. Technol. 2016, 37, 81–86. [Google Scholar] [CrossRef]
- Ning, Y.; Cheng, Y.P.; Ma, A.P.; Li, T.C.; Wang, H.Y. Latest progress on the pharmacological activity of Gentiana scabra Bunge. Chem. Eng. 2017, 31, 47–49. [Google Scholar] [CrossRef]
- Shen, T.; Jin, H.; Wang, Y.Z.; Yuan, T.J.; Yang, W.Z.; Zhao, Z.L.; Yang, T. Research progress in the chemical constituents of Radix Gentianae. J. Anhui Agri. Sci. 2010, 38, 16868–16874. [Google Scholar] [CrossRef]
- Lei, X. Lei Gong’s Firing Theory; Shanghai College of traditional Chinese Medicine Press: Shanghai, China, 1955; p. 19. [Google Scholar]
- Yang, S.T. Materia medica structural element; Science and Technology Publishing House: Shanghai, China, 1958; pp. 145–146. [Google Scholar]
- Chinese Materia Medica Editorial Committee. Chinese Materia Medica; Shanghai Science and Technology Publishing House: Shanghai, China, 1999; p. 6. [Google Scholar]
- Shen, T.; Yang, M.Q.; Zhao, Z.L.; Zhang, Z.H.; Wang, Y.Z.; Jin, H.; Zhang, J.Y.; Wang, Y.H. Dynamic changes in terpenoid contents in Gentiana rigescens. Chin. Bull. Bot. 2011, 46, 652–657. [Google Scholar]
- Zhang, J.; Xu, X.J.; Xu, W.; Huang, J.; Zhu, D.Y.; Qiu, X.H. Rapid characterization and identification of flavonoids in Radix astragali by ultra-high-pressure liquid chromatography coupled with linear ion trap-Orbitrap mass spectrometry. J. Chromatogr. Sci. 2015, 53, 945–952. [Google Scholar] [CrossRef] [PubMed]
- Yu, X.J.; Zhang, J.Y.; Liu, Q.Q.; Wu, Z.S.; Liu, S.S.; Shi, H.; Ma, Q. Chemical profiling of fifty constituentsin Qi-gui-yin granule (QGY) by on-line high-performance liquid chromatography coupled with ESI-LTQ-Orbitrap mass spectrometer. Res. J. Chem. Environ. 2013, 17, 16–27. [Google Scholar]
- Li, Y.; Liu, Y.; Liu, R.R.; Liu, S.Y.; Zhang, X.P.; Wang, Z.J.; Lu, J.Q. HPLC-LTQ-orbitrap MSn profiling method to comprehensively characterize multiple chemical constituents in xiao-er-qing-jie granules. Anal. Methods 2015, 7, 7511–7526. [Google Scholar] [CrossRef]
- Zhang, Q.Q.; Dong, X.; Liu, X.G.; Gao, W.; Li, P.; Yang, H. Rapid separation and identification of multiple constituents in Danhong injection by ultra-high performance liquid chromatography coupled to electrospray ionization quadrupole time-of-flight tandem mass spectrometry. Chin. J. Nat. Med. 2016, 14, 147–160. [Google Scholar] [CrossRef]
- Dunn, W.B.; Broadhurst, D.; Brown, M.; Baker, P.N.; Redman, C.W.G.; Kenny, L.C.; Kell, D.B. Metabolic profiling of serum using ultra performance liquid chromatography and the LTQ-Orbitrap mass spectrometry system. J. Chromatogr. B Anal. Technol. Biomed. Life Sci. 2008, 871, 288–298. [Google Scholar] [CrossRef]
- Mpondo, M.E.; Chulia, A.J. Iridoids from Gentiana verna. Phytochemistry 1981, 28, 2502–2504. [Google Scholar] [CrossRef]
- Mpondo, M.E.; Garcia, J.; Chulia, A.J. Secoiridoid glucosyles from Gentiana Campestris. Phytochemistry 1992, 29, 1687–1688. [Google Scholar] [CrossRef]
- Tian, X.; Xu, X.Z.; Zhan, H.Y. Two new O-and C-glycosylxanthones from Gentiana tizuensis Franch. Indian J. Chem. 2003, 42, 950–952. [Google Scholar]
- Do, T.; Popov, S.; Marekov, N.A. Iridoids from gentianaceae plants growing in bullgaria. Planta Med. 1987, 53, 580. [Google Scholar] [CrossRef] [PubMed]
- Kikuchi, M.; Kakuda, R.; Kikuchi, M. Secoiridoid glycosides from Gentiana scabra. J. Nat. Prod. 2005, 68, 751–753. [Google Scholar] [CrossRef]
- Mpondo, M.E.; Garcia, J.; Cartier, G. 6′-O-β-d-glucosylswertiamarine: A new secoiridoid from Gentiana alpna. Planta Med. 1990, 56, 334. [Google Scholar] [CrossRef] [PubMed]
- Goetz, M.; Maniliho, F.; Jacot, G.A. Etude des composes flavoniques et xanthoniques dans les feuilles de Gentiana ciliata L. Helv. Chim. Acta 1977, 61, 1549–1550. [Google Scholar] [CrossRef]
- Mpondo, M.E.; Garcia, J. New secoiridoid glycosides from Gentiana verna. J. Nat. Prod. 1989, 52, 1146–1149. [Google Scholar] [CrossRef]
- Garcia, J.; Mpondo, M.E.; Kaouadji, M. Kingside and derivative from Gentiana pyrenaica. Phytochemistry 1990, 29, 3353–3355. [Google Scholar] [CrossRef]
- Mpondo, M.E.; Chulia, A.J. 6′-O-β-d-glucosyl gentiopicroside: A new secoiridoid from Gentiana asclepiadea. Planta Med. 1988, 54, 184–186. [Google Scholar] [CrossRef]
- Luong, M.D.; Fombasso, P.; Jacot, G.A. Contribution à la phytochinie du genre Gentiana XXV 1) Etude des composes flavoniques et xanthoniques dans les feuilles de Gentiana X marcailhouana RY. Nouveaux cinnamoyl-C-glucosylesss flavoniques. Helv. Chim. Acta 1980, 63, 243–249. [Google Scholar] [CrossRef]
- Goetz, M.; Jacot, G.A. Contribution à la phytochimie du genre Gentiana. XXII 1). Identification de nouveaux O-glucosyles de la mangiferine dans Gentiana asclepiadea L. Helv. Chim. Acta 1977, 60, 2103–2106. [Google Scholar]
- Massias, M.; Carbonnier, J.; Molho, D. Xanthones and C-glucosylflavones from Gentiana corymbifera. Phytochemistry 1981, 20, 1577–1578. [Google Scholar] [CrossRef]
- Yang, H.P.; Liu, X.; Shi, Y.P. Xanthone constituents in Gentiana panthaica. Chin. Traditional Herb. Drugs 2007, 38, 343–346. [Google Scholar]
- Goetz, M.; Jacot, G.A. Contribution à la phytochimie du genre Gentiana XX 1). Identification de nouveaux O-glucosyles de la mangiferine dans Gentiana asclepiadea L. Helv. Chim. Acta 1977, 60, 1321–1324. [Google Scholar] [CrossRef]
- Jian, R.W.; Wong, K.L.; Chan, Y.M. Isolation of iridoid and secoiridoid glycosides and comparative study on radix gentianae and related adulterants by HPLC analysis. Phytochemistry 2005, 66, 2873–28680. [Google Scholar] [CrossRef]
- Garcia, J.; Chulia, A.J. Loganin and new iridoid glucosyles in Gentiana pedicellata. Planta Med. 1986, 56, 327–329. [Google Scholar] [CrossRef]
- Hayashi, T.; Yamagishi, T. Two xanthone glycosides from Gentiana lutea. Phytochemistry 1988, 27, 3696–3699. [Google Scholar] [CrossRef]
- Maryse, H.K.; Kurt, H.; Otto, S. Xanthones, flavones and secoiridoids of american Gentiana species. Phytochemistry 1981, 20, 442–446. [Google Scholar]
- Hostettmann, K.; Jacot, G.A. Xanthones et C-glucosylflavones du genre gentiana (section Cyclostigmal). Phytochemistry 1977, 16, 481–482. [Google Scholar] [CrossRef]
- Chung, M.I.; Lin, C.N. A new acylated secoiridoid from Gentiana Formosana. J. Nat. Prod. 1993, 56, 981–983. [Google Scholar] [CrossRef]
- Luong, M.D.; Saeby, J.; Fombasso, P. Contribution à la phytochimie du genre Gentiana *. V. Identification d’un nouveau O-glucoside de C-glucoside flavonique dans les feuilles de Gentiana nivalis L. Helv. Chim. Acta 1981, 64, 2741–2745. [Google Scholar] [CrossRef]
- Kaldas, M.; Miura, I.; Hostettmann, K. Campestroside, a new tetrahydroxanthone glucosyle from Gentiana Campestris. Phytochemistry 1978, 17, 294–297. [Google Scholar] [CrossRef]
- Garcia, J.; Mpondo, M.E.; Cartier, G. Secoiridoids and a phenolic glucosyle from Gentiana pyrenaica. J. Nat. Prod. 1989, 52, 996–1002. [Google Scholar] [CrossRef]
- Chulia, A.J.; Kaouadji, M. Depressoside, nouvel iridoude isole de Gentiana depressa. J. Nat. Prod. 1985, 48, 53–58. [Google Scholar] [CrossRef]
- Li, C.M.; Liang, X.M.; Xue, X.Y. Electrospray ionization quadrupole time-of-flight Tandem Mass Spectrometry of iridoid glucosyles in positive ion mode. Chem. J. Chin. Univ. 2013, 34, 567–572. [Google Scholar] [CrossRef]
- Zhao, X.S.; Yang, M.H.; Wu, H.F.; Shu, X.Y. Fragmentation behavior for iridoid glucosyles and anthraquinonesn morinda of ficinalis by ESF-Q-TOF MS/MS in negative ion mode. J. Chin. Mass Spectrom. Soc. 2018, 39, 342–350. [Google Scholar] [CrossRef]
- He, D.D.; Fan, J.T.; You, R.R.; Chen, X.Q.; Li, Z.L.; Ju, M.J.; Zeng, B.L. Identification of chemical constituents in swertia chiravita by UPLC-ESFQ-TOF MS. J. Chin. Mass Spectrom. Soc. 2017, 38, 138–145. [Google Scholar]
- Luo, J.; Zhao, L.J.; Bao, J.P.; Zhu, D.; Tian, J.H.; Yu, J.; Yin, S.W. Analysis of chemical compositions in Gentiana rhodantha by UPLC-Q-TOF-MS. Chin. J. Exp. Traditional Med. Formul. 2018, 24, 89–94. [Google Scholar] [CrossRef]
- Li, C.M.; Luo, Y.W.; Tian, B.Y. Research progress on mass spectral fragmentation of iridoids. J. Hebei Normal Univ. 2015, 39, 522–526. [Google Scholar] [CrossRef]
- Gao, Z.P.; Ali, Z.; Khan, I. Glycerogalactolipids from the fruit of Lycium barbarum. Phytochemistry 2008, 69, 2856–2861. [Google Scholar] [CrossRef] [PubMed]
- Ni, Y.J.; Liu, Y.X.; Ruan, J.Y.; Han, L.F.; Wang, T.; Zhang, Y. Isolation and identification of iridoidal glycosides from the whole plant of Gentianella acuta (II). Chin. J. Med. Chem. 2017, 27, 133–137. [Google Scholar] [CrossRef]
- Ren, X.L.; Huo, J.H.; Sun, G.D.; Wei, W.F.; Wang, W.M. Analysis on chemical constituents from flowers of Trollius ledebouri by UPLC-Q-TOF-MS. Chin. Traditional Herbal Drugs 2015, 23, 3475–3481. [Google Scholar] [CrossRef]
- Jin, H.H.; Xiao, W.D.; Guo, D.S.; Wen, T.D.; Wei, M.W. Identification and characterization of major constituents in Juglans mandshurica using ultra performance liquid chromatography coupled with time-of-flight mass spectrometry (UPLC-ESI-Q-TOF/MS). Chin. J. Nat. Med. 2018, 16, 525–545. [Google Scholar] [CrossRef]
- Li, S.Z.; Liu, S.; Liu, Z.Q.; Pi, Z.F.; Song, F.R.; Jin, Y.R. A target-group-change strategy based on the UPLC-Q-TOF-MSE method for the metabolites identification of Fufang-Xialian-Capsule in rat’s plasma. J. Chromatogr. B Analyt. Technol. Biomed. Life Sci. 2018, 1085, 24–53. [Google Scholar] [CrossRef]
- Zhong, Y.M.; Feng, Y.F.; Tan, L.Z. Rapid analysis and identification for the alkaloids from Ranunculus japonicus by UPLC/Q-TOF-MS. J. Meas. Sci. Instrum. 2014, 5, 87–93. [Google Scholar]
- Huang, J.; Liao, J.Z.; Liu, W.P.; Liao, S.Y.; Feng, Y.F.; Chen, H.Y.; Rui, W. Establishment of determination method for three main active ingredients of honey-processed Astragalus in rat urine based on UPLC/Q-TOF-MS. Lishizhen Med. Mater. Med. Res. 2017, 28, 2564–2567. [Google Scholar] [CrossRef]
- Wang, X.; Qin, Y.; Li, G.Q.; Cheng, S.; Ma, J.Q.; Guo, Y.L.; Luo, W.Z. Study on Chemical Constituents in Polygoni Cuspidati Folium and its preparation by UPLC-ESI-Q-TOF-MS/MS. J. Chromatogr. Sci. 2018, 56, 425–435. [Google Scholar] [CrossRef]
- Zeng, M.L.; Shen, N.T.; Wu, S.W.; Li, Q. Analysis on chemical constituents in Tetrastigma hemsleyanum by UPLC-Triple-TOF/MS. Chin. Traditional Herb. Drugs 2017, 48, 874–883. [Google Scholar] [CrossRef]
- Zhang, D.Y.; Chen, L.J.; Li, J. Simultaneous determination of five xanthones in Swertia chirayita by HPLC-ESI-MS. Chin. Pharm. 2016, 27, 2579–2582. [Google Scholar]
- Beelders, T.; Beer, D.D.; Stander, M.A.; Joubert, E. Comprehensive phenolic profiling of Cyclopia genistoides (L.) Vent. by LC-DAD-MS and -MS/MS reveals novel xanthone and benzophenone constituents. Molecules 2014, 19, 11760–11790. [Google Scholar] [CrossRef] [PubMed]
- Nie, Y.; Hou, Y.Y.; Li, Y.J.; Hou, X.T.; Bai, G.; Deng, J.G. Screening of anti-inflammatory components in Mangiferae Indicae Semen based on bioactivity-integrated UPLC-Q/TOF analysis. Chin. Traditional Herb. Drugs 2015, 48, 2743–2749. [Google Scholar]
- Suryawanshi, S.; Asthana, R.K.; Gupta, R.C. Simultaneous estimation of mangiferin and four secoiridoid glycosides in rat plasma using liquid chromatography tandem mass spectrometry and its application to pharmacokinetic study of herbal preparation. J. Chromatogr. B Analyt. Technol. Biomed. Life Sci. 2007, 858, 211–219. [Google Scholar] [CrossRef]
- Wang, Z.B.; Wu, Q.; Yu, Y.; Yang, C.J.; Jiang, H.; Wu, Q.H.; Yang, B.Y.; Kuang, H.X. Determination and pharmacokinetic study of four xanthones in rat plasma after oral administration of Gentianella acuta extract by UHPLC-ESI-MS/MS. J. Ethnopharmacol. 2015, 1–27. [Google Scholar] [CrossRef] [PubMed]
Sample Availability: Samples of the compounds are not available from the authors. |


















| No. | tR/min | Identification | Empirical Formula | Proposal Ions | Theoretical Mass m/z | Experimental Mass m/z | Mass Error (ppm) | MS2 Data (Measured) | Chromatographic Peak Area Ratio (Crude: Wine) | ||||
|---|---|---|---|---|---|---|---|---|---|---|---|---|---|
| Crude | Wine | Crude | Wine | Crude | Wine | Crude | Wine | ||||||
| 1 | 7.50 | 7.51 | Loganetin a,b [15] | C11H17O5 | [M + H]+ | 229.10705 | 229.10652 | 229.10654 | 2.314 | 2.227 | 211(100), 193(2.73), 197(0.95), 169(1.45), 179(2.72), 151(1.47), 161(0.09), 133(0.31) | 211(100), 193(0.42), 197(1), 169(0.31), 179(1.21), 151(2.35), 161(0.22) | 1.11 |
| 2 | 7.70 | 7.71 | Eustomoside a,b [16] | C16H23O11 | [M + H]+ | 391.12349 | 391.12317 | 391.12280 | 0.813 | 1.759 | 373(0.35), 229(100), 211(37.5), 193(0.39), 125(0.98) | 373(0.35), 229(100), 211(37.5), 193(0.39), 125(0.98) | 0.91 |
| 3 | 9.75 | 9.74 | 2-C-β-d-glucospranosyl-glucopyranosyl-1-hydroxy-7-methoxyxanthone a,b [17] | C21H21O11 | [M − H + HCOOH]− | 449.10784 | 449.10971 | 449.40989 | 4.169 | 4.569 | 359(100), 329(0.13), 283(0.47), 327(0.06), 241(43.13), 179(17.1) | 359(100), 329(0.22), 283(0.33), 253(0.04), 299(0.15), 179(27.08) | 0.32 |
| 4 | 9.88 | 9.90 | Methyl (1S)-1-(d-glucopyranosyloxy)-6,7-dihydroxy-7-methyl-1,6,7,7a-tetrahydrocyclopenta[c]pyran-4-carboxylate a,b [18] | C17H25O11 | [M + H]+ | 405.13914 | 405.13898 | 405.13864 | 0.390 | 1.229 | 387(1.33), 373(0.06), 345(0.16), 243(100), 225(0.26), 211(38.42), 193(0.27), 175(0.35), 165(0.51) | 387(0.24), 373(0.09), 345(0.06), 243(100), 225(0.23), 211(38.3), 193(0.73), 175(0.1), 165(0.25) | 0.75 |
| 5 | 10.17 | 10.20 | Loganic acid a,b | C16H23O10 | [M − H]− | 375.12857 | 375.13019 | 375.13022 | 4.310 | 4.390 | 213(100), 195(0.27), 169(17.87), 113(1.83), 151(3.61), 125(2.48) | 213(100), 195(0.16), 169(18.11), 113(1.94), 151(3.66), 125(2.69) | 0.91 |
| 6 | 10.29 | 10.31 | 1-O-d-glucopyransylampexine a,b [19] | C16H26O9Na | [M + Na]+ | 385.14690 | 385.14673 | 385.14664 | 0.450 | 0.684 | 367(0.46), 355(100), 357(0.02), 223(4.06), 205(0.13), | 367(0.41), 355(100), 357(0.05), 339(0.13), 223(4.06), 205(0.04), | 1.11 |
| 7 | 10.38 | - | 2-O-β-d-glucospranosyl-1,6-dihydroxyxanthone a [17] | C20H19O12 | [M − H + HCOOH]− | 451.08710 | 451.14664 | - | 4.850 | 405(100), 433(0.57), 415(0.63), 243(29.91), 269(0.28) | - | - | |
| 8 | 11.02 | 11.07 | 6′-O-β-d-glucosyl swertiamarin a,b [20] | C23H33O17 | [M − H + HCOOH]− | 581.17123 | 581.17352 | 581.17328 | 3.948 | 3.535 | 563(1.04), 545(4.78), 535(100), 517(17.57), 499(1.93), 341(36.38), 323(15.84), 193(1.11) | 563(0.56), 545(3.64), 535(100), 517(25.37), 499(1.23), 341(29.58), 323(14), 193(0.96) | 1.11 |
| 9 | 11.07 | - | Tetramethoxy-1,3,7,8-xanthone a [21] | C19H19O8 | [M − H + CH3COOH]− | 375.10744 | 375.10927 | - | 4.895 | - | 357(2.16), 287(0.87), 255(0.71), 195(100), 179(5.46), 151(84.67), 121(22.05) | - | - |
| 10 | - | 11.10 | Gentiabavaroside b [21] | C26H29O15 | [M − H]− | 581.15010 | - | 581.14722 | - | 4.950 | 535(100), 521(1.15), 517(31.95), 499(4.9), 521(1.15), 249(0.4), 247(1.44) | - | |
| 11 | 11.63 | 11.65 | Secologano a,b [22] | C17H25O10 | [M − H]− | 389.14422 | 389.14285 | 389.14258 | 3.529 | 4.223 | 371(4.98), 345(100), 209(30.88), 191(0.33), 163(0.35), 149(1.17) | 371(3.63), 345(100), 311(0.2), 209(33.11), 191(0.44), 163(0.37), 149(1.9) | 0.91 |
| 12 | 11.65 | 11.68 | Kingiside a,b [23] | C17H25O11 | [M + H]+ | 405.13914 | 405.13895 | 405.13858 | 0.188 | 0.558 | 387(0.07), 369(0.04), 243(100), 211(34.33), 207(0.02), 193(0.24), 183(0.13), 165(0.44) | 387(0.07), 369(0.04), 243(100), 211(37.23), 207(0.01), 193(0.25), 183(0.13), 165(0.32) | 0.86 |
| 13 | - | 11.69 | Glucosyl-1-gentiacaulein b [21] | C21H21O11 | [M − H]− | 449.10784 | - | 449.10965 | - | 4.035 | - | 431(0.52), 403(4.87), 413(0.06), 241(100), 327(0.06), 283(0.06), 165(1.89) | - |
| 14 | 11.80 | 11.82 | Swertiamarin a,b,* | C17H23O12 | [M − H + HCOOH]− | 419.11840 | 419.11990 | 419.11984 | 3.573 | 3.430 | 373(4.23), 355(12.27), 211(3.06), 193(0.1), 179(100), 161(5.74), 149(1.53) | 373(4.22), 355(12.04), 211(2.43), 193(0.11), 179(100), 161(6.37), 149(1.6) | 0.87 |
| 15 | 11.87 | 11.90 | 6′-O-β-d-glucosyl gentiopicroside a,b [24] | C23H31O16 | [M − H + HCOOH]− | 563.16066 | 563.16193 | 563.16144 | 2.168 | 2.048 | 517(31.74), 355(0.16), 499(1.98), 341(100), 323(13.4), 327(0.29), 305(1.5), 309(0.26), 193(1.63), 179(46.29), 165(0.03) | 517(38.51), 355(0.05), 499(2.88), 341(100), 323(16), 305(1.26), 309(0.1), 193(3.28), 179(45.22), 175(0.14), 165(0.35) | 0.91 |
| 16 | 12.51 | 12.53 | Isoorientin-4′-O-β-d-glucosyle a,b [25] | C27H29O16 | [M − H]− | 609.14501 | 609.14783 | 609.14764 | 4.628 | 4.316 | 591(0.19), 573(0.21), 519(2.06), 447(100), 489(4.3), 327(5.65), 429(1.63), 411(0.45) | 591(0.29), 573(0.14), 519(1.56), 447(100), 489(5.61), 327(5.35), 429(0.66), 411(0.07) | 0.9 |
| 17 | 12.59 | 12.59 | Saponarin a,b [26] | C27H29O15 | [M − H]− | 593.15010 | 593.15302 | 593.15277 | 4.929 | 4.507 | 575(3.67), 557(0.81), 503(27.18), 473(100), 431(0.98), 311(12.43) | 575(4.38), 557(1.49), 503(26.83), 473(100), 431(1.1), 311(9.15) | 1.17 |
| 18 | 12.79 | - | Glucosyl-8-swertianin a [21] | C21H21O13 | [M – H + HCOOH]− | 481.09767 | 481.09833 | - | 1.378 | - | 445(0.28), 435(100), 273(49.56), 241(10.58), 403(69.94), 359(17.44) | - | - |
| 19 | 12.86 | - | Mangiferin a,* | C21H21O13 | [M − H + CH3COOH]− | 481.09767 | 481.09711 | - | 1.158 | - | 463(0.13), 445(0.28), 435(100), 361(0.05), 301(0.34), 403(0.53), 273(66.13), 179(3.46) | - | - |
| 20 | 12.96 | 12.98 | Gentiopicroside a,b,* | C17H21O11 | [M − H + HCOOH]− | 401.10784 | 401.10907 | 401.10892 | 1.232 | 1.082 | 355(78.18), 193(9.39), 179(100), 175(0.48), 149(14.29), 165(1.54) | 355(78.98), 193(11.62), 179(100), 175(0.29), 149(19.9), 165(0.87) | 1.04 |
| 21 | 13.47 | 13.48 | Sweroside a,b,* | C17H23O11 | [M − H + HCOOH]− | 403.12349 | 403.12506 | 403.12488 | 1.572 | 1.392 | 357(100), 339(1.06), 283(0.21), 267(4.96), 195(45.04), 177(0.50), 180(2.67), 151(8.32), 125(16.99) | 357(100), 339(1.39), 267(5), 195(48.96), 177(1.76), 180(1.24), 151(6.9), 125(17.08), 119(0.19) | 0.99 |
| 22 | 13.57 | Loganin * | C18H27O12 | [M − H + HCOOH]− | 435.14970 | 435.15146 | 4.039 | 389(12.53), 227(100), 371(0.25), 209(0.27), 127(0.31); (Standard) | - | ||||
| 23 | 13.87 | 13.90 | Methylcorymbiferin a,b [27] | C18H17O9 | [M − H + CH3COOH]− | 377.08671 | 377.08704 | 377.08734 | 0.879 | 1.675 | 362(0.1), 347(0.22), 197(100), 179(0.61), 153(17.46) | 359(0.11), 347(0.6), 197(100), 179(0.41), 153(23.02) | 1.92 |
| 24 | 13.92 | 13.96 | 1-hydroxy-2,3,4,7-tetramethoxy xanthone a,b [28] | C18H17O9 | [M − H + HCOOH]− | 377.08671 | 377.08716 | 377.08698 | 1.197 | 0.720 | 347(0.48), 331(0.03), 197(100), 179(0.03), 153(20.32), 119(0.06) | 347(1.46), 331(0.06), 197(100), 179(0.45), 153(21.29) | 2.07 |
| 25 | 14.85 | 14.85 | Isovitexin-2′′-4′-O-B-d-glucosyle a,b [29] | C34H41O22 | [M − H + HCOOH]− | 801.20840 | 801.21179 | 801.21118 | 3.391 | 2.781 | 765(0.69), 755(0.2), 681(0.85), 639(100), 635(0.13), 621(0.2), 477(42.58) | 765(0.17), 755(0.45), 681(1.49), 639(100), 621(3.91), 477(45) | 0.82 |
| 26 | 15.11 | 15.11 | Gentiotrifloroside a,b [30] | C29H35O17 | [M − H]− | 655.18688 | 655.18951 | 655.18927 | 4.020 | 3.654 | 637(0.19), 493(67.72), 475(0.02), 315(100), 195(0.14) | 637(0.05), 493(65.72), 475(0.22), 315(100), 339(0.23) | 0.85 |
| 27 | 15.38 | 15.38 | Isoorientin a,b | C21H21O11 | [M + H]+ | 449.10784 | 449.10727 | 449.10684 | 0.568 | 0.998 | 431(100), 413(25.4), 395(19.26), 329(27.53), 299(2.14) | 431(100), 413(21.6), 395(18.98), 329(26.97), 299(3.35) | 1.03 |
| 28 | 16.26 | 16.27 | Isovitexin-2′′-O-B-d-glucosyle a,b [29] | C28H31O17 | [M − H + HCOOH]− | 639.15558 | 639.15826 | 639.15808 | 2.684 | 2.504 | 593(0.07), 431(0.03), 477(100), 357(0.2), 311(0.1), 281(0.04) | 593(0.01), 431(0.01), 477(100), 357(0.12), 387(0.04) | 1.05 |
| 29 | 17.03 | 17.01 | Glucosyl-1-decussatin a,b [21] | C24H27O13 | [M − H + CH3COOH]− | 523.14462 | 523.14722 | 523.14703 | 4.975 | 4.612 | 487(0.37), 451(1.73), 371(1.12), 359(4.1), 361(74.13), 343(1.29), 299(0.3), 241(100), 165(6.39) | 505(1.55), 371(1.39), 359(0.89), 361(65.37), 343(0.96), 299(1.23), 241(100), 165(8.09) | 0.13 |
| 30 | 17.30 | Isovitexin * | C21H19O10 | [M − H]− | 431.09727 | 431.09903 | 4.075 | 413(6.31), 395(1.19), 311(100), 281(0.06), 283(0.49) (Standard) | - | ||||
| 31 | 18.06 | - | 2′-feruloy loganin a [31] | C27H35O13 | [M + H]+ | 567.20722 | 567.20477 | - | 2.447 | - | 549(100), 471(0.03), 453(7.21), 435(44.55), 229(0.13), 211(0.04) | - | - |
| 32 | - | 18.42 | Gentioside b [25] | C25H28O14N | [M + NH4]+ | 570.18173 | - | 570.18396 | - | 3.909 | - | 553(0.82), 525(0.22), 507(0.35), 287(0.37), 283(100), 253(0.2) | - |
| 33 | 18.49 | 18.50 | 1-hydroxy-2-methoxy-7-O-primeveroylxanthone a,b [32] | C25H32O14N | [M + NH4]+ | 570.18173 | 570.18060 | 570.18390 | 1.984 | 3.804 | 525(2.02), 507(2.16), 489(0.79), 283(100), 265(8.27) | 569(0.4), 525(3.53), 507(0.47), 283(100), 281(1.21), 265(9.85) | 4.49 |
| 34 | - | 18.53 | Desmethylbellidifolin b [33] | C13H8O6K | [M + K]+ | 298.99525 | - | 298.99619 | - | 0.944 | - | 299(0.08), 271(0.18), 255(0.47), 155(100), 137(97.69) | - |
| 35 | - | 18.61 | Norswertianin b [34] | C13H8O6K | [M + K]+ | 298.99525 | 298.99518 | - | 0.546 | 299(0.13), 271(0.26), 255(0.3), 155(100), 137(90.32) | - | ||
| 36 | 18.70 | 18.67 | 6-C-B-d-glucospranosyltricine (isopyrenine) a,b [29] | C23H25O12 | [M + H]+ | 493.13405 | 493.13306 | 493.13287 | 2.013 | 2.398 | 475(13.75), 457(3.99), 313(2.4), 315(0.49), 195(100) | 475(23.34), 457(8.67), 313(5.05), 315(0.61), 195(100) | 0.83 |
| 37 | 18.70 | 18.67 | Gentiakochianoside a,b [21] | C25H32O15N | [M + NH4]+ | 586.17665 | 586.17798 | 586.17841 | 2.277 | 3.070 | 569(6.04), 551(1.89), 541(19.3), 539(8.52), 299(100), 243(24.99) | 569(4.57), 551(1.81), 541(19.98), 523(1.11), 299(100), 243(51.24) | 0.27 |
| 38 | 18.71 | 18.70 | Isopyrenine-7-O-glucosyle a,b [29] | C29H33O17 | [M − H]− | 653.17123 | 653.17395 | 653.17328 | 2.724 | 2.050 | 491(8.45), 477(13.82), 371(0.06), 357(3.86), 315(100) | 635(0.02), 491(4.23), 477(11.71), 371(0.05), 357(4.73), 315(100) | 0.85 |
| 39 | 18.74 | - | Isoscoparine-7-O-B-d- glucosyle a | C30H35O18 | [M − H + CH3COOH]− | 683.18179 | 683.18146 | - | 0.484 | - | 655(0.06), 647(0.04), 609(0.04), 521(100), 503(0.22), 433(0.82), 311(0.4), 297(0.04) | - | - |
| 40 | 19.00 | 19.01 | 1-O-glucosyl corymbiferin a,b [27] | C22H23O14 | [M − H + HCOOH]− | 511.10823 | 511.10571 | 511.10580 | 4.934 | 4.758 | 467(6.46), 465(4.78), 305(1.05), 297(6.36), 153(100) | 493(0.3), 475(0.5), 467(4.07), 465(9.51), 349(0.31), 305(0.47), 297(5.73), 153(100) | 0.62 |
| 41 | 20.31 | 20.32 | 3′-acetyl swerside a,b [35] | C18H25O11 | [M + H]+ | 401.14422 | 401.14362 | 401.14392 | 1.504 | 0.756 | 383(4.28), 365(0.24), 341(0.44), 197(100), 179(9.18), 151(2.36), 127(7.14) | 383(7.53), 365(0.5), 341(0.87), 197(100), 179(9.83), 151(2.24), 127(8.11) | 1.20 |
| 42 | 20.89 | - | 4′-O-B-d-glucospranosyl-2′′-O-[1-O-B-d-glucosyl-2,4,4-trihydroxy-(E)-cinnamoyl]-2′′-isoorientin a [36] | C44H49O27 | [M − H + CH3COOH]− | 1009.24557 | 1009.24139 | - | 4.144 | - | 991(0.26), 973(0.02), 949(0.01), 931(0.01), 847(3.35), 846(100), 489(0.02),459(0.01), 357(0.12) | - | - |
| 43 | - | 21.09 | 1,3,4-trihydroxy-8-β-d-glucospranosyl-5,6,7,8-tetrahydroxanthone b [37] | C19H26O11N | [M + NH4]+ | 444.15004 | - | 444.15210 | - | 4.654 | - | 427(0.61), 426(0.39), 399(1.64), 381(0.3), 219(100), 237(6.86) | - |
| 44 | 21.99 | 22.00 | 7-hydroxy-2-methoxy-1-O-primeveroyl xanthone a,b [32] | C25H32O14N | [M + NH4]+ | 570.18173 | 570.18390 | 570.18054 | 3.804 | 2.089 | 553(1.52), 525(100), 283(38.75), 265(18.89), 229(0.71), 243(12.78) | 553(0.08), 525(100), 283(33.52), 265(21.99), 229(0.22), 243(17.04) | 1.03 |
| 45 | 22.53 | 22.55 | Morroniside a,b [38] | C17H27O11 | [M + H]+ | 407.15429 | 407.15421 | 407.15466 | 1.125 | 0.314 | 389(100), 371(0.01), 329(0.02), 245(0.39), 227(0.05), 185(0.23), 167(0.01) | 389(100), 371(0.03),329(0.01), 245(0.24), 227(0.09), 185(0.32), 167(0.01) | 3.05 |
| 46 | - | 22.71 | Isoscoparine | C24H25O13 | [M − H + CH3COOH]− | 521.12897 | - | 521.12724 | - | 1.653 | - | 503(0.37), 485(0.77), 477(2.69), 447(0.05), 341(0.21), 315(100, 297(4.59), 195(4.36), 163(6.76) | - |
| 47 | 22.93 | - | 8-O-glucosyl bellidifolin a [27] | C20H20O10Na | [M + Na]+ | 443.09487 | 443.09613 | - | 2.848 | - | 425(16.51), 407(0.4), 389(1.14), 281(1.04), 263(0.36), 247(100) | - | - |
| 48 | 23.21 | - | Gentianaside a [15] | C24H44O14Na | [M + Na]+ | 579.26232 | 579.26117 | - | 1.997 | - | 561(17.21), 543(0.09), 417(4.89), 399(0.31), 383(100), 255(0.08), 237(0.44) | - | - |
| 49 | 23.36 | - | Scabran G4 a [19] | C34H49O24 | [M − H]− | 841.26083 | 841.26135 | - | 1.356 | - | 841(11.54), 679(0.71), 517(4.48), 489(0.08), 477(100), 337(0.13) | - | - |
| 50 | 23.60 | 23.59 | Rindoside a,b [19] | C35H41O21 | [M − H]− | 797.21348 | 797.21667 | 797.21637 | 3.996 | 3.620 | 779(0.07), 761(0.02), 755(93.15), 737(7.59), 677(0.15), 635(100), 593(50.8), 575(3.7), 515(0.6), 455(0.84), 357(0.16), 315(33.53) | 779(0.27), 761(0.14), 755(97.62), 737(7.45), 677(0.28), 635(100), 593(49.99), 575(4.07), 515(0.6), 455(0.54), 357(0.03), 315(34.36) | 0.92 |
| 51 | 23.72 | 23.72 | Macrophylloside A a,b [24] | C40H43O22 | [M − H]− | 875.22405 | 875.22638 | 875.22614 | 2.663 | 3.413 | 857(0.06), 815(0.1), 739(100), 713(0.1), 679(1.07), 653(0.36), 577(39.22), 517(1.57), 441(0.02), 315(2.68) | 815(0.77), 739(100), 713(0.01), 679(1.11), 653(0.37), 577(39.1), 517(1.78), 315(3.68) | 0.77 |
| 52 | 23.78 | 23.78 | Depressoside a,b [39] | C35H41O20 | [M − H]− | 781.21857 | 781.22137 | 781.22119 | 3.578 | 3.365 | 619(100), 601(0.17), 655(8.23), 493(3.59), 313(0.02) | 619(100), 601(0.15), 655(7.98), 493(3.13), 313(0.1) | 0.89 |
| 53 | 25.43 | 25.40 | Oleanolic acid a,b | C30H47O3 | [M − H]− | 455.35197 | 455.35406 | 455.35413 | 2.784 | 2.812 | 455(0.3), 437(13.83), 411(1.7), 409(0.76), 233(0.85), 221(28.05), 189(100), 75(1.12) | 437(9.56), 411(1.28), 409(0.68), 233(0.57), 221(27.31), 189(100), 75(1.57) | 0.57 |
| 54 | - | 25.48 | Primeverosyl-1- decussatin b [21] | C27H31O15 | [M − H]− | 595.16575 | - | 595.16437 | - | 2.313 | - | 577(1.62), 559(0.6), 549(2.54), 495(0.43), 417(0.43), 415(29.63), 279(100) | - |
© 2018 by the authors. Licensee MDPI, Basel, Switzerland. This article is an open access article distributed under the terms and conditions of the Creative Commons Attribution (CC BY) license (http://creativecommons.org/licenses/by/4.0/).
Share and Cite
Lv, X.; Sun, J.-Z.; Xu, S.-Z.; Cai, Q.; Liu, Y.-Q. Rapid Characterization and Identification of Chemical Constituents in Gentiana radix before and after Wine-Processed by UHPLC-LTQ-Orbitrap MSn. Molecules 2018, 23, 3222. https://doi.org/10.3390/molecules23123222
Lv X, Sun J-Z, Xu S-Z, Cai Q, Liu Y-Q. Rapid Characterization and Identification of Chemical Constituents in Gentiana radix before and after Wine-Processed by UHPLC-LTQ-Orbitrap MSn. Molecules. 2018; 23(12):3222. https://doi.org/10.3390/molecules23123222
Chicago/Turabian StyleLv, Xin, Jian-Zhi Sun, Shi-Zhao Xu, Qian Cai, and Yu-Qiang Liu. 2018. "Rapid Characterization and Identification of Chemical Constituents in Gentiana radix before and after Wine-Processed by UHPLC-LTQ-Orbitrap MSn" Molecules 23, no. 12: 3222. https://doi.org/10.3390/molecules23123222
APA StyleLv, X., Sun, J.-Z., Xu, S.-Z., Cai, Q., & Liu, Y.-Q. (2018). Rapid Characterization and Identification of Chemical Constituents in Gentiana radix before and after Wine-Processed by UHPLC-LTQ-Orbitrap MSn. Molecules, 23(12), 3222. https://doi.org/10.3390/molecules23123222

