Bioactive Compounds from the Stems of Clausena lansium
Abstract
:1. Introduction
2. Results and Discussion
2.1. Purification and Characterization
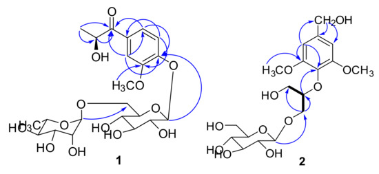
2.2. Structure Identification of the Known Compounds
2.3. Neuroprotective Effect and Hepatoprotective Effect of Compounds 1–4 and 6–17
2.4. Discussion
3. Materials and Methods
3.1. General Experimental Procedures
3.2. Cell Lines, Chemicals and Biochemical
3.3. Plant Materials
3.4. Extraction and Isolation
3.5. Characterization
3.6. Acid Hydrolysis and GC Analysis of Compounds 1 and 2
3.7. Hepatoprotective Activity Assay
3.8. Neuroprotective Activity Assays
4. Conclusions
Supplementary Materials
Acknowledgments
Author Contributions
Conflicts of Interest
References
- Editorial Committee of Flora of China, Chinese Academy of Sciences. Flora of China; Science Press: Beijing, China, 1999; Volume 43, p. 132. [Google Scholar]
- Lim, T.K. Edible Medicinal and Non-Medicinal Plants; Springer: Berlin, Germany, 2012; Volume 4, pp. 871–883. [Google Scholar]
- Adebajo, A.C.; Iwalewa, E.O.; Obuotor, E.M.; Ibikunle, G.F.; Omisore, N.O.; Adewunmi, C.O.; Obaparusi, O.O.; Klaes, M.; Adetogun, G.E.; Schmidt, T.J.; et al. Pharmacological properties of the extract and some isolated compounds of Clausena lansiumstem bark: Anti-trichomonal, antidiabetic, anti-inflammatory, hepatoprotective and antioxidant effects. J. Ethnopharmacol. 2009, 122, 10–19. [Google Scholar] [CrossRef] [PubMed]
- Maneerat, W.; Ritthiwigrom, T.; Cheenpracha, S.; Cheenpracha, S.; Laphookhieo, S. Carbazole alkaloids and coumarins from Clausena lansium roots. Phytochem. Lett. 2012, 5, 26–28. [Google Scholar] [CrossRef]
- Liu, G.T.; Li, W.X.; Chen, Y.Y.; Wei, H.L. Hepatoprotective action of nine constituents isolated from the leaves of Clausena lansium in mice. Drug Dev. Res. 1996, 39, 174–178. [Google Scholar] [CrossRef]
- Prasad, K.N.; Xie, H.H.; Hao, J.; Yang, B.; Qiu, S.X.; Wei, X.Y.; Chen, F.; Jiang, Y.M. Antioxidant and anticancer activities of 8-hydroxypsoralen isolated from wampee [Clausena lansium (Lour.) Skeels] peel. Food Chem. 2010, 118, 62–66. [Google Scholar] [CrossRef]
- Liu, H.; Li, C.J.; Yang, J.Z.; Ning, N.; Si, Y.K.; Li, L.; Chen, N.H.; Zhao, Q.; Zhang, D.M. Carbazole Alkaloids from the Stems of Clausena lansium. J. Nat. Prod. 2012, 75, 677–682. [Google Scholar] [CrossRef] [PubMed]
- Liu, H.; Li, F.; Li, C.J.; Li, C.J.; Yang, J.Z.; Li, L.; Chen, N.H.; Zhang, D.M. Bioactive furanocoumarins from stems of Clausena lansium. Phytochemistry 2014, 107, 141–147. [Google Scholar] [CrossRef] [PubMed]
- Du, Y.Q.; Liu, H.; Li, C.J.; Ma, J.; Zhang, D.; Li, L.; Sun, H.; Bao, X.Q.; Zhang, D.M. Bioactive carbazole alkaloids from the stems of Clausena lansium. Fitoterapia 2015, 103, 122–128. [Google Scholar] [CrossRef] [PubMed]
- Zhao, Q.; Yang, J.Z.; Li, C.J.; Chen, N.H.; Zhang, D.M. A new megastigmane glucoside and a new amide alkaloid from the leaves of Clausena lansium (Lour.) Skeels. J. Asian. Nat. Prod. Res. 2011, 13, 361–366. [Google Scholar] [CrossRef] [PubMed]
- Liu, J.; Li, C.J.; Ni, L.; Yang, J.Z.; Li, L.; Zang, C.X.; Bao, X.Q.; Zhang, D.; Zhang, D.M. Anti-inflammatory alkaloid glycoside and quinolone alkaloid derivates from the stems of Clausena lansium. RSC Adv. 2015, 5, 80553–80560. [Google Scholar] [CrossRef]
- Liu, J.; Li, C.J.; Yang, J.Z.; Ma, J.; Zhang, D.M. Chemical constituents from stems of Clausena lansium. Chin. Tradit. Herb. Drugs 2016, 47, 32–37. [Google Scholar]
- Wang, C.; Li, C.J.; Ma, J.; Yang, J.Z.; Chen, X.G.; Li, L.; Zhang, D.M. Bioactive 18(4 → 3)-abeo-abietanoid derivatives from the leaves of Tripterygium wilfordii. RSC Adv. 2015, 5, 30046–30052. [Google Scholar] [CrossRef]
- Gan, M.L.; Zhu, C.G.; Zhang, Y.L.; Zi, J.C.; Song, W.X.; Yang, Y.C.; Shi, J.G. Constituents from a water-soluble portion of ethanolic extract of Iodes cirrhosa. Chin. J. Chin. Mat. Med. 2010, 35, 456–467. [Google Scholar]
- Baderschneider, B.; Winterhalter, P. Isolation and characterization of novel benzoates, cinnamates, flavonoids, and Lignans from riesling wine and screening for antioxidant activity. J. Agric. Food Chem. 2001, 49, 2788–2798. [Google Scholar] [CrossRef] [PubMed]
- Liu, J.; Du, D.; Si, Y.K.; Lü, H.N.; Wu, X.F.; Li, Y.; Liu, Y.Y.; Yu, S.S. Application of dimolybdenum reagent Mo2(OAc)4 for determination of the absolute configurations of vic-diols. Chin. J. Org. Chem. 2010, 30, 1270–1278. [Google Scholar]
- Bari, L.D.; Pescitelli, G.; Pratelli, C.; Pini, D.; Salvadori, P. Determination of absolute configuration of acyclic 1,2-diols with Mo2(OAc)4. 1. Snatzke’s Method Revisited. J. Org. Chem. 2001, 66, 4819–4825. [Google Scholar] [CrossRef] [PubMed]
- Minkin, V.I.; Legrand, M.; Rougier, M.J. Determination of Configurations by Dipole Moments; CD or ORD. Stereochemistry: fundamentals and methods; Georg Thieme Publishers: Stuttgart, Germany, 1977; Volume 2, p. 33. [Google Scholar]
- Gawronski, J.K.; Oeveren, A.V.; Deen, H.V.D.; Leung, C.W.; Feringa, B.L. Simple circular dichroic method for the determination of absolute configuration of 5-substituted 2(5H)-furanones. J. Org. Chem. 1996, 61, 1513–1515. [Google Scholar] [CrossRef]
- Dong, C.X.; Shi, S.P.; Wu, K.S.; Tu, P.F. Chemical constituents from the roots and rhizomes of Dictamnus dasycarpus Pall. Z. Naturforschung B J. Chem. Sci. 2007, 62, 854–858. [Google Scholar]
- Miyamura, M.; Nohara, T.; Tomimatsu, T.; Nishioka, I. Seven aromatic compounds from bark of Cinnamomum cassia. Phytochemistry 1983, 22, 215–218. [Google Scholar] [CrossRef]
- Graikou, K.; Aligiannis, N.; Chinou, I.; Skaltsounis, A.L.; Tillequin, F.; Litaudon, M. Chemical constituents from Croton insularis. Helv. Chim. Acta 2005, 88, 2654–2660. [Google Scholar] [CrossRef]
- Andrianaivoravelona, J.O.; Terreaux, C.; Sahpaz, S.; Rasolondramanitra, J.; Hostettmann, K. A phenolic glycoside and N-(p-coumaroyl)-tryptamine from Ravansara anisata. Phytochemistry 1999, 52, 1145–1148. [Google Scholar] [CrossRef]
- Ferrari, F.; Monache, F.D. A new phenolic glycoside from Sorocea ilicifolia stem bark. Fitoterapia 2004, 75, 417–419. [Google Scholar] [CrossRef] [PubMed]
- Kanchanapoom, T.; Kasai, R.; Yamasaki, K. Phenolic glycosides from Barnettia kerrii. Phytochemistry 2002, 59, 565–570. [Google Scholar] [CrossRef]
- Bao, S.Y.; Ding, Y.; Deng, Z.W.; Proksch, P.; Lin, W.H. Rhyncoside A-F, phenolic constituents from the Chinese mangrove plant Bruguiera sexangula var. rhynchopetala. Chem. Pharm. Bull. 2007, 55, 1175–1180. [Google Scholar] [CrossRef] [PubMed]
- Chang, J.; Xuan, L.J.; Xu, Y.M.; Zhang, J.S. Cytotoxic terpenoid and immunosuppressive phenoic glycosides from the root bark of Dictamnus dasycarpus. Planta Med. 2002, 68, 425–429. [Google Scholar] [CrossRef] [PubMed]
- Otsuka, H.; Kashima, Z.; Hayashi, T.; Kubo, N.; Yamasaki, K.; Padolina, W.G. Premnaodorosides A, B and C; iridoid glucoside diesters of an acyclic monoterpenediol from leaves of Premna Odorata. Phytochemistry 1992, 31, 3129–3133. [Google Scholar] [CrossRef]
- Matsunami, K.; Nagashima, J.; Sugimoto, S.; Otsuka, H.; Takeda, Y.; Lhieochaiphant, D.; Lhieochaiphant, S. Megastigmane glucosides and an unusual onoterpene from the leaves of Cananga odorata var. odorata, and absolute structures of megastigmane glucosides isolated from C. odorata var. odorata and Breynia officinalis. J. Nat. Med. 2010, 64, 460–467. [Google Scholar] [CrossRef] [PubMed]
- Ono, M.; Yoshida, A.; Ito, Y.; Nohara, T. Phenethyl alcohol glycosides and isopentenol glycoside from fruit of Bupleurum falcatum. Phytochemistry 1999, 51, 819–823. [Google Scholar] [CrossRef]
- Hegnauer, R. Chemotaxonomie der Pflanzen, Bd. 6, Dicotyledonear: Rafflesiaceae—Zygopbyllaceae; Birkhäuser Verlag: Basel, Switzerland, 1973; pp. 174–239. [Google Scholar]
- Shen, D.Y.; Ngan Nguyen, T.; Wu, S.J.; Shiao, Y.J.; Hung, H.Y.; Kuo, P.C.; Kuo, D.H.; Dinh Thang, T.; Wu, T.S. γ- and δ-Lactams from the Leaves of Clausena lansium. J. Nat. Prod. 2015, 78, 2521–2530. [Google Scholar] [CrossRef] [PubMed]
- Shen, D.Y.; Kuo, P.C.; Huang, S.C.; Hwang, T.L.; Chan, Y.Y.; Shieh, P.C.; Thi Ngan, N.; Dinh Thang, T.; Wu, T.S. Constituents from the leaves of Clausena lansium and their antiinflammatory activity. J. Nat. Med. 2017, 71, 96–104. [Google Scholar] [CrossRef] [PubMed]
- Liu, J.; Du, Y.Q.; Li, C.J.; Li, L.; Chen, F.Y.; Yang, J.Z.; Chen, N.H.; Zhang, D.M. Alkaloids from the stems of Clausena lansium and their neuroprotective activity. RSC Adv. 2017, 7, 35417–35425. [Google Scholar] [CrossRef]
- Jiang, H.Y.; Zhang, W.J.; You, C.X.; Yang, K.; Fan, L.; Feng, J.B.; Chen, J.; Yang, Y.J.; Wang, C.F.; Deng, Z.W.; et al. Two new cytotoxic constituents from the Clausena lansium (Lour.) Skeels. Phytochem. Lett. 2014, 9, 92–95. [Google Scholar] [CrossRef]
- Song, W.W.; Zeng, G.Z.; Peng, W.W.; Tan, N.H. A New Cytotoxic Oxyneolignan from the Roots and Stems of Clausena lansium (Rutaceae). Plant Divers. Res. 2014, 36, 545–550. [Google Scholar]
- Wang, G.C.; Li, W.; Wang, Y.; Zhang, X.Q.; Li, Y.L.; Ye, W.C. A new amide and a new monoterpene from the seeds of Clausena lansium. Nat. Prod. Res. 2012, 27, 558–562. [Google Scholar] [CrossRef] [PubMed]
- Huang, L.; Li, D.; Xu, Y.S.; Feng, Z.L.; Meng, F.C.; Zhang, Q.W.; Gan, L.S.; Lin, L.G. Clausoxamine, an alkaloid possessing a 1,3-oxazine-4-one ring from the seeds of Clausena lansium and the anti-obesity effect of lansiumamide B. RSC Adv. 2017, 7, 46900–46905. [Google Scholar] [CrossRef]
- Deng, H.D.; Mei, W.L.; Wang, H.; Guo, Z.K.; Dong, W.H.; Wang, H.; Li, S.P.; Dai, H.F. Carbazole alkaloids from the peels of Clausena lansium. J. Asian Nat. Prod. Res. 2014, 16, 1024–1028. [Google Scholar] [CrossRef] [PubMed]
- Deng, H.D.; Mei, W.L.; Guo, Z.K.; Liu, S.; Zuo, W.J.; Dong, W.H.; Li, S.P.; Dai, H.F. Monoterpenoid Coumarins from the Peels of Clausena lansium. Planta Med. 2014, 80, 955–958. [Google Scholar] [CrossRef] [PubMed]
- Xu, X.Y.; Xie, H.H.; Wei, X.Y. Jasmonoid glucosides, sesquiterpenes and coumarins from the fruit of Clausena lansium. LWT Food Sci. Technol. 2014, 59, 65–69. [Google Scholar] [CrossRef]
- Xia, H.M.; Li, C.J.; Yang, J.Z.; Ma, J.; Chen, X.G.; Zhang, D.; Li, L.; Zhang, D.M. A,D-seco-Limonoids from the Stems of Clausena emarginata. J. Nat. Prod. 2014, 77, 784–791. [Google Scholar] [CrossRef] [PubMed]
- Hao, Z.Y.; Liang, D.; Luo, H.; Liu, Y.F.; Ni, G.; Zhang, Q.J.; Li, L.; Si, Y.K.; Sun, H.; Chen, R.Y.; Yu, D.Q. Bioactive Sesquiterpenoids from the Rhizomes of Acrorus calamus. J. Nat. Prod. 2012, 75, 1083–1089. [Google Scholar] [CrossRef] [PubMed]
- Zhang, F.; Yang, Y.N.; Song, X.Y.; Shao, S.Y.; Feng, Z.M.; Jiang, J.S.; Li, L.; Chen, N.H.; Zhang, P.C. Forsythoneosides A−D, Neuroprotective phenethanoid and flavone glycoside heterodimers from the fruits of Forsythia suspense. J. Nat. Prod. 2015, 78, 2390–2397. [Google Scholar] [CrossRef] [PubMed]
Sample Availability: Samples of the compounds 1–4 and 6–17 are available from the authors. |








| 1 | 1a | 2 | 2a | |||||
|---|---|---|---|---|---|---|---|---|
| Position | δH a | δC b | δH a | δC b | δH a | δC b | δH a | δC b |
| 1 | 128.5 s | 130,1 s | 133.9 s | 134.1 s | ||||
| 2 | 7.51, d (2.0) | 111.7 d | 7.43, d (2.0) | 112.1 d | 152.7 s | 152.7 s | ||
| 3 | 148.7 s | 148.2 s | 6.63, s | 103.5 d | 6.64, s | 103.5 d | ||
| 4 | 150.6 s | 150.2 s | 138.2 s | 138.1 s | ||||
| 5 | 7.13, d (8.5) | 114.4 d | 6.79, d (8.5) | 115.5 d | 6.63, s | 103.5 d | 6.64, s | 103.5 d |
| 6 | 7.62, dd (8.5, 2.0) | 122.7 d | 7.51, dd (8.5, 2.0) | 124.2 d | 152.7 s | 152.7 s | ||
| 7 | 200.3 s | 200.0 s | 4.43, d (5.7) | 63.0 t | 4.43, d (5.8) | 63.0 t | ||
| 8 | 5.08, m | 68.5 d | 4.98, q (6.6) | 68.5 d | ||||
| 9 | 1.27, d (6.7) | 21.2 q | 1.23, d (6.6) | 21.8 q | ||||
| 3-OCH3 | 3.83, s | 55.7 q | 3.78, s | 56.0 q | ||||
| 2,6-OCH3 | 3.76, s | 55.9 q | 3.76, s | 55.9 q | ||||
| 1′ | 5.01, d (6.1) | 99.6 d | 3.98, m | 81.4 d | 3.82, m | 83.4 d | ||
| 2′ | 4.02, m | 73.1 d | 3.88, m; 3.71, m | 67.6 t | 3.59, m; 3.52, m | 59.9 t | ||
| 3′ | 3.28, m | 76.7 d | 3.56, m; 3.65, m | 60.1 t | 3.59, m; 3.52, m | 59.9 t | ||
| 4′ | 3.01, m | 69.9 d | ||||||
| 5′ | 3.52, m | 75.6 d | ||||||
| 6′ | 3.84, m; 3.40, m | 66.5 t | ||||||
| 1″ | 4.52, br s | 100.7 d | 4.17, d (7.7) | 103.4 d | ||||
| 2″ | 3.46, m | 70.4 d | 2.94, m | 73.5 d | ||||
| 3″ | 3.58, m | 70.7 d | 3.04, m | 76.7 d | ||||
| 4″ | 3.13, m | 72.0 d | 3.09, m | 70.0 d | ||||
| 5″ | 3.44, m | 68.3 d | 3.14, m | 76.8 d | ||||
| 6″ | 1.09, d (6.2) | 17.9 q | 3.42, m; 3.61, m | 61.0 t | ||||
| 3 | ||
|---|---|---|
| Position | δH a | δC b |
| 1 | 198.3 s | |
| 2 | 4.96, t (4.7) | 73.9 d |
| 3a | 3.69, dd (11.3, 4.2) | 64.5 t |
| 3b | 3.59, dd (11.3, 4.9) | |
| 1′ | 126.9 s | |
| 2′ | 7.48, s | 111.7 d |
| 3′ | 147.5 s | |
| 4′ | 151.9 s | |
| 5′ | 6.87, d (8.1) | 114.7 d |
| 6′ | 7.56, d (8.1) | 123.6 d |
| 6-OCH3 | 3.82, s | 55.6 q |
| 4 | 5 | |||
|---|---|---|---|---|
| Position | δH a | δC b | δH a | δC b |
| 2 | 173.7 s | 173.8 s | ||
| 3 | 128.1 s | 127.7 s | ||
| 4 | 7.36, m | 150.5 d | 7.43, m | 151.2 d |
| 5 | 5.10, m | 79.5 d | 5.05, m | 79.4 d |
| 6 | 2.36, dd (5.2, 14.0); 2.19, dd (8.2, 14.0) | 42.7 t | 1.51, m; 1.42, m | 40.4 t |
| 7 | 5.37, m | 129.0 d | 1.77, m | 26.4 d |
| 8 | 130.8 s | 1.47, m; 1.30, m | 40.1 t | |
| 9 | 3.95, d (6.0) | 57.5 t | 3.40, m | 58.5 t |
| 10 | 1.64, s | 16.4 q | 0.93, d (7.8) | 19.2 q |
| 11 | 1.80, s | 10.2 q | 1.80, s | 10.2 q |
© 2017 by the authors. Licensee MDPI, Basel, Switzerland. This article is an open access article distributed under the terms and conditions of the Creative Commons Attribution (CC BY) license (http://creativecommons.org/licenses/by/4.0/).
Share and Cite
Liu, J.; Li, C.-J.; Du, Y.-Q.; Li, L.; Sun, H.; Chen, N.-H.; Zhang, D.-M. Bioactive Compounds from the Stems of Clausena lansium. Molecules 2017, 22, 2226. https://doi.org/10.3390/molecules22122226
Liu J, Li C-J, Du Y-Q, Li L, Sun H, Chen N-H, Zhang D-M. Bioactive Compounds from the Stems of Clausena lansium. Molecules. 2017; 22(12):2226. https://doi.org/10.3390/molecules22122226
Chicago/Turabian StyleLiu, Jie, Chuang-Jun Li, Yi-Qian Du, Li Li, Hua Sun, Nai-Hong Chen, and Dong-Ming Zhang. 2017. "Bioactive Compounds from the Stems of Clausena lansium" Molecules 22, no. 12: 2226. https://doi.org/10.3390/molecules22122226
APA StyleLiu, J., Li, C.-J., Du, Y.-Q., Li, L., Sun, H., Chen, N.-H., & Zhang, D.-M. (2017). Bioactive Compounds from the Stems of Clausena lansium. Molecules, 22(12), 2226. https://doi.org/10.3390/molecules22122226
