Characterization of Phytochemicals and Antioxidant Activities of Red Radish Brines during Lactic Acid Fermentation
Abstract
:1. Introduction
2. Results and Discussion
2.1. Lactic Acid, pH and Colour Properties of Radish Brines
| Days | Lactic Acid (mg/mL) | pH | Lightness | Chroma | Hue |
|---|---|---|---|---|---|
| 0§ | 0 ± 0.00a | 6.50 ± 0.04a | 100 ± 0.00a | 0 ± 0.00a | 0 ± 0.00a |
| 2 | 4.80 ± 0.14b | 3.42 ± 0.03b | 71.21 ± 1.23b | 54.4 ± 0.63b | 23.28 ± 1.22b |
| 5 | 5.71 ± 0.34c | 3.36 ± 0.03b | 68.42 ± 1.75b | 50.19 ± 2.28c | 26.25 ± 1.34c |
| 9 | 6.42 ± 0.27c | 3.31 ± 0.04b | 69.73 ± 0.70b | 49.67 ± 1.33c | 26.59 ± 0.41c |
| 14 | 6.23 ± 0.34c | 2.21 ± 0.03c | 71.63 ± 3.41b | 42.69 ± 3.12d | 27.22 ± 0.74c |
2.2. Identification of Flavonoids in Brines


| Peak | Compounds | λmax (nm) | Fragments |
|---|---|---|---|
| 1 | Pg-3-(p-coumaroyl)diglu-5-glu | 508 | 903 [M]+, 741 [M-glu]+, 433 [Pg+glu]+, 271 [Pg]+ |
| 2 | Pg-3-(feruloyl)diglu-5-glu | 510 | 933 [M]+, 771 [M-glu]+, 433 [Pg+glu]+, 271 [Pg]+ |
| 3 | Pg-3-(p-coumaroyl)diglu-5-(malonyl)glu | 514 | 989 [M]+, 741 [M-glu-mal]+, 519 [Pg+glu+mal]+, 271 [Pg]+ |
| 4 | Pg-3-(feruloyl)diglu-5-(malonyl)glu | 511 | 1019 [M]+, 771 [M-glu-mal]+, 519 [Pg+glu+mal]+, 271 [Pg]+ |
| 5 | Kaempferol-3,7-(glucoside+rhamnoside) | 365 | 593 [M]−, 447 [M-rhamnose]−, 431 [M-glu]−, 285 [kaemperol]- |
2.3. Change in Flavonoids in Brines during Fermentation
| Fermentation Duration (days) | ||||
|---|---|---|---|---|
| 2 | 5 | 9 | 14 | |
| Total Anthocyanins 1 (µg/mL) | 19.30 ± 2.94a | 18.23 ± 0.78a | 18.43 ± 1.94a | 15.35 ± 2.87a |
| Peak area % of individual anthocyanin 2,3 | ||||
| Pg-3-(p-coumaroyl)diglu-5-glu | 3.09 ± 0.24a | 2.47 ± 0.27b | 4.39 ± 0.40c | 4.75 ± 0.36c |
| Pg-3-(feruloyl)diglu-5-glu | 6.40 ± 0.39a | 7.19 ± 0.22b | 5.65 ± 0.23c | 6.79 ± 0.21ab |
| Pg-3-(p-coumaroyl)diglu-5-(malonyl)glu | 71.77 ± 0.57ab | 70.25 ± 0.77ab | 69.68 ± 0.98b | 64.88 ± 1.28c |
| Pg-3-(feruloyl)diglu-5-(malonyl)glu | 19.56 ± 1.12a | 21.02 ± 0.54a | 20.05 ± 0.77a | 23.56 ± 0.57b |

2.4. Change in Total Phenolics and Phenolic Acids in Brines during Fermentation
| Fermentation duration | ||||
|---|---|---|---|---|
| Day 2 | Day 5 | Day 9 | Day 14 | |
| Total phenolics 1 (µg/mL) | 208.33 ± 9.81a | 208.98 ± 13.61a | 220.57 ± 11.59a | 206.75 ± 5.08a |
| Free phenolic acids 2 (µg/mL) | ||||
| 4-Hydroxybenzoic | 19.41 ± 2.09a | 18.51 ± 1.00a | 15.81 ± 2.63a | 11.31 ± 0.57b |
| Gentisic | 10.93 ± 1.83ab | 14.27 ± 2.57a | 11.96 ± 1.06a | 8.49 ± 0.60b |
| Vanillic | 11.7 ± 0.74a | 12.34 ± 0.86a | 9.77 ± 1.51a | 4.76 ± 0.34b |
| Syringic | 8.61 ± 1.40a | 8.1 ± 2.29a | 2.31 ± 0.74b | 2.96 ± 1.11b |
| p-Coumaric | 1.54 ± 0.57a | 1.16 ± 0.37a | 2.06 ± 0.80a | 0.51 ± 0.20b |
| Ferulic | 3.86 ± 0.86a | 4.89 ± 0.60ab | 6.56 ± 1.26b | 3.99 ± 0.34a |
| Sinapic | 21.73 ± 1.34a | 29.96 ± 2.03b | 32.79 ± 2.77b | 31.11 ± 3.14b |
| Salicylic | 4.50 ± 1.29a | 2.96 ± 1.11a | 3.09 ± 1.17a | 7.07 ± 1.09b |
| Total | 82.28 ± 10.12ab | 92.19 ± 10.83a | 84.35 ± 11.94ab | 70.2 ± 7.39b |
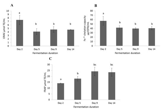
2.5. Changes in Antioxidant Activity of Brines during Fermentation

3. Experimental
3.1. Materials and Chemicals
3.2. Fermentation
3.3. Lactic Acid
3.4. pH and Colour Properties
3.5. Total Phenolics
3.6. Total Monomeric Anthocyanins
3.7. Analytical Chromatography of Anthocyanins and Kaempferol-3,7-Diglucoside in Radish Brines
3.8. Phenolic Acids
3.9. Antioxidant Activity Assays
3.9.1. Oxygen Radical Absorbance Capacity (ORAC) Assay
3.9.2. The Ferric Reducing Ability of Plasma (FRAP) Assay
3.9.3. Fe2+ Chelating Ability
3.10. Statistical Analysis
4. Conclusions
Acknowledgments
Author Contributions
Conflicts of Interest
References
- Giusti, M.M.; Wrolstad, R.E. Acylated anthocyanins from edible sources and their applications in food systems. Biochem. Eng. J. 2003, 14, 217–225. [Google Scholar]
- Giusti, M.; Wrolstad, R. Radish anthocyanin extract as a natural red colorant for maraschino cherries. J. Food Sci. 1996, 61, 688–694. [Google Scholar] [CrossRef]
- Matsufuji, H.; Kido, H.; Misawa, H.; Yaguchi, J.; Otsuki, T.; Chino, M.; Takeda, M.; Yamagata, K. Stability to light, heat, and hydrogen peroxide at different ph values and dpph radical scavenging activity of acylated anthocyanins from red radish extract. J. Agric. Food Chem. 2007, 55, 3692–3701. [Google Scholar] [CrossRef]
- Rahman, M.M.; Ichiyanagi, T.; Komiyama, T.; Hatano, Y.; Konishi, T. Superoxide radical- and peroxynitrite-scavenging activity of anthocyanins; structure-activity relationship and their synergism. Free Radic. Res. 2006, 40, 993–1002. [Google Scholar] [CrossRef]
- Giusti, M.M.; Rodriguez-Saona, L.E.; Baggett, J.R.; Reed, G.L.; Durst, R.W.; Wrolstad, R.E. Anthocyanin pigment composition of red radish cultivars as potential food colorants. J. Food Sci. 1998, 63, 219–224. [Google Scholar]
- Jing, P.; Zhao, S.J.; Ruan, S.Y.; Xie, Z.H.; Dong, Y.; Yu, L.L. Anthocyanin and glucosinolate occurrences in the roots of chinese red radish (Raphanus sativus L.), and their stability to heat and pH. Food Chem. 2012, 133, 1569–1576. [Google Scholar] [CrossRef]
- Giusti, M.M.; Wrolstad, R.E. Characterization of red radish anthocyanins. J. Food Sci. 1996, 61, 322–326. [Google Scholar] [CrossRef]
- Giusti, M.M.; Rodríguez-Saona, L.E.; Griffin, D.; Wrolstad, R.E. Electrospray and tandem mass spectroscopy as tools for anthocyanin characterization. J. Agric. Food Chem. 1999, 47, 4657–4664. [Google Scholar] [CrossRef]
- Wu, X.; Prior, R.L. Identification and characterization of anthocyanins by high-performance liquid chromatography electrospray ionization tandem mass spectrometry in common foods in the united states: Vegetables, nuts, and grains. J. Agric. Food Chem. 2005, 53, 3101–3113. [Google Scholar] [CrossRef]
- Otsuki, T.; Matsufuji, H.; Takeda, M.; Toyoda, M.; Goda, Y. Acylated anthocyanins from red radish (Raphanus sativus L.). Phytochemistry 2002, 60, 79–87. [Google Scholar] [CrossRef]
- Tatsuzawa, F.; Toki, K.; Saito, N.; Shinoda, K.; Shigihara, A.; Honda, T. Anthocyanin occurrence in the root peels, petioles and flowers of red radish (Raphanus sativus L.). Dyes Pigm. 2008, 79, 83–88. [Google Scholar] [CrossRef]
- Tamura, S.; Tsuji, K.; Piao, Y.Z.; Ohnishi-Kameyama, M.; Murakami, N. Six new acylated anthocyanins from red radish (Raphanus sativus). Chem. Pharm. Bull. 2010, 58, 1259–1262. [Google Scholar] [CrossRef]
- Stratil, P.; Klejdus, B.; Kubáň, V. Determination of total content of phenolic compounds and their antioxidant activity in vegetablesevaluation of spectrophotometric methods. J. Agric. Food Chem. 2006, 54, 607–616. [Google Scholar] [CrossRef]
- Mattila, P.; Hellström, J. Phenolic acids in potatoes, vegetables, and some of their products. J. Food Compost. Anal. 2007, 20, 152–160. [Google Scholar] [CrossRef]
- Lugast, A.; Hóvári, J. Flavonoid aglycones in foods of plant origin I. Vegetables. Acta Alimentaria 2000, 29, 345–352. [Google Scholar] [CrossRef]
- Moore, J.; Cheng, Z.; Hao, J.; Guo, G.; Liu, J.-G.; Lin, C.; Yu, L.L. Effects of solid-state yeast treatment on the antioxidant properties and protein and fiber compositions of common hard wheat bran. J. Agric. Food Chem. 2007, 55, 10173–10182. [Google Scholar]
- Lee, I.H.; Hung, Y.H.; Chou, C.C. Total phenolic and anthocyanin contents, as well as antioxidant activity, of black bean koji fermented by aspergillus awamori under different culture conditions. Food Chem. 2007, 104, 936–942. [Google Scholar] [CrossRef]
- Juan, M.-Y.; Chou, C.-C. Enhancement of antioxidant activity, total phenolic and flavonoid content of black soybeans by solid state fermentation with bacillus subtilis bcrc 14715. Food Microbiol. 2010, 27, 586–591. [Google Scholar] [CrossRef]
- Singh, S.M.; Sharma, A.; Panda, A.K. High throughput purification of recombinant human growth hormone using radial flow chromatography. Protein Expr. Purif. 2009, 68, 54–59. [Google Scholar] [CrossRef]
- Ray, R.C.; Sharma, P.; Panda, S.H. Lactic acid production from cassava fibrous residue using lactobacillus plantarum mtcc 1407. J. Environ. Biol. 2009, 30, 847–852. [Google Scholar]
- Fang, Z.; Hu, Y.; Liu, D.; Chen, J.; Ye, X. Changes of phenolic acids and antioxidant activities during potherb mustard (Brassica juncea, Coss.) pickling. Food Chem. 2008, 108, 811–817. [Google Scholar] [CrossRef]
- Ghasemzadeh, A.; Azarifar, M.; Soroodi, O.; Jaafar, H.Z.E. Flavonoid compounds and their antioxidant activity in extract of some tropical plants. J. Med. Plant Res. 2012, 6, 2639–2643. [Google Scholar]
- Stohr, H.; Herrmann, K. On the phenolic acids of vegetables. III. Hydroxycinnamic acids and hydroxybenzoic acids of root vegetables. (in German). Z. Lebensmittel-Untersuchung Forsch. 1975, 159, 218–224. [Google Scholar]
- Panda, S.H.; Naskar, S.K.; Sivakumar, P.S.; Ray, R.C. Lactic acid fermentation of anthocyanin-rich sweet potato (Ipomoea batatas L.) into lacto-juice. Int. J. Food Sci. Technol. 2009, 44, 288–296. [Google Scholar] [CrossRef]
- Waterhouse, A.L. Determination of total phenolics. In Current Protocols in Food Analytical Chemistry, 1st ed.; Wrolstad, R.E., Acree, T.E., An, H., Decker, E.A., Penner, M.H., Reid, D.S., Schwartz, S.J., Shoemaker, C.F., Sporns, P., Eds.; Wiley: New York, NY, USA, 2001; pp. I1.1.1–I1.1.8. [Google Scholar]
- Giusti, M.M.; Wrolstad, R.E. Characterization and measurement of anthocyanins by Uv-visible spectroscopy. In Current Protocals in Food Analytical Chemistry, 1st ed.; Wrolstad, R.E., Ed.; John Wiley & Sons, Inc.: New York, NY, USA, 2001; pp. F1.2.1–F1.2.13. [Google Scholar]
- Jing, P.; Bomser, J.A.; Schwartz, S.J.; He, J.; Magnuson, B.A.; Giusti, M.M. Structure-function relationships of anthocyanins from various anthocyanin-rich extracts on the inhibition of colon cancer cell growth. J. Agric. Food Chem. 2008, 56, 9391–9398. [Google Scholar]
- Jing, P.; Ye, T.; Shi, H.M.; Sheng, Y.; Slavin, M.; Gao, B.Y.; Liu, L.W.; Yu, L.L. Antioxidant properties and phytochemical composition of china-grown pomegranate seeds. Food Chem. 2012, 132, 1457–1464. [Google Scholar] [CrossRef]
- Cao, G.; Alessio, H.M.; Cutler, R.G. Oxygen-radical absorbance capacity assay for antioxidants. Free Radic. Biol. Med. 1993, 14, 303–311. [Google Scholar] [CrossRef]
- Decker, E.A.; Welch, B. Role of ferritin as a lipid oxidation catalyst in muscle food. J. Agric. Food Chem. 1990, 38, 674–677. [Google Scholar] [CrossRef]
- Sample Availability: Not available.
© 2014 by the authors. Licensee MDPI, Basel, Switzerland. This article is an open access article distributed under the terms and conditions of the Creative Commons Attribution license ( http://creativecommons.org/licenses/by/4.0/).
Share and Cite
Jing, P.; Song, L.-H.; Shen, S.-Q.; Zhao, S.-J.; Pang, J.; Qian, B.-J. Characterization of Phytochemicals and Antioxidant Activities of Red Radish Brines during Lactic Acid Fermentation. Molecules 2014, 19, 9675-9688. https://doi.org/10.3390/molecules19079675
Jing P, Song L-H, Shen S-Q, Zhao S-J, Pang J, Qian B-J. Characterization of Phytochemicals and Antioxidant Activities of Red Radish Brines during Lactic Acid Fermentation. Molecules. 2014; 19(7):9675-9688. https://doi.org/10.3390/molecules19079675
Chicago/Turabian StyleJing, Pu, Li-Hua Song, Shan-Qi Shen, Shu-Juan Zhao, Jie Pang, and Bing-Jun Qian. 2014. "Characterization of Phytochemicals and Antioxidant Activities of Red Radish Brines during Lactic Acid Fermentation" Molecules 19, no. 7: 9675-9688. https://doi.org/10.3390/molecules19079675
APA StyleJing, P., Song, L.-H., Shen, S.-Q., Zhao, S.-J., Pang, J., & Qian, B.-J. (2014). Characterization of Phytochemicals and Antioxidant Activities of Red Radish Brines during Lactic Acid Fermentation. Molecules, 19(7), 9675-9688. https://doi.org/10.3390/molecules19079675
