The Effect of Some 4,2 and 5,2 Bisthiazole Derivatives on Nitro-Oxidative Stress and Phagocytosis in Acute Experimental Inflammation
Abstract
:1. Introduction
2. Results and Discussion
2.1. Effects on the Acute Phase Bone Marrow Response
| Group | Leukocyte (no./mm3) | Neutrophils (%) | Monocytes (%) | Lymphocytes (%) |
|---|---|---|---|---|
| Control | 4768.57 ± 389.12 | 54.43 ± 3.69 | 1.86 ± 0.90 | 23.43 ± 5.16 |
| Inflammation | 8840.00 ± 1227.44 | 72.00 ± 3.51 | 1.57 ± 0.79 | 23.14 ± 3.67 |
| Meloxicam | 4794.29 ± 669.05 | 62.14 ± 4.91 | 1.86 ± 1.07 | 21.14 ± 2.85 |
| 1 | 8057.50 ± 503.08 | 60.57 ± 2.23 | 1.71 ± 0.49 | 22.71 ± 3.50 |
| 2 | 8810.00 ± 653.57 | 68.57 ± 4.86 | 1.43 ± 0.79 | 19.14 ± 1.95 |
| 3 | 10,260.00 ± 522.11 | 72.43 ± 3.21 | 1.86 ± 0.90 | 18.86 ± 3.02 |
| 4 | 10,382.00 ± 649.36 | 76.00 ± 2.65 | 1.71 ± 0.95 | 20.43 ± 4.69 |
| 5 | 10,432.86 ± 656.93 | 78.17 ± 5.31 | 1.57 ± 0.53 | 22.86 ± 3.24 |
| 6 | 4684.00 ± 643.96 | 56.14 ± 4.74 | 1.43 ± 0.79 | 25.71 ± 4.19 |
| 7 | 6652.00 ± 945.79 | 68.67 ± 3.93 | 1.71 ± 0.76 | 25.43 ± 2.23 |
| 8 | 6725.00 ± 658.91 | 62.40 ± 3.85 | 1.57 ± 0.53 | 25.14 ± 2.73 |
| 9 | 6850.00 ± 771.36 | 71.71 ± 4.39 | 1.29 ± 0.49 | 22.14 ± 3.39 |
| 10 | 6367.14 ± 766.23 | 66.43 ± 6.40 | 1.71 ± 0.76 | 20.71 ± 2.36 |
| 11 | 3796.67 ± 738.12 | 52.00 ± 3.27 | 1.57 ± 0.79 | 23.43 ± 3.05 |
| 12 | 10,425.00 ± 693.42 | 67.57 ± 2.30 | 1.57 ± 0.79 | 22.71 ± 2.98 |
| 13 | 9677.50 ± 521.94 | 73.33 ± 7.31 | 1.86 ± 0.69 | 18.57 ± 1.51 |
| 14 | 9881.67 ± 794.06 | 72.80 ± 3.56 | 1.29 ± 0.49 | 24.29 ± 4.03 |
| 15 | 9995.00 ± 552.66 | 60.29 ± 3.9 | 1.57 ± 0.53 | 23.14 ± 4.88 |
| 16 | 3275.00 ± 861.68 | 52.00 ± 4.2 | 1.43 ± 0.79 | 22.86 ± 1.86 |
| 17 | 3922.86 ± 412.54 | 51.29 ± 4.5 | 1.71 ± 0.49 | 21.29 ± 5.25 |
| 18 | 3440.00 ± 716.87 | 49.86 ± 2.97 | 1.43 ± 0.53 | 18.00 ± 2.00 |
| 19 | 3037.14 ± 454.41 | 48.71 ± 2.98 | 1.57 ± 0.53 | 19.14 ± 2.19 |
2.2. Effects on the in Vitro Phagocytosis Test


2.3. Effects on the Serum Nitrites and Nitrates Levels

2.4. Serum Oxidative Stress Evaluation
2.4.1. Effects on the Serum Total Oxidant Status

2.4.2. Effects on the Serum Total Antioxidant Response

2.4.3. Effects on the Serum Oxidative Stress Index

2.5. Direct Antioxidant Effect-DPPH Radical Scavenging Assay
| Co. | 1 | 2 | 3 | 4 | 5 | 6 | 7 | 8 | 9 | 10 | 11 |
|---|---|---|---|---|---|---|---|---|---|---|---|
| IC50% | 227.7 | 716.5 | 826.3 | 905. | 192.01 | 1059.32 | >1000 | 256.1 | 276.48 | 284.19 | 855.19 |
| Co. | 12 | 13 | 14 | 15 | 16 | 17 | 18 | 19 | Ascorbic Acid | BHT | |
| IC50% | 120.3 | 275.3 | 865.7 | 370.6 | 380.1 | 275.7 | 310.1 | 305.1 | 7.4 | 16.4 |
2.6. Overall Anti-Inflammatory Activity
3. Experimental
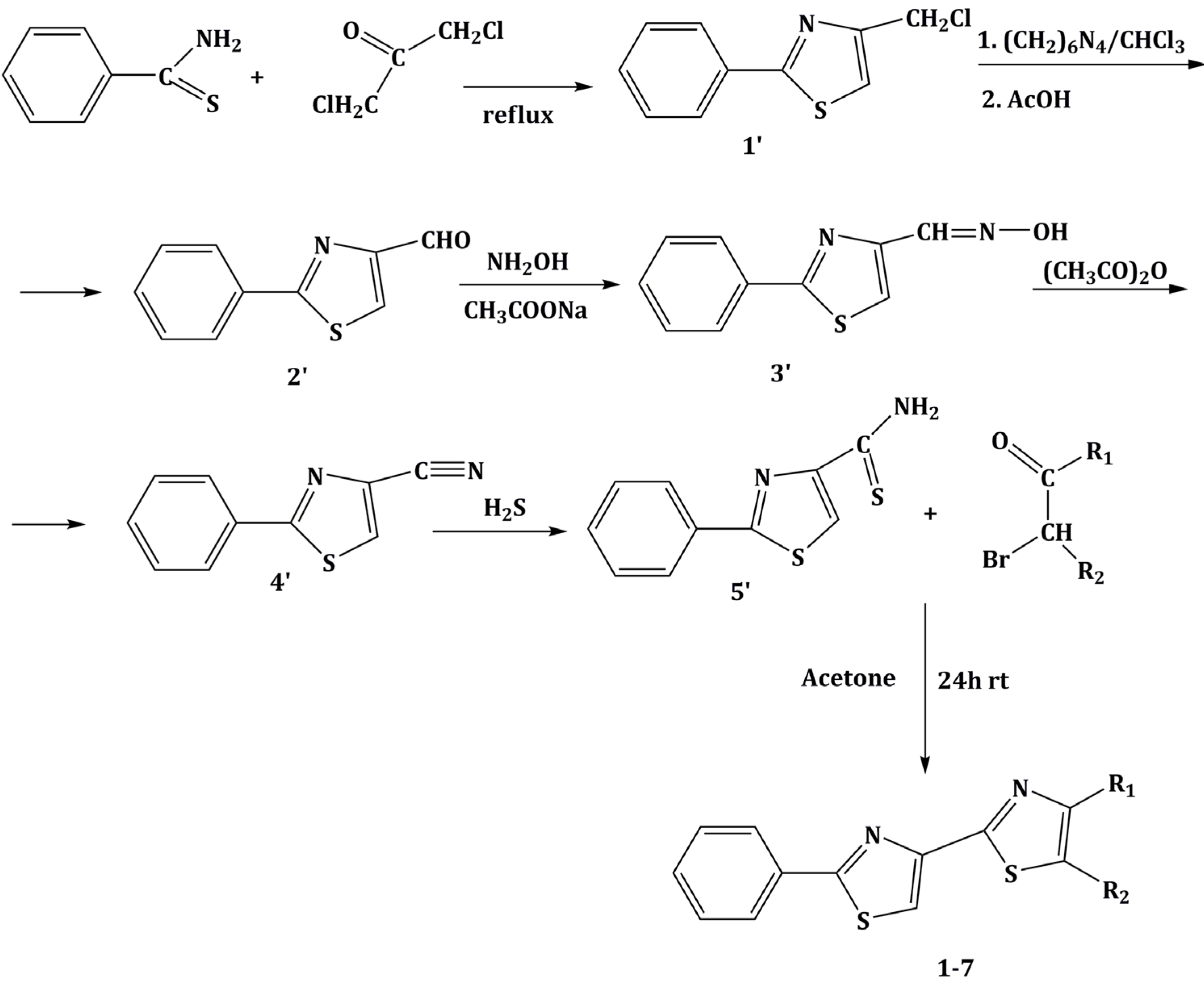
3.1. Chemistry


| 4,2-Bisthiazoles | 5,2-Bisthiazoles | R1 | R2 |
|---|---|---|---|
![]() | ![]() | ||
| 1 | 8 | ![]() | -CH3 |
| - | 9 | ![]() | H |
| 2 | 10 | ![]() | H |
| 3 | 11 | ![]() | H |
| 4 | 12 | ![]() | H |
| 5 | 13 | ![]() | H |
| 6 | 14 | ![]() | H |
| 7 | 15 | ![]() | H |
| - | 16 | -CH2-Cl | H |
| - | 17 | -CH3 | -CO-CH3 |
| - | 18 | -CH3 | -COOC2H5 |
| - | 19 | -CH2-COOC2H5 | H |
3.2. Biological Evaluation
3.2.1. Animals
3.2.2. The Acute Phase Bone Marrow Response
3.2.3. In Vitro Phagocytosis Test
3.2.4. Serum Nitric Oxide Synthesis Evaluation
3.2.5. Oxidative Stress Evaluation
3.2.5.1. Serum Total Oxidant Status Determination
3.2.5.2. Serum Total Antioxidant Response Determination
3.2.5.3. Calculation of Oxidative Stress Index
3.2.6. Statistical Analysis
3.3. DPPH Radical Scavenging Assay
4. Conclusions
Acknowledgments
Author Contributions
Conflicts of Interest
References
- Ansari, R.; Castejon, A.M.; Cubbedu, L.; Fuller, C.; Gauthier, T.; Gazze, D.; Graham, K.K.; Moorman Li, R.; McLaughlin-Middlekauffe, J.; Motycha, C.; et al. Anti-inflammatory Drugs and Autacoids. In Lippincott’s Ilustrated Reviews: Pharmacology, 5th ed.; Harvey, R., Ed.; Lippincott, Williams and Wilkins: Baltimore, PA, USA, 2012; pp. 526–537. [Google Scholar]
- Bhala, N.; Emberson, J.; Merhi, A.; Abramson, S.; Arber, N.; Baron, J.A.; Bombardier, C.; Cannon, C.; Farkouh, M.E.; FitzGerald, G.A.; et al. Vascular and upper gastrointestinal effects of non-steroidal anti-inflammatory drugs: Meta-analyses of individual participant data from randomised trials. Lancet 2013, 382, 769–779. [Google Scholar]
- Bäck, M.; Yin, L.; Ingelsson, E. Cyclooxygenase-2 inhibitors and cardiovascular risk in a nation-wide cohort study after the withdrawal of rofecoxib. Eur. Heart J. 2012, 33, 1928–1933. [Google Scholar]
- García Rodríguez, L.A.; González-Pérez, A.; Bueno, H.; Hwa, J. NSAID use selectively increases the risk of non-fatal myocardial infarction: A systematic review of randomised trials and observational studies. PLoS One 2011, 6, e16780. [Google Scholar]
- Friel, C.J.; Lu, M.C. Analgesisc. In Wilson and Gisvold’s Textbook of Organic Medicinal and Pharmaceutical Chemistry, 12th ed.; Beale, B., Ed.; Lippincott, Williams and Wilkins: Baltimore, PA, USA, 2011; pp. 792–806. [Google Scholar]
- Kim, S.F. The role of nitric oxide in prostaglandin biology; update. Nitric Oxide 2011, 25, 255–264. [Google Scholar]
- Lim, K.M.; Lee, J.Y.; Lee, S.M.; Bae, O.N.; Noh, J.Y.; Kim, E.J.; Chung, S.M,; Chung, J.H. Potent anti-inflammatory effects of two quinolinedione compounds, OQ1 and OQ21, mediated by dual inhibition of inducible NO synthase and cyclooxygenase-2. Br. J. Pharmacol. 2009, 156, 328–337. [Google Scholar]
- Oniga, S.; Parvu, A.E.; Tiperciuc, B.G.; Palage, M.; Oniga, O. The study of the anti-inflammatory activity of some thiazolyl-Δ21,3,4 oxadiazolines and 5-carboxiethyl-2-hydrazon-4-methyl-thiazole derivatives. Farmacia 2011, 59, 44–50. [Google Scholar]
- Moldovan, M.; Oniga, O.; Pârvu, A.E.; Tiperciuc, B.G.; Verite, P.; Pîrnău, A.; Crişan, O.; Bojiţă, M.; Pop, R. Synthesis and anti-inflammatory evaluation of some new acyl-hydrazone bearing 2-aryl-thiazole. Eur. J. Med. Chem. 2011, 46, 526–534. [Google Scholar]
- Araniciu, C.; Parvu, A.E.; Tiperciuc, B.G.; Palage, M.; Oniga, S.; Verite, P.; Oniga, O. Synthesis and evaluation of the anti-inflammatory activity of some 2-(trimethoxyphenyl)-4-R1–5-R2-thiazoles. Dig. J. Nanomater. Biostruct. 2013, 8, 699–709. [Google Scholar]
- Eren, G.; Unlü, S.; Nuñez, M.T.; Labeaga, L.; Ledo, F.; Entrena, A.; Banoğlu, E.; Costantino, G.; Sahin, M.F. Synthesis, biological evaluation, and docking studies of novel heterocyclic diaryl compounds as selective COX-2 inhibitors. Bioorg. Med. Chem. 2010, 18, 6367–6376. [Google Scholar]
- El-Sayed, M.A.; Abdel-Aziz, N.I.; Abdel-Aziz, A.A.; El-Azab, A.S.; Asiri, Y.A.; Eltahir, K.E. Design, synthesis, and biological evaluation of substituted hydrazone and pyrazole derivatives as selective COX-2 inhibitors: Molecular docking study. Bioorg. Med. Chem. 2011, 19, 3416–3424. [Google Scholar]
- Kaur, J.; Bhardwaj, A.; Sharma, S.K.; Wuest, F. 1,4-Diaryl-substituted triazoles as cyclooxygenase-2 inhibitors: Synthesis, biological evaluation and molecular modeling studies. Bioorg. Med. Chem. 2013, 21, 4288–4295. [Google Scholar]
- Santin, J.R.; Uchôa, F.D.; Lima Mdo, C.; Rabello, M.M.; Machado, I.D.; Hernandes, M.Z.; Amato, A.A.; Milton, F.A.; Webb, P.; Neves Fde, A.; et al. Chemical synthesis, docking studies and biological effects of a pan peroxisome proliferator-activated receptor agonist and cyclooxygenase inhibitor. Eur. J. Pharm. Sci. 2013, 48, 689–697. [Google Scholar]
- Araniciu, C.; Palage, M.; Oniga, S.; Pîrnău, A.; Verité, P.; Oniga, O. Synthesis and characterization of some novel 5,2 and 4,2 bisthiazoles derivatives. Rev. Chim. Buchar. 2013, 10, 1067–1071. [Google Scholar]
- Ueda, S.; Terauchi, H.; Kawasaki, M.; Yano, A.; Ido, M. Structure-activity relationships of 2-aminothiazole derivatives as inducible nitric oxide synthase inhibitor. Chem. Pharm. Bull. Tokyo 2004, 52, 634–637. [Google Scholar]
- Tiperciuc, B.G.; Parvu, A.E.; Tamaian, R.; Nastasa, C.; Ionut, I.; Oniga, O. New anti-inflammatory thiazolyl-carbonyl-thiosemicarbazides and thiazolyl-azoles with antioxidant properties as potential iNOS Inhibitors. Arch. Pharm. Res. 2013, 36, 702–714. [Google Scholar]
- Korbecki, J.; Baranowska-Bosiacka, I.; Gutowska, I.; Chlubek, D. The effect of reactive oxygen species on the synthesis of prostanoids from arachidonic acid. J. Physiol. Pharmacol. 2013, 64, 409–421. [Google Scholar]
- Araniciu, C.; Marutescu, L.; Oniga, S.; Oniga, O.; Chifiriuc, M.C.; Palage, M. Evaluation of the antimicrobial and anti-biofilm activity of some 4,2 and 5,2 bisthiazoles derivatives. Dig. J. Nanomater. Biostruct. 2014, 9, 123–131. [Google Scholar]
- Gougerot-Pocidalo, M.A.; Benna, J.; Elbim, C.; Chollet-Martin, S.; Dang, M.C. Regulation of human neutrophil oxidative burst by pro- and anti-inflammatory cytokines. J. Soc. Biol. 2002, 196, 37–46. [Google Scholar]
- Hrabak, A.; Bajor, T.; Csuka, I. The effect of various inflammatory agents on the alternative metabolic pathways of arginine in mouse and rat macrophages. Inflamm. Res. 2006, 55, 23–31. [Google Scholar]
- Hrabak, A.; Bajor, T.; Csuka, I. The effect of various inflammatory agents on the phagocytosis and cytokine profile of mouse and rat macrophages. Inflamm. Res. 2008, 57, 75–83. [Google Scholar]
- Parvu, A.E.; Alb, S.F.; Craciun, A.; Taulescu, M.A. Efficacy of subantimicrobial-dose doxycycline against nitrosative stress in chronic periodontitis. Acta Pharmacol. Sin. 2013, 34, 247–254. [Google Scholar]
- Ghasemi, A.; Hedayati, M.; Biabani, H. Protein precipitation methods evaluated for determination of serum nitric oxide end products by the Griess assay. J. Med. Sci. Res. 2007, 2, 29–32. [Google Scholar]
- Miranda, K.M.; Espey, M.G.; Wink, D.A. A rapid, simple spectrophotometric method for simultaneous detection of nitrate and nitrite. Nitric Oxide 2001, 5, 62–71. [Google Scholar]
- Erel, O. A new automated colorimetric method for measuring total oxidant status. Clin. Biochem. 2005, 38, 1103–1111. [Google Scholar]
- Erel, O. A novel automated method to measure total antioxidant response against potent free radical reactions. Clin. Biochem. 2004, 37, 112–119. [Google Scholar]
- Harma, M.; Harma, M.; Erel, O. Increased oxidative stress in patients with hydatidiform mole. Swiss Med. Wkly. 2003, 133, 563–566. [Google Scholar]
- Espin, J.C.; Soler-Rivas, C.; Wichers, H.J. Characterization of the total free radical scavenger capacity of vegetable oils and oil fractions using 2,2-diphenyl-1-picrylhydrazyl radical. J. Agric. Food Chem. 2000, 48, 648–656. [Google Scholar]
- Benedec, D.; Vlase, L.; Oniga, I.; Mot, A.C.; Damian, G.; Hanganu, D.; Duma, M.; Silaghi-Dumitrescu, R. Polyphenolic composition, antioxidant and antibacterial activities for two romanian subspecies of Achillea distans Waldst. et Kit. ex willd. Molecules 2013, 18, 8725–8739. [Google Scholar]
- Chen, Z.; Bertin, R.; Froldi, G. EC50 estimation of antioxidant activity in DPPH· assay using several statistical programs. Food Chem. 2013, 138, 414–420. [Google Scholar]
- Sample Availability: Samples of the compounds are not available from the authors.
© 2014 by the authors. Licensee MDPI, Basel, Switzerland. This article is an open access article distributed under the terms and conditions of the Creative Commons Attribution license ( http://creativecommons.org/licenses/by/4.0/).
Share and Cite
Araniciu, C.; Pârvu, A.E.; Palage, M.D.; Oniga, S.D.; Benedec, D.; Oniga, I.; Oniga, O. The Effect of Some 4,2 and 5,2 Bisthiazole Derivatives on Nitro-Oxidative Stress and Phagocytosis in Acute Experimental Inflammation. Molecules 2014, 19, 9240-9256. https://doi.org/10.3390/molecules19079240
Araniciu C, Pârvu AE, Palage MD, Oniga SD, Benedec D, Oniga I, Oniga O. The Effect of Some 4,2 and 5,2 Bisthiazole Derivatives on Nitro-Oxidative Stress and Phagocytosis in Acute Experimental Inflammation. Molecules. 2014; 19(7):9240-9256. https://doi.org/10.3390/molecules19079240
Chicago/Turabian StyleAraniciu, Cătălin, Alina Elena Pârvu, Mariana Doina Palage, Smaranda Dafina Oniga, Daniela Benedec, Ilioara Oniga, and Ovidiu Oniga. 2014. "The Effect of Some 4,2 and 5,2 Bisthiazole Derivatives on Nitro-Oxidative Stress and Phagocytosis in Acute Experimental Inflammation" Molecules 19, no. 7: 9240-9256. https://doi.org/10.3390/molecules19079240
APA StyleAraniciu, C., Pârvu, A. E., Palage, M. D., Oniga, S. D., Benedec, D., Oniga, I., & Oniga, O. (2014). The Effect of Some 4,2 and 5,2 Bisthiazole Derivatives on Nitro-Oxidative Stress and Phagocytosis in Acute Experimental Inflammation. Molecules, 19(7), 9240-9256. https://doi.org/10.3390/molecules19079240











