Next Article in Journal
A New C-3/C-3”-Biflavanone from the Roots of Stellera chamaejasme L
Next Article in Special Issue
Perfluoro Allyl Fluorosulfate (FAFS): A Versatile Building Block for New Fluoroallylic Compounds
Previous Article in Journal
Alkylphenol Activity against Candida spp. and Microsporum canis: A Focus on the Antifungal Activity of Thymol, Eugenol and O-Methyl Derivatives
Previous Article in Special Issue
Dehydration of (Perfluoroalkyl)tetramethylcyclopentenols
 
 
Font Type:
Arial Georgia Verdana
Font Size:
Aa Aa Aa
Line Spacing:
Column Width:
Background:
Review

Recent Advances in the Application of SelectfluorTMF-TEDA-BF4 as a Versatile Mediator or Catalyst in Organic Synthesis

1
Laboratory for Organic and Bioorganic Chemistry, “Jožef Stefan” Institute, Jamova 39, 1000 Ljubljana, Slovenia
2
Centre of Excellence CIPKeBiP, Jamova 39, 1000 Ljubljana, Slovenia
Molecules 2011, 16(8), 6432-6464; https://doi.org/10.3390/molecules16086432
Submission received: 14 June 2011 / Revised: 5 July 2011 / Accepted: 19 July 2011 / Published: 29 July 2011
(This article belongs to the Special Issue Fluorine Chemistry 2016)

Abstract

:
SelectfluorTM F-TEDA-BF4 (1-chloromethyl-4-fluoro-1,4-diazoniabicyclo [2.2.2]octane bis(tetrafluoroborate) is not only one of the most efficient and popular reagents for electrophilic fluorination, but as a strong oxidant is also a convenient mediator or catalyst of several “fluorine-free” functionalizations of organic compounds. Its applications as a mediator in transformations of oxidizable functional groups or gold-catalyzed C-C and C-heteroatom oxidative coupling reactions, a catalyst in formation of various heterocyclic rings, a reagent or catalyst of various functionalizations of electron-rich organic compounds (iodination, bromination, chlorination, nitration, thiocyanation, sulfenylation, alkylation, alkoxylation), a catalyst of one-pot-multi-component coupling reactions, a catalyst of regioselective ring opening of epoxides, a deprotection reagent for various protecting groups, and a mediator for stereoselective rearrangement processes of bicyclic compounds are reviewed and discussed.

Graphical Abstract

1. Introduction

Selective fluorofunctionalisation of organic compounds under mild reaction conditions following an electrophilic reaction process is one of the most important strategic approaches in the organic synthesis of fluoro-substituted organic derivatives, chemicals of wide interest to the basic and applied research community [1,2,3]. The group of agents enabling this type of functionalisation are known as “electrophilic fluorinating reagents”, and besides molecular fluorine, include three main groups of reagents; xenon fluorides, fluoroxy compounds and N-F compounds. Organic compounds bearing a reactive N-F bond were introduced as mild reagents for selective introduction of a fluorine atom into organic compounds less than 25 years ago by the efforts of Umemoto`s group, leading to the first isolatable N-fluoropyridinium salts, their application for fluorofunctionalization of organic compounds, and soon after, also to their commercial production [4,5]. These easily-handled “bench-top” chemicals, usually with optimal stability/reactivity characteristics, have practically revolutionized the common perception of synthesis of site-selective fluoro-substituted organic compounds, and brought this important task in organic synthesis to the status of an ordinary experimental procedure suitable for any organic chemistry laboratory [3,6,7,8]. The main N-fluoro reagents families are neutral N-fluoro amines or amides, N-fluoropyridinium salts and quaternary N-fluoro salts, and the most often used members of the last group are the N-fluoro derivatives of 1,4-diazoniabicyclo[2.2.2]octane (triethylendiamine; TEDA), among which 1-chloromethyl-4-fluoro-1,4-diazoniabyciclo[2.2.2]octane bis(tetrafluoroborate) (1, Figure 1) known under the trade name of SelectfluorTM F-TEDA-BF4 is the most representative and widely used in this series.
Figure 1. 1-Chloromethyl-4-fluoro-1,4-diazoniabyciclo[2.2.2]octane bis(tetrafluoroborate) Selectfluor F-TEDA-BF4 .
Figure 1. 1-Chloromethyl-4-fluoro-1,4-diazoniabyciclo[2.2.2]octane bis(tetrafluoroborate) Selectfluor F-TEDA-BF4 .
Molecules 16 06432 g001
Since its discovery [9] and academic introduction [10] twenty years ago, SelectfluorTM F-TEDA-BF4 quickly became one of the most popular reagents for electrophilic fluorination of organic compounds [11,12,13,14], not only as an ordinary reagent at the laboratory level, but also as multi-ton scale material produced for several industrial applications [15]. Its thermal stability (up to 195 °C), moderate to high solubility and stability in polar solvents (water, acetonitrile, DMF, methanol, nitromethane, THF) [16], and low toxicity [13,15] are characteristics giving F-TEDA-BF4 its utility, while its half-wave potential against SCE as high as 0.33 V [17] makes it one of the most powerful oxidants in the N-F compounds series [18] and therefore a convenient moderator of many “other-than-fluorine” functionalizations of organic compounds. The literature data dealing with SelectfluorTM F-TEDA-BF4 as a fluorinating reagent have been comprehensively surveyed during last 15 years [1,6,7,8,11,12,13,14,8,11], while its role in other transformations has been reviewed separately [19]; newer literature and recent advances on this topics are thesubject of the present account.

2. Functionalizations of Organic Compounds with Selectfluor F-TEDA-BF4 Other than Fluorine

2.1. Transformations of Oxidizable Functional Groups

In the presence of chemicals having oxidizing power the hydroxyl functional group could often be transformed to various kinds of carbonyl functionalitiy. Primary benzylic alcohols were found to be relatively stable towards 1 since their transformations with 1 in acetonitrile media to moderate amounts of corresponding aldehydes, and further to benzoic acid derivatives, needs long reaction times (15-435 hours) and reflux temperature. It was also established that aromatic aldehydes could be transformed with 1 to benzamides or benzoates after reaction in the presence of amines or alcohols, but again the long reaction time (40-70 hours) required for these functionalisations makes them less attractive [20]. On the other hand, catalytic amounts of molecular iodine enhance the reaction and its efficiency considerably. Benzyl alcohol (2a) and 4-methoxybenzyl alcohol (2b) were thus readily transformed to their aldehydes and further to benzoic acid derivatives (3 and 4) after 2 hours treatment with 1 in MeCN solution in the presence of 5 mol% of I2 under an air atmosphere (Scheme 1), while in the case of the treatment of 2b in aqueous media and in the presence of 55 mol% of iodine, the benzylic hydroxyl group remained unattached and iodo-functionalization of the aromatic ring to 5 took place [21]. Alkyl alcohols could also be readily transformed by 1 to their carbonyl derivatives [22].
Scheme 1. Reactions of benzylic alcohols with Selectfluor F-TEDA-BF2 1.
Scheme 1. Reactions of benzylic alcohols with Selectfluor F-TEDA-BF2 1.
Molecules 16 06432 g002
Reactions of phenols with 1 were intensively studied. Phenols substituted by an additional hydroxy substituent at the ortho or para position were readily oxidized to the corresponding quinones when treated by 1 in MeCN [22], while the course of reaction of 2,4,6-trialkyl substituted phenols with 1 was found to be strongly dependent on the structure of the target compounds 6 and the reaction media used (Scheme 2). Reactions in pure MeCN gave fluorinated products, while in the presence of alcohols or water para-quinols or para-quinol ethers 7 were formed in moderate to high yield. The presence of a more acidic nucleophile, such as trifluoroacetic acid (TFA), caused quite different transformations and Ritter-type functionalisation at the 4-benzylic position resulted in the formation of 4-methylacetamido-2,6-dialky substituted phenol derivatives 8, while after ipso attack at position 2, followed by dealkylation and internal cyclisation, alkyl substituted benzoxazole derivatives 9 were formed [23,24]. Another oxidative transformation of oxygen containing functional moieties with 1 was found to be the ring opening of 2,5-diaryl substituted furans 10, resulting in the stereoselective formation of cis-1,2-dibenzoyldione derivatives 11 [25].
Scheme 2. Transformations of 2,4,6-trialkyl substituted phenols and 2,5-diarylfurans with Selectfluor F-TEDA-BF2 1.
Scheme 2. Transformations of 2,4,6-trialkyl substituted phenols and 2,5-diarylfurans with Selectfluor F-TEDA-BF2 1.
Molecules 16 06432 g003
Sulfur-containing functional groups are usually very sensitive to oxidation. The mild oxidative nature of 1 was efficiently used advantageously in glycoside chemistry in the case of the development of a selective and efficient method for the oxidation of thioglycosides to their corresponding sulfoxide derivatives. A variety of thioglycosides (12, Scheme 3) were thus readily transformed to their sulfinyl derivatives 13 by treatment with a moderate molar excess of 1 in aqueous MeCN (MeCN/H20 = 20/1) at room temperature for a few minutes [26]. The thiophenolic functionality was found to be more unstable towards 1 than its phenolic analogues and could be readily transformed to disulfides and further to sulfonates [22], and this path was accepted as a methodology for concise synthesis of thiosulfonates. Symmetric aromatic or benzylic disulfides 17 were thus efficiently transformed to thiosulfonates 18 with a 2.5 fold molar excess of 1 in aqueous MeCN [27], while alkyl phenyl sulfides under these reaction conditions with an equimolar amounts of 1 gave selectively the sulfoxide functionality [28].
Scheme 3. Transformations of sulfur-containing functional groups with Selectfluor F-TEDA-BF2 1.
Scheme 3. Transformations of sulfur-containing functional groups with Selectfluor F-TEDA-BF2 1.
Molecules 16 06432 g004
An amino functional group bonded to an aromatic ring usually cannot survive the presence of 1 and demands protection by acetylation, while primary, secondary or tertiary aliphatic amines can be transformed by 1 to N-fluoro-substituted derivatives, often selectively and in moderate to good yield [14]. On the other hand, amides are relatively stable towards oxidation to imides, and up to now only a few efficient methods for direct preparation of these valuable chemicals are known, but recently the combination of the copper(I) moiety and Selecfluor F-TEDA-BF4 was introduced as an efficient and selective reagent system for the oxidation of amides to imides [29]. A variety of amides 19 were thus efficiently transformed to their imide derivatives 20 using the combination of 1 (2.5 equiv)/CuBr (1.2 equiv) in MeCN at room temperature (Table 1).
Table 1. Oxidation of amides 19 to imides 20 using Selectfluor F-TEDA-BF4/CuBr tandem. a Molecules 16 06432 i001
Table 1. Oxidation of amides 19 to imides 20 using Selectfluor F-TEDA-BF4/CuBr tandem. a Molecules 16 06432 i001
EntryRR 1Yield (%)
1PhCH2CH(Me)288
2PhEt77
3PhC2H4COOMe82
4PhPh84
5Ph(CH2)5OCOPh84
64-F-PhEt80
74-F-Phc-C6H1150
8MePh83
9n-C6H13CH2CH(Me)279
a Reaction conditions: amide 19 (0.25 mmol), Selectfluor F-TEDA-BF4 (0.625 mmol), CuBr (0.3 mmol added in six portions over 40 min), MeCN (5 mL), r.t., 1 hour.
Hypervalent iodine(III) compounds are valuable and versatile reagents in organic synthesis. It has been demonstrated that various types of aryl hypervalent iodine(III) compounds could be efficiently prepared using Selectfluor F-TED-BF4 starting from the corresponding aryl iodides (21, Scheme 4), or even straightforwardly from arenes 25 following 1 mediated oxidative iodination and further in situ functionalization of aryl iodides. Using one or other approach, a variety of phenyliodine(III)diacetates 22, 26 or phenyliodine(III)ditrifluoromethylacetates 24 were prepared with a 2.6 fold molar excess of 1 in MeCN solution in the presence of acetic or trifluoromethyl acetic acid, while in the presence of TsOH.H2O, Koser`s reagents 23 were synthesized [30]. The same methodology was applied for the synthesis of chiral hypervalent iodine(III) reagents 28 [31] and 30 [32], and further used for various enantioslective transformations.
Scheme 4. Synthesis of hypervalent iodine(III) compounds using Selectfluor F-TEDA-BF4.
Scheme 4. Synthesis of hypervalent iodine(III) compounds using Selectfluor F-TEDA-BF4.
Molecules 16 06432 g005

2.2. Oxidative Halogenation

Halogenation of organic compounds using the oxidative approach mediated by Selectfluor F-TEDA-BF4 has been introduced in our laboratory [33] and the methodology originally applied for the regioselective iodination of aromatic ethers using molecular iodine. Regioselective iodination at the para position took place, while when this position was occupied, regioselective ortho iodofunctionalization took place. Acetonitrile was found to be the best medium for these transformations and 50 mol% of molecular iodine was found to be enough for complete transformation of starting the material. This methodology has been intensively used for efficient and selective iodination of alkyl-substituted benzene derivatives [34], also those sterically hindered [35], as well for iodofunctinalization of arenes in ionic liquids as the reaction media [36].
We have also demonstrated that the regioselectivity of iodination could be regulated by the solvent used. In the case of iodination of substituted aryl-alkyl ketones regioselective functionalization of the aromatic ring took place (32, Scheme 5) when the reactions were performed in MeCN, while regioselective iodination of the side chain (eg. 33) has been found in reactions performed in MeOH [37]. It has been established that the stoichiometry of the process for substrate/I2/F-TEDA-BF4 is 1/0.5/0.6. This MeOH directed and F-TEDA-BF4 mediated iodination methodology was applied for side chain iodination of a variety of acetyl substituted aromatic compounds [38], and indanone and tetralone derivatives [39] bearing a strongly activated aromatic ring; these achievements have been reviewed in our previous account [19]. 1-(4-Methoxyphenyl)propan-2-one (34) was further chosen as a model substrate; in MeCN ring iodination forming 35 was established, in MeOH exclusive side-chain methoxy functionalization at the benzylic position took place (36), while in water regioselectivity was lost and a mixture of ring and side-chain functionalized products were observed in the crude reaction mixture [21]. Recently application of the method was successfully demonstrated for the synthesis of euplectin, where by varying the substituents on the euplectin precursor 37, the regioselectivity of the F-TEDA-BF4 mediated iodination could be directed towards aryl ring iodofuctionalization resulting in 38, or to the α-to carbonyl position resulting in 39 [40], and for side chain iodination of the protected 2,4-dihydroxy acetophenone derivative 40 to 41, one of precursors in total synthesis of glyceollin I [41].
Selectfluor F-TEDA-BF4 mediated iodination of dimethoxybenzenes (42, Table 2) was studied and the role of reaction media and the relative ratio of reactants on the course of the transformation evaluated. In the case of 1,2- (42a) and 1,4-dimethoxybenzene (42c) equimolar amounts of all three reactants (B) were found to be necessary for high conversion of starting material (entries 1-3 and 8,9 in Table 2), while for the iodofunctionalization of 1,3-dimethoxybenzene 42b to 43b a 0.5 molar amount of iodine and 0.6 molar amount of F-TEDA-BF4 (A) was enough for high yield iodination in all three solvents (entries 4-6). This result was explained by the different nature of the reaction path and a predominantly ionic process was proposed for case A, where iodine has the role of activator of the system and F-TEDA-BF4 the role of activator and regenerator of iodide liberated during the iodination process, while in the case of B, a reaction course through single electron transfer was proposed [21].
Bromination and chlorination of various unsaturated organic compounds mediated by F-TEDA-BF4 have also been demonstrated. Electrophilic bromination or chlorination of benzene derivatives was reported at room temperature using the anionic precursors of bromide or chloride transformed in situ into their electrophilic species by 1 [42]. Acetonitrile was found to be the best choice for the reaction medium, while reactions did not proceed in MeOH. A number of olefins were oxidative brominated using the F-TEDA-BF4/KBr tandem and for different types of substrates, addition, monobromine-substituted, or Hunsdiecker-Borodin reaction products were readily obtained [43].
Scheme 5. Oxidative iodination of organic compounds mediated by Selectfluor F-TEDA-BF4. The original idea and recent applications.
Scheme 5. Oxidative iodination of organic compounds mediated by Selectfluor F-TEDA-BF4. The original idea and recent applications.
Molecules 16 06432 g006
Table 2. Iodination of dimethoxy benzenes with elemental iodine mediated by F-TEDA-BF4. Molecules 16 06432 i002
Table 2. Iodination of dimethoxy benzenes with elemental iodine mediated by F-TEDA-BF4. Molecules 16 06432 i002
EntrySubstrateSolventT/t (°C/h)Reactants ratio aProductYield (%) b
1 MeCN20/4B 100(46)
242aMeOH20/18B43a100(96)
3 H2O20/22B 32(5)
4 MeCN20/2A 100(89)
542bMeOH20/3A43b100(71)
6 H2O20/3A 88(68)
7 MeCN B 0
842cMeOH B43c60(38)
9 H2O B 93(17)
a Ratio of 42 / I2 / 1 : A = 1 / 0.5 / 0.6; B = 1 / 1 / 1; b The first value is the conversion of starting material, the values in parentheses are the yield of isolated 43.

2.3. Electrophilic Functionalization of Arenes Using Anionic Precursors other than Halogens

It was demonstrated that various anionic precursors could be oxidized by 1 to active electrophilic species which efficiently functionalized the benzene ring. As already mentioned, bromide and chloride anions are readily oxidized to their electrophile equivalents and the same was established for thiocyanate (CNS) and nitrite (NO2) anions, which were transformed by 1 into CNS+ and NO2+ species, respectively, and efficiently functionalized electron-rich benzene derivatives [42]. Anions such as ACO or TfO were found to be relatively resistant towards oxidation with 1, while cyanide, cyanate, methoxide or thiomethoxide anions could not be oxidized with 1 at all.

2.4. Functionalisation at a Benzylic Carbon Atom

In the transformations described in sections 2.2 and 2.3 F-TEDA-BF4 acts as an oxidant forming electrophilic species from various unreactive sources which afterwards collapse with the electron-rich part of the organic substrates. In this section the opposite situation is described and a variety of examples reviewed where 1 acted as oxidant for the chosen substrates, thus forming an electron deficient reactive intermediate which reacted with an external nucleophile.
An example of this kind is the versatile derivatisation of a benzylic carbon atom in hexamethylbenzene (HMB, 44). Table 3 summarizes reactions of HMB with F-TEDA-BF4 in the presence of alcohols or potassium salts of perfluoroalkanoic acids in MeCN media. Pentamethyl-benzylalkyl ethers (entries 1-9) or esters (entries 10-15) were readily obtained in high to excellent yields. When this reaction was performed in TFA in the presence of various nitriles, Ritter-type benzylic amidation took place and the corresponding pentamethylbenzyl amides (46, Table 4) were formed in high yield [44].
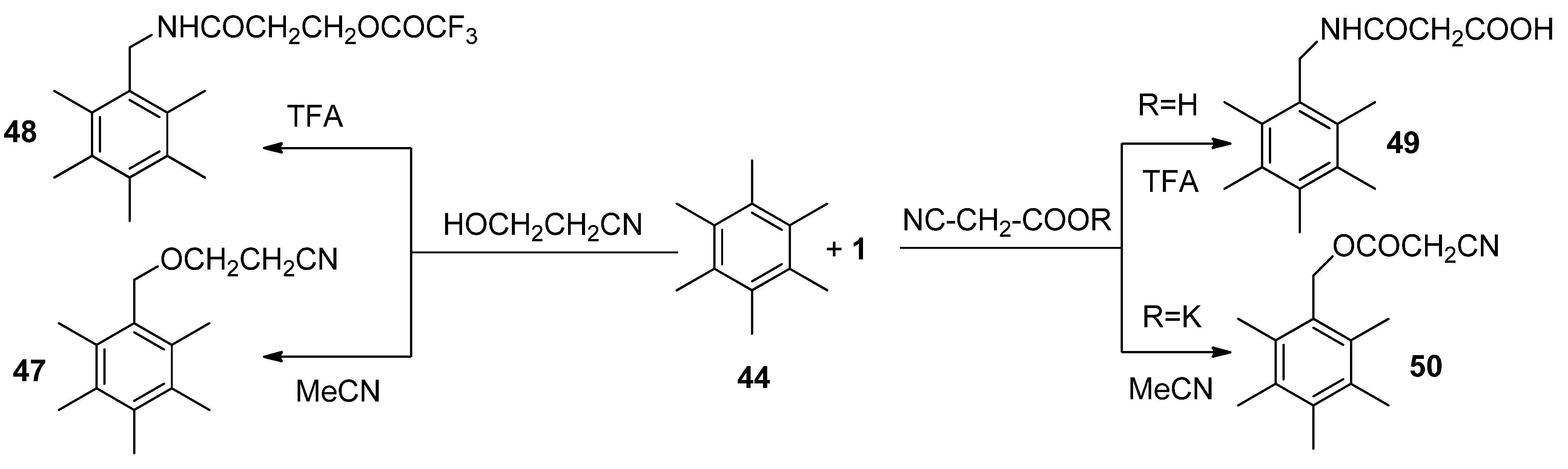
Using appropriate reaction conditions, selective functionalisation of HMB can be obtained in the presence of compounds bearing two different nucleophilic active sites. Reaction in MeCN in the presence of 2-cyanoethanol gave the benzylic ether derivative (47, Scheme 6), while in TFA Ritter transformation took place and benzyl amide derivative 48 was formed.
Table 3. Reactions of hexamethyl benzene 44 with F-TEDA-BF41 in the presence of alcohols or potassium salts of carboxylic acids.a Molecules 16 06432 i003
Table 3. Reactions of hexamethyl benzene 44 with F-TEDA-BF41 in the presence of alcohols or potassium salts of carboxylic acids.a Molecules 16 06432 i003
EntryRYR 1Yield (%)Reference
1HOi-Pr88[44]
2HOn-hexyl90[44]
3HOc-pentyl98[44]
4HOBn75[44]
5HOMeOCH2CH293[44]
6HOCF3CH275[44]
7HOCF3CF2CH270[45]
8HOCF3(CF2)2CH270[45]
9HO(CF3)2CH71[45]
10HOCOMe b97[44]
11HOCOCF3 b97[45]
12KOCOCF3CF297[45]
13KOCOCF3CF2CF272[45]
14KOCOCF2(CF2)3CF296[45]
15KOCOCF3(CF2)5CF290[45]
a Reaction conditions: HMB (2 mmol), F-TEDA-BF4 (2.2 mmols), 25 mmol of R1OH or 2.4 mmol of KOCOR1, MeCN (20 mL), 55 °C, 1–2 hours. b Reactions were performed in AcOH or TFA, respectively. as solvent.
Table 4. Ritter-type functionalization of the benzylic position in hexamethylbenzene mediated by F-TEDA-BF4 [44].a Molecules 16 06432 i004
Table 4. Ritter-type functionalization of the benzylic position in hexamethylbenzene mediated by F-TEDA-BF4 [44].a Molecules 16 06432 i004
EntryRTime (h)Yield
1Et282
2n-pentyl365
3i-Pr275
4c-Pr186
5MeOCH2195
6MeOCOCH2198
7EtOCOCH2184
8Ph175
9p-COOMe-Ph171
10Bn190
11C6F5181
a Reaction conditions: HMB (5 mmol), RCN (15 mmol), F-TEDA-BF4 (5 mmol) TFA (50 mL), 55 °C.
Similarly, cyanoacetic acid as a source of an external nucleophile was activated at its cyanide moiety if TFA was used as solvent and the corresponding benzyl amide 49 was formed, while in MeCN, potassium cyanoacetate acted as a carboxy nucleophile and pentamethylbenzyl cyanoacetate 50 was formed [44].
Scheme 6. F-TEDA-BF4 mediated benzylic functionalisation of hexamethyl benzene in the presence of compounds bearing two different nucleophilic centres.
Scheme 6. F-TEDA-BF4 mediated benzylic functionalisation of hexamethyl benzene in the presence of compounds bearing two different nucleophilic centres.
Molecules 16 06432 g007
A quite different course of reaction of HMB with 1 was established in the case when water was used as the external nucleophile. In aqueous MeCN phenyl ring transformation took place, starting with ipso attack of water and further rearrangement of the methyl group as the main process. Primarily formed rearranged 2,3,4,5,6,6-hexamethylcyclohexa-2,4-dienone (52, Scheme 7) was further transformed to 5-hydroxy-2,3,5,6,6-pentamethyl-4-methylenecyclohex-2-en-1-one 53 or 5-fluoro-2,3,5,6,6-pentamethyl-4-methylenecyclohex-2-en-1-one 54; the relative yield of these final products was found to be dependent on the concentration of water in the reaction mixture (Scheme 7). Product 52 was independently obtained in excellent yield by treating hexamethyl Dewar benzene 51 with an aqueous MeCN solution of 1. In the presence of water and alcohol as the second external nucleophile, competition between ring and benzylic functionalisation was observed. In the case of MeOH or EtOH up to 40% of benzylic functionalisation took place thus forming benzyl alkyl ethers, while in the presence of trifluoroethanole or hexafluoro i-propanole product 54 was selectively formed in excellent yield [46].
The reaction of 1,2,4,5-tetramethyl benzene (55, Table 5) with 1 was also studied and the role of solvent and external nucleophile on the course of the transformation established. In MeOH benzylic functionalisation forming benzyl methyl ether derivative 57a (entry 1, Table 5) was the exclusive process, in acetic acid ring attack of the nucleophile forming 2,3,5,6-tetramethylphenyl acetate (58a, entry 2) was found to be predominant process, while in TFA exclusive ring esterification thus forming 2,3,5,6-tetramethylphenyl trifluoroacetate 58b (entry 3) was observed. In reactions performed in MeCN, the nature of the external nucleophile regulated the course of reaction. In the presence of TFA (entry 4) Ritter-type benzylic functionalization to N-(2,4,5-trimethylbenzyl)acetamide 56 took place exclusively, in the presence of acetic acid benzylic amidation, benzylic and ring acetoxylation competed, while in the presence of water (entry 6) ipso attack of water followed by methyl group rearrangement and further fluorination or fluoro amidation forming equal amounts of products 59 and 60 was observed [46]. Other isomeric tetra- and trimethyl benzene derivatives were also tested in the presence of 1 and an external nucleophile; the kinetics of the reactions of polymethyl-substituted benzene derivatives with 1 studied and the results obtained supported the assumption that single electron transfer (SET) is the dominant process in these transformations [46].
Scheme 7. Transformation of hexamethyl benzene with F-TEDA-BF4 in the presence of water.
Scheme 7. Transformation of hexamethyl benzene with F-TEDA-BF4 in the presence of water.
Molecules 16 06432 g008
Table 5. Effect of solvent and external nucleophile on the transformation of 1,2,4,5-tetramethyl benzene with F-TEDA-BF4. a Molecules 16 06432 i005
Table 5. Effect of solvent and external nucleophile on the transformation of 1,2,4,5-tetramethyl benzene with F-TEDA-BF4. a Molecules 16 06432 i005
Relative ratio of products (%)
EntrySolvent/nucleophile5657585960Yield (%) b
1MeOH / --100---93
2AcOH / --2971--85
3TFA / ---100--95
4MeCN / TFA c100----82
5MeCN / AcOH272152--80
6MeCN / H2O d---505095
a Reaction conditions: 1,2,4,5-tetramethyl benzene (1 mmol), F-TEDA-BF4 (1 mmol), 10 mL of solvent and 10 mmol of nucleophile, 60–120 °C, 1.5–18 hours; b Total yield of products calculated on starting material; 10 mL of MeCN/TFA = 9/1; c 2 mmols of 1 was necessary for total conversion of 55.

2.5. Lewis Acid-Type Mediation of Condensation Reactions and Ring Opening of Epoxides

Selectfluor F-TEDA-BF4 can act as a Lewis acid and this fact was used to advantage in a variety of condensation reactions. Reactions of aryl or alkyl adehydes (61, Scheme 8) with allylbutyltin mediated 62 by 1 in MeCN resulted in the formation of homoallylic alcohols 63, and the analogous reactions in the presence of amines 64 lead to homoallylic amines 65 in good yields with excellent moisture and air tolerance [47].
Scheme 8. Synthesis of homoallylic alcohols or amines and β-acetamido ketones mediated by F-TEDA-BF4.
Scheme 8. Synthesis of homoallylic alcohols or amines and β-acetamido ketones mediated by F-TEDA-BF4.
Molecules 16 06432 g009
An efficient, room temperature process for the stereoselective synthesis of β-amido ketones (68, Scheme 8) employing a one-pot multi-component reaction of benzaldehyde derivatives 66, alkyl phenyl ketone 67, an acid chloride, and a nitrile in the presence of catalytic amounts of F-TEDA-BF4 was reported [48]. The method offers advantages such as high yield, short reaction time and energy efficiency, high anti-stereoselectivity and a simple work-up protocol.
A synthetic protocol for the preparation of aryl-14H-dibenzo[a,j]xanthene derivatives (71, Scheme 9) through the F-TEDA-BF4 catalyzed one-pot condensation of substituted benzaldehydes 69 with 2-naphthole 70 under solvent-free conditions was devised and methodology efficiently demonstrated by 14 examples [49]. An efficient procedure for the synthesis of 1,8-dioxo-octahydro-xanthenes 74 through one-pot condensation of 5,5-dimethyl-1,3-cyclohexadione 73 with aryl aldehyde derivatives 72 in the presence of catalytic amounts of 1 was developed and efficiently demonstrated with 19 examples [50]. One-pot condensation of β-ketoesters 76 and substituted phenols 75 catalyzed by 1 resulted in the efficient formation of 2H-chromen-2-one derivatives 77 [51]. Reactions were performed under solvent-free conditions and application of ultrasonic irradiation improved the yields and reduced the reaction times [52].
Scheme 9. F-TEDA-BF4 catalyzed condensation reactions forming oxygen heterocycles.
Scheme 9. F-TEDA-BF4 catalyzed condensation reactions forming oxygen heterocycles.
Molecules 16 06432 g010
It was also found that F-TEDA-BF4 efficiently catalyzed the conjugate addition of indoles (78, Scheme 10) with α,β-unsaturated ketones 79 thus forming Michael adducts 80 under extremely mild reaction conditions and the methodology was confirmed with 14 examples [53]. The same approach was used in the case of reactions of indoles 78 with different aldehydes 81, resulting in the formation of bis(indolyl)methane derivatives 82 and the efficiency of the reaction was improved by MW irradiation under solvent-free conditions [54]. The Biginelli reaction, i.e., one-pot multi-component condensation of aldehyde 83, β-ketoester 84 and urea or thiourea 85 forming dihydropyrimidinones 86, was considerably improved when 1 was used as the catalyst [55]. Aryl imines formed in situ from aryl aldehydes 87 and aromatic amines 88 underwent smooth [4+2] cycloaddition reactions with cyclic enol ethers 89 such as 3,4-dihydro-2H-pyran or 2,3-dihydrofuran in the presence of 10 mol % 1 in MeCN at room temperature to afford pyrano- and furanotetrahydroquinoline derivatives 90 with high endo-stereoselectivity and high yield [56].
A variety of epoxides (91, 93, Scheme 11) could be efficiently opened regio and stereoselectively with ammonium thiocyanate in the presence of 10 mol% of F-TEDA-BF4 in MeCN at room temperature, affording the corresponding β-hydroxy thiocyanates 92, in the case of cyclic epoxides with trans stereochemistry 94 [57].

2.6. Deprotection of Functional Groups

An efficient method for cleavage of p-methoxybenzylidene (PMP), tetrahydropyranyl (THP) and 1,3 dithiane protecting groups with F-TEDA-BF4 was reported. PMP and THP are very useful protecting groups for diols, but their deprotection usually demands strong acidic or oxidative conditions, and 1,3-dithiane deprotection usually requires harsh conditions, too, which is inconvenient in the case of multifunctionally derivatized target molecules. It has been shown that 1 can smoothly and efficiently cleave PMP (95, Scheme 12), THP 97 or 1,3-dithiane protected compounds under mild reaction conditions [58].
Scheme 10. F-TEDA-BF4 catalyzed condensation reactions forming nitrogen heterocycles.
Scheme 10. F-TEDA-BF4 catalyzed condensation reactions forming nitrogen heterocycles.
Molecules 16 06432 g011
Scheme 11. Regio and stereoselective ring opening of epoxides catalysed by F-TEDA-BF4.
Scheme 11. Regio and stereoselective ring opening of epoxides catalysed by F-TEDA-BF4.
Molecules 16 06432 g012
Scheme 12. Cleavage of PMP, THP, and 1,3-dithiane protecting groups by F-TEDA-BF4.
Scheme 12. Cleavage of PMP, THP, and 1,3-dithiane protecting groups by F-TEDA-BF4.
Molecules 16 06432 g013
A novel microwave-assisted, chemoselective and efficient method for the cleavage of aliphatic and aromatic silyl ethers catalyzed by F-TEDA-BF4 was reported. A wide range of aliphatic and aromatic tert-butyldimethyl (TBS) protected silyl ethers (100, Scheme 13) were chemoselectively cleaved. In MeCN, MeNO2 or DMF alkyl silyl ether was deprotected (101), while in MeOH phenolic silyl ether was cleaved (102). In addition, the transetherification of benzylic TBS-protected ethers 103 and etherification of benzyl alcohols 105 in alcoholic solvents resulting in the formation of 104 or 106 was observed [59].
Scheme 13. Chemoselective microwave-assisted deprotection of alkyl and aryl silyl ethers, transetherification and etherification of benzylic hydroxyl groups catalyzed by F-TEDA-BF4.
Scheme 13. Chemoselective microwave-assisted deprotection of alkyl and aryl silyl ethers, transetherification and etherification of benzylic hydroxyl groups catalyzed by F-TEDA-BF4.
Molecules 16 06432 g014

2.7. Transformations of Halogen-Substituted Azabicyclic Compounds

Stereoselective synthesis of 5,6-difunctionalized-2-azabicyclo[2.1.1]hexanes containing 5-anti-fluoro or hydroxyl in one methano bridge have been prepared by the F-TEDA-BF4 mediated rearrangement of derivatives of N-alkoxycarbonyl-6-exo-iodo-2-azabicyclo[2.2.0]hexanes [60]. It was also found that 1 has the ability to act as a nucleofuge for hydrolysis of β-anti-halides in N-alkoxycarbonyl derivatives of 6-anti-Y-7-anti-X-2-azabicyclo[2.2.1]heptanes (107, Table 6) and 4-anti-Y-8-anti-X-6-azabicyclo[3.2.1]octanes (109, Table 7), thus forming hydroxyl substituted derivatives 108 or hydroxyl or oxo-substituted products 110, respectively [61].
Table 6. Hydrolysis of β-halo-N-aloxycarbonyl-2-azabicyclo[2.2.1]heptanes with F-TEDA-BF4. Molecules 16 06432 i006
Table 6. Hydrolysis of β-halo-N-aloxycarbonyl-2-azabicyclo[2.2.1]heptanes with F-TEDA-BF4. Molecules 16 06432 i006
EntryXYWZYield (%)
1BrBrBrOH60
2IClIOH35
3IOHOHOH80
4IFOHF86
Table 7. F-TEDA-BF4 as a nucleofuge and oxidant of β-halo-N-Aloxycarbonyl-2-azabicyclo[3.2.1]octanes. Molecules 16 06432 i007
Table 7. F-TEDA-BF4 as a nucleofuge and oxidant of β-halo-N-Aloxycarbonyl-2-azabicyclo[3.2.1]octanes. Molecules 16 06432 i007
EntryXYWZYield (%)
1BrBrBr=O91
2BrOHBr=O99
3IClIOH77
4IOHI=O20

2.8. Functionalization of N-Heterocycles

The direct thiolation of indoles (111, Table 8) with a variety of thiols 112 has been achieved in the presence of F-TEDA-BF4. This versatile and efficient method works for thiolation of 5- or 7-substituted indoles, as well as for 1-substituted (entries 6 and 9) and 2-substituted (entries 5, 12, and 13) indole derivatives with aromatic thiols (entries 1–17), alkyl thiols (entries 18 and 19) and benzyl thiol (entry 20). The reaction protocol is simple; the transformation goes to completion at room temperature within 20–30 minutes, efficiently and selectively forming 3-sulfenylindoles 113 [62].
Table 8. F-TEDA-BF4 mediated synthesis of 3-sulfenylindoles. Molecules 16 06432 i008
Table 8. F-TEDA-BF4 mediated synthesis of 3-sulfenylindoles. Molecules 16 06432 i008
EntryRR 1R 2R 3Yield [%]
1HHHPh96
25-BrHHPh85
35-OMeHHPh96
47-EtHHPh89
5HHMePh89
6HBnHPh87
7HHH4-Cl-Ph92
85-OMeHH4-Cl-Ph97
9HBnH4-Cl-Ph93
107-EtHH4-Cl-Ph90
117-EtHH4-Me-Ph89
12HHMe4-Cl-Ph94
13HHH4-Cl-Ph94
145-BrHH4-Me-Ph90
15HHH4-NO2-Ph78
16HHH4-Br-Ph87
17HHH2-naphthyl85
18HHHEt87
195-BrHHn-Bu78
20HHHBn82
Various substituted indoles 111 have been efficiently thiocyanated under mild and neutral conditions to selectively produce 3-indoylthiocyanates 114 (Table 9) in excellent yield following the reaction of indole derivatives with ammonium thiocyanate in the presence of F-TEDA-BF4. Mechanistically, the reaction was declared to be the electrophilic substitution of indole derivatives by in situ generated thiocyanogen electrophilic species from 1 and ammonium thiocyanate. Following the same protocol was also successful for thiocyanation of azaindole, carbazole and pyrrole [63].
The tungsten η2-coordinated pyridinium complex 115 (Scheme 14) undergoes a stereoselective dialkoxylation when treated with F-TEDA-BF4 in alcohol. The alkoxy groups add to the 5-and 6-positions of TpW(NO)(PMe3)(3,4-η2-methoxypyridine 115 in a syn fashion. The reaction pathway has been not completely investigated but apparent stabilization by tungsten of the allyl cation intermediate resulting from the electrophilic attack of 1 to the 5,6-double bond on 115, captured by alkoxy anion and further fluorine atom replacement by the alkoxide in a subsequent substitution reaction resulting in the final formation of 116 seems to be a reasonable explanation of the reaction route [64].
Table 9. Thiocyanation of indole derivatives with ammonium thiocyanate using F-TEDA-BF4. Molecules 16 06432 i009
Table 9. Thiocyanation of indole derivatives with ammonium thiocyanate using F-TEDA-BF4. Molecules 16 06432 i009
EntryRR 1R 2Yield [%]
1HHH95
2HHMe92
37-EtHH94
45-NO2HH93
55-CNHH92
65-BrHH93
75-OMeHH96
8HHPh89
9HBnH94
10HBnPh86
Scheme 14. Dimethoxylation of η2-pyridinium complex mediated by F-TEDA-BF4.
Scheme 14. Dimethoxylation of η2-pyridinium complex mediated by F-TEDA-BF4.
Molecules 16 06432 g015

2.9. Gold-Catalyzed and Palladium-Catalyzed Oxidative C-C or C-Heteroatom Bond Formation

Cross-coupling reactions are powerful tools for the rapid construction of organic molecules and one of the most important and valuable approaches in organic synthesis. Various transition metals catalyze these valuable transformations and gold was introduced for this purpose recently [65]. The gold/Selectfluor F-TEDA-BF4 tandem was recognized as a valuable combination in numerous cross-coupling C-C or C-heteroatom bond formations.
The pioneer work on this area has been done by Zhang and co-workers with the discovery that under oxidative conditions gold catalyzes the coupling of propargyl acetates (117, Table 10) with boronic acids 118 resulting in the formation of α-aryl α,β-enones 119 in moderate to good yields and total E-stereoselectivity [66]. Following the proposed mechanism, reactions start by gold mediated 3,3-rearangement of propargyl acetates to allenyl acetates and their hydrolysation into the vinyl-Au(I) species which is subsequently oxidized by F-TEDA-BF4 to furnish Au(III) intermediates; later these undergo transmetallation with boronic acids to give diorganogold derivatives, which after reductive elimination, regenerate the active Au(I) species and deliver the final cross-coupled products 119. Without the presence of boronic acid derivatives, oxidative dimerization of propargylic acetates was observed [67].
Table 10. Gold-catalyzed oxidative cross-coupling of propargyl acetates with boronic acids. Molecules 16 06432 i010
Table 10. Gold-catalyzed oxidative cross-coupling of propargyl acetates with boronic acids. Molecules 16 06432 i010
EntryRR 1R 2Yield (%)
1Phn-butylH62
2iPrn-butylH65
3MePhH59
4MeMeOCH2CH2H60
5MecyclohexylH68
6cyclohexylcyclohexylH70
7PhCH2CH2n-butylH70
84-Br-Phn-butylH59
9AcOCH2CH2n-butylH61
10HcyclohexylH61
11cyclohexyln-butyl4-Me-Ph72
12cyclohexyln-butyl4-CO2Me-Ph57
13cyclohexyln-butyl4-Cl-Ph58
14cyclohexyln-butyl3-CO2Me-Ph45
Analogous reactions were observed when propargyl benzoates (120, Table 11) were treated under similar reaction conditions and 1-benzoylvinyl ketones 121 were isolated [68]. Intramolecular cross-coupling resulting in carboamination, carboalkoxylation or carbolactonization processes and formation of N- or O-heterocycles (123, Scheme 15) were reported when alkenes bearing a terminal hydroxyl, tosylamido or carboxy group (122) were treated with the goldcat /F-TEDA-BF4 tandem in the presence of boronic acid [69]. The scope of this reaction was considerably extended using bimetallic gold complexes as catalysts. The best results were obtained in the case of [dppm(AuBr)2] catalyst where bis(diphenylphosphine)methane (dppm) was the ligand part of the bimetallic Au catalyst and a variety of alkenes and boronic acid reactants cross-coupled forming N-heterocycle derivatives [70].
The same group of authors further reported three-component coupling reactions using this valuable methodology. Various combinations of alkenes (125, Scheme 16), boronic acid derivatives 126, and alcohols, carbocyclic acids or even water (127) were treated with catalytic amounts of dppm(AuBr)2 bimetallic complex in the presence of F-TEDA-BF4 and oxyarylation of the double bond took place resulting in compounds 128. The ability to use either alcohols or water as nucleophiles in this gold-catalyzed three-component coupling provided access to a greater diversity of products. In the case of alkene 129 and 2-carboxymethyl boronic acid 130, methoxyarylation producing 131 took place when methanol was used as nucleophile, while in the presence of water, hydroxyarylation, followed by in situ lactone formation 131 was the result of the reaction [71].
Table 11. Gold-catalyzed synthesis of 1-benzoylvinyl ketones from propargylbenzoates. Molecules 16 06432 i011
Table 11. Gold-catalyzed synthesis of 1-benzoylvinyl ketones from propargylbenzoates. Molecules 16 06432 i011
EntryRYield (%)
1cyclohexyl76
2Ph66
3cyclopropyl56
4BnOCH2CH271
5BzOCH2CH278
6BzCH2CH2CH270
Scheme 15. Gold-catalyzed oxidative carboheterofunctionalization of alkenes.
Scheme 15. Gold-catalyzed oxidative carboheterofunctionalization of alkenes.
Molecules 16 06432 g016
Scheme 16. Gold-catalyzed F-TEDA-BF4 mediated oxyarylation of alkenes.
Scheme 16. Gold-catalyzed F-TEDA-BF4 mediated oxyarylation of alkenes.
Molecules 16 06432 g017
The versatility of this methodology was expanded and arylsilicon compounds were taken as transmetallation components. The best results were obtained with phenyltrimethylsilane (133, Table 12) and efficient three-component coupling was accomplished when alkene 129, various alcohols and 133 were treated with the dppm(AuBr)2 / F-TEDA-BF4 tandem, resulting in oxyarylated products 134. As in the case of boronic acid in the presence of methanol, 2-carboxymethyl-trimethylphenylsilane was methoxyarylated to product 131, while the water mediated reaction yielded lactone product 132. In the case when a side chain bearing terminal alkene functionality is bonded at the ortho position of phenyltrimethylsilane reagent (135, Table 13), intramolecular coupling reaction took place resulting in products 136 [72].
Table 12. Gold-catalyzed and F-TEDA-BF4 mediated three-component oxyarylation of C-C double bond. Molecules 16 06432 i012
Table 12. Gold-catalyzed and F-TEDA-BF4 mediated three-component oxyarylation of C-C double bond. Molecules 16 06432 i012
EntryRR 1Yield [%]
14-OAcMe83
24-OTfMe53
34-N(Me)TsMe66
44-MeMe73
54-BrMe82
64-CHOMe77
74-CO2MeMe68
83-CO2MeMe83
92-CH2CH2OHMe69
10HMe87
11HEt83
12Hi-Pr81
13Ht-Bu37
14Hneopentyl64
15Hcyclopentyl68
16H2-methoxyethyl86
17HH77
182-CH2CH2OHH55
A comparison of gold-catalyzed oxyarylation of terminal alkenes (137, Table 14) using arylsilanes 138a or arylboronic acids 138b as transmetallating reactants was reported. The results collected in Table 14 demonstrate some advantages of the application of arylboronic acids in these reactions but the differences are not so remarkable. The commercially available gold catalyst Ph3PAuCl was used, making this valuable and versatile transformation even more attractive [73].
Table 13. Gold-catalyzed and F-TEDA-BF4 mediated intramolecular coupling reactions. Molecules 16 06432 i013
Table 13. Gold-catalyzed and F-TEDA-BF4 mediated intramolecular coupling reactions. Molecules 16 06432 i013
EntryRR 1nYield (%)
1HH166
2HMe173
3HEt170
4HH015
5FH147
6FEt168
7ClH162
8ClMe165
9CF3H151
10CF3Me159
11PhMe174
Another valuable application of the Au(catalyst)/F-TEDA-BF4(oxidant) tandem was reported by Gouverneur and co-authors. They developed a novel cascade cyclization cross-coupling process leading to tricyclic dihydroindenofurane-type compounds (141a-e, 143a-c, and 145, Scheme 17) following the Ph3PAuNTf2 catalyzed and F-TEDA-BF4 mediated transformations of t-butyl ester substituted allenoates bearing a benzyl functional group on the opposite side of an allenoate moiety (140), or vicinal to a tert-butyl ester group (142). The substrates 140 readily gave products 141a-e, while starting materials 142 gave products 143 a–b. In the case when both relevant allenoate carbon atoms were substituted by a benzyl group, the formation of product 143c was found to be preferential. It has also been established that the transformation is stereospecific, since pure enantiomer 144 gave only enantiomer 145 [74].
The same group of authors developed efficient cascade cyclization-oxidative alkynyliation of allenoates (146, Scheme 17) with phenyl acetylenes 147, resulting in the formation of 5-butynyl-3-methyl-4-(phenylenthynyl)furan-2(5H)-one derivatives 148. The selectivity as well as the efficiency of the transformation decreased if other than a n-butyl group was bonded to alleonate 146, or an alkyl group bonded to the alkynyl substrate 147 [75].
Various arylgold(I) and alkynylgold(I) triphenylphosphane complexes (149, Table 15) were subjected to electrophilic halogenations reagents. Iodo, bromo and chloro reagents gave halogenated products, while reactions with F-TEDA-BF4 followed exclusively the homocoupling process and corresponding dimeric products 150 were isolated in high yield [76].
Aminooxygenation of unactivated alkenes (151, Scheme 18) were achieved by gold catalysis assisted by F-TEDA-BF4 as an oxidant. In the case when the solvent was 20/1 mixture of MeCN and water (R2 = H), methanol (R2 = Me), or ethanol (R2 = Et) mixtures of piperidine 152 and pyrrolidine derivatives 153 were formed. The formation of piperidine derivatives prevailed. On the other hand, by reducing the amount of water in the reaction mixture to only 2 equivalents and using nitriles as the reaction media, the aminoamidation process took place and 3-amido substituted piperidine derivatives 154 were selectively formed [77].
Table 14. Gold-catalyzed and F-TEDA-BF4 mediated oxyarylation of terminal alkenes using arylsilanes [73] or arylboronic acids [71]. Molecules 16 06432 i014
Table 14. Gold-catalyzed and F-TEDA-BF4 mediated oxyarylation of terminal alkenes using arylsilanes [73] or arylboronic acids [71]. Molecules 16 06432 i014
Yield [%]
EntryAlkeneR 1R 2Z = SiMe3Z = B(OH)2
1137 aHMe7179
2137 aHEt6985
3137 aHi-Pr7090
4137 aHt-Bu-33
5137 aHneopentyl8091
6137 aHc-pentyl5785
7137 aHAc7962
8137 a4-MeMe5588
9137 a2-MeMe20-
10137 a4-BrMe8090
11137 a3-FMe6379
12137 a4-CO2MeMe8083
13137 b4-Brc-pentyl5169
14137 b4-BrAc5151
15137 bHH7676
16137 c4-Brc-pentyl3876
17137 c4-Brneopentyl8573
18137 cHH7873
19137 dHH7567
Scheme 17. Gold-catalyzed F-TEDA-BF4 mediated oxidative transformations of allenoates.
Scheme 17. Gold-catalyzed F-TEDA-BF4 mediated oxidative transformations of allenoates.
Molecules 16 06432 g018
Recently the Zhang group reported the first oxidative cross-coupling reaction between an aryl C-H bond and an alkyl gold compound generated in situ, combining Au(I)/Au(III) catalysis with C-H functionalization. They have chosen N,N-diallyl--phenylurea derivatives (155d-k, Table 16) as a substrates, (4-CF3-C6H4)3P-Au-NTf2 as the catalyst, and F-TEDA-BF4 as the oxidant and following an initial aminoauration and subsequent intramolecular [3+2] annulation process isolated tricyclic indoline derivatives 156 in high yield. The efficiency of the reaction was significantly improved by the addition of 30 eqiuvalents of water in TFH as the optimal reaction media and the transformation was successful in the case when the additional allyl group in 155 was replaced by benzyl (entry 1), alkyl (entry 2) or phenyl group (entry 3). On the basis of performed deuterium labeling and kinetic isotope effect studies along with the isolation of alkyl gold intermediates the reaction mechanism anticipating an electrophilic aromatic substitution for the C-H functionalization and a subsequent inner-sphere concerted reductive elimination for the Csp2-Csp3 bond formation were strongly supported [78].
Table 15. Homocoupling reactions of organogold(I) triphenylphosphane compounds induced by F-TEDA-BF4. Molecules 16 06432 i015
Table 15. Homocoupling reactions of organogold(I) triphenylphosphane compounds induced by F-TEDA-BF4. Molecules 16 06432 i015
EntryRYield (%)
1Ph90
23-nitrophenyl91
33-methoxyphenyl85
44-methoxyphenyl94
52-formylfuran-5-yl82
63-formylfuran-5-yl81
7phenyletynyl94
8 Molecules 16 06432 i01671
Scheme 18. Gold-catalyzed and F-TEDA-BF4 assisted aminooxygenation or aminoamidation of unactivated alkenes.
Scheme 18. Gold-catalyzed and F-TEDA-BF4 assisted aminooxygenation or aminoamidation of unactivated alkenes.
Molecules 16 06432 g019
Table 16. Gold-catalyzed and F-TEDA-BF4 mediated C-C coupling through C-H functionalization. Molecules 16 06432 i017
Table 16. Gold-catalyzed and F-TEDA-BF4 mediated C-C coupling through C-H functionalization. Molecules 16 06432 i017
Entry155RR 1Yield [%] of 156
1aHBn75
2bHn-hexyl69
3cHPh70
4d4-Meallyl72
5e2-Meallyl43
6f3-Meallyl79
7g4-Fallyl70
8h4-OTsallyl67
9i4-CF3allyl64
10j4-COOEtallyl84
11k4-Acallyl75
In the same laboratory a straightforward, efficient, and reliable catalyst system for the Sonogashira cross-coupling reaction of terminal alkyne derivatives (157, Scheme 19) with arylboronic acids 158 was developed very recently. The catalyst consisting Ph3PAuCl and AgBF4 gave the best results in the presence of F-TEDA-BF4 as the oxidant and Et3N as the base and the scope of the method was illustrated by eleven examples of cross-coupling yielding aryl functionalized alkyne derivatives 159 [79].
Scheme 19. Gold-catalyzed F-TEDA-BF4 mediated Sonogashira-type cross-coupling reactions of terminal alkynes with arylboronic acids.
Scheme 19. Gold-catalyzed F-TEDA-BF4 mediated Sonogashira-type cross-coupling reactions of terminal alkynes with arylboronic acids.
Molecules 16 06432 g020
Palladium-catalyzed directed ortho amidation of aromatic ketones (160, Scheme 20) with both sulfoanamides 161a and amides 161b has been accomplished using different oxidants, including N-F compounds. The efficiency of the formation of the corresponding sulfonamides 162a or amides 162b was moderate to good when F-TEDA-BF4 mediated the reactions. It has been proposed and supported by X-ray crystallography that the formation of cyclopalladation complexes of aryl ketones and amides are the key intermediates for this valuable transformation. The palladium(II) complex is oxidized to the Pd(IV) moiety, which following reductive elimination, ends in the final ortho amido derivatized product [79].
Scheme 20. Palladium-catalyzed F-TEDA-BF4 mediated ortho amidation of aromatic ketones.
Scheme 20. Palladium-catalyzed F-TEDA-BF4 mediated ortho amidation of aromatic ketones.
Molecules 16 06432 g021

3. Conclusions and Perspectives

SelectfluorTM F-TEDA-BF4 is one of the most popular electrophilic fluorination reagents. Besides this, its major role in organic synthesis, it also acts as a reagent or catalyst of many functionalizations of organic compounds other than fluorinations, where its characteristics as an oxidant or a Lewis acid regulate the versatile utility. As a transformer of oxidizable functional groups F-TEDA-BF4 could be very efficient but from the green chemical point of view its perspectives, except for specific cases, are limited, as well as in the field of oxidative halogenations, where a variety of greener protocols using environmentally more acceptable oxidants, such as H2O2 or oxygen, were developed recently, also in our laboratory. On the other hand, F-TEDA-BF4 possesses unlimited potential as a catalyst or reagent in various condensations and coupling reactions. Up to now reported discoveries illustrate the really amazing possibilities of the organic molecule skeleton building reactions mediated by F-TEDA-BF4. It seems that many research groups have already recognized this fact, since a considerable number of recent papers reviewed in the present account are dedicated to this matter.

References

  1. Methods in Organic Chemistry (Houben-Weyl), 4th; Baasner, B.; Hagemann, H.; Tatlow, J.C. (Eds.) Thieme: Stuttgart, Germany, 1999; Vols. E 10a-c: Organo-Fluorine Compounds.
  2. Modern Fluoroorganic Chemistry. Synthesis, Reactivity, Application; Kirsh, P. (Ed.) Wiley: Weinheim, Germany, 2004.
  3. Advances in Organic Synthesis, Vol. 2, Modern Organofluorine Chemistry. Synthetic Aspects; Rahman, A.-U.; Laali, K.K. (Eds.) Benthah: Hilversum, The Netherlands, 2006.
  4. Umemoto, T.; Kawada, K.; Tomita, K. N-fluorpyridinium triflate and its derivatives: Useful fluorinating reagents. Tetrahedron Lett. 1986, 27, 4465–4468. [Google Scholar] [CrossRef]
  5. Umemoto, T.; Fukami, S.; Tomizawa, G.; Harasawa, K.; Kawade, K.; Tomita, K. Power- and structure-variable fluorinatin reagents. The N-fluoropyridinium salt system. J. Am. Chem. Soc. 1990, 112, 8563–8575. [Google Scholar] [CrossRef]
  6. Lal, G.S.; Pez, G.P.; Syvret, R.G. Electrophilic NF Fluorinating Agents. Chem. Rev. 1996, 96, 1737–1755. [Google Scholar]
  7. Furin, G.G.; Fainzilberg, A.A. N-fluoro amines and their analogues as fluorinating reagents in organic synthesis. Russ. Chem. Rev. 1999, 68, 653–684. [Google Scholar] [CrossRef]
  8. Taylor, S.D.; Kotoris, C.C.; Hum, G. Recent Advances in Electrophilic Fluorination. Tetrahedron 1999, 55, 12431–12477. [Google Scholar]
  9. Banks, R.E. Fluorinated diazabicycloalkane derivatives. US Patent 5,086,178, 1992. [Google Scholar]
  10. Banks, R.E.; Mohialdin-Khaffaf, S.N.; Lal, G.S.; Sharif, I.; Syvret, R.G. 1-Alkyl-4-fluoro-1,4-diazoniabicyclo[2.2.2]octane Salts: A Novel Family of Electrophilic Fluorinatin Agents. J. Chem. Soc. Chem. Commun. 1992. [Google Scholar] [CrossRef]
  11. Banks, R.E. SelectfluorTM reagent F-TEDA-BF4 in action: tamed fluorine at your service. J. Fluorine Chem. 1998, 87, 1–17. [Google Scholar] [CrossRef]
  12. Singh, R.P.; Shreeve, J.M. Recent Highlights in Electrophilic Fluorination with 1-chroromethyl-4-fluoro-1,4-diazoniabyciclo[2.2.2]octane Bis(tetrafluoroborate). Acc. Chem. Res. 2004, 37, 31–44. [Google Scholar]
  13. Nyffeler, P.T.; Duron, S.G.; Burkart, M.D.; Vincent, S.P.; Wong, C.-H. Selectfluor: Mechanistic Insight and Applications. Angew.Chem. Int. Ed. 2005, 44, 192–212. [Google Scholar] [CrossRef]
  14. Stavber, S.; Zupan, M. N-Fluoro-1,4-Diazoniabicyclo[2.2.2]octane Dication Salts; Efficient Fluorinating Agent and Functionalization Mediators for Organic Compounds. In Advances in Organic Synthesis, Vol. 2, Modern Organofluorine Chemistry. Synthetic Aspects; Rahman, A.-U., Laali, K.K., Eds.; Benthah: Hilversum, The Netherlands, 2006; pp. 213–268. [Google Scholar]
  15. Hart, J.J.; Syvret, R.G. Industrial scale production of SelectfluorTM fluorinating agent: from initial concept to full scale commercial production in a 5 year period. J. Fluorine Chem. 1999, 100, 157–161. [Google Scholar] [CrossRef]
  16. Zupan, M.; Papež, M.; Stavber, S. Reaction of the N-F class of fluorinating reagents with solvents. J. Fluorine. Chem. 1996, 78, 137–140. [Google Scholar] [CrossRef]
  17. Girina, G.P.; Fainzil’berg, A.A.; Feoktistov, L.G. Reduction potential as a Measure of Activity of the N-F Fluorinating Agents. Russ. J. Electrochem. 2000, 36, 163–163. [Google Scholar]
  18. Gilicinski, A.G.; Pez, G.P.; Syvret, R.G.; Lal, G.S. On the relative power of electrophilic fluorinating reagents of the N-F class. J. Fluorine. Chem. 1992, 59, 157–162. [Google Scholar]
  19. Stavber, S.; Zupan, M. SelectfluorTM F-TEDA-BF4 as a Versatile Mediator or Catalyst in Organic Chemistry. Acta. Chim. Slov. 2005, 52, 13–26. [Google Scholar]
  20. Banks, R.E.; Lawrence, N.J.; Popplewell, A.L. Oxidation of Benzylic Alcohols and Benzaldehydes with SlectfluorTM Reagent F-TEDA-BF4 {1-Chloromethyl-4-fluoro-diazoniabicyclo[2.2.2]octane bis(tetrafluoroborate)}. Synlett 1994, 831–832. [Google Scholar]
  21. Pavlinac, J.; Zupan, M.; Stavber, S. Effect of Water on the Functionalization of Substituted Anisoles with Iodine in the Presence of F-TEDA-BF4 or Hydrogen Peroxide. J. Org. Chem. 2006, 71, 1027–1032. [Google Scholar]
  22. Zupan, M.; Iskra, J.; Stavber, S. Chemistry of Organo Halogenic Molecules.140. Role of the Reagent Structure on the Transformations of Hydroxy Substituted Organic Molecules with N-Fluoro Class of Fluorinating Reagents. Bull. Chem. Soc. Jpn. 1995, 68, 1665–1660. [Google Scholar]
  23. Stavber, S.; Jereb, M.; Zupan, M. The Effect of the Reaction Conditions on the Course of the Reactions of Hindered Phenols with N-F Reagents. Arkivoc 2001, V, 98–107. [Google Scholar]
  24. Stavber, S.; Jereb, M.; Zupan, M. Kinetic investigations of the reactions of hindered phenols with N-fluoro-1,4-diazoniabicyclo[2.2.2]octane salt analogues. J. Phys. Org. Chem. 2002, 15, 56–61. [Google Scholar]
  25. Blank, S.J.; Stephens, C.E. Oxidative ring opening of 2,5-diarylfurans by Selectfluor. Tetrahedron Lett. 2006, 47, 6849–6850. [Google Scholar]
  26. Vincent, S.P.; Burkart, M.D.; Tsai, C.-Y.; Zhang, Z.; Wong, C.-H. Electrophilic Fluorination-Nucleophilic Addition Reaction Mediated by Selectfluor: Mechanistic Studies and New Applications. J. Org. Chem. 1999, 64, 5264–5279. [Google Scholar]
  27. Kirihara, M.; Naito, S.; Ishisuko, Y.; Hanai, H.; Noguchi, T. Oxidation of disulfides with SelectfluorTM: Concise syntheses of thiosulfonates and sulfonyl fluorides. Tetrahedron Lett. 2011, 52, 3086–3089. [Google Scholar] [CrossRef]
  28. Jing, J.; Huang, X. Florous thiols in oligosaccharide synthesis. Tetrahedron Lett. 2004, 45, 4615–4618. [Google Scholar] [CrossRef]
  29. Jin, Z.; Xu, B.; Hammond, G.B. Copper mediated oxidation of amides to imides by Selectfluor. Tetrahedron Lett. 2011, 52, 1956–1959. [Google Scholar]
  30. Ye, C.; Twamley, B.; Shreeve, J.M. Straightforward Syntheses of Hypervalent Iodine(III) Reagents Mediated By Selectfluor. Org. Lett. 2005, 7, 3961–3964. [Google Scholar] [CrossRef]
  31. Dohi, T.; Maruyama, A.; Takenaga, N.; Senami, K.; Minamitsuji, Y.; Fujioka, H.; Caemmerer, S.B.; Kita, Y. A Chiral Hypervalent Iodine(III) Reagent for Enantioselective Dearomatization of Phenols. Angew. Chem., Int. Ed. 2008, 47, 3787–3790. [Google Scholar]
  32. Uyanik, M.; Yasui, T.; Ishihara, K. Chiral hypervalent iodine-catalysed enantioselective oxidative Kita spirolactonisation of 1-naphthol derivatives and one-pot diastereo-selective oxidation to epoxyspirolactones. Tetrahedron 2010, 66, 5841–5851. [Google Scholar]
  33. Zupan, M.; Iskra, J.; Stavber, S. Room Temperature Regioselective Iodination of Aromatic Ethers Mediated by SelecfluorTM Reagent F-TEDA-BF4. Tetrahedron Lett. 1997, 38, 6305–6306. [Google Scholar] [CrossRef]
  34. Stavber, S.; Kralj, P.; Zupan, M. Selective and Effective Iodination of Alkyl-substituted Benzenes with Elemental Iodine Activated By SelectfluorTM F-TEDA-BF4. Synlett 2002, 33, 598–600. [Google Scholar]
  35. Stavber, S.; Kralj, P.; Zupan, M. Progressive Direct Iodination of Sterically Hindered Alkyl Substituted Benzenes. Synthesis 2002, 33, 1513–1518. [Google Scholar]
  36. Ciappe, C.; Pieraccini, D. Regioselective iodination of arenes in ionic liquids mediated by the SelectfluorTM reagent F-TEDA-BF4. Arkivoc 2002, XI, 249–255. [Google Scholar]
  37. Stavber, S.; Jereb, M.; Zupan, M. SelectfluorTM reagent F-TEDA-BF4 mediated and solvent directed iodination of alkyl aryl ketones using elemental iodine. Chem. Commun. 2002, 5, 488–489. [Google Scholar]
  38. Jereb, M.; Stavber, S.; Zupan, M. Direct α-Iodination of Aryl Alkyl Ketones by Elemental Iodine Activated by 1-Chloromethyl-4-fluoro-1,4-diazoniabyciclo[2.2.2]octane Bis(tetrafluoroborate). Synthesis 2003. [Google Scholar] [CrossRef]
  39. Jereb, M.; Stavber, S.; Zupan, M. Direct iodination of indanone and tetralone derivatives by elemental iodine activated by SelectfluorTM F-TEDA-BF4. Tetrahedron 2003, 59, 5935–5940. [Google Scholar] [CrossRef]
  40. Mal, D.; De, S.R. Total Synthesis of Euplectin, a Natural Product with Chromone Fused Indenone. Org. Lett. 2009, 11, 4398–4401. [Google Scholar] [CrossRef]
  41. Khupse, R.S.; Erhard, P.W. Total Syntheses of Racemic, Natural (-) and Unnatural (+) Glyceollin I. Org. Lett. 2008, 10, 5007–5010. [Google Scholar] [CrossRef]
  42. Syvret, R.G.; Butt, K.M.; Nguyen, T.P.; Bulleck, V.L.; Rieth, R.D. Novel Process for Generating Useful Electrophiles from Common Anions Using SelectfluorTM Fluorinating Agent. J. Org. Chem. 2002, 67, 4487–4493. [Google Scholar]
  43. Ye, C.; Shreeve, J.M. Structure-Dependent Oxidative Bromination of Unsaturated C-C- Bonds Mediated by Selectfluor. J. Org. Chem. 2004, 69, 8561–8563. [Google Scholar]
  44. Stavber, S.; Kralj, P.; Zupan, M. Effective and Versatile Functionalisation of Hexamethylbenzene Using N-F Reagents. Synlett 2001, 32, 1152–1154. [Google Scholar]
  45. Stavber, S.; Kralj, P.; Zupan, M. SelectfluorTM F-TEDA-BF4 Mediated Introduction of Perfluoroalkyl-containing Groups in the Benzylic Position of Hexamethylbenzene. Acta.Chim. Slov. 2002, 49, 553–560. [Google Scholar]
  46. Kralj, P.; Zupan, M.; Stavber, S. Remarkable Effect of Water on Functionalization of the Phenyl Ring in Methyl-Substituted Benzene Derivatives with F-TEDA-BF4. J. Org. Chem. 2006, 71, 3880–3888. [Google Scholar] [CrossRef]
  47. Liu, J.; Wong, C.-H. SelectfluorTM-mediated allylstannation of aldehides and imines. Tetrahedron Lett. 2002, 43, 3915–3917. [Google Scholar]
  48. Shinu, V.S.; Sheeja, B.; Purushothaman, E.; Bahulayan, D. A efficient green protocol for the stereoselective synthesis of β-acetamido ketones catalysed by SelectfluorTM. Tetrahedron Lett. 2009, 50, 4838–4843. [Google Scholar] [CrossRef]
  49. Kumar, P.S.; Kumar, B.S.; Rajitha, B.; Reddy, P.N.; Sreenivasulu, N.; Reddy, Y.T. A novel one pot synthesis of 14-aryl-14H-dibenzo[a,j]xantenes catalysed by SelectfluorTM-mediated allylstannation of aldehides and imines. Arkivoc 2006, XII, 46–50. [Google Scholar]
  50. Heravi, M.R.P. SelectfluorTM Promoted Synthesis of 9-Aryl-1,8-dioxooctahydroxantane Derivatives under Solvent-Free Conditions. J. Iran. Chem. Soc. 2009, 6, 483–488. [Google Scholar] [CrossRef]
  51. Kumar, B.S.; Reddy, Y.T.; Reddy, P.N.; Kumar, P.S.; Rajitha, B. SelectfluorTM: A Simple and Efficient Catalyst for the Synthesis of Substituted Coumarins Under Solvent-Free conditions. J. Heterocyclic Chem. 2006, 43, 477–479. [Google Scholar]
  52. Ranjbar-Karimi, R.; Hashemi-Uderji, S.; Mousavi, M. Selectfluor Promoted Environmental-Friendly Synthesis of 2H-Chromen-2-ones Derivatives under Various Reaction Conditions. J. Iran. Chem. Soc. 2011, 8, 193–197. [Google Scholar] [CrossRef]
  53. Yadav, J.S.; Reddy, B.V.S.; Raju, A.; Ravindar, K.; Baishya, G. 1-(Chloromethyl)-4-fluoro-1,4-diazoniabicyclo[2.2.2]octane Bis(tetrafluoroborate) as a Novel and Efficient Reagent for the Conjugate Addition of Indoles to α,β-Unsaturated Ketones. Chem. Lett. 2007, 36, 1056–1057. [Google Scholar] [CrossRef]
  54. Kumar, B.S.; Hunnur, R.K.; Reddy, K.M.; Udupi, R.H.; Bindu, V.H. A Facile and Efficient Method for the Synthesis of bis(Indoyl)methanes catalysed by SelectfluorTM under Conventional Heating and Microwave Irradiation. Heterocyclic Commun. 2009, 15, 115–120. [Google Scholar]
  55. Kumar, V.N.; Kumar, B.S.; Reddy, P.N.; Reddy, Y.T.; Rajitha, B. SelectfluorTM Catalyzed One-pot Synthesis of Dihydropyrimidinones: An Improved Protocol for the Biginelli Reaction. Heterocyclic Commun. 2007, 13, 29–32. [Google Scholar]
  56. Yadav, J.S.; Reddy, B.V.S.; Sunitha, V.; Reddy, K.S. Novel Use of SelectfluorTM for the Synthesis of cis-Fesed Pyrano- and Furanotetrahydroquinolines. Adv. Synt. Catal. 2003, 345, 1203–1206. [Google Scholar] [CrossRef]
  57. Yadav, J.S.; Reddy, B.V.S.; Reddy, C.S. SelectfluorTM: A novel and efficient reagent for the synthesis of β-hydroxy thiocyanates. Tetrahedron Lett. 2004, 45, 1291–1293. [Google Scholar] [CrossRef]
  58. Liu, J.; Wong, C.-H. An efficient method for the cleavage of p-methoxybenzylidene (PMP), tetrahydropyranyl (THP) and 1,3-dithiane protecting groups by SelectfluorTM. Tetrahedron Lett. 2002, 43, 4037–4039. [Google Scholar]
  59. Tasadaque, S.; Shah, A.; Singh, S.; Guiry, P.J. A Novel, Chemoselective and Efficient Microwave-Assisted Deprotection of Silyl Ethers with Selectfluor. J. Org. Chem. 2009, 74, 2179–2182. [Google Scholar]
  60. Krow, G.R.; Lin, G.; Moore, K.P.; Thomas, A.M.; DeBrosse, C.; Ross, C.W.; Ramjit, H.G. Novel Selectfluor and Deoxo-Fluor-Mediated Rearrangements. New 5(6)-Methyl and Phenyl Methanopyrrolidine Alcohols and Fluorides. Org. Lett. 2004, 6, 1669–1672. [Google Scholar] [CrossRef]
  61. Krow, G.R.; Gandla, D.; Guo, W.; Centafont, R.A.; Lin, G.; DeBrosse, C.; Sonnet, P.E.; Ross, C.W.; Ramjit, H.G.; Cannon, K.C. Selectfluor as a Nucleofuge in the Reactions of Azabicyclo[n.2.1]alkane β-Halocarbamic Acic Esters (n = 2, 3). J. Org. Chem. 2008, 73, 2122–2129. [Google Scholar]
  62. Yadav, J.S.; Reddy, B.V.S.; Reddy, Y.J. A rapid synthesis of 3-sulfenyl indoles using SelectfluorTM. Tetrahedron Lett. 2007, 48, 7034–7037. [Google Scholar]
  63. Yadav, J.S.; Reddy, B.V.S.; Reddy, Y.J. 1-(Chloromethyl)-4-fluoro-1,4-diazoniabicyclo [2.2.2]octane Bis(tetrafluoroborate) as a Novel and Versatile Reagent for the Rapid Thiocyanation of Indoles, Azaindole, and Carbazole. Chem. Lett. 2008, 37, 652–653. [Google Scholar]
  64. Kosturko, G.W.; Harrison, D.P.; Sabat, M.; Myers, W.H.; Harman, W.D. Selectfluor-Mediated Dialkoxylation of Tungsten η2-Pyridinium Complexes. Organometallics 2009, 28, 387–389. [Google Scholar]
  65. Garcia, P.; Malacria, M.; Aubert, C.; Gandon, V.; Fennsterbank, L. Gold-Catalyzed Cross-Couplings: New Opportunities for C-C- Bond Formation. CemCatChem 2010, 2, 493–497. [Google Scholar] [CrossRef]
  66. Zhang, G.; Peng, Y.; Cui, L.; Zhang, L. Gold-Catalysed Homogenous Oxidative Cross-Coupling Reactions. Angew. Chem., Int. Ed. 2009, 48, 3112–3115. [Google Scholar] [CrossRef]
  67. Cui, L.; Zhang, G.; Zhang, L. Homogeneus gold-catalyzed efficient oxidative dimerization of propargylic acetates. Bioorg. Med. Chem. Lett. 2009, 19, 3884–3887. [Google Scholar] [CrossRef]
  68. Peng, Y.; Cui, L.; Zhang, G.; Zhang, L. Gold-Catalysed Homogenous Oxidative C-O Bond Formation: Efficient Synthesis of 1-Benzoylvinyl Ketones. J. Am. Chem. Soc. 2009, 131, 5062–5063. [Google Scholar] [CrossRef]
  69. Zhang, G.; Cui, L.; Wang, Y.; Zhang, L. Homogenous Gold-Catalyzed Oxidative Carboheterofunctionalization of Alkenes. J. Am. Chem. Soc. 2010, 132, 1474–1475. [Google Scholar]
  70. Brenzovich, W.E.; Benites, D.; Lackner, A.D.; Shunatona, H.P.; Tkatchouk, E.; Goddard, W.A.; Toste, F.D. Gold-Catalysed Itramolecular Aminoarylation of Alkenes: C-C Bond Formation through Bimolecular Reductive Elimination. Angew. Chem., Int. Ed. 2010, 49, 5519–5522. [Google Scholar]
  71. Melhado, A.D.; Brenzovich, W.E.; Lackner, A.D.; Toste, F.D. Gold-Catalysed Three-Component Coupling: Oxidative Oxyarylation of Alkenes. J. Am. Chem. Soc. 2010, 132, 8885–8887. [Google Scholar] [CrossRef]
  72. Brenzovich, W.E.; Brazeau, J.F.; Toste, F.D. Gold-Catalysed Coupling Reactions with Aryltrimethylsilanes. Org. Lett. 2010, 12, 4728–4731. [Google Scholar]
  73. Ball, L.T.; Green, M.; Lloyd-Jones, G.C.; Russell, C.A. Aralsilanes: Application to Gold-Catalysed Oxyarylation of Alkenes. Org. Lett. 2010, 12, 4724–4727. [Google Scholar] [CrossRef]
  74. Hopkinson, M.N.; Tessier, A.; Salisbury, A.; Giuffredi, G.T.; Combettes, L.E.; Gee, A.D.; Gouverneur, V. Gold-Catalysed Intramolecular Oxidative Cross-Coupling of Nonactivated Arenes. Chem. Eur. J. 2010, 16, 4739–4743. [Google Scholar] [CrossRef]
  75. Hopkinson, M.N.; Ross, J.E. Salisbury, A.; Giuffredi, G.T.; Gee, A.D.; Gouverneur, V. Gold-Catalysed Cascade Cyclization-Oxidative Alkynylation of Allenoates. Org. Lett. 2010, 12, 4904–4907. [Google Scholar]
  76. Hashmi, A.S.K.; Ramamurthi, T.D.; Todd, M.H.; Tsang, A.S.-K.; Graf, K. Gold-Catalysis: Reactions of Organogold Compounds with Electrophiles. Aust. J. Chem. 2010, 63, 1616–1626. [Google Scholar]
  77. de Haro, T.; Nevado, C. Flexible Gold-Catalyzed Regioselective Oxidative Difunctionalization of Unactivated Alkenes. Angew. Chem., Int. Ed. 2011, 50, 906–910. [Google Scholar] [CrossRef]
  78. Zhang, G.; Luo, Y.; Wang, Y.; Zhang, L. Combining Gold(I)/Gold(III) Catalysis and C-H Functionalization: A Formal Intramolecular [3+2] Annulation towards Tricyclic Indolines and Mechanistic Studies. Angew. Chem., Int. Ed. 2011, 50, 4450–4454. [Google Scholar] [CrossRef]
  79. Qian, D.; Zhang, J. Au(I)/Au(III)-catalyzed Sonogashira-type reactions of functionalized terminal alkynes with arylboronic acids under mild conditions. Beilstein J. Org. Chem. 2011, 7, 808–812. [Google Scholar] [CrossRef]
  80. Xiao, B.; Gong, T.-J.; Xu, J.; Liu, Z.-J.; Liu, L. Palladium-Catalyzed Intermolecular Directed C-H Amidation of Aromatic Ketones. J. Am. Chem. Soc. 2011, 133, 1466–1474. [Google Scholar] [CrossRef]

Share and Cite

MDPI and ACS Style

Stavber, S. Recent Advances in the Application of SelectfluorTMF-TEDA-BF4 as a Versatile Mediator or Catalyst in Organic Synthesis. Molecules 2011, 16, 6432-6464. https://doi.org/10.3390/molecules16086432

AMA Style

Stavber S. Recent Advances in the Application of SelectfluorTMF-TEDA-BF4 as a Versatile Mediator or Catalyst in Organic Synthesis. Molecules. 2011; 16(8):6432-6464. https://doi.org/10.3390/molecules16086432

Chicago/Turabian Style

Stavber, Stojan. 2011. "Recent Advances in the Application of SelectfluorTMF-TEDA-BF4 as a Versatile Mediator or Catalyst in Organic Synthesis" Molecules 16, no. 8: 6432-6464. https://doi.org/10.3390/molecules16086432

APA Style

Stavber, S. (2011). Recent Advances in the Application of SelectfluorTMF-TEDA-BF4 as a Versatile Mediator or Catalyst in Organic Synthesis. Molecules, 16(8), 6432-6464. https://doi.org/10.3390/molecules16086432

Article Metrics

Back to TopTop