Abstract
Stereoselective photodimerization of coumarin and its derivatives in supra-molecular systems is reviewed. The enantioselective photodimerization of coumarin and thiocoumarin in inclusion crystals with optically active host compounds is also described.
1. Introduction
Photodimerization of coumarin and its derivatives has been studied extensively [1,2,3,4,5]. However, it is usually difficult to control the regio- and stereoselective [2+2] photodimerization of coumarins both in solution and in the solid state (Scheme 1). For example, the direct photoirradiation of coumarin in benzene afforded a mixture of syn-head-head 2, anti-head-head 3, syn-head-tail 4 and anti-head-tail 5 in the ratio 2.3:91.2:2.3:4.2, albeit in a low conversion of only 9% [4]. In contrast, photodimerization in 1,2-ethanediol gave a mixture of 2, 3, 4 and 5 in the ratio 59:22:19:0 in higher conversion (39%). The product ratio is also influenced by the multiplicity of the excited states involved [5]. Photoreactions in the solid state are thought to require precise orientation and separation of the two reacting double bonds within the maximum separation distance of 4.2 Å, as postulated by Schmidt, and some successful examples have been reported. Ramamurthy and Venkatesan pioneered the solid state photochemistry of coumarins and they identified the AcO and Cl substituents are identified as useful crystal engineering groups [1]. More recently, when monomer pairs of coumarin-3-carboxylic acid (6) are arranged in crystals such that the C=C double bonds are related by an inversion center and separated by 3.632 Å, the [2+2] cycloaddition reaction was achieved upon irradiation in the solid state [6] (Scheme 2).
Scheme 1.
Photodimerization of coumarin.
Scheme 1.
Photodimerization of coumarin.

Scheme 2.
Photodimerization of coumarin-3-carboxylic acid in the solid state.
Scheme 2.
Photodimerization of coumarin-3-carboxylic acid in the solid state.

In recent years, the photodimerization reaction of coumarins was found to be efficiently controlled by confinement within a supramolecular host such as cucurbituril, a Pd-nanocage, β-cyclodextrin, a bis-urea macrocycle, (S,S)-1,6-di(o-chlorophenyl)-1,6-diphenylhexa-2,4-diyne-1,6-diol, and (S,S)-1,6-di(2,4-dimethylphenyl)-1,6-diphenylhexa-2,4-diyne-1,6-diol. The enantioselective photodimerization of coumarin and thiocoumarin was also successfully achieved in inclusion crystals with chiral host compounds—(R,R)-trans-bis(hydroxydiphenylmethyl)-2,2-dimethyl-1,3-dioxacyclopentane and (R,R)-trans-2,3-bis(hydroxydiphenylmethyl)-1,4-dioxaspiro[4.4]nonane. In this review, the use of supra-molecular hosts for the regio-, stereo- and enantioselective photodimerization of coumarin and its derivatives is described.
2. Supramolecular Photodimerization of Coumarins in Solution
2.1. Cucurbituril
Cucurbit[8]uril (8) has a cavity similar to that of cyclodextrins and has been shown to be an effective catalyst for the selective photodimerization of coumarins [7] (Scheme 3). The irradiation of 6-methylcoumarin (9) in water in the absence of 8 affords a mixture of four possible photodimers 10-13 in only 9% conversion. Conversely, in the presence of 8, the reaction was found to be clean and efficient with exclusive formation of syn photodimers (10 + 11) as photoproducts. For example, the photodimerization of 9 in the presence of 50 mol% of 8 resulted in a 72% conversion to photodimers with a syn:anti ratio of >99:1.
Scheme 3.
Photodimerization of 6-methylcoumarin.
Scheme 3.
Photodimerization of 6-methylcoumarin.

2.2. Pd-Nanocages
The irradiation of coumarin derivatives 15 within the Pd-nanocage 14 selectively yields the syn-head-head dimers 16, whereas in H2O, a mixture of dimers is obtained [8] (Scheme 4). For example, when irradiated as a host-guest complex, 8-methoxycoumarin (15d) exclusively formed the syn-head-head dimer 16d, while 15d itself was not sufficiently soluble to perform the photodimerization directly in water. The selective dimerization is interpreted to mean that coumarin monomers are preorganized by weak intermolecular interactions, such as hydrophobic, π-π, and CH-π interactions, between the host and guest to afford the syn-head-head dimer within the Pd-nanocage.
Scheme 4.
Photodimerization of coumarins within a Pd-nanocage and in H2O.
Scheme 4.
Photodimerization of coumarins within a Pd-nanocage and in H2O.

3. Supramolecular Photodimerization of Coumarins in the Solid State
3.1. β-Cyclodextrin
The photodimerization of coumarin and eight of its derivatives was found to proceed selectively in crystalline inclusion complexes with β- and γ-cyclodextrins [9] (Scheme 5). For example, the irradiation of a 2:3 inclusion complex of β-cyclodextrin and coumarin in the solid state afforded the syn-head-head dimer in 64% yield, whereas its irradiation in water or as a neat solid provided 2 in low yield (~20%). The X-ray structural analysis of the 2:3 complex showed that the photodimerization likely occurs between coumarin molecules migrating inside a “reaction nano-tube” [10].
Scheme 5.
Photodimerization of coumarins in a β-cyclodextrin cavity.
Scheme 5.
Photodimerization of coumarins in a β-cyclodextrin cavity.

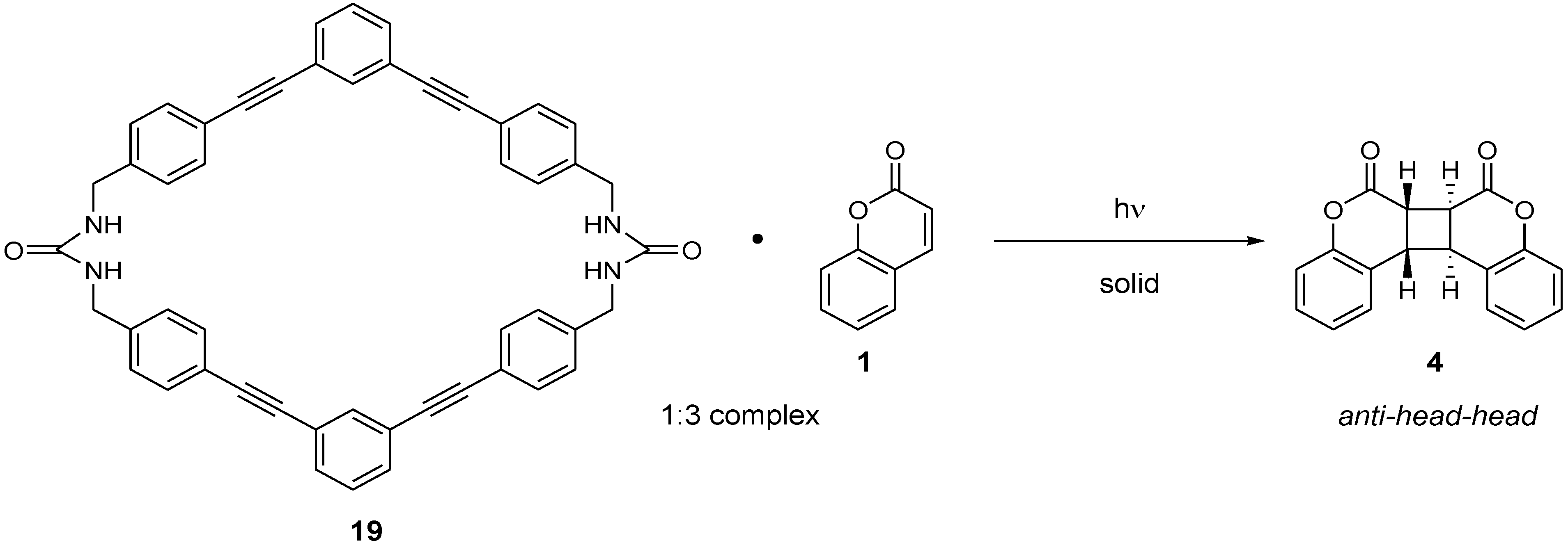
3.2. Bisurea Macrocycle
The bisurea macrocycle (19) with a diameter of ~9 Å forms a 1:3 inclusion complex with coumarin (1). The photoirradiation of the 1:3 complex for 96 h in the solid state under air afforded the anti-head-head dimer 2 with 96% selectivity and 18% conversion. Interestingly, the reaction under N2 atmosphere gave a similar high selectivity (96%) with increased conversion (37%). The conversion could be further enhanced under Ar to 55% with no decrease in selectivity (97%) [11] (Scheme 6).
Scheme 6.
Photodimerization of coumarins in a bisurea macrocycle.
Scheme 6.
Photodimerization of coumarins in a bisurea macrocycle.

3.3. Diacetylenediols
The photochemical behavior of coumarin on complexation with 1,1,6,6-tetraphenylhexa-2,4-diyne-1,6-diol (20), (S,S)-(−)-1,6-bis(o-chlorophenyl)-1,6-diphenyl-hexa-2,4-diyne-1,6-diol (21), and (S,S)-1,6-di(2,4-dimethylphenyl)-1,6-diphenylhexa-2,4-diyne-1,6-diol (22) has been investigated. It was observed that the inclusion complex of coumarin with the achiral host 20 was photoinert, whereas the complex with the chiral host 21 yielded the syn-head-head dimer in ca. 100% yield upon irradiation [12] (Scheme 7). X-ray structural analysis revealed that both the hydroxyl groups form OH-O hydrogen bonds with the carbonyl oxygen of the two coumarins and that the two double bonds are at an average distance of 3.8 Å. Contrary to this result, the irradiation of a 1:2 inclusion complex of the chiral host 22 with coumarin formed the anti-head-head dimer (±)-4 in 94% yield [13].
Scheme 7.
Photodimerization of coumarins inside inclusion crystals with diacetylenediols.
Scheme 7.
Photodimerization of coumarins inside inclusion crystals with diacetylenediols.

4. Enantioselective Photodimerization of Coumarins in Crystalline Inclusion Complexes
The single-crystal-to-single-crystal enantioselective photodimerization of 1 or thiocoumarin (25) was found to proceed efficiently in inclusion complexes with (R,R)-(−)-trans-bis(hydroxydiphenylmethyl)-2,2-dimethyl-1,3-dioxacyclopentane (23) or (R,R)-(−)-trans-2,3-bis(hydroxydiphenylmethyl)-1,4-dioxaspiro[4.4]nonane (24), respectively [14,15] (Scheme 8). Irradiation of the 1:1 inclusion complex of (−)-23 and 1 in the solid state with a 400-W high-pressure Hg lamp (Pyrex filter, room temperature, 4 h) gave a 2:1 complex of (−)-23 and the optically active anti-head-head dimer (−)-2. The anti-head-head dimer (−)-2 was isolated in 99% yield and 100% ee by recrystallization of the 2:1 complex from DMF/H2O (5/1). Optically pure (+)-2 was also obtained when the host compound (+)-23 was used instead of (−)-23. The single-crystal-to-single-crystal nature and the steric course of the enantioselective photodimerization of 1 to the anti-head-head dimer (−)-2 in the inclusion complex were investigated by X-ray crystallographic analysis. The results showed that two molecules of 1 were arranged by forming a hydrogen bond between the C=O of 1 and the O-H of 23 in the direction that gave the anti-head-head dimer (−)-2 by photoirradiation and that the molecular aggregation had distances of 3.59 and 3.42 Å sufficiently short to readily permit topochemical reaction in the crystals. (Figure 1 and Figure 2) After photoirradiation, the bond distances of the cyclobutane ring were 1.6 and 1.57 Å, respectively (Figure 3). Recently, a new type of C2-symmetric bisphosphine ligand with a cyclobutane backbone has been synthesized starting from enantiopure (−)-2 [16].
Scheme 8.
Single-crystal-to-single-crystalenantioselective photodimerization of coumarin in the inclusion crystals.
Scheme 8.
Single-crystal-to-single-crystalenantioselective photodimerization of coumarin in the inclusion crystals.

Figure 1.
X-ray structure of the 1:1 inclusion complex of (−)-23 and 1.
Figure 1.
X-ray structure of the 1:1 inclusion complex of (−)-23 and 1.

Figure 2.
X-ray structure of the 2:1 complex of (−)-23 and the optically active anti-head-head dimer (−)-2.
Figure 2.
X-ray structure of the 2:1 complex of (−)-23 and the optically active anti-head-head dimer (−)-2.

Figure 3.
Mutual orientation of coumarin (left) and the anti-head-head dimer (−)-2 (right) in the inclusion complex with (−)-23.
Figure 3.
Mutual orientation of coumarin (left) and the anti-head-head dimer (−)-2 (right) in the inclusion complex with (−)-23.

The photodimerization of 25 in the solid state gives a complex mixture of four possible dimers, although when irradiated in CH2Cl2, (±)-26 is obtained [17]. The enantioselective photodimerization of 25 to the optically pure anti-head-head dimer (+)-26 in the 1:1 inclusion complex of (−)-24 with 25 was also found to proceed in a single-crystal-to-single-crystal manner [14,15]. The photoirradiation of the 1:1 inclusion complex of (−)-24 with 25 in the solid state (400-W high-pressure Hg lamp, Pyrex filter, room temperature, 2 h) quantitatively gave a 2:1 complex of (−)-24 with (+)-26; (+)-26 was isolated in 73% yield and 100% ee by column chromatography. The single-crystal-to-single-crystal nature and the steric course of the photodimerization of 25 to the anti-head-head dimer (+)-26 in the inclusion crystals were also investigated by X-ray crystallographic analysis. The two molecules of 25 in the 2:1 inclusion complex are related by a pseudo-twofold axis along the c-axis. The C=O of 25 and the O-H of (+)-26 form a hydrogen bond in the direction that gives the anti-head-head dimer of (+)-26. The distances between the two ethylenic double bonds are sufficiently short (3.73 and 3.41 Å) to react easily and topochemically. After photoirradiation, the bond distances of the cyclobutane ring are both 1.60 Å. The crystal data are listed in Table 1.
Table 1.
Crystallographic data for a 1:1 complex of (−)-23 and 1, a 2:1 complex of (−)-23 with (−)-2, a 1:1 complex of (−)-24 with 25, and a 2:1 complex of (−)-24 with (+)-26.
| Compound | (−)-23: 1 | (−)-23: (−)-2 | (−)-24: 25 | (−)-24: (+)-26 |
| Formula | C40H36O6 | C40H36O6 | C42H38O5S1 | C42H38O5S1 |
| Crystal system | Monoclinic | Monoclinic | Monoclinic | Monoclinic |
| Space group | C2 | C2 | P21 | P21 |
| a (Å) | 35.59(4) | 32.80(3) | 10.235(2) | 10.371(3) |
| b (Å) | 9.489(4) | 9.467(3) | 35.78(1) | 34.70(2) |
| c (Å) | 10.03(1) | 10.36(4) | 9.422(2) | 9.414(3) |
| β (°) | 102.70(4) | 100.27(7) | 91.00(2) | 91.38(3) |
| V (Å3) | 3305(4) | 3164(2) | 3449(1) | 3387(2) |
| Z | 4 | 4 | 4 | 4 |
| Dcalc | 1.23 | 1.29 | 1.26 | 1.28 |
| R | 0.101 | 0.114 | 0.065 | 0.078 |
| Temperature (°C) | Room | Room | −50 | −50 |
Recently, thermal [2+2] cycloaddition reactions of coumarin and thiocoumarin were found to occur in the above inclusion crystals [18]. Typically, coumarin and thiocoumarin are thermally unreactive for dimerization according to the Woodward-Hoffmann rules. Interestingly, however, the dimerization of coumarin occurred under high vacuum to form anti-head-head dimers in about 30% yield and 99% ee. For this reaction, both high-vacuum conditions and the presence of the host compound (−)-23 were found to be essential.
5. Enantioselective Photodimerization of Coumarins in Solution
The enantioselective photodimerization reactions of 1 and 9 to the corresponding anti-head-head dimers (−)-2 and (+)-11 proceed efficiently in high enantioselectivity even in a homogeneoussolution in the presence of the optically active hosts (−)-23and (−)-27, respectively [19] (Scheme 9) (Figure 4). For example, a 2:1 inclusion complex of (R,R)-(−)-27 and (S,S,S,S)-(+)-11 was obtained in 60% yield and 95% ee upon photoirradiation of a cyclohexane solution of an equimolar mixture of (−)-23 and 9. Treatment of the inclusion complex with DMF/H2O gave (S,S,S,S)-(+)-11 of >99% ee in 27% yield. One possible explanation of this reaction is as follows. The photodimerization of coumarin occurs in solvent but is reversible. In hydrocarbon and aromatic solvents, one enantiomer of the dimer complexes with the host, precipitates as inclusion crystals, and is protected from the reverse reaction. The other enantiomer is decomposed to the monomer by further irradiation in solution.
Scheme 9.
Photodimerization of coumarins in solution.
Scheme 9.
Photodimerization of coumarins in solution.

Figure 4.
X-ray structure of the 2:1 complex of (−)-27 and the optically active anti-head-head dimer (+)-11.
Figure 4.
X-ray structure of the 2:1 complex of (−)-27 and the optically active anti-head-head dimer (+)-11.

References
- Gnanaguru, K.; Ramasubbu, N.; Venkatesan, K.; Ramamurthy, V. A study on the photochemical dimerization of coumarins in the solid state. J. Org. Chem. 1985, 50, 2337–2346. [Google Scholar]
- Narasimha, J.; Venkatesan, K.; Weiss, R.G. Photodimerization of coumarins in solid cyclodextrin inclusion complexes. J. Org. Chem. 1992, 57, 3292–3297. [Google Scholar]
- Vishnumurthy, K.; Guru Row, T.N.; Venkatesan, K. Studies in crystal engineering: Effect of fluorine substitution in crystal packing and topological photodimerization of styryl coumarins in the solid state. J. Chem. Soc. Perkin Trans. 2 1996, 1475–1478. [Google Scholar]
- Yu, X.; Scheller, D.; Rademacher, O.; Wolff, T. Selectivity in the photodimerization of 6-alkylcoumarins. J. Org. Chem. 2003, 68, 7386–7399. [Google Scholar]
- Wolff, T.; Gorner, H. Photodimerization of coumarin revisited: Effects of solvent polarity on the triplet reactivity and product pattern. Phys. Chem. Chem. Phys. 2004, 6, 368–376. [Google Scholar]
- Mahon, M.F.; Raithby, P.R.; Sparkes, H.A. Investigation of the factors favoring solid state [2+2] cycloaddition reactions; the [2+2] cycloaddition reaction of coumarin-3-carboxylic acid. CrystEngComm 2008, 10, 573–576. [Google Scholar]
- Pemberton, B.C.; Barooah, N.; Srivatsava, D.K.; Sivaguru, J. Supramolecular photocatalysis by confinement-photodimerization of coumarins within cucurbit[8]urils. Chem. Commun. 2010, 46, 225–227. [Google Scholar]
- Karthikeyan, S.; Ramamurthy, V. Templating photodimerization of coumarins within a water-soluble nano reaction vessel. J. Org. Chem. 2006, 71, 6409–6413. [Google Scholar]
- Yu, X.; Scheller, D.; Rademacher, O.; Wolff, T. Photodimerization of coumarins in solid cyclodextrin complexes. J. Org. Chem. 1992, 57, 3292–3297. [Google Scholar]
- Brett, T.J.; Alexander, J.M.; Clark, J.L.; Ross, C.R., II.; Harbiso, G.S.; Stezowski, J.J. Chemical insight from crystallographic disorder: Structural studies of a supramolecular b-cyclodextrin/coumarin photochemical system. Chem. Commun. 1999, 1275–1276. [Google Scholar]
- Dawn, S.; Dewal, M.B.; Sobransingh, D.; Paderes, M.C.; Wibowo, A.C.; Smith, M.D.; Krause, J.A.; Pellechia, P.J.; Shimizu, L.S. Self-assembled phenylethynylene bis-urea macrocycles facilitate the selective photodimerization of coumarin. J. Am. Chem. Soc. 2011, 133, 7025–7032. [Google Scholar]
- Moorthy, J.N.; Venkatesan, K. Stereospecific photodimerization of coumarins in crystalline inclusion complexes. Molecular and crystal structure of 1:2 complex of (S,S)-(−)-1,6-bis(o-chlorophenyl)-1,6-diphenyl-hexa-2,4-diyne-1,6-diol and coumarin. J. Org. Chem. 1991, 56, 6957–6960. [Google Scholar]
- Tanaka, K.; Toda, F. Selective photodimerizations of coumarin in crystalline inclusion compounds. J. Chem. Soc. Perkin Trans. 1 1992, 943–944. [Google Scholar]
- Tanaka, K.; Toda, F.; Mochizuki, E.; Yasui, N.; Kai, Y.; Miyahara, I.; Hirotsu, K. Enantioselective single-crystal-to-single-crystal photodimerization of coumarin and thiocoumarin in inclusion complexes with chiral host compounds. Angew. Chem. Int. Ed. 1999, 38, 3523–3525. [Google Scholar]
- Tanaka, K.; Mochizuki, E.; Yasui, N.; Kai, Y.; Miyahara, I.; Hirotsu, K.; Toda, F. Single-crystal-to-single-crystal enantioselective [2+2] photodimerization of coumarin, thiocoumarin and cyclohex-2-enone in the inclusion complexes with chiral host compounds. Tetrahedron 2000, 56, 6853–6865. [Google Scholar]
- Zhao, D.; Sun, J.; Ding, K. New types of soluble polymer-supported bisphosphine ligands with a cyclobutane backbone for Pd-catalyzed enantioselective allylic substitution reactions. Chem. Eur. J. 2004, 10, 5952–5963. [Google Scholar]
- Klaus, C.P.; Thiemann, C.; Kopf, J.; Margaretha, P. Solid-state photocyclodimerization of 1-thiocoumarin. Helv. Chim. Acta 1995, 78, 1079–1082. [Google Scholar]
- Wen, Y.; Song, Y.; Zhao, D.; Ding, K.; Bian, J.; Zhang, X.; Wang, J.; Liu, Y.; Jianga, L.; Zhu, D. Highly regio- and enantioselective thermal [2+2] cycloaddition of coumarin in a crystalline inclusion complex under high vacuum. Chem. Commun. 2005, 2732–2734. [Google Scholar]
- Tanaka, K.; Fujiwara, T. Enantioselective [2+2]photodimerization reactions of coumarins in solution. Org. Lett. 2005, 7, 1501–1503. [Google Scholar]
© 2012 by the authors; licensee MDPI, Basel, Switzerland. This article is an open-access article distributed under the terms and conditions of the Creative Commons Attribution license (http://creativecommons.org/licenses/by/3.0/).