Modified Code Index Modulation Scheme Based on Multi-Carrier M-ary DCSK System
Abstract
1. Introduction
2. System Model of MC-MCIM-MDCSK
2.1. Transmitter
2.2. Receiver
3. Performance Analysis
3.1. BER
3.2. Efficiency Discussions
3.3. Complexity
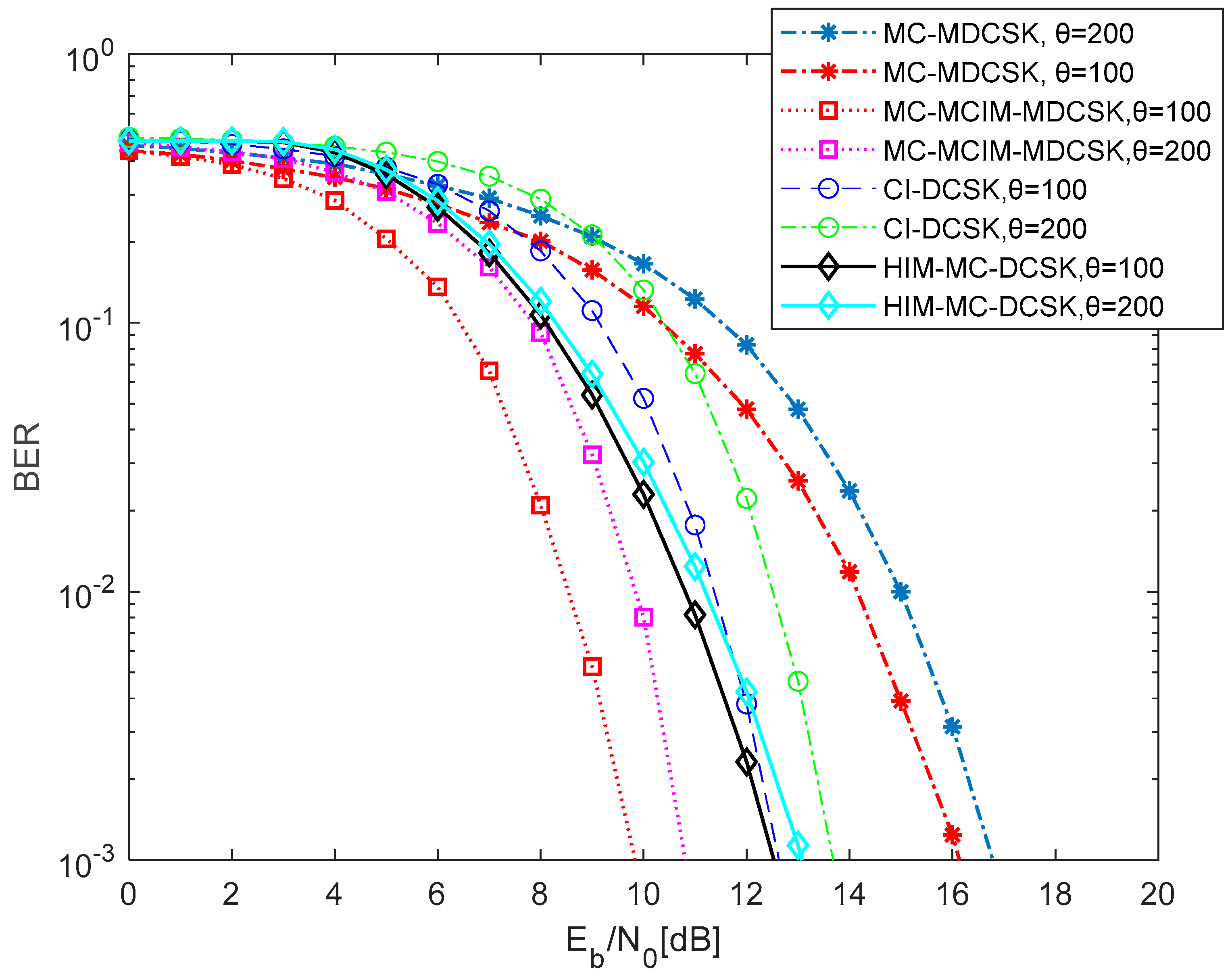
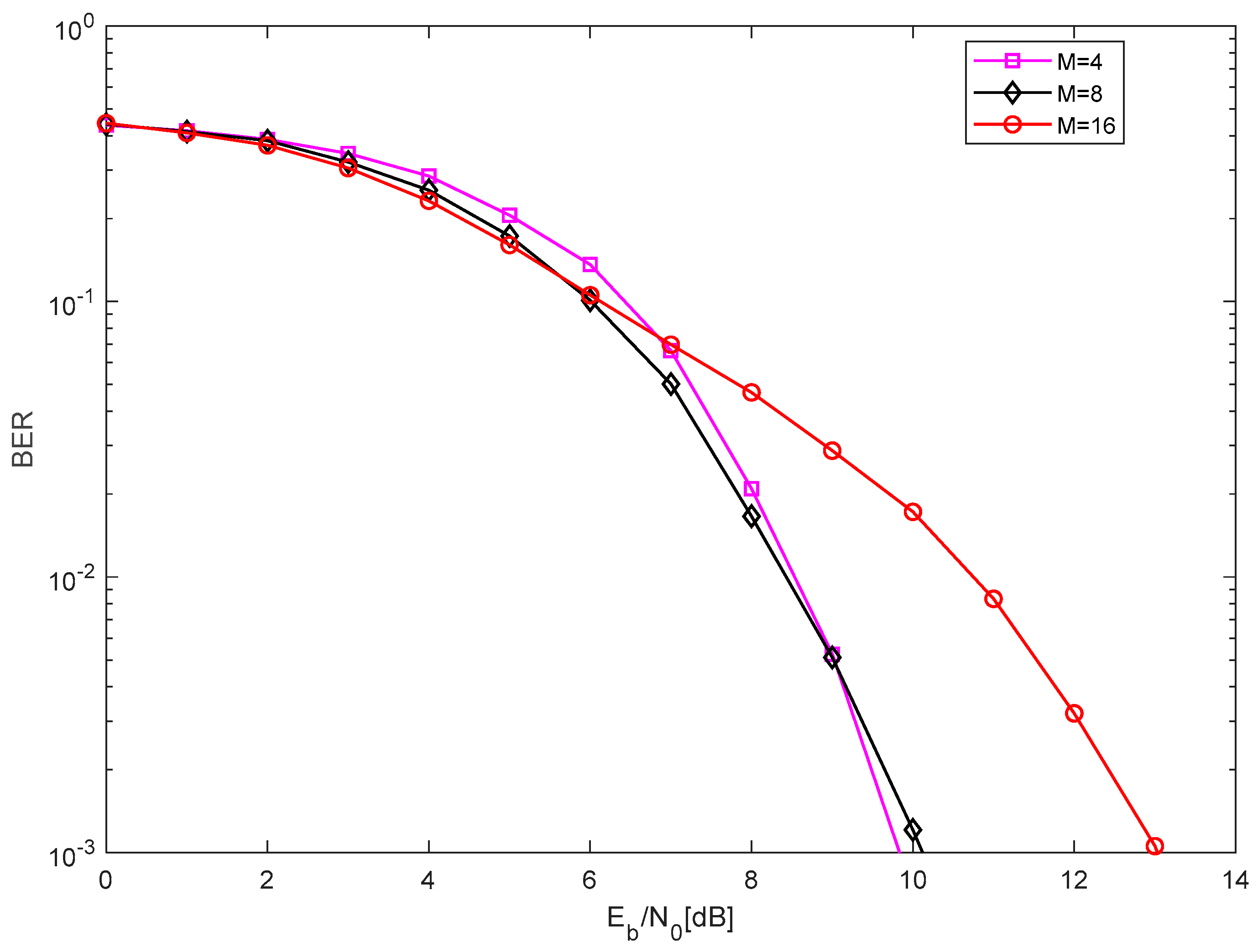
4. Simulation Results and Discussions
5. Conclusions
Author Contributions
Funding
Institutional Review Board Statement
Data Availability Statement
Conflicts of Interest
References
- Fang, Y.; Han, G.; Chen, P.; Lau, F.C.M.; Chen, G.; Wang, L. A survey on DCSK-based communication systems and their application to UWB scenarios. IEEE Commun. Surv. Tutor. 2016, 18, 1804–1837. [Google Scholar] [CrossRef]
- Cai, G.; Fang, Y.; Han, G.; Xu, J.; Chen, G. Design and analysis of relay selection strategies for two-way relay network-coded DCSK systems. IEEE Trans. Veh. Technol. 2018, 67, 1258–1271. [Google Scholar] [CrossRef]
- Kaddoum, G.; Tran, H.V.; Kong, L.; Atallah, M. Design of simultaneous wireless information and power transfer scheme for short reference DCSK communication systems. IEEE Trans. Commun. 2017, 65, 431–443. [Google Scholar] [CrossRef]
- Kolumban, G.; Vizvari, B.; Schwarz, W.; Able, A. Differential chaos shift keying: A robust coding for chaos communications. In Proceedings of the 4th International Workshop NDES, Seville, Spain, 27–28 June 1996; pp. 87–92. [Google Scholar]
- Cai, X.; Xu, W.; Hong, S.; Wang, L. Dual-mode differential chaos shift keying with index modulation. IEEE Trans. Commun. 2019, 67, 6099–6111. [Google Scholar] [CrossRef]
- Kaddoum, G.; Soujeri, E.; Nijsure, Y. Design of a short reference noncoherent chaos-based communication systems. IEEE Trans. Commun. 2016, 64, 680–689. [Google Scholar] [CrossRef]
- Kaddoum, G.; Soujeri, E. NR-DCSK: A noise reduction differential chaos shift keying system. IEEE Trans. Circuits Syst. II 2016, 63, 648–652. [Google Scholar] [CrossRef]
- Xu, W.; Wang, L.; Kolumbán, G. A novel differential chaos shift keying modulation scheme. Int. J. Bifurc. Chaos 2011, 21, 1102882. [Google Scholar] [CrossRef]
- Xia, Y.; Tse, C.K.; Lau, F.C.M.; Kolumbán, G. Performance of frequency-modulated differential-chaos-shift-keying communication system over multipath fading channels with delay spread. Int. J. Bifurc. Chaos 2011, 15, 4027–4033. [Google Scholar] [CrossRef]
- Kaddoum, G.; Richardson, F.; Francois, G. Design and analysis of a multi-carrier differential chaos shift keying communication system. IEEE Trans. Commun. 2013, 61, 3281–3291. [Google Scholar] [CrossRef]
- Yang, H.; Tang, W.K.S.; Chen, G.; Jiang, G. Multi-carrier chaos shift keying: System design and performance analysis. IEEE Trans. Circuits Syst. I 2017, 64, 2182–2194. [Google Scholar] [CrossRef]
- Huang, T.; Wang, L.; Xu, W.; Chen, G. A multi-carrier M-ary differential chaos shift keying system with low PAPR. IEEE Access 2017, 5, 18793–18803. [Google Scholar] [CrossRef]
- Kaddoum, G.; Nijsure, Y.; Hung, T. Generalized code index modulation technique for high data rate communication systems. IEEE Trans. Veh. Technol. 2016, 65, 7000–7009. [Google Scholar] [CrossRef]
- Xu, W.; Tan, Y.; Lau, F.C.M.; Kolumbán, G. Design and optimization of differential chaos shift keying scheme with code index modulation. IEEE Trans. Commun. 2018, 66, 1970–1980. [Google Scholar] [CrossRef]
- Cai, X.; Xu, W.; Wang, D.; Hong, S.; Wang, L. An M-ary orthogonal multilevel differential chaos shift keying system with code index modulation. IEEE Trans. Commun. 2019, 67, 4835–4847. [Google Scholar] [CrossRef]
- Tan, Y.; Xu, W.; Wang, L. Efficient and robust M-ary differential chaos shift keying scheme with code index modulation. IET Commun. 2019, 13, 232–242. [Google Scholar] [CrossRef]
- Chen, H.; Chen, P.; Fang, Y.; Chen, F.; Kong, L. Parallel differential chaotic shift keying with code index modulation for wireless communication. IEEE Trans. Commun. 2022, 70, 5113–5127. [Google Scholar] [CrossRef]
- Lin, Z.; Xu, W.; Sun, H.; Wang, L. A hybrid DCSK scheme combining cyclic shift keying and code index modulation. IEEE Commun. Lett. 2023, 27, 2303–2307. [Google Scholar] [CrossRef]
- Cai, G.; Fang, Y.; Wen, J.; Mumtaz, S.; Song, Y.; Frascolla, V. Multi-carrier M-ary DCSK system with code index modulation: An efficient solution for chaotic communications. IEEE J. Sel. Top. Signal Process. 2019, 13, 1375–1386. [Google Scholar] [CrossRef]
- Wang, Y.; Yang, H.; Yan, X.Y.; Jiang, G. A novel coupled code shifted M-ary differential chaos shift keying modulation. Int. J. Bifurc. Chaos 2023, 33, 2350041. [Google Scholar] [CrossRef]
- Yang, H.; Xu, S.Y.; Jiang, G. A high data rate solution for differential chaos shift keying based on carrier index modulation. IEEE Trans. Circuits Syst. II 2021, 68, 1487–1491. [Google Scholar] [CrossRef]
- Zhang, G.; Shao, S.; Huang, T. A high-data-rate hybrid index communication system based on quadrature chaos shift keying. Chaos Solitons Fract. 2024, 185, 115117. [Google Scholar] [CrossRef]
- Cai, X.; Wang, D.; Xu, W.; Wang, L.; Lau, F.C.M. Design of carrier index keying-aided M-Ary differential chaos cyclic shift keying for D2D communications. IEEE Trans. Commun. 2023, 71, 3233–3250. [Google Scholar] [CrossRef]
- Fang, Y.; Zhuo, J.; Ma, H.; Mumtaz, S.; Li, Y. Design and analysis of a new index-modulation-aided DCSK system with frequency-and-time resources. IEEE Trans. Veh. Technol. 2023, 72, 7411–7425. [Google Scholar] [CrossRef]
- Wang, H.; Wang, J.; Jiang, W.; Wang, S.; Gao, D. Physical layer cross-technology communication via explainable neural networks. IEEE Trans. Mobile Comput. 2025, 24, 1550–1566. [Google Scholar] [CrossRef]
- Gao, D.; Ou, L.; Chen, Y.; Guo, X.; Liu, R.; Liu, Y.; He, T. Physical-layer CTC from BLE to Wi-Fi with IEEE 802.11ax. IEEE Trans. Mobile Comput. 2025, 24, 338–351. [Google Scholar] [CrossRef]
- Gao, D.; Wang, H.; Wang, S.; Wang, W.; Yin, Z.; Mumtaz, S.; Li, X.; Frascolla, V.; Nallanathan, A. WiLo: Long-range cross-technology communication from Wi-Fi to LoRa. IEEE Trans. Commun. 2024, 9, 1–15. [Google Scholar] [CrossRef]
- Sun, Y.; Meng, Z.; Yang, H.; Jiang, G. A novel carrier index M-ary differential chaos shift keying modulation scheme. IET Commun. 2024, 18, 1642–1649. [Google Scholar] [CrossRef]
- Iqbal, M.A.; Fakhar, M.S.; Ain, N.U.; Tahir, A.; Khan, I.A.; Abbas, G.; Kashif, S.A.R. A new fast deterministic economic dispatch method and statistical performance evaluation for the cascaded short-term hydrothermal scheduling problem. Sustainability 2023, 15, 1644. [Google Scholar] [CrossRef]
- Khan, F.; Tarimer, I.; Alwageed, H.S.; Karadag, B.C.; Fayaz, M.; Abdusalomov, A.B.; Cho, Y. Effect of feature selection on the accuracy of music popularity classification using machine learning algorithms. Electronics 2022, 11, 3518. [Google Scholar] [CrossRef]
- Chen, J.; Feng, Y.; Liu, Y.; Wu, W. On the probability of generating a primitive matrix. J. Syst. Sci. Complex. 2024, 37, 1755–1771. [Google Scholar] [CrossRef]
- Cheng, G.; Wang, L.; Xu, W.; Chen, G. Carrier index differential chaos shift keying modulation. IEEE Trans. Circuits Syst. II 2017, 64, 907–911. [Google Scholar] [CrossRef]
- Tao, Y.; Fang, Y.; Ma, H.; Mumtaz, S.; Guizani, M. Multi-carrier DCSK with hybrid index modulation: A new perspective on frequency-index-aided chaotic communication. IEEE Trans. Commun. 2022, 70, 3760–3773. [Google Scholar] [CrossRef]
- Cai, X.; Xu, W.; Wang, L.; Kolumbán, G. Design and performance analysis of a robust multi-carrier M-Ary DCSK system: A noise suppression perspective. IEEE Trans. Commun. 2022, 70, 1623–1637. [Google Scholar] [CrossRef]
- Yu, B.; Jiang, G.; Yang, H.; Jia, Y. M-ary Differential Chaos Shift Keying with Carrier Index Modulation for High-data-rate Transmission. IET Commun. 2024, 18, 1826–1839. [Google Scholar] [CrossRef]
- Tao, Y.; Fang, Y.; Chen, P.; Ma, H.; Guizani, M. Matrix reconstruction algorithm-assisted multi-carrier DCSK scheme: An effective solution for frequency-selective fading channel. IEEE Wirel. Commun. Lett. 2023, 12, 1941–1945. [Google Scholar] [CrossRef]
- Sui, T.; Feng, Y.; Jiang, Q.; Liu, F.; Zhang, T. Design and analysis of a short reference orthogonal double bit rate differential chaotic shift keying communication scheme. Electronics 2022, 11, 2020. [Google Scholar] [CrossRef]
- Fang, Y.; Tao, Y.; Ma, H.; Li, Y.; Guizani, M. Design of a reconfigurable intelligent surface- assisted FM-DCSK-SWIPT scheme with non-linear energy harvesting model. IEEE Trans. Commun. 2023, 71, 1863–1877. [Google Scholar] [CrossRef]
- Que, D.; Quyen, N.; Hoang, T.M. Performance of improved-DCSK system over land mobile satellite channel under effect of time-reversed chaotic sequences. Phys. Commun. 2021, 47, 101342. [Google Scholar] [CrossRef]
- He, L.; Lai, R.; Shao, S.; Li, Z. Design of a chaotic communication system based on deep learning with two-dimensional reshaping. IEEE Trans. Veh. Technol. 2024, 73, 10421–10434. [Google Scholar] [CrossRef]
- Cai, X.; Yuen, C.; Huang, C.; Xu, W.; Wang, L. Toward chaotic secure communications: An RIS enabled M-Ary differential chaos shift keying system with block interleaving. IEEE Trans. Commun. 2023, 71, 3541–3558. [Google Scholar] [CrossRef]
- Zhang, G.; Li, C.; Xiong, X. Analysis and comparison of four signal processing schemes for noise reduction in chaotic communication systems and application of LDPC code. Chaos Solitons Fract. 2024, 186, 115184. [Google Scholar] [CrossRef]












| Performance | MC-MCIM-MDCSK | HDR CI-DCSK | HIM-MC-DCSK | CI-DCSK |
|---|---|---|---|---|
| EE | ||||
| SE | ||||
| Data rate |
| Complexity | MC-MCIM-MDCSK | HDR CI-DCSK | HIM-MC-DCSK | CI-DCSK |
|---|---|---|---|---|
| Time complexity | ||||
| Memeory complexity | ) |
Disclaimer/Publisher’s Note: The statements, opinions and data contained in all publications are solely those of the individual author(s) and contributor(s) and not of MDPI and/or the editor(s). MDPI and/or the editor(s) disclaim responsibility for any injury to people or property resulting from any ideas, methods, instructions or products referred to in the content. |
© 2025 by the authors. Licensee MDPI, Basel, Switzerland. This article is an open access article distributed under the terms and conditions of the Creative Commons Attribution (CC BY) license (https://creativecommons.org/licenses/by/4.0/).
Share and Cite
Yu, B.; Jiang, G.-P.; Yang, H.; Jia, Y.-Q.; Liao, H.; Li, X. Modified Code Index Modulation Scheme Based on Multi-Carrier M-ary DCSK System. Entropy 2025, 27, 216. https://doi.org/10.3390/e27030216
Yu B, Jiang G-P, Yang H, Jia Y-Q, Liao H, Li X. Modified Code Index Modulation Scheme Based on Multi-Carrier M-ary DCSK System. Entropy. 2025; 27(3):216. https://doi.org/10.3390/e27030216
Chicago/Turabian StyleYu, Bin, Guo-Ping Jiang, Hua Yang, Ya-Qiong Jia, Hao Liao, and Xin Li. 2025. "Modified Code Index Modulation Scheme Based on Multi-Carrier M-ary DCSK System" Entropy 27, no. 3: 216. https://doi.org/10.3390/e27030216
APA StyleYu, B., Jiang, G.-P., Yang, H., Jia, Y.-Q., Liao, H., & Li, X. (2025). Modified Code Index Modulation Scheme Based on Multi-Carrier M-ary DCSK System. Entropy, 27(3), 216. https://doi.org/10.3390/e27030216

