Algorithms for Solving the Equilibrium Composition Model of Arc Plasma
Abstract
1. Introduction
- Based on the Saha and Guldberg–Waage equations, a plasma equilibrium composition model under local thermodynamic equilibrium and chemical equilibrium conditions was constructed by incorporating the stoichiometric number conservation equation, the charge conservation equation, and Dalton’s law of partial pressures. The model’s weak singularity was also analyzed to understand its mathematical and physical implications.
- The equilibrium composition model is fundamentally a nonlinear system of equations characterized by a weakly singular Jacobian matrix, with its iterative solution being highly sensitive to initial values. To address this challenge, HLMA and the PV–LMA were proposed for solving the model. The principles, construction processes, and solution steps of these two algorithms were explored in detail to ensure a comprehensive understanding of their application and effectiveness in overcoming the sensitivity issue.
- Taking N2, air and Mg−CO plasma as examples, HLMA and PV–LMA were used for calculations, followed by the analysis of the calculation process.
- Finally, the feasibility of the HLMA and PV–LMA algorithms was verified, with a comparison of their advantages and disadvantages.
2. Equilibrium Composition Model and Weak Singularity Analysis
2.1. Equilibrium Composition Model
2.2. Weak Singularity Analysis of Model
3. Solution Method
3.1. Homotopy Levenberg−Marquardt Algorithm (HLMA)
3.1.1. Construction of the Homotopy Equations
3.1.2. Homotopy Sequence Arranged Proportionally
3.1.3. HLMA Calculation Steps
- Determine the limit operating condition Tmax, and the number of homotopy steps Nmax; set the calculation accuracy eps < 1 × 10−15; and construct the auxiliary equations.
- Assume that the plasma contains only electrons and atomic cations with the highest valence. Construct and solve a system of Ne + 1 linear equations based on the law of conservation of charge, Dalton’s law of partial pressures, and the constancy of the total atomic number density ratio to obtain an accurate solution or reasonable initial iteration value.
- Solve the auxiliary system of equations and its square difference p to determine whether p < eps. If it is established, proceed to Step 4; otherwise, Tmax = Tmax + 1000, and return to Step 1.
- Find the maximum singular value Smax of the auxiliary system of equations.
- Calculate the scale coefficient, and set k = 0.
- Calculate the homotopy coefficient and determine the homotopy equations.
- Solve the homotopy equations with LMA and calculate the square difference p of the homotopy system of equations.
- Determine whether p < eps. If it is not established, then proceed to Step 9; otherwise, record the completed homotopy number Na = k and the homotopy control factor tc = tk−1, and proceed to Step 10.
- Determine whether Na < 10. If it is established, set Nmax = 2 × Nmax; otherwise, Nmax = Nmax, and return to Step 5.
- Determine whether k = Nmax. If it is not established, k = k + 1 and return to Step 6; otherwise, proceed to Step 11.
- The process concludes.
3.2. Parameter Variation Levenberg−Marquardt Algorithm (PV–LMA)
3.2.1. The Principle of PV–LMA
3.2.2. PV–LMA Calculation Steps
- Set the calculation accuracy eps, the parameter variation factor i, the number of variations N, indicator for localized solution process isLocal, and known solution temperature Tmax. eps is used to set the solution accuracy to ensure that the solution of the PV equation meets the calculation requirements. The variation factor and the number of variations are used to determine the coefficient of variation. isLocal identifies whether it is a local calculation process, and the solution x0 of Tmax and high temperature is used to construct an auxiliary array [b].
- Determine the variation coefficient t = 1 − i/N.
- Construct the PV system of equations H(x, t) based on the variation coefficient T.
- Solve the PV system of equations H(x, t) with LMA algorithm.
- Calculate the equation p of the PV system of equations H(x, t).
- Determine whether p < eps. If it is established, then proceed to Step 7; otherwise, N = 2 × N and return to Step 2.
- Set i = i + 1, calculate the variation coefficient t, t = 1 − i/N.
- Construct the PV system of equations H(x,t) based on the variation coefficient T.
- Solve the PV system of equations H(x,t) with the LMA algorithm.
- Calculate the equation p of the PV system of equations H(x,t).
- Determine whether p < eps. If it is established, then proceed to Step 15; otherwise, return to Step 12.
- Set NL = 10, isLocal = true, k = 1, and calculate dt = 1/(NL × N).
- Calculate the compilation parameter t, t = t − (NL − k) × dt.
- Perform Steps 8, 9, and 10.
- Determine whether isLocal = true. If it is established, then proceed to Step 16; otherwise, proceed to Step 17.
- Set k = k + 1, and execute steps 13 and 14.
- Determine whether i = N. If it is established, then proceed to Step 18; otherwise, return to Step 7.
- The process concludes.
3.3. Comparison of PV–LMA and HLMA Algorithms
4. Calculation Examples
4.1. Nitrogen Plasma
4.2. Air Plasma
4.3. Mg50%−CO 50% Plasma
4.4. Comparison of HLMA and PV–LMA
5. Conclusions
- The fundamental concept of “the provision of a reasonable initial value for LMA solution of the n-th homotopy equations through (n-1)-th homotopy calculation” is particularly well suited for the resolution of weak singular nonlinear equations composed of plasma equilibrium component models. Furthermore, it offers a method for establishing the initial value necessary for the solution of nonlinear equations.
- Both HLMA and PV–LMA can be used to solve the equilibrium composition model. The calculation accuracy ||F|| in all three of the selected examples was less than 1 × 10−15.
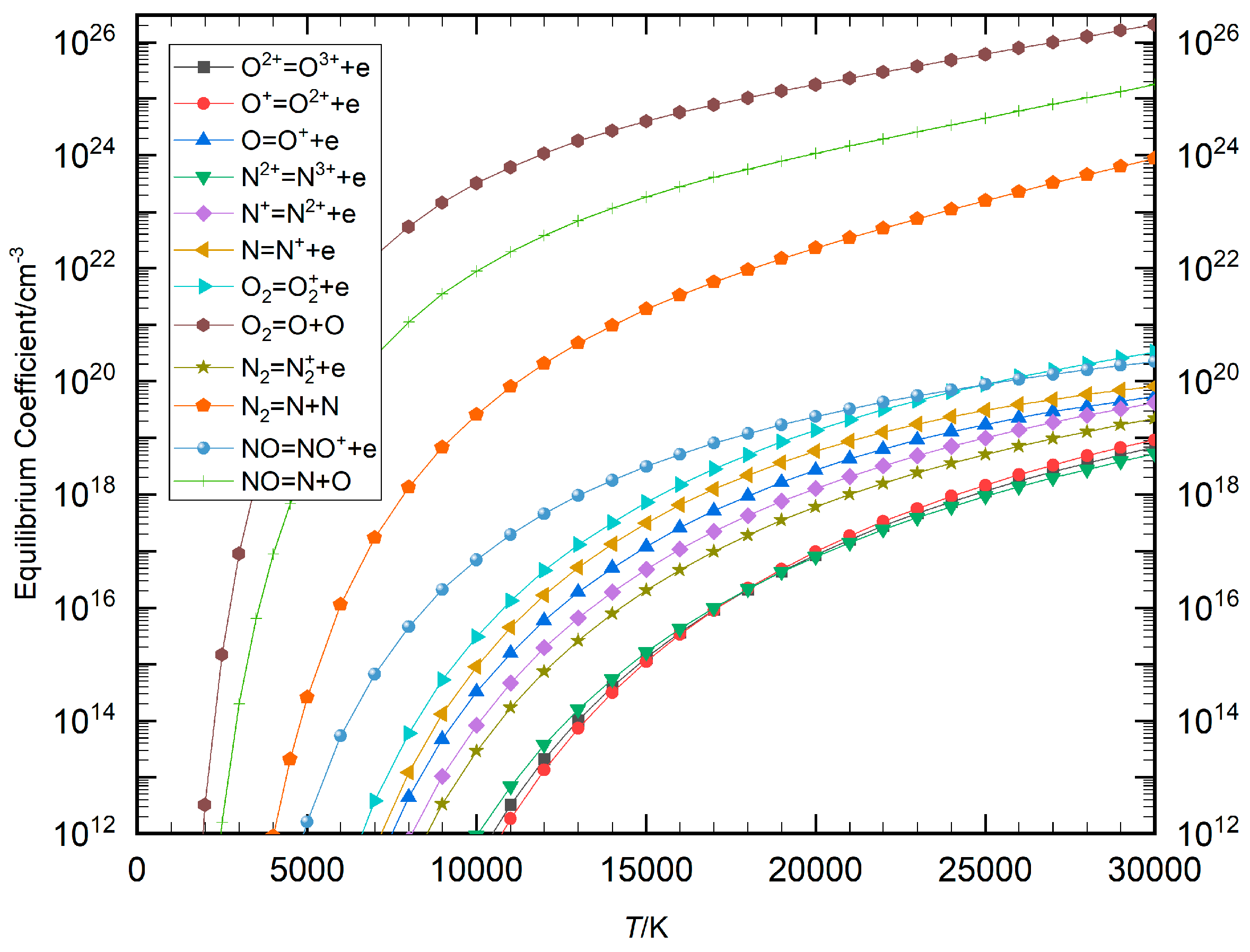
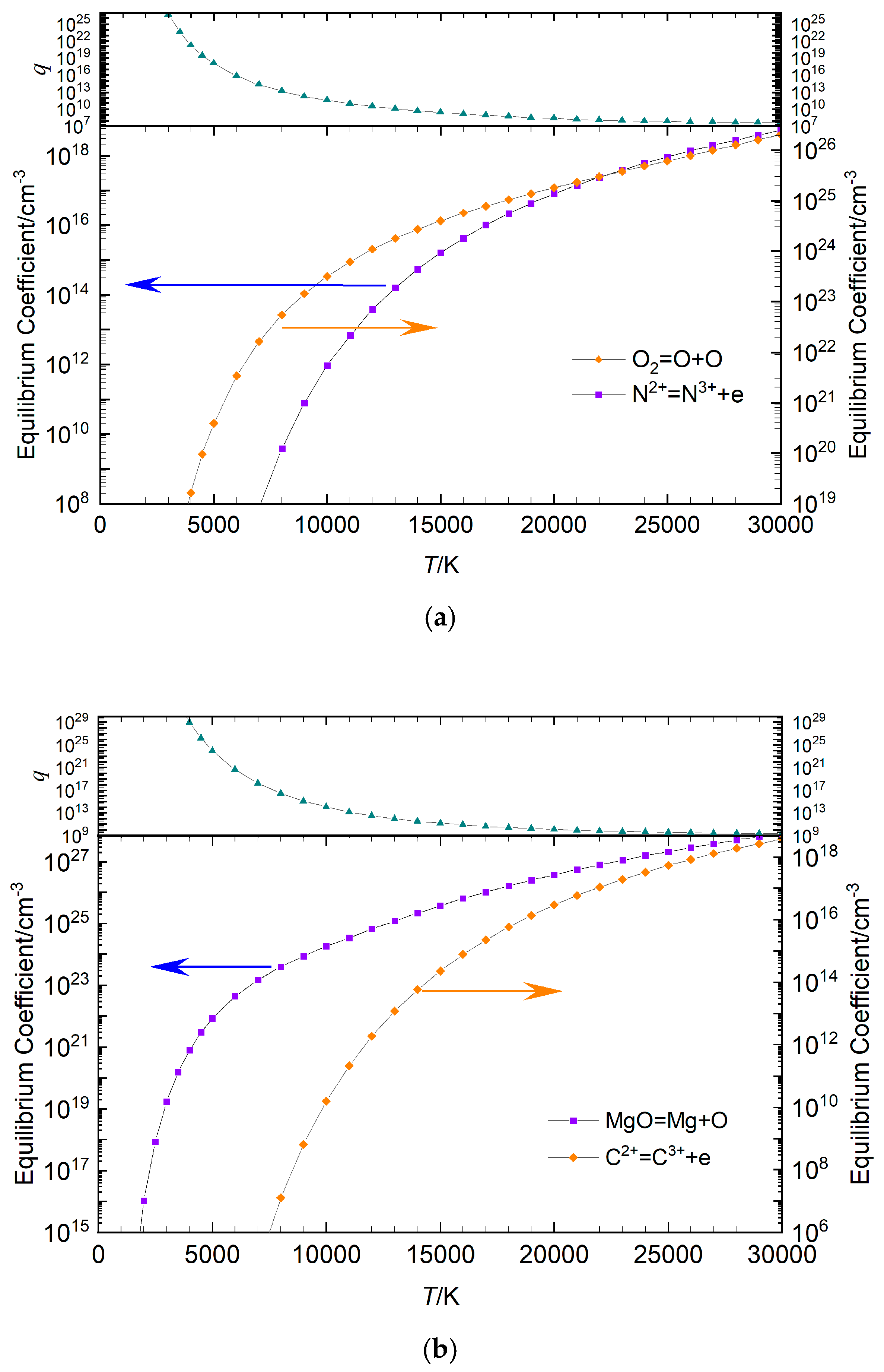
- The disparity in the equilibrium coefficients of the Saha and Guldberg–Waage equations is the primary cause of singularity in the nonlinear system of equations representing the plasma equilibrium composition model. A reasonable hypothesis for simplifying this model is that, at high temperatures (e.g., 30,000 K), the plasma predominantly consists of electrons and atomic cations with the highest valence. Under this assumption, accurate solutions can be obtained using the LMA.
- HLMA is suitable for solving nonlinear systems of equations with singularity when auxiliary equations are available, and the difference tk-tk−1 between consecutive homotopy control factors is small. This small difference helps maintain the continuity of the HLMA process. In contrast, PV–LMA lacks a control factor sequence with a specialized structure, meaning it cannot ensure the continuity of the calculation process by adjusting Δt = tk−tk−1 between control factors. This limitation makes PV–LMA more susceptible to calculation failure.
- In the three examples, HLMA required 100, 100, and 250 calculations, whereas PV–LMA needed only 20, 10, and 80 calculations, respectively. This demonstrates that PV–LMA has a higher computational efficiency compared to HLMA. However, PV–LMA carries an increased risk of falling into local optimality, which can lead to calculation failure in certain cases.
Author Contributions
Funding
Data Availability Statement
Conflicts of Interest
References
- Wang, X.; Zhong, L.; Cressault, Y.; Gleizes, A.; Rong, M. Thermophysical properties of SF6-Cu mixtures at temperatures of 300–30,000 K and pressures of 0.01–1.0 MPa: Part 2. Collision integrals and transport coefficients. J. Phys. D Appl. Phys. 2014, 47, 495201. [Google Scholar] [CrossRef]
- Zhong, L.; Murphy, A.B.; Wang, X.; Rong, M. Calculation of two-temperature plasma composition: I. Mass action law methods and extremum searching methods. J. Phys. D Appl. Phys. 2019, 53, 065202. [Google Scholar] [CrossRef]
- Gleizes, A.; Gonzalez, J.J.; Freton, P. Thermal plasma modelling. J. Phys. D Appl. Phys. 2005, 38, R153. [Google Scholar] [CrossRef]
- Murphy, A.B. Thermal plasmas in gas mixtures. J. Phys. D Appl. Phys. 2001, 34, R151–R173. [Google Scholar] [CrossRef]
- Wang, W.; Rong, M.; Spencer, J.W. Nonuniqueness of two-temperature Guldberg-Waage and Saha equations: Influence on thermophysical properties of SF6 plasmas. Phys. Plasmas 2013, 20, 113504. [Google Scholar] [CrossRef]
- White, W.B.; Johnson, S.M.; Dantzig, G.B. Chemical Equilibrium in Complex Mixtures. J. Chem. Phys. 1958, 28, 751–755. [Google Scholar] [CrossRef]
- McBride, B.; Gordon, S. Computer Program for Calculation of Complex Chemical Equilibrium Compositions and Applications. I: Analysis; NASA: Washington, DC, USA, 1996; Volume 19. [Google Scholar]
- Wang, W.Z.; Murphy, A.B.; Yan, J.D.; Rong, M.Z.; Spencer, J.W.; Fang, M.T.C.; Processing, P. Thermophysical Properties of High-Temperature Reacting Mixtures of Carbon and Water in the Range 400–30,000 K and 0.1–10 atm. Part 1: Equilibrium Composition and Thermodynamic Properties. Plasma Chem. 2012, 32, 75–96. [Google Scholar] [CrossRef]
- Gleizes, A.; Chervy, B.; Gonzalez, J.J. Calculation of a two-temperature plasma composition: Bases and application to SF6. J. Phys. D Appl. Phys. 1999, 32, 2060–2067. [Google Scholar] [CrossRef]
- Colombo, V.; Ghedini, E.; Sanibondi, P. Thermodynamic and transport properties in non-equilibrium argon, oxygen and nitrogen thermal plasmas. Prog. Nucl. Energy 2008, 50, 921–933. [Google Scholar] [CrossRef]
- Godin, D.; Trépanier, J.Y. A Robust and Efficient Method for the Computation of Equilibrium Composition in Gaseous Mixtures. Plasma Chem. Plasma Process. 2004, 24, 447–473. [Google Scholar] [CrossRef]
- Smith, W.R. The Computation of Chemical Equilibria in Complex Systems. Ind. Eng. Chem. Fundam. 1980, 19, 1–10. [Google Scholar] [CrossRef]
- Frolov, V.Y.; Ivanov, D.V. Calculation of a plasma composition and its thermophysical properties in cases of maintaining or quenching of electric arcs. J. Phys. Conf. Ser. 2018, 1058, 012040. [Google Scholar] [CrossRef]
- Rydalevskaya, M.A. Simplified method for calculation of equilibrium plasma composition. Phys. A Stat. Mech. Its Appl. 2017, 476, 49–57. [Google Scholar] [CrossRef]
- Murphy, A.B.; Arundelli, C.J.; Processing, P. Transport coefficients of argon, nitrogen, oxygen, argon-nitrogen, and argon-oxygen plasmas. Plasma Chem. 1994, 14, 451–490. [Google Scholar] [CrossRef]
- Saifutdinov, A.I. Numerical study of various scenarios for the formation of atmospheric pressure DC discharge characteristics in argon: From glow to arc discharge. Plasma Sources Sci. Technol. 2022, 31, 094008. [Google Scholar] [CrossRef]
- Kumar, M.; Singh, A.K.; Srivastava, A. Various Newton-type iterative methods for solving nonlinear equations. J. Egypt. Math. Soc. 2013, 21, 334–339. [Google Scholar] [CrossRef]
- Li, W.; Deng, Z.; Zhang, S. Improved Newton iteration for nonlinear matrix equations on quadratic Lie groups. Appl. Math. Comput. 2006, 183, 447–457. [Google Scholar] [CrossRef]
- Chen, L. A high-order modified Levenberg-Marquardt method for systems of nonlinear equations with fourth-order convergence. Appl. Math. Comput. 2016, 285, 79–93. [Google Scholar] [CrossRef]
- Fan, J.; Zeng, J. A Levenberg–Marquardt algorithm with correction for singular system of nonlinear equations. Appl. Math. Comput. 2013, 219, 9438–9446. [Google Scholar] [CrossRef]
- He, Y.; Ma, C.; Fan, B. A corrected Levenberg–Marquardt algorithm with a nonmonotone line search for the system of nonlinear equations. Appl. Math. Comput. 2015, 260, 159–169. [Google Scholar] [CrossRef]
- Amat, S.; Hernández-Verón, M.A.; Rubio, M.J. Improving the applicability of the secant method to solve nonlinear systems of equations. Appl. Math. Comput. 2014, 247, 741–752. [Google Scholar] [CrossRef]
- Hui, Z.; De-Sheng, L.; Yu-Zhong, L. A new method of secant-like for nonlinear equations. Commun. Nonlinear Sci. Numer. Simul. 2009, 14, 2923–2927. [Google Scholar] [CrossRef]
- Herzberg, G.; Mrozowski, S. Molecular Spectra and Molecular Structure. I. Spectra of Diatomic Molecules; D.Van Nostrand Co: New York, NY, USA, 1950. [Google Scholar]
- Hara, T. A stability result for elliptic equations with singular nonlinearity and its applications to homogenization problems. J. Math. Anal. Appl. 2023, 528, 127509. [Google Scholar] [CrossRef]
- Georgiev, V.; Kubo, H. Global solvability for nonlinear wave equations with singular potential. J. Differ. Equ. 2023, 375, 514–537. [Google Scholar] [CrossRef]
- Bilasse, M.; Charpentier, I.; Daya, E.M.; Koutsawa, Y. A generic approach for the solution of nonlinear residual equations. Part II: Homotopy and complex nonlinear eigenvalue method. Comput. Methods Appl. Mech. Eng. 2009, 198, 3999–4004. [Google Scholar] [CrossRef]
- Odibat, Z. An improved optimal homotopy analysis algorithm for nonlinear differential equations. J. Math. Anal. Appl. 2020, 488, 124089. [Google Scholar] [CrossRef]
- Abbasbandy, S. Approximate solution for the nonlinear model of diffusion and reaction in porous catalysts by means of the homotopy analysis method. Chem. Eng. J. 2008, 136, 144–150. [Google Scholar] [CrossRef]
- Wu, T.-M. A study of convergence on the Newton-homotopy continuation method. Appl. Math. Comput. 2005, 168, 1169–1174. [Google Scholar] [CrossRef]
- Levenberg, K. A Method for the Solution of Certain Non-Linear Problems in Least Squares. Q. Appl. Math. 1944, 2, 164–168. [Google Scholar] [CrossRef]
- Gdawiec, K.; Argyros, I.K.; Qureshi, S.; Soomro, A. An optimal homotopy continuation method: Convergence and visual analysis. J. Comput. Sci. 2023, 74, 102166. [Google Scholar] [CrossRef]
- Su, M.; Hua, Q. Solving nonlinear programming problems via a homotopy continuation method under three unbounded conditions. Nonlinear Anal. Theory Methods Appl. 2009, 70, 3099–3103. [Google Scholar] [CrossRef]
- Brown, D.A.; Zingg, D.W. A monolithic homotopy continuation algorithm with application to computational fluid dynamics. J. Comput. Phys. 2016, 321, 55–75. [Google Scholar] [CrossRef]
- Khan, Y.; Sayevand, K.; Fardi, M.; Ghasemi, M. A novel computing multi-parametric homotopy approach for system of linear and nonlinear Fredholm integral equations. Appl. Math. Comput. 2014, 249, 229–236. [Google Scholar] [CrossRef]
- Tong, S.; Wang, W.; Han, B. Accelerated homotopy perturbation iteration method for a non-smooth nonlinear ill-posed problem. Appl. Numer. Math. 2021, 169, 122–145. [Google Scholar] [CrossRef]
- El-Dib, Y.O. Homotopy perturbation method with rank upgrading technique for the superior nonlinear oscillation. Math. Comput. Simul. 2021, 182, 555–565. [Google Scholar] [CrossRef]









| Method | Auxiliary Equations | Homotopy Sequence | Initial Value | Solution Method |
|---|---|---|---|---|
| HLMA | High temperature composition model | Geometric series | High temperature composition | LMA |
| PV–LMA | One-dimensional array | Arithmetic sequence | High temperature composition | LMA |
| Neutral Particles | N2, N |
| Ions | N2+, N+, N2+, N3+ |
| Electron | e |
| Serial Number | Chemical Reaction | Serial Number | Chemical Reaction |
|---|---|---|---|
| 1 | N2 ⇌ N + N | 2 | N2 ⇌ N2+ + e |
| 3 | N ⇌ N+ + e | 4 | N+ ⇌ N2+ + e |
| 5 | N2+ ⇌ N3+ + e |
| t | e | N | N+ | N2+ | N3+ | N2 | N2+ |
|---|---|---|---|---|---|---|---|
| 0 | 8.67 × 1016 | 4.42 × 1017 | 8.30 × 1016 | 1.83 × 1015 | 7.69 × 1011 | 9.56 × 1014 | 8.02 × 1012 |
| 1 | 2.47 × 1016 | 6.67 × 1017 | 2.46 × 1016 | 8.31 × 1013 | 3.08 × 109 | 1.71 × 1016 | 1.99 × 1013 |
| Neutral Particles | N2, O2, N, O, NO |
| Ions | N2+, O2+, NO+, N+, N2+, N3+, O+, O2+, O3+ |
| Electron | e |
| Serial Number | Chemical Reaction | Serial Number | Chemical Reaction |
|---|---|---|---|
| 1 | N2 ⇌ N + N | 7 | N ⇌ N+ + e |
| 2 | N2 ⇌ N2+ + e | 8 | N+ ⇌ N2+ + e |
| 3 | O2 ⇌ O + O | 9 | N2+ ⇌ N3+ + e |
| 4 | O2 ⇌ O2+ + e | 10 | O ⇌ O+ + e |
| 5 | NO ⇌ N + O | 11 | O+ ⇌ O2+ + e |
| 6 | NO ⇌ NO+ + e | 12 | O2+ ⇌ O3+ + e |
| t | e | N | N+ | N2+ | N2 | N2+ |
|---|---|---|---|---|---|---|
| 0 | 6.78 × 1013 | 2.68 × 1017 | 2.31 × 1015 | 4.63 × 1014 | 4.65 × 1017 | 2.01 × 1015 |
| 1 | 2.18 × 1014 | 9.00 × 1016 | 3.94 × 1012 | 6.76 × 106 | 7.24 × 1017 | 2.88 × 1011 |
| NO | NO+ | O | O+ | O2+ | O2 | O2+ |
| 3.31 × 1014 | 1.71 × 1015 | 3.19 × 1017 | 8.74 × 1014 | 5.69 × 1006 | 6.59 × 1012 | 8.8 × 1013 |
| 8.32 × 1014 | 2.06 × 1014 | 4.08 × 1017 | 7.83 × 1012 | 8.74 × 1003 | 4.92 × 1013 | 2.27 × 1010 |
| Neutral Particles | CO, O2, C2, O, C, Mg, MgO, CO2 |
| Ions | O2+, CO+, O+, O2+, O3+, C+, C2+, C3+, Mg+, Mg2+ |
| Electron | e |
| Serial Number | Chemical Reaction | Serial Number | Chemical Reaction |
|---|---|---|---|
| 1 | CO2 ⇌ CO + O | 9 | C+ ⇌ C2+ + e |
| 2 | CO ⇌ C + O | 10 | C2+ ⇌ C3+ + e |
| 3 | MgO ⇌ Mg + O | 11 | O ⇌ O+ + e |
| 4 | C2 ⇌ C + C | 12 | O+ ⇌ O2+ + e |
| 5 | O2 ⇌ O + O | 13 | O2+ ⇌ O3+ + e |
| 6 | CO ⇌ CO+ + e | 14 | Mg ⇌ Mg+ + e |
| 7 | O2 ⇌ O2+ + e | 15 | Mg+ ⇌ Mg2+ + e |
| 8 | C ⇌ C+ + e |
| t | C | C+ | C2+ | C3+ | C2 | CO |
|---|---|---|---|---|---|---|
| 0 | 2.08 × 1010 | 6.39 × 1012 | 1.15 × 1015 | 2.16 × 1016 | 5.41 × 10−36 | 1.27 × 10−35 |
| 1 | 1.32629 × 1012 | 1.8 × 1014 | 7.73 × 1015 | 2 × 1016 | 1.35 × 10−3 | 5.14 × 100 |
| CO+ | CO2 | e | Mg | Mg+ | Mg2+ | MgO |
| 6.06 × 10−28 | 2.38 × 10−44 | 1.81 × 1017 | 1.6 × 1010 | 1.21 × 1013 | 2.31 × 1016 | 1.25 × 10−32 |
| 7.98 × 1002 | 3.49 × 10−10 | 2.1 × 1017 | 7.68 × 1010 | 2.72 × 1013 | 2.79 × 1016 | 8.40 × 10−8 |
| O | O+ | O2+ | O3+ | O2 | O2+ | precision |
| 5.07 × 1010 | 1.39645 × 1013 | 6.46 × 1014 | 2.21 × 1016 | 7.59 × 10−35 | 1.22 × 10−26 | 2.25 × 10−16 |
| 7.32 × 1012 | 6.00223 × 1014 | 4.2 × 1015 | 2.31 × 1016 | 1.27 × 101 | 7.30 × 104 | 1.11 × 10−16 |
Disclaimer/Publisher’s Note: The statements, opinions and data contained in all publications are solely those of the individual author(s) and contributor(s) and not of MDPI and/or the editor(s). MDPI and/or the editor(s) disclaim responsibility for any injury to people or property resulting from any ideas, methods, instructions or products referred to in the content. |
© 2024 by the authors. Licensee MDPI, Basel, Switzerland. This article is an open access article distributed under the terms and conditions of the Creative Commons Attribution (CC BY) license (https://creativecommons.org/licenses/by/4.0/).
Share and Cite
Chi, Z.; Ji, Y.; Liu, N.; Jiang, T.; Liu, X.; Zhang, W. Algorithms for Solving the Equilibrium Composition Model of Arc Plasma. Entropy 2025, 27, 24. https://doi.org/10.3390/e27010024
Chi Z, Ji Y, Liu N, Jiang T, Liu X, Zhang W. Algorithms for Solving the Equilibrium Composition Model of Arc Plasma. Entropy. 2025; 27(1):24. https://doi.org/10.3390/e27010024
Chicago/Turabian StyleChi, Zhongyuan, Yuzhang Ji, Ningning Liu, Tianchi Jiang, Xin Liu, and Weijun Zhang. 2025. "Algorithms for Solving the Equilibrium Composition Model of Arc Plasma" Entropy 27, no. 1: 24. https://doi.org/10.3390/e27010024
APA StyleChi, Z., Ji, Y., Liu, N., Jiang, T., Liu, X., & Zhang, W. (2025). Algorithms for Solving the Equilibrium Composition Model of Arc Plasma. Entropy, 27(1), 24. https://doi.org/10.3390/e27010024

