Magnetocaloric Effect for a Q-Clock-Type System
Abstract
1. Introduction
2. Spin Model
Q-State Clock Model
3. Monte Carlo Simulations
3.1. Thermal Averages
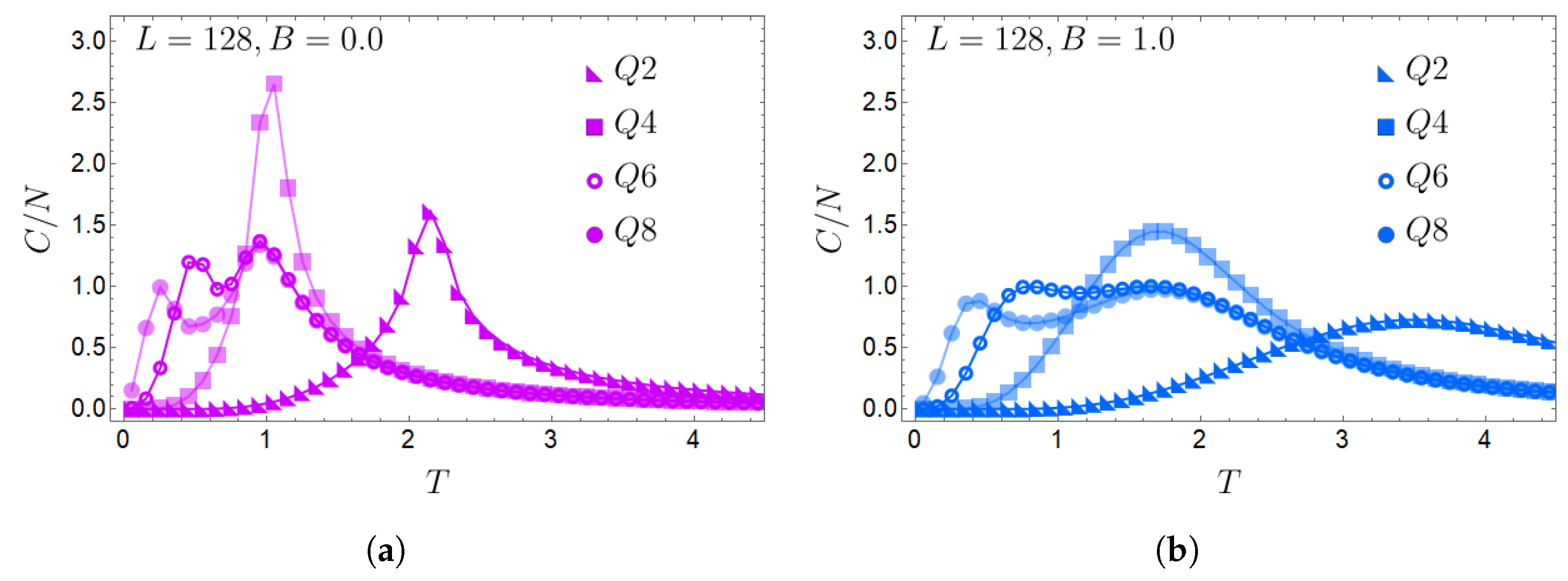
3.2. Selection of the Lattice Size
4. Analysis of Thermodynamic Quantities
5. Magnetocaloric Phenomena
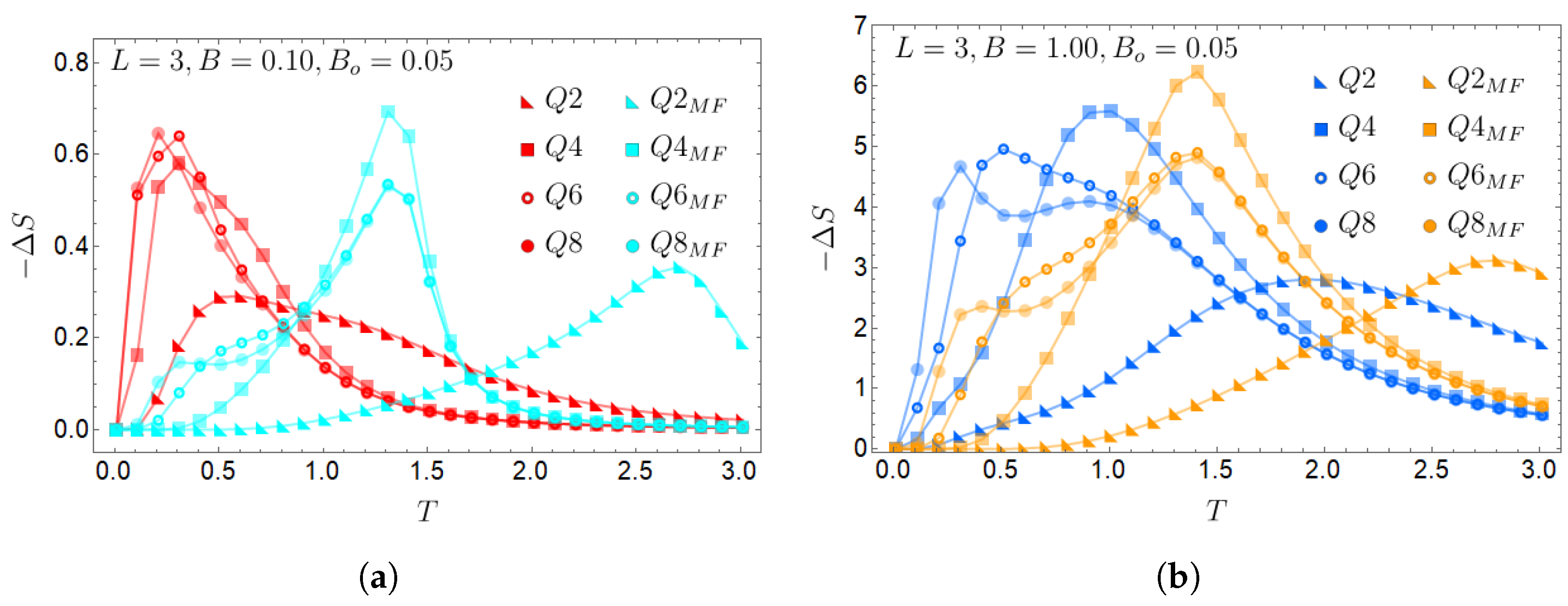
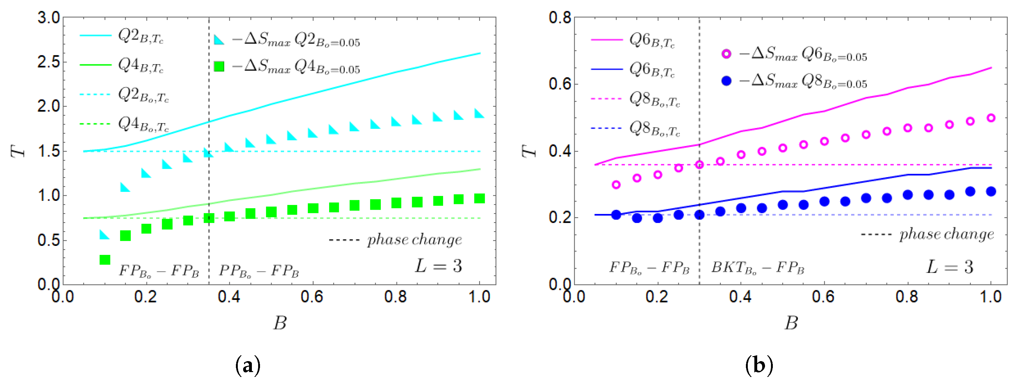
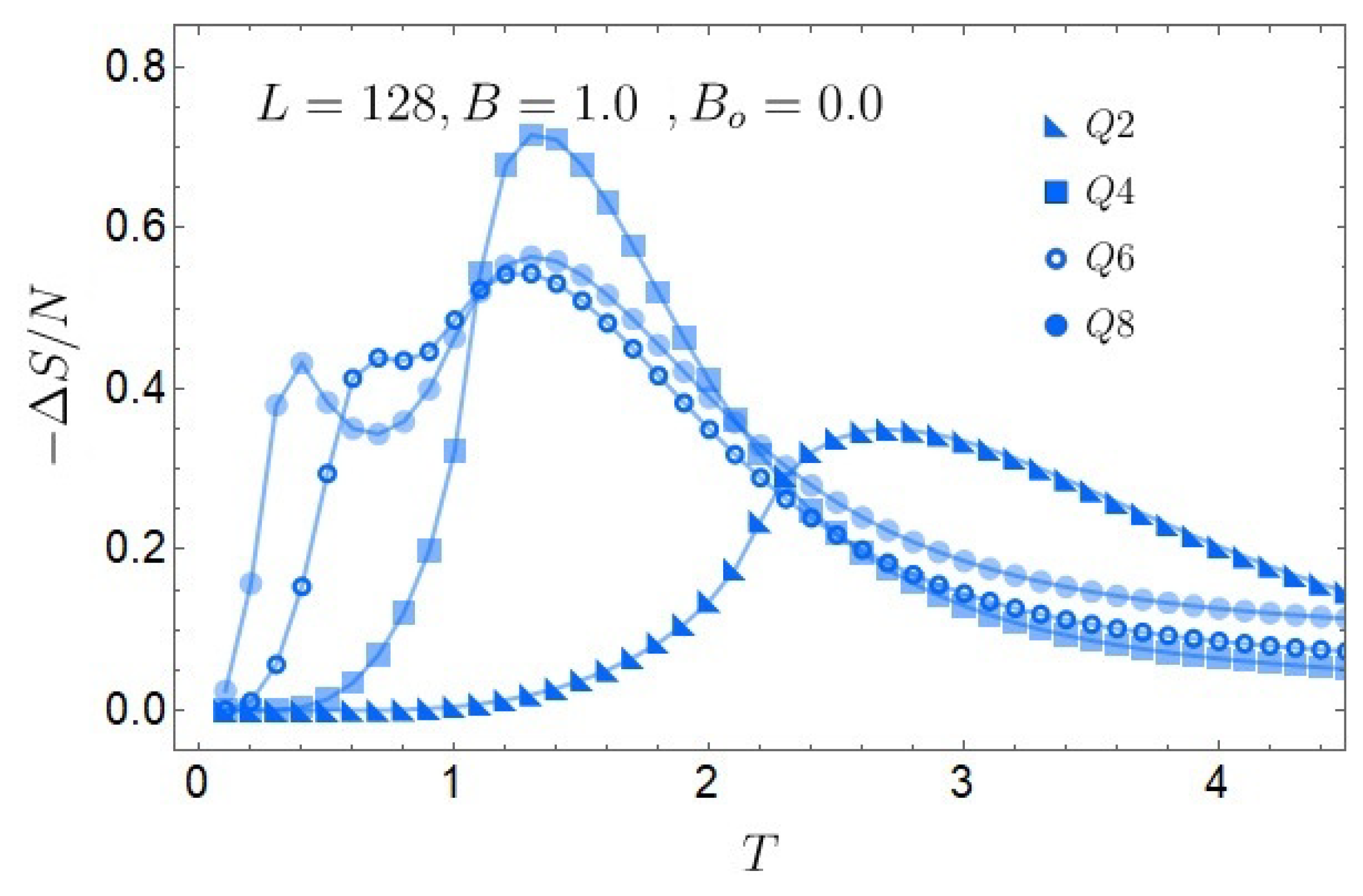
6. Results
6.1. Direct or Indirect Caloric Response?
6.2. What Q Value Has the Better Magnetocaloric Response?
7. Conclusions
Author Contributions
Funding
Institutional Review Board Statement
Data Availability Statement
Conflicts of Interest
Appendix A. Exact and Mean-Field Approximation
Small Lattices



References
- Reis, M.S.; Ma, N. Caloric effects of quantum materials: An outlook. Phys. Open 2020, 4, 100028. [Google Scholar] [CrossRef]
- Ram, N.R.; Prakash, M.; Naresh, U.; Kumar, N.S.; Sarmash, T.S.; Subbarao, T.; Kumar, R.J.; Kumar, G.R.; Naidu, K.C.B. Review on magnetocaloric effect and materials. J. Supercond. Nov. Magn. 2018, 31, 1971–1979. [Google Scholar] [CrossRef]
- Cirillo, L.; Greco, A.; Masselli, C. Cooling through barocaloric effect: A review of the state of the art up to 2022. Therm. Sci. Eng. Prog. 2022, 33, 101380. [Google Scholar] [CrossRef]
- Li, B.; Kawakita, Y.; Ohira-Kawamura, S.; Sugahara, T.; Wang, H.; Wang, J.; Chen, Y.; Kawaguchi, S.I.; Kawaguchi, S.; Ohara, K.; et al. Colossal barocaloric effects in plastic crystals. Nature 2019, 567, 506–510. [Google Scholar] [CrossRef] [PubMed]
- Matsunami, D.; Fujita, A.; Takenaka, K.; Kano, M. Giant barocaloric effect enhanced by the frustration of the antiferromagnetic phase in Mn 3 GaN. Nat. Mater. 2015, 14, 73–78. [Google Scholar] [CrossRef]
- Ma, N.; Reis, M.S. Barocaloric effect on graphene. Sci. Rep. 2017, 7, 13257. [Google Scholar] [CrossRef]
- Xiao, F.; Jin, M.; Liu, J.; Jin, X. Elastocaloric effect in Ni50Fe19Ga27Co4 single crystals. Acta Mater. 2015, 96, 292–300. [Google Scholar] [CrossRef]
- Chen, J.; Lei, L.; Fang, G. Elastocaloric cooling of shape memory alloys: A review. Mater. Today Commun. 2021, 28, 102706. [Google Scholar] [CrossRef]
- Cong, D.; Xiong, W.; Planes, A.; Ren, Y.; Mañosa, L.; Cao, P.; Nie, Z.; Sun, X.; Yang, Z.; Hong, X.; et al. Colossal elastocaloric effect in ferroelastic Ni-Mn-Ti alloys. Phys. Rev. Lett. 2019, 122, 255703. [Google Scholar] [CrossRef] [PubMed]
- Chauhan, A.; Patel, S.; Vaish, R. Elastocaloric effect in ferroelectric ceramics. Appl. Phys. Lett. 2015, 106, 172901. [Google Scholar] [CrossRef]
- Chauhan, A.; Patel, S.; Vaish, R.; Bowen, C.R. A review and analysis of the elasto-caloric effect for solid-state refrigeration devices: Challenges and opportunities. Mrs Energy Sustain. 2015, 2, E16. [Google Scholar] [CrossRef]
- Mischenko, A.; Zhang, Q.; Scott, J.; Whatmore, R.; Mathur, N. Giant electrocaloric effect in thin-film PbZr0.95Ti0.05O3. Science 2006, 311, 1270–1271. [Google Scholar] [CrossRef]
- Liu, Y.; Scott, J.F.; Dkhil, B. Direct and indirect measurements on electrocaloric effect: Recent developments and perspectives. Appl. Phys. Rev. 2016, 3, 031102. [Google Scholar] [CrossRef]
- Correia, T.; Zhang, Q. Electrocaloric effect: An introduction. In Electrocaloric Materials: New Generation of Coolers; Springer: Berlin/Heidelberg, Germany, 2013; pp. 1–15. [Google Scholar]
- Jia, Y.; Sungtaek Ju, Y. A solid-state refrigerator based on the electrocaloric effect. Appl. Phys. Lett. 2012, 100, 242901. [Google Scholar] [CrossRef]
- Tishin, A.M.; Spichkin, Y.I. The Magnetocaloric Effect and Its Applications; CRC Press: Boca Raton, FL, USA, 2016. [Google Scholar]
- De Oliveira, N.; von RANKE, P.J. Theoretical aspects of the magnetocaloric effect. Phys. Rep. 2010, 489, 89–159. [Google Scholar] [CrossRef]
- Pecharsky, V.K.; Gschneidner, K.A., Jr. Magnetocaloric effect and magnetic refrigeration. J. Magn. Magn. Mater. 1999, 200, 44–56. [Google Scholar] [CrossRef]
- Franco, V.; Blázquez, J.; Ipus, J.; Law, J.; Moreno-Ramírez, L.; Conde, A. Magnetocaloric effect: From materials research to refrigeration devices. Prog. Mater. Sci. 2018, 93, 112–232. [Google Scholar]
- Reis, M.S. Magnetocaloric and barocaloric effects of metal complexes for solid state cooling: Review, trends and perspectives. Coord. Chem. Rev. 2020, 417, 213357. [Google Scholar] [CrossRef]
- Reis, M. Oscillating magnetocaloric effect on graphenes. Appl. Phys. Lett. 2012, 101, 222405. [Google Scholar] [CrossRef]
- Reis, M.S. Oscillating magnetocaloric effect. Appl. Phys. Lett. 2011, 99, 052511. [Google Scholar] [CrossRef]
- Reis, M. Diamagnetic magnetocaloric effect due to a transversal oscillating magnetic field. Phys. Lett. A 2014, 378, 1903–1905. [Google Scholar] [CrossRef][Green Version]
- Martínez-Rojas, P.; Benavides-Vergara, M.E.; Peña, F.J.; Vargas, P. Caloric Effect Due to the Aharonov–Bohm Flux in an Antidot. Nanomaterials 2023, 13, 2714. [Google Scholar] [CrossRef] [PubMed]
- Negrete, O.A.; Peña, F.J.; Vargas, P. Magnetocaloric effect in an antidot: The effect of the Aharonov-Bohm flux and antidot radius. Entropy 2018, 20, 888. [Google Scholar] [CrossRef] [PubMed]
- Negrete, O.A.; Peña, F.J.; Florez, J.M.; Vargas, P. Magnetocaloric effect in non-interactive electron systems: “The Landau Problem” and Its extension to quantum dots. Entropy 2018, 20, 557. [Google Scholar] [CrossRef] [PubMed]
- Tegus, O.; Brück, E.; Zhang, L.; Buschow, K.; De Boer, F. Magnetic-phase transitions and magnetocaloric effects. Phys. B Condens. Matter 2002, 319, 174–192. [Google Scholar] [CrossRef]
- Tishin, A.; Gschneidner, K., Jr.; Pecharsky, V. Magnetocaloric effect and heat capacity in the phase-transition region. Phys. Rev. B 1999, 59, 503. [Google Scholar] [CrossRef]
- De Oliveira, N.; Von Ranke, P. Magnetocaloric effect around a magnetic phase transition. Phys. Rev. B 2008, 77, 214439. [Google Scholar] [CrossRef]
- Franco, V.; Conde, A.; Kuz’Min, M.; Romero-Enrique, J. The magnetocaloric effect in materials with a second order phase transition: Are TC and Tpeak necessarily coincident? J. Appl. Phys. 2009, 105, 07A917. [Google Scholar] [CrossRef]
- Halder, M.; Yusuf, S.; Mukadam, M.; Shashikala, K. Magnetocaloric effect and critical behavior near the paramagnetic to ferrimagnetic phase transition temperature in TbCo2−xFex. Phys. Rev. B 2010, 81, 174402. [Google Scholar] [CrossRef]
- Shamberger, P.J.; Ohuchi, F. Hysteresis of the martensitic phase transition in magnetocaloric-effect Ni-Mn-Sn alloys. Phys. Rev. B 2009, 79, 144407. [Google Scholar] [CrossRef]
- Zhang, C.; Wang, D.; Cao, Q.; Han, Z.; Xuan, H.; Du, Y. Magnetostructural phase transition and magnetocaloric effect in off-stoichiometric Mn1. 9- xNixGe alloys. Appl. Phys. Lett. 2008, 93, 122505. [Google Scholar] [CrossRef]
- Tobochnik, J. Properties of the q-state clock model for q = 4, 5, and 6. Phys. Rev. B 1982, 26, 6201. [Google Scholar] [CrossRef]
- Li, Z.Q.; Yang, L.P.; Xie, Z.; Tu, H.H.; Liao, H.J.; Xiang, T. Critical properties of the two-dimensional q-state clock model. Phys. Rev. E 2020, 101, 060105. [Google Scholar] [CrossRef]
- Miyajima, Y.; Murata, Y.; Tanaka, Y.; Mochizuki, M. Machine learning detection of Berezinskii-Kosterlitz-Thouless transitions in q-state clock models. Phys. Rev. B 2021, 104, 075114. [Google Scholar] [CrossRef]
- Lupo, C.; Ricci-Tersenghi, F. Approximating the XY model on a random graph with a q-state clock model. Phys. Rev. B 2017, 95, 054433. [Google Scholar] [CrossRef]
- Ilker, E.; Berker, A.N. Odd q-state clock spin-glass models in three dimensions, asymmetric phase diagrams, and multiple algebraically ordered phases. Phys. Rev. E 2014, 90, 062112. [Google Scholar] [CrossRef] [PubMed]
- Chatterjee, S.; Sutradhar, S.; Puri, S.; Paul, R. Ordering kinetics in a q-state random-bond clock model: Role of vortices and interfaces. Phys. Rev. E 2020, 101, 032128. [Google Scholar] [CrossRef] [PubMed]
- Ali, A.; Xu, H.; Bernoudy, W.; Nocera, A.; King, A.D.; Banerjee, A. Quantum Quench Dynamics of Geometrically Frustrated Ising Models. arXiv 2024, arXiv:2403.00091. [Google Scholar]
- Negrete, O.A.; Vargas, P.; Peña, F.J.; Saravia, G.; Vogel, E.E. Short-Range Berezinskii-Kosterlitz-Thouless Phase Characterization for the q-State Clock Model. Entropy 2021, 23, 1019. [Google Scholar] [CrossRef]
- Negrete, O.A.; Vargas, P.; Peña, F.J.; Saravia, G.; Vogel, E.E. Entropy and Mutability for the q-state Clock Model in Small Systems. Entropy 2018, 20, 933. [Google Scholar] [CrossRef] [PubMed]
- Aguilera, M.A.; Peña, F.J.; Negrete, O.A.; Vargas, P. Otto Engine for the q-State Clock Model. Entropy 2022, 24, 268. [Google Scholar] [CrossRef]
- Elitzur, S.; Pearson, R.; Shigemitsu, J. Phase structure of discrete Abelian spin and gauge systems. Phys. Rev. D 1979, 19, 3698. [Google Scholar] [CrossRef]
- Cardy, J. General discrete planar models in two dimensions: Duality properties and phase diagrams. J. Phys. Math. Gen. 1980, 13, 1507. [Google Scholar] [CrossRef]
- Fröhlich, J.; Spencer, T. The Kosterlitz-Thouless transition in two-dimensional abelian spin systems and the Coulomb gas. Commun. Math. Phys. 1981, 81, 527–602. [Google Scholar] [CrossRef]
- Ortiz, G.; Cobanera, E.; Nussinov, Z. Dualities and the phase diagram of the p-clock model. Nucl. Phys. B 2012, 854, 780–814. [Google Scholar] [CrossRef]
- Kumano, Y.; Hukushima, K.; Tomita, Y.; Oshikawa, M. Response to a twist in systems with Z p symmetry: The two-dimensional p-state clock model. Phys. Rev. B 2013, 88, 104427. [Google Scholar] [CrossRef]
- Kim, D.H. Partition function zeros of the p-state clock model in the complex temperature plane. Phys. Rev. E 2017, 96, 052130. [Google Scholar] [CrossRef]
- Tuan, L.M.; Long, T.T.; Nui, D.X.; Minh, P.T.; Trung Kien, N.D.; Viet, D.X. Binder ratio in the two-dimensional q-state clock model. Phys. Rev. E 2022, 106, 034138. [Google Scholar] [CrossRef] [PubMed]
- Wang, R.; Nisoli, C.; Freitas, R.; Li, J.; McConville, W.; Cooley, B.; Lund, M.; Samarth, N.; Leighton, C.; Crespi, V.; et al. Artificial ‘spin ice’ in a geometrically frustrated lattice of nanoscale ferromagnetic islands. Nature 2006, 439, 303–306. [Google Scholar] [CrossRef]
- Jungfleisch, M.; Zhang, W.; Iacocca, E.; Sklenar, J.; Ding, J.; Jiang, W.; Zhang, S.; Pearson, J.; Novosad, V.; Ketterson, J.; et al. Dynamic response of an artificial square spin ice. Phys. Rev. B 2016, 93, 100401. [Google Scholar] [CrossRef]
- Englman, R.; Halperin, A. Cooperative Jahn-Teller Effect. Phys. Rev. B 1970, 2, 75–82. [Google Scholar] [CrossRef]
- Kaplan, T.A.; Lyons, D.H. Spin-Orbit Coupling and the Jahn-Teller Effect. Phys. Rev. 1963, 129, 1969–1972. [Google Scholar]
- Butterfield, L.J.; Clark, C.J. Magnetoelastic Coupling in a Perovskite: A Landau Theory of Phase Transitions in LaMnO3. Phys. Rev. B 2007, 76, 184433. [Google Scholar] [CrossRef]
- Travnikov, V.D.; Zentgraf, M.A. Magnetoelastic Properties of Ferroics and Their Manifestation in Magnetic Phase Diagrams. Phys. Rev. B 2021, 104, 174411. [Google Scholar] [CrossRef]
- Pecharsky, V.; Gschneidner, K., Jr.; Pecharsky, A.; Tishin, A. Thermodynamics of the magnetocaloric effect. Phys. Rev. B 2001, 64, 144406. [Google Scholar] [CrossRef]







Disclaimer/Publisher’s Note: The statements, opinions and data contained in all publications are solely those of the individual author(s) and contributor(s) and not of MDPI and/or the editor(s). MDPI and/or the editor(s) disclaim responsibility for any injury to people or property resulting from any ideas, methods, instructions or products referred to in the content. |
© 2024 by the authors. Licensee MDPI, Basel, Switzerland. This article is an open access article distributed under the terms and conditions of the Creative Commons Attribution (CC BY) license (https://creativecommons.org/licenses/by/4.0/).
Share and Cite
Aguilera, M.; Pino-Alarcón, S.; Peña, F.J.; Vogel, E.E.; Cortés, N.; Vargas, P. Magnetocaloric Effect for a Q-Clock-Type System. Entropy 2025, 27, 11. https://doi.org/10.3390/e27010011
Aguilera M, Pino-Alarcón S, Peña FJ, Vogel EE, Cortés N, Vargas P. Magnetocaloric Effect for a Q-Clock-Type System. Entropy. 2025; 27(1):11. https://doi.org/10.3390/e27010011
Chicago/Turabian StyleAguilera, Michel, Sergio Pino-Alarcón, Francisco J. Peña, Eugenio E. Vogel, Natalia Cortés, and Patricio Vargas. 2025. "Magnetocaloric Effect for a Q-Clock-Type System" Entropy 27, no. 1: 11. https://doi.org/10.3390/e27010011
APA StyleAguilera, M., Pino-Alarcón, S., Peña, F. J., Vogel, E. E., Cortés, N., & Vargas, P. (2025). Magnetocaloric Effect for a Q-Clock-Type System. Entropy, 27(1), 11. https://doi.org/10.3390/e27010011

