Anomalous Self-Organization in Active Piles
Abstract
1. Introduction
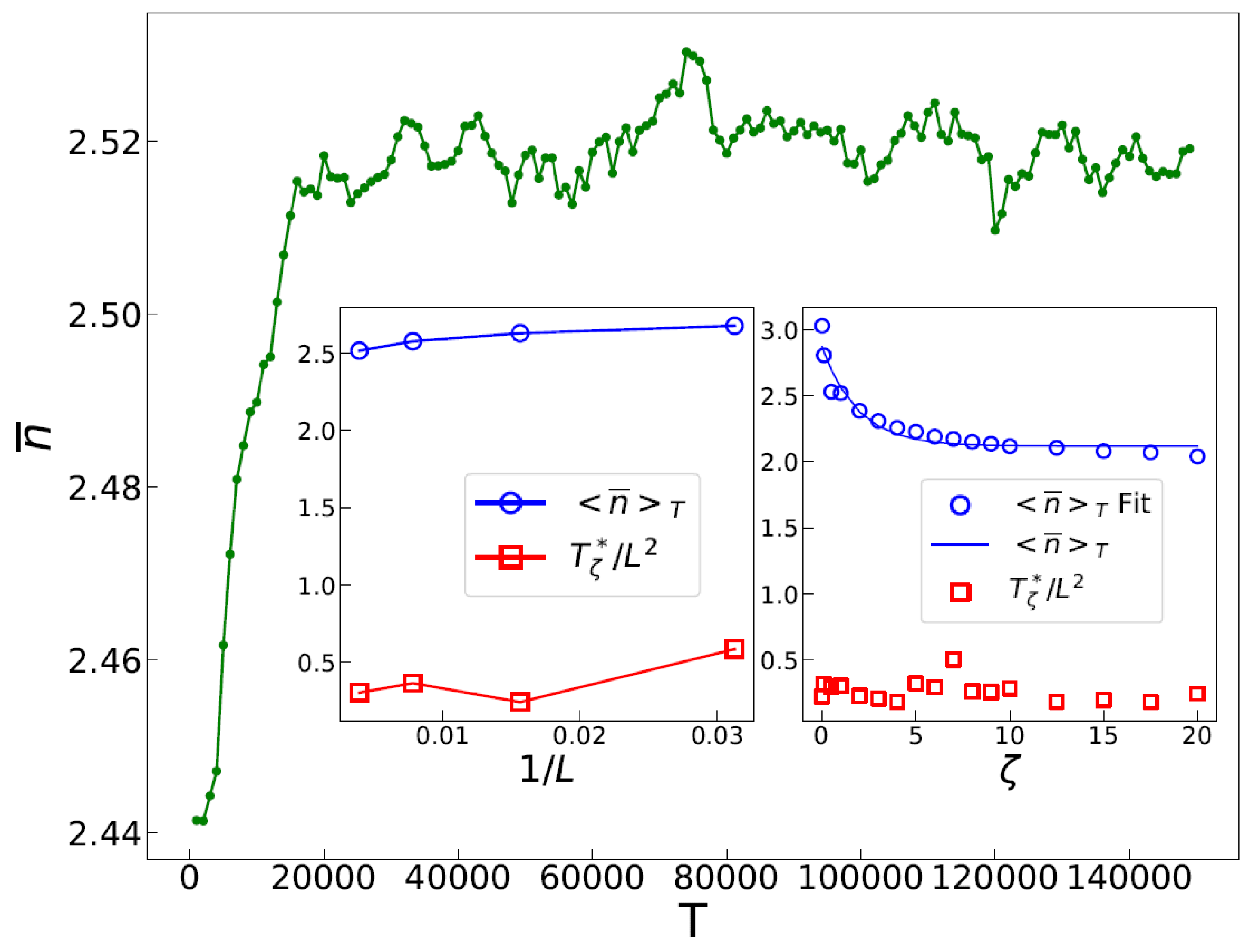
2. Methods and Results
3. Conclusions
Author Contributions
Funding
Institutional Review Board Statement
Data Availability Statement
Conflicts of Interest
References
- Beggs, J.M.; Plenz, D. Neuronal avalanches in neocortical circuits. J. Neurosci. 2003, 23, 11167–11177. [Google Scholar] [CrossRef] [PubMed]
- De Arcangelis, L.; Perrone-Capano, C.; Herrmann, H.J. Self-organized criticality model for brain plasticity. Phys. Rev. Lett. 2006, 96, 028107. [Google Scholar] [CrossRef]
- Ribeiro, T.L.; Copelli, M.; Caixeta, F.; Belchior, H.; Chialvo, D.R.; Nicolelis, M.A.; Ribeiro, S. Spike avalanches exhibit universal dynamics across the sleep-wake cycle. PLoS ONE 2010, 5, e14129. [Google Scholar] [CrossRef] [PubMed]
- Hesse, J.; Gross, T. Self-organized criticality as a fundamental property of neural systems. Front. Syst. Neurosci. 2014, 8, 166. [Google Scholar] [CrossRef] [PubMed]
- Priesemann, V.; Wibral, M.; Valderrama, M.; Pröpper, R.; Le Van Quyen, M.; Geisel, T.; Triesch, J.; Nikolić, D.; Munk, M.H. Spike avalanches in vivo suggest a driven, slightly subcritical brain state. Front. Syst. Neurosci. 2014, 8, 108. [Google Scholar] [CrossRef]
- Plenz, D.; Ribeiro, T.L.; Miller, S.R.; Kells, P.A.; Vakili, A.; Capek, E.L. Self-organized criticality in the brain. Front. Phys. 2021, 9, 639389. [Google Scholar] [CrossRef]
- Kondev, J.; Henley, C.L.; Salinas, D.G. Nonlinear measures for characterizing rough surface morphologies. Phys. Rev. 2000, 61, 104. [Google Scholar] [CrossRef]
- Ritacco, H.A. Complexity and self-organized criticality in liquid foams. A short review. Adv. Colloid Interface Sci. 2020, 285, 102282. [Google Scholar] [CrossRef]
- Corté, L.; Gerbode, S.J.; Man, W.; Pine, D.J. Self-organized criticality in sheared suspensions. Phys. Rev. Lett. 2009, 103, 248301. [Google Scholar] [CrossRef]
- Rybczyński, M.; Wodarczyk, Z.; Wilk, G. Self-organized criticality in atmospheric cascades. Nucl. Phys.-Proc. Suppl. 2001, 97, 81–84. [Google Scholar] [CrossRef]
- Yano, J.I.; Liu, C.; Moncrieff, M.W. Self-organized criticality and homeostasis in atmospheric convective organization. J. Atmos. Sci. 2012, 69, 3449–3462. [Google Scholar] [CrossRef]
- Bak, P.; Tang, C. Earthquakes as a self-organized critical phenomenon. J. Geophys. Res. Solid Earth 1989, 94, 15635–15637. [Google Scholar] [CrossRef]
- Sornette, A.; Sornette, D. Self-organized criticality and earthquakes. EPL Europhys. Lett. 1989, 9, 197. [Google Scholar] [CrossRef]
- Ito, K.; Matsuzaki, M. Earthquakes as self-organized critical phenomena. J. Geophys. Res. Solid Earth 1990, 95, 6853–6860. [Google Scholar] [CrossRef]
- Chen, K.; Bak, P.; Obukhov, S. Self-organized criticality in a crack-propagation model of earthquakes. Phys. Rev. A 1991, 43, 625. [Google Scholar] [CrossRef]
- Stauffer, D.; Sornette, D. Self-organized percolation model for stock market fluctuations. Phys. A Stat. Mech. Appl. 1999, 271, 496–506. [Google Scholar] [CrossRef]
- Biondo, A.E.; Pluchino, A.; Rapisarda, A. Modeling financial markets by self-organized criticality. Phys. Rev. E 2015, 92, 042814. [Google Scholar] [CrossRef]
- Bartolozzi, M.; Leinweber, D.B.; Thomas, A.W. Self-organized criticality and stock market dynamics: An empirical study. Phys. A Stat. Mech. Its Appl. 2005, 350, 451–465. [Google Scholar] [CrossRef]
- Aleksiejuk, A.; Hołyst, J.A.; Kossinets, G. Self-organized criticality in a model of collective bank bankruptcies. Int. J. Mod. Phys. C 2002, 13, 333–341. [Google Scholar] [CrossRef]
- Dupoyet, B.; Fiebig, H.; Musgrove, D. Replicating financial market dynamics with a simple self-organized critical lattice model. Phys. A Stat. Mech. Appl. 2011, 390, 3120–3135. [Google Scholar] [CrossRef]
- Batty, M.; Xie, Y. Self-organized criticality and urban development. Discret. Dyn. Nat. Soc. 1999, 3, 109–124. [Google Scholar] [CrossRef]
- Weisbuch, G.; Solomon, S.; Stauffer, D. Social percolators and self organized criticality. In Economics with Heterogeneous Interacting Agents; Springer: Berlin/Heidelberg, Germany, 2001; pp. 43–55. [Google Scholar]
- Brunk, G.G. Why do societies collapse? A theory based on self-organized criticality. J. Theor. Politics 2002, 14, 195–230. [Google Scholar] [CrossRef]
- Kron, T.; Grund, T. Society as a self-organized critical system. Cybern. Hum. Knowing 2009, 16, 65–82. [Google Scholar]
- Aschwanden, M.J. Self-Organized Criticality Systems in Astrophysics (Chapter 13). arXiv 2012, arXiv:1207.4413. [Google Scholar]
- Tadić, B.; Dankulov, M.M.; Melnik, R. Mechanisms of self-organized criticality in social processes of knowledge creation. Phys. Rev. E 2017, 96, 032307. [Google Scholar] [CrossRef] [PubMed]
- Andrade, R.F.S.; Schellnhuber, H.J.; Claussen, M. Analysis of rainfall records: Possible relation to self-organized criticality. Phys. A Stat. Mech. Appl. 1998, 254, 557–568. [Google Scholar] [CrossRef]
- Najafi, M.N. An electronic avalanche model for metal–insulator transition in two dimensional electron gas. Eur. Phys. J. B 2019, 92, 1–28. [Google Scholar] [CrossRef]
- Vlasko-Vlasov, V.; Welp, U.; Metlushko, V.; Crabtree, G. Experimental test of the self-organized criticality of vortices in superconductors. Phys. Rev. B 2004, 69, 140504. [Google Scholar] [CrossRef]
- Wijngaarden, R.J.; Welling, M.S.; Aegerter, C.M.; Menghini, M. Avalanches and self-organized criticality in superconductors. Eur. Phys. J. B-Condens. Matter Complex Syst. 2006, 50, 117–122. [Google Scholar] [CrossRef]
- Aegerter, C.; Günther, R.; Wijngaarden, R. Avalanche dynamics, surface roughening, and self-organized criticality: Experiments on a three-dimensional pile of rice. Phys. Rev. E 2003, 67, 051306. [Google Scholar] [CrossRef]
- Boguñá, M.; Corral, Á. Long-Tailed trapping times and lévy flights in a Self-Organized critical granular system. Phys. Rev. Lett. 1997, 78, 4950. [Google Scholar] [CrossRef]
- Kinouchi, O. Self-organized (quasi-) criticality: The extremal Feder and Feder model. arXiv 1998, arXiv:9802311. [Google Scholar]
- Palmieri, L.; Jensen, H.J. The emergence of weak criticality in SOC systems. Europhys. Lett. 2018, 123, 20002. [Google Scholar] [CrossRef]
- Menesse, G.; Marin, B.; Girardi-Schappo, M.; Kinouchi, O. Homeostatic criticality in neuronal networks. Chaos Solitons Fractals 2022, 156, 111877. [Google Scholar] [CrossRef]
- Rocha, R.P.; Koçillari, L.; Suweis, S.; Corbetta, M.; Maritan, A. Homeostatic plasticity and emergence of functional networks in a whole-brain model at criticality. Sci. Rep. 2018, 8, 15682. [Google Scholar] [CrossRef]
- de Andrade Costa, A.; Copelli, M.; Kinouchi, O. Can dynamical synapses produce true self-organized criticality? J. Stat. Mech. Theory Exp. 2015, 2015, P06004. [Google Scholar] [CrossRef]
- Bonachela, J.A.; Munoz, M.A. Self-organization without conservation: True or just apparent scale-invariance? J. Stat. Mech. Theory Exp. 2009, 2009, P09009. [Google Scholar] [CrossRef]
- Kinouchi, O.; Brochini, L.; Costa, A.A.; Campos, J.G.F.; Copelli, M. Stochastic oscillations and dragon king avalanches in self-organized quasi-critical systems. Sci. Rep. 2019, 9, 3874. [Google Scholar] [CrossRef] [PubMed]
- Ramaswamy, S. The mechanics and statistics of active matter. Annu. Rev. Condens. Matter Phys. 2010, 1, 323–345. [Google Scholar] [CrossRef]
- Bechinger, C.; Di Leonardo, R.; Löwen, H.; Reichhardt, C.; Volpe, G.; Volpe, G. Active particles in complex and crowded environments. Rev. Mod. Phys. 2016, 88, 045006. [Google Scholar] [CrossRef]
- Thompson, A.G.; Tailleur, J.; Cates, M.E.; Blythe, R.A. Lattice models of nonequilibrium bacterial dynamics. J. Stat. Mech. Theory Exp. 2011, 2011, P02029. [Google Scholar] [CrossRef]
- Shi, X.q.; Fausti, G.; Chaté, H.; Nardini, C.; Solon, A. Self-organized critical coexistence phase in repulsive active particles. Phys. Rev. Lett. 2020, 125, 168001. [Google Scholar] [CrossRef]
- Chepizhko, O.; Giampietro, C.; Mastrapasqua, E.; Nourazar, M.; Ascagni, M.; Sugni, M.; Fascio, U.; Leggio, L.; Malinverno, C.; Scita, G.; et al. Bursts of activity in collective cell migration. Proc. Natl. Acad. Sci. USA 2016, 113, 11408–11413. [Google Scholar] [CrossRef]
- Reichhardt, C.O.; Reichhardt, C. Avalanche dynamics for active matter in heterogeneous media. New J. Phys. 2018, 20, 025002. [Google Scholar] [CrossRef]
- Fily, Y.; Marchetti, M.C. Athermal phase separation of self-propelled particles with no alignment. Phys. Rev. Lett. 2012, 108, 235702. [Google Scholar] [CrossRef] [PubMed]
- Siebert, J.T.; Dittrich, F.; Schmid, F.; Binder, K.; Speck, T.; Virnau, P. Critical behavior of active Brownian particles. Phys. Rev. E 2018, 98, 030601. [Google Scholar] [CrossRef]
- Solon, A.P.; Tailleur, J. Flocking with discrete symmetry: The two-dimensional active Ising model. Phys. Rev. E 2015, 92, 042119. [Google Scholar] [CrossRef]
- Attanasi, A.; Cavagna, A.; Del Castello, L.; Giardina, I.; Grigera, T.S.; Jelić, A.; Melillo, S.; Parisi, L.; Pohl, O.; Shen, E.; et al. Information transfer and behavioural inertia in starling flocks. Nat. Phys. 2014, 10, 691–696. [Google Scholar] [CrossRef] [PubMed]
- Baglietto, G.; Albano, E.V. Nature of the order-disorder transition in the Vicsek model for the collective motion of self-propelled particles. Phys. Rev. E 2009, 80, 050103. [Google Scholar] [CrossRef]
- Trefz, B.; Siebert, J.T.; Speck, T.; Binder, K.; Virnau, P. Estimation of the critical behavior in an active colloidal system with Vicsek-like interactions. J. Chem. Phys. 2017, 146, 074901. [Google Scholar] [CrossRef]
- Prymidis, V.; Paliwal, S.; Dijkstra, M.; Filion, L. Vapour-liquid coexistence of an active Lennard-Jones fluid. J. Chem. Phys. 2016, 145, 124904. [Google Scholar] [CrossRef]
- Dhar, D. The abelian sandpile and related models. Phys. A Stat. Mech. Appl. 1999, 263, 4–25. [Google Scholar] [CrossRef]
- Bak, P.; Tang, C.; Wiesenfeld, K. Self-organized criticality: An explanation of the 1/f noise. Phys. Rev. Lett. 1987, 59, 381–384. [Google Scholar] [CrossRef] [PubMed]
- Najafi, M.; Dashti-Naserabadi, H. Sandpile on uncorrelated site-diluted percolation lattice; from three to two dimensions. J. Stat. Mech. Theory Exp. 2018, 2018, 023211. [Google Scholar] [CrossRef]
- Najafi, M.; Moghimi-Araghi, S.; Rouhani, S. Avalanche frontiers in the dissipative Abelian sandpile model and off-critical Schramm-Loewner evolution. Phys. Rev. E 2012, 85, 051104. [Google Scholar] [CrossRef] [PubMed]
- Rahimi-Majd, M.; Seifi, M.; de Arcangelis, L.; Najafi, M. Role of anaxonic local neurons in the crossover to continuously varying exponents for avalanche activity. Phys. Rev. E 2021, 103, 042402. [Google Scholar] [CrossRef]
- Johnston, D. Stretched exponential relaxation arising from a continuous sum of exponential decays. Phys. Rev. B 2006, 74, 184430. [Google Scholar] [CrossRef]
- Williams, G.; Watts, D.C. Non-symmetrical dielectric relaxation behaviour arising from a simple empirical decay function. Trans. Faraday Soc. 1970, 66, 80–85. [Google Scholar] [CrossRef]
- Bucaro, J.; Dardy, H.; Corsaro, R. Strain relaxation in glass by optical correlation and pressure jump relaxation. J. Appl. Phys. 1975, 46, 741–746. [Google Scholar] [CrossRef]
- Hains, P.J.; Williams, G. Molecular motion in polystyrene-plasticizer systems as studied by dielectric relaxation. Polymer 1975, 16, 725–729. [Google Scholar] [CrossRef]
- Struik, L.C.E. Physical Aging in Amorphous Polymers and Other Materials; Citeseer: Princeton, NJ, USA, 1977. [Google Scholar]
- Williams, G.; Crossley, J. Studies of molecular motion in liquids and solids using low frequency dielectric relaxation and related techniques. Annu. Rep. Prog. Chem. Sect. Phys. Inorg. Chem. 1977, 74, 77–105. [Google Scholar] [CrossRef]
- Clarke, G.; Lumsden, C.J. Scale-free neurodegeneration: Cellular heterogeneity and the stretched exponential kinetics of cell death. J. Theor. Biol. 2005, 233, 515–525. [Google Scholar] [CrossRef]
- Stanley, H.E.; Mantegna, R.N. An Introduction to Econophysics; Cambridge University Press: Cambridge, UK, 2000. [Google Scholar]
- Kailasnath, P.; Sreenivasan, K.; Stolovitzky, G. Probability density of velocity increments in turbulent flows. Phys. Rev. Lett. 1992, 68, 2766. [Google Scholar] [CrossRef]
- Mignan, A. Modeling aftershocks as a stretched exponential relaxation. Geophys. Res. Lett. 2015, 42, 9726–9732. [Google Scholar] [CrossRef]
- Laherrere, J.; Sornette, D. Stretched exponential distributions in nature and economy: “Fat tails” with characteristic scales. Eur. Phys. J.-Condens. Matter Complex Syst. 1998, 2, 525–539. [Google Scholar] [CrossRef]
- Richert, R.; Richert, M. Dynamic heterogeneity, spatially distributed stretched-exponential patterns, and transient dispersions in solvation dynamics. Phys. Rev. E 1998, 58, 779. [Google Scholar] [CrossRef]
- Mainardi, F.; Pagnini, G. The role of the Fox–Wright functions in fractional sub-diffusion of distributed order. J. Comput. Appl. Math. 2007, 207, 245–257. [Google Scholar] [CrossRef]
- Milovanov, A.V.; Rypdal, K.; Rasmussen, J.J. Stretched exponential relaxation and ac universality in disordered dielectrics. Phys. Rev. B 2007, 76, 104201. [Google Scholar] [CrossRef]
- Pollard, H. The Representation of e−xλ as a Laplace Integral. Bull. Am. Math. Soc. 1946, 52, 908–910. [Google Scholar] [CrossRef]
- Artin, E. The Gamma Function; Courier Dover Publications: Mineola, NY, USA, 2015. [Google Scholar]
- Montroll, E.W.; Bendler, J.T. On Lévy (or stable) distributions and the Williams-Watts model of dielectric relaxation. J. Stat. Phys. 1984, 34, 129–162. [Google Scholar] [CrossRef]
- Górska, K.; Horzela, A.; Penson, K.A.; Dattoli, G.; Duchamp, G.H. The stretched exponential behavior and its underlying dynamics. The phenomenological approach. Fract. Calc. Appl. Anal. 2017, 20, 260–283. [Google Scholar] [CrossRef]
- Penson, K.; Górska, K. Exact and explicit probability densities for one-sided Lévy stable distributions. Phys. Rev. Lett. 2010, 105, 210604. [Google Scholar] [CrossRef] [PubMed]






| Disclaimer/Publisher’s Note: The statements, opinions and data contained in all publications are solely those of the individual author(s) and contributor(s) and not of MDPI and/or the editor(s). MDPI and/or the editor(s) disclaim responsibility for any injury to people or property resulting from any ideas, methods, instructions or products referred to in the content. | 
© 2023 by the authors. Licensee MDPI, Basel, Switzerland. This article is an open access article distributed under the terms and conditions of the Creative Commons Attribution (CC BY) license (https://creativecommons.org/licenses/by/4.0/).
Share and Cite
Nattagh-Najafi, M.; Nabil, M.; Mridha, R.H.; Nabavizadeh, S.A. Anomalous Self-Organization in Active Piles. Entropy 2023, 25, 861. https://doi.org/10.3390/e25060861
Nattagh-Najafi M, Nabil M, Mridha RH, Nabavizadeh SA. Anomalous Self-Organization in Active Piles. Entropy. 2023; 25(6):861. https://doi.org/10.3390/e25060861
Chicago/Turabian StyleNattagh-Najafi, Morteza, Mohammad Nabil, Rafsun Hossain Mridha, and Seyed Amin Nabavizadeh. 2023. "Anomalous Self-Organization in Active Piles" Entropy 25, no. 6: 861. https://doi.org/10.3390/e25060861
APA StyleNattagh-Najafi, M., Nabil, M., Mridha, R. H., & Nabavizadeh, S. A. (2023). Anomalous Self-Organization in Active Piles. Entropy, 25(6), 861. https://doi.org/10.3390/e25060861
 
        


