Energy Cost of Dynamical Stabilization: Stored versus Dissipated Energy
Abstract
:1. Introduction
2. Pendulum and Controller
3. Solving the Model via Slow and Fast Variables
4. Scenarios of (De-)Stabilization for the Inverted Pendulum
4.1. Asymptotic Stability and Stability with Respect to Several Perturbations
4.2. Random Noise
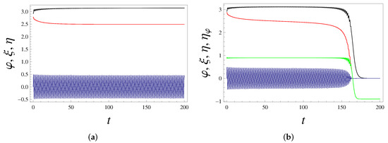
4.3. Metastability
5. Summary and Discussion
Author Contributions
Funding
Institutional Review Board Statement
Informed Consent Statement
Data Availability Statement
Acknowledgments
Conflicts of Interest
Appendix A. Derivation of the Effective Potential
References
- Paul, W. Electromagnetic traps for charged and neutral particles. Rev. Mod. Phys. 1990, 62, 531–540. [Google Scholar] [CrossRef]
- Cook, R.J.; Shankland, D.G.; Wells, A.L. Quantum theory of particle motion in a rapidly oscillating field. Phys. Rev. A 1985, 31, 565–567. [Google Scholar] [CrossRef] [PubMed]
- Gilary, I.; Moiseyev, N.; Rahav, S.; Fishman, S. Trapping of particles by lasers: The quantum Kapitza pendulum. J. Phys. A 2003, 36, L409–L415. [Google Scholar] [CrossRef]
- Bukov, M.; D’Alessio, L.; Polkovnikov, A. Universal high-frequency behavior of periodically driven systems: From dynamical stabilization to Floquet engineering. Adv. Phys. 2015, 64, 139–226. [Google Scholar] [CrossRef] [Green Version]
- Bullo, F. Averaging and vibrational control of mechanical systems. SIAM J. Control Optim. 2002, 41, 542–562. [Google Scholar] [CrossRef] [Green Version]
- Thomsen, J.J. Some general effects of strong high-frequency excitation: Stiffening, biasing and smoothening. J. Sound Vib. 2002, 253, 807–831. [Google Scholar] [CrossRef]
- Erneux, T. Nonlinear stability of a delayed feedback controlled container crane. J. Vib. Control 2007, 13, 603. [Google Scholar] [CrossRef]
- Pathak, K.; Franch, J.; Agrawal, S.K. Velocity and position control of a wheeled inverted pendulum by partial feedback linearization. IEEE Trans. Rob. 2005, 21, 505. [Google Scholar] [CrossRef]
- Nijhout, H.F.; Best, J.A.; Reed, M.C. Systems biology of robustness and homeostatic mechanisms. Wiley Interdiscip. Rev. Syst. Biol. Med. 2019, 11, e1440. [Google Scholar] [CrossRef]
- Billman, G.E. Homeostasis: The dynamic self-regulating that maintains health and buffers against disease. In Handbook of Systems and Complexity in Health; Strumberg, J.P., Martin, C.M., Eds.; Springer: New York, NY, USA, 2013; pp. 159–170. [Google Scholar]
- Soodak, H.; Iberall, A. Homeokinetics: A physical science for complex systems. Science 1978, 201, 579–582. [Google Scholar] [CrossRef]
- Viktorov, V.A.; Novoseltsev, V.N.; Shumakov, V.I. Control in and for biosystems. IFAC Proc. Vol. 1984, 17, 2985–3002. [Google Scholar] [CrossRef]
- Morasso, P.; Cherif, A.; Zenzeri, J. Quiet standing: The Single Inverted Pendulum model is not so bad after all. PLoS ONE 2019, 14, e0213870. [Google Scholar] [CrossRef] [PubMed] [Green Version]
- Milton, J.; Cabrera, J.L.; Ohira, T.; Tajima, S.; Tonosaki, Y.; Eurich, C.W.; Campbell, S.A. The time-delayed inverted pendulum: Implications for human balance control. CHAOS 2009, 19, 026110. [Google Scholar] [CrossRef] [PubMed] [Green Version]
- Allahverdyan, A.E.; Hu, C.-K. Replicators in a Fine-Grained Environment: Adaptation and Polymorphism. Phys. Rev. Lett. 2009, 102, 058102. [Google Scholar] [CrossRef] [Green Version]
- Allahverdyan, A.E.; Babajanyan, S.G.; Hu, C.-K. Polymorphism in rapidly changing cyclic environment. Phys. Rev. E 2019, 100, 032401. [Google Scholar] [CrossRef] [Green Version]
- Stephenson, A. On an induced stability. Philos. Mag. 1908, 15, 233–236. [Google Scholar] [CrossRef] [Green Version]
- Kapitza, P.L. Dynamic stability of the pendulum with vibrating suspension point. Sov. Phys. JETP 1951, 21, 588–597. (In Russian) [Google Scholar]
- Landau, L.D.; Lifshitz, E.M. Mechanics; Pergamon: Oxford, UK, 1960. [Google Scholar]
- Butikov, E.I. On the dynamic stabilization of an inverted pendulum. Am. J. Phys. 2001, 69, 755–768. [Google Scholar] [CrossRef]
- Acheson, D.J. Multiple-nodding oscillations of a driven inverted pendulum. Proc. R. Soc. Lond. A 1995, 448, 89–95. [Google Scholar]
- Blackburn, J.A.; Smith, H.J.T.; Gronbech-Jensen, N. Stability and Hopf bifurcations in an inverted pendulum. Am. J. Phys. 1992, 60, 903–908. [Google Scholar] [CrossRef]
- Rahav, S.; Geva, E.; Fishman, S. Time-independent approximations for periodically driven systems with friction. Phys. Rev. E 2005, 71, 036210. [Google Scholar] [CrossRef] [Green Version]
- Gorban, A.N.; Tyukina, T.A.; Pokidysheva, L.I.; Smirnova, E.I. Dynamic and thermodynamic models of adaptation. Phys. Life Rev. 2021, 37, 17–64. [Google Scholar] [CrossRef] [PubMed]
- Lan, G.; Sartori, P.; Neumann, S.; Sourjik, V.; Tu, Y. The energy-speed-accuracy trade-off in sensory adaptation. Nat. Phys. 2012, 8, 422–428. [Google Scholar] [CrossRef] [PubMed]
- Allahverdyan, A.E.; Wang, Q.A. Adaptive machine and its thermodynamic costs. Phys. Rev. E 2013, 87, 032139. [Google Scholar] [CrossRef] [Green Version]
- Sartori, P.; Tu, Y. Free energy cost of reducing noise while maintaining a high sensitivity. Phys. Rev. Lett. 2015, 115, 118102. [Google Scholar] [CrossRef] [PubMed]
- Allahverdyan, A.E.; Babajanyan, S.G.; Martirosyan, M.H.; Melkikh, A.V. Adaptive Heat Engine. Phys. Rev. Lett. 2016, 117, 030601. [Google Scholar] [CrossRef] [PubMed] [Green Version]
- Allahverdyan, A.E. Energy dissipation and storage in adaptation and homeostasis. Comment on “Dynamic and thermodynamic models of adaptation” by A.N. Gorban et al. Phys. Life Rev. 2021, 38, 137–139. [Google Scholar] [CrossRef] [PubMed]
- Gilmore, R. Le Chatelier reciprocal relations and the mechanical analog. Am. J. Phys. 1983, 51, 733–743. [Google Scholar] [CrossRef]
- Mehta, P.; Lang, A.H.; Schwab, D.J. Landauer in the age of synthetic biology: Energy consumption and information processing in biochemical networks. J. Stat. Phys. 2016, 162, 1153. [Google Scholar] [CrossRef] [Green Version]
- Kruger, K.; Prinzinger, R.; Schuchmann, K.-L. Torpor and metabolism in hummingbirds. Comp. Biochem. Physiol. Part A Physiol. 1982, 73, 679–689. [Google Scholar] [CrossRef]
- Ashby, W.R. Design for a Brain: The Origin of Adaptive Behaviour; Chapman & Hall: London, UK, 1960. [Google Scholar]
- Bauer, E.S. Theoretical Biology; VIEM: Moscow, Russia, 1935. (In Russian) [Google Scholar]
- McClare, C.W.F. In defence of the high energy phosphate bond. J. Theor. Biol. 1972, 35, 233–246. [Google Scholar] [CrossRef]
- Jaynes, E.T. The Muscle as an Engine. Unpublished Manuscript. 1983. Available online: https://bayes.wustl.edu/etj/articles/muscle.pdf (accessed on 14 December 2014).
- Blumenfeld, L.A.; Tikhonov, A.N. Biophysical Thermodynamics of Intracellular Processes: Molecular Machines of the Living Cell; Springer Science & Business Media: Berlin/Heidelberg, Germany, 2012. [Google Scholar]
- Arshavsky, I.A. Focus for develoment: The energy rule of skeletal muscles. Dev. Psychobiol. 1974, 7, 291–295. [Google Scholar] [CrossRef] [PubMed]
- Jusup, M.; Sousa, T.; Domingos, T.; Labinac, V.; Marn, N.; Wang, Z.; Klanjscek, T. Physics of metabolic organization. Phys. Life Rev. 2017, 20, 1–39. [Google Scholar] [CrossRef] [Green Version]
- Sousa, T.; Mota, R.; Domingos, T.; Kooijman, S.M. Thermodynamics of organisms in the context of dynamic energy budget theory. Phys. Rev. E 2006, 74, 051901. [Google Scholar] [CrossRef] [PubMed] [Green Version]
- Allahverdyan, A.E.; Balian, R.; Nieuwenhuizen, T.M. Maximal work extraction from finite quantum systems. Europhys. Lett. 2004, 67, 565. [Google Scholar] [CrossRef] [Green Version]



Publisher’s Note: MDPI stays neutral with regard to jurisdictional claims in published maps and institutional affiliations. |
© 2022 by the authors. Licensee MDPI, Basel, Switzerland. This article is an open access article distributed under the terms and conditions of the Creative Commons Attribution (CC BY) license (https://creativecommons.org/licenses/by/4.0/).
Share and Cite
Allahverdyan, A.E.; Khalafyan, E.A. Energy Cost of Dynamical Stabilization: Stored versus Dissipated Energy. Entropy 2022, 24, 1020. https://doi.org/10.3390/e24081020
Allahverdyan AE, Khalafyan EA. Energy Cost of Dynamical Stabilization: Stored versus Dissipated Energy. Entropy. 2022; 24(8):1020. https://doi.org/10.3390/e24081020
Chicago/Turabian StyleAllahverdyan, Armen E., and Edvard A. Khalafyan. 2022. "Energy Cost of Dynamical Stabilization: Stored versus Dissipated Energy" Entropy 24, no. 8: 1020. https://doi.org/10.3390/e24081020
APA StyleAllahverdyan, A. E., & Khalafyan, E. A. (2022). Energy Cost of Dynamical Stabilization: Stored versus Dissipated Energy. Entropy, 24(8), 1020. https://doi.org/10.3390/e24081020
