Using the Relative Entropy of Linguistic Complexity to Assess L2 Language Proficiency Development
Abstract
:1. Introduction
- (1)
- How distinct are the differences in language proficiency between L2 learners at a lower level and L2 learners at a higher level as compared to the differences between intermediate-level L2 learners and higher-level learners from the perspective of information gain?
- (2)
- Does the algorithm of relative entropy have advantages over the frequency-based algorithms for lexical and syntactic complexity in detecting development patterns of L2 language proficiency?
2. Background
2.1. Linguistic Complexity and the Development of Language Proficiency in L2
2.2. Relative Entropy
- p(“take”|1820s) = 556/1435 = 0.3875,
- p(“took”|1820s) = 327/1435 = 0.2279,
- p(“taken”|1820s) = 345/1435 = 0.2404,
- p(“taking”|1820s) = 144/1435 = 0.1003,
- p(“takes”|1820s) = 63/1435 = 0.0439.
- p(“take”|1810s) = 728/1415 = 0.5145,
- p(“took”|1810s) = 168/1415 = 0.1187,
- p(“taken”|1810s) = 228/1415 = 0.1611,
- p(“taking”|1810s) = 133/1415 = 0.094,
- p(“took”|1810s) = 158/1415 = 0.1117.
3. Materials and Methods
3.1. Material
3.2. Method
- (a)
- Relative entropy and the discrimination of information distribution.
- (b)
- Language units (measures).
- (c)
- Traditional approaches to lexical/syntactic complexity and stationary time series.
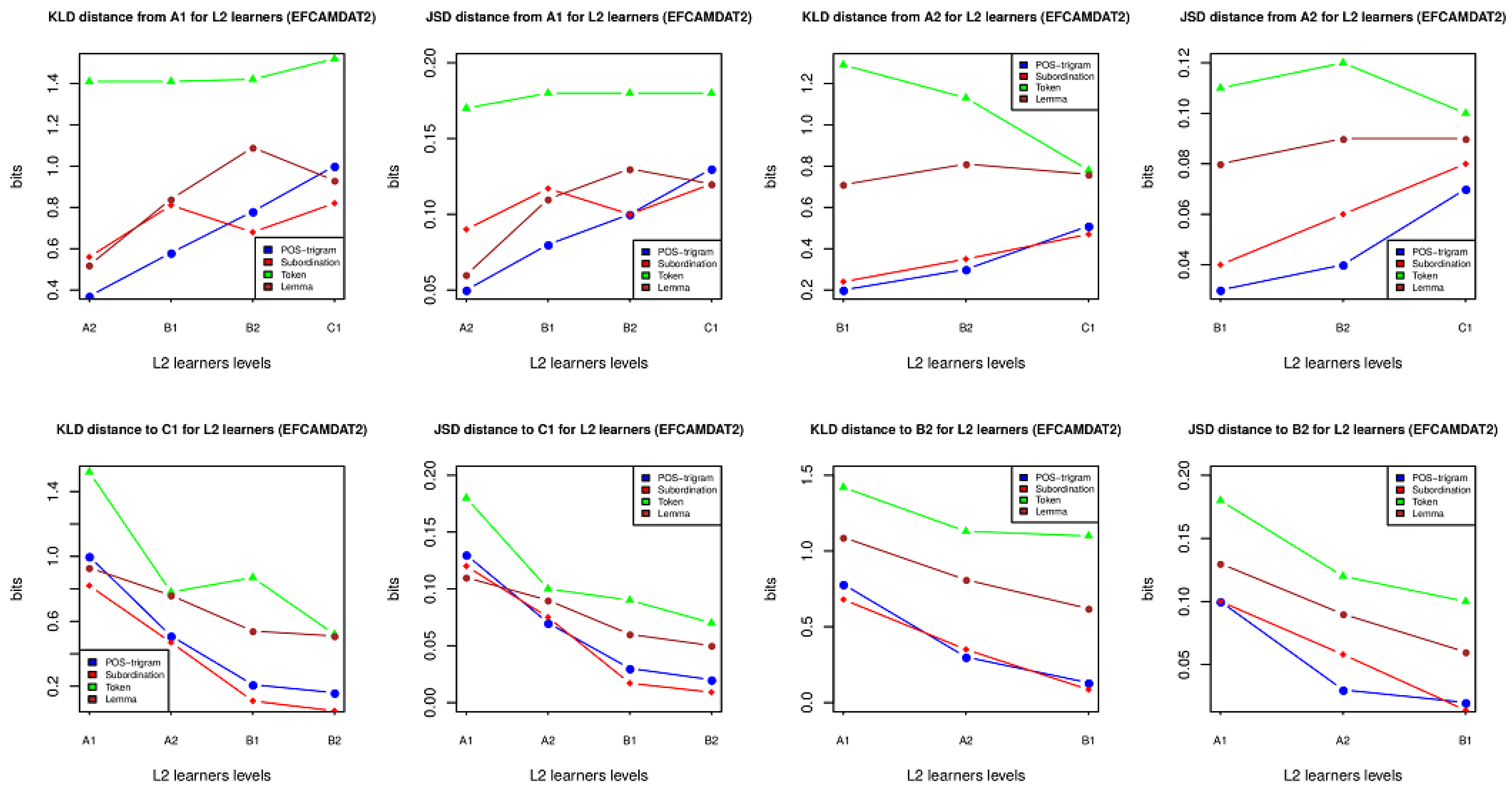
4. Results
4.1. The Results from the KLD
4.2. The Results from Syntactic and Lexical Complexity
5. Discussion
5.1. Conflicting Results from Different Studies
5.2. The Developmental Patterns of Language Proficiency in L2 Learners
5.3. Consistency with the Other Measures
6. Conclusions
Author Contributions
Funding
Institutional Review Board Statement
Informed Consent Statement
Conflicts of Interest
Appendix A. JSD Algorithm
Appendix B. The Results from the JSD
| Cross-Proficiency Levels of L2 | JSD of Grammar | JSD of Lexicon | |||||||
|---|---|---|---|---|---|---|---|---|---|
| POS-Trigram | Sub-Conj. | Token | Lemma | ||||||
| A1→A2 | A1→(A2, B1, B2, C1) | 0.05 | ![]() (coef = 0.03, p = 0.003) | 0.09 | ![]() (coef = 0.007, p = 0.34) | 0.17 | ![]() (coef = 0.003, p = 0.23) | 0.06 | ![]() (coef = 0.02, p = 0.17) |
| A1→B1 | 0.08 | 0.117 | 0.18 | 0.11 | |||||
| A1→B2 | 0.1 | 0.1 | 0.18 | 0.13 | |||||
| A1→C1 | 0.13 | 0.12 | 0.18 | 0.12 | |||||
| A2→B1 | A2→(B1, B2, C1) | 0.03 | ![]() (coef = 0.2, p = 0.18) | 0.04 | ![]() (coef = 0.02, p < 0.001) | 0.11 | 0.08 | ![]() (coef = 0.005, p = 0.33) | |
| A2→B2 | 0.04 | 0.06 | 0.12 | 0.09 | |||||
| A2→C1 | 0.07 | 0.08 | 0.1 | 0.09 | |||||
| B1→B2 | B1→(B2, C1) | 0.02 | ![]() | 0.014 | ![]() | 0.1 | 0.06 | ||
| B1→C1 | 0.03 | 0.017 | 0.09 | 0.06 | |||||
| B2→C1 | B2→(C1) | 0.02 | 0.009 | 0.07 | 0.05 | ||||
| Cross-Proficiency Levels of L2 | JSD of Grammar | JSD of Lexicon | |||||||
|---|---|---|---|---|---|---|---|---|---|
| POS-Trigram | Sub-Conj. | Token | Lemma | ||||||
| A1→C1 | (A1, A2, B1, B2)→C1 | 0.13 | ![]() (coef = −0.04, p = 0.043) | 0.12 | ![]() (coef = −0.04, p = 0.034) | 0.18 | ![]() (coef = −0.034, p = 0.09) | 0.11 | ![]() (coef = −0.02, p = 0.015) |
| A2→C1 | 0.07 | 0.075 | 0.1 | 0.09 | |||||
| B1→C1 | 0.03 | 0.017 | 0.09 | 0.06 | |||||
| B2→C1 | 0.02 | 0.009 | 0.07 | 0.05 | |||||
| A1→B2 | (A1, A2, B1)→B2 | 0.1 | ![]() (coef = −0.04, p = 0.26) | 0.1 | ![]() (coef = −0.043, p = 0.008) | 0.18 | ![]() (coef = −0.04, p = 0.18) | 0.13 | ![]() (coef = −0.035, p = 0.05) |
| A2→B2 | 0.03 | 0.058 | 0.12 | 0.09 | |||||
| B1→B2 | 0.02 | 0.014 | 0.1 | 0.06 | |||||
| A1→B1 | (A1, A2)→B1 | 0.08 | ![]() | 0.12 | ![]() | 0.18 | ![]() | 0.1 | ![]() |
| A2→B1 | 0.03 | 0.04 | 0.11 | 0.08 | |||||
| A1→A2 | (A1)→A2 | 0.05 | 0.09 | 0.17 | 0.06 | ||||
| Cross-Proficiency Levels of L2 | JSD of Grammar | JSD of Lexicon | |||||||
|---|---|---|---|---|---|---|---|---|---|
| POS-Trigram | Sub-Conj. | Token | Lemma | ||||||
| A1→A2 | adjacent levels | 0.05 | ![]() (coef = −0.01, p = 0.087) | 0.09 | (coef = −0.027, p = 0.06) | 0.17 | (coef = −0.03, p = 0.046) | 0.06 | ![]() (coef = −0.005, p = 0.48) |
| A2→B1 | 0.03 | 0.04 | 0.11 | 0.08 | |||||
| B1→B2 | 0.02 | 0.015 | 0.1 | 0.06 | |||||
| B2→C1 | 0.02 | 0.009 | 0.07 | 0.05 | |||||
Appendix C. The Data on Syntactic and Lexical Complexity
| Levels | MLS | MLT | MLC | C/S | VP/T | C/T | DC/C | DC/T | T/S | CT/T | CP/T | CP/C | CN/T | CN/C |
|---|---|---|---|---|---|---|---|---|---|---|---|---|---|---|
| A1 | 8.56 | 8.17 | 7.04 | 1.21 | 1.3 | 1.16 | 0.11 | 0.13 | 1.05 | 0.09 | 0.24 | 0.2 | 0.58 | 0.5 |
| A2 | 11.59 | 10.09 | 7.58 | 1.53 | 1.33 | 1.33 | 0.21 | 0.29 | 1.15 | 0.23 | 0.32 | 0.24 | 0.76 | 0.57 |
| B1 | 13.28 | 12.01 | 8.53 | 1.56 | 1.41 | 1.41 | 0.27 | 0.37 | 1.11 | 0.3 | 0.3 | 0.21 | 1.09 | 0.78 |
| B2 | 14.85 | 13.6 | 8.93 | 1.66 | 1.5 | 1.52 | 0.33 | 0.5 | 1.09 | 0.34 | 0.32 | 0.21 | 1.34 | 0.88 |
| C1 | 16.32 | 14.58 | 9.54 | 1.71 | 1.53 | 1.53 | 0.33 | 0.5 | 1.12 | 0.34 | 0.39 | 0.26 | 1.56 | 1.02 |
| A1_C1 | 7.76 | 6.41 | 2.5 | 0.49 | 0.23 | 0.37 | 0.22 | 0.37 | 0.07 | 0.24 | 0.16 | 0.05 | 0.98 | 0.52 |
| A2_C1 | 4.72 | 4.49 | 1.96 | 0.18 | 0.2 | 0.2 | 0.11 | 0.21 | −0.03 | 0.11 | 0.08 | 0.02 | 0.8 | 0.45 |
| B1_C1 | 3.04 | 2.56 | 1.01 | 0.15 | 0.12 | 0.12 | 0.06 | 0.13 | 0.01 | 0.04 | 0.09 | 0.04 | 0.47 | 0.24 |
| B2_C1 | 4.72 | 4.49 | 1.96 | 0.18 | 0.2 | 0.2 | 0.11 | 0.21 | −0.03 | 0.11 | 0.08 | 0.02 | 0.8 | 0.45 |
| A2_A1 | 3.04 | 1.93 | 0.54 | 0.31 | 0.3 | 0.17 | 0.1 | 0.16 | 0.1 | 0.13 | 0.08 | 0.03 | 0.17 | 0.07 |
| B1_A1 | 4.72 | 3.85 | 1.49 | 0.34 | 0.53 | 0.25 | 0.16 | 0.25 | 0.06 | 0.2 | 0.06 | 0.01 | 0.51 | 0.27 |
| B2_A1 | 6.29 | 5.44 | 1.89 | 0.45 | 0.75 | 0.36 | 0.22 | 0.38 | 0.04 | 0.29 | 0.09 | 0.01 | 0.76 | 0.38 |
| C1_A1 | 7.76 | 6.41 | 2.5 | 0.49 | 0.77 | 0.37 | 0.22 | 0.37 | 0.07 | 0.28 | 0.16 | 0.05 | 0.98 | 0.52 |
| A2_A1 | 3.04 | 1.93 | 0.54 | 0.31 | 0.3 | 0.17 | 0.1 | 0.16 | 0.1 | 0.13 | 0.08 | 0.03 | 0.17 | 0.07 |
| B1_A2 | 1.68 | 1.92 | 0.95 | 0.03 | 0.23 | 0.08 | 0.05 | 0.09 | −0.04 | 0.07 | −0.01 | −0.02 | 0.34 | 0.21 |
| B2_B1 | 1.57 | 1.59 | 0.4 | 0.11 | 0.22 | 0.12 | 0.07 | 0.13 | −0.01 | 0.08 | 0.02 | 0 | 0.25 | 0.1 |
| C1_B2 | 1.47 | 0.98 | 0.61 | 0.05 | 0.02 | 0 | 0 | −0.01 | 0.03 | −0.01 | 0.07 | 0.04 | 0.22 | 0.14 |
| Levels | ld | ls1 | ls2 | vs1 | vs2 | cvs1 | ttr | msttr | cttr | rttr | logttr | uber | lv | vv1 | svv1 | cvv1 | vv2 | nv |
|---|---|---|---|---|---|---|---|---|---|---|---|---|---|---|---|---|---|---|
| A1 | 0.54 | 0.56 | 0.88 | 0.02 | 43.42 | 4.66 | 0.03 | 0.73 | 17.32 | 24.49 | 0.74 | 22.29 | 0.05 | 0.02 | 60.94 | 5.52 | 0.01 | 0.07 |
| A2 | 0.53 | 0.52 | 0.86 | 0.04 | 71.49 | 5.98 | 0.04 | 0.75 | 17.55 | 24.82 | 0.75 | 22.32 | 0.08 | 0.04 | 106.91 | 7.31 | 0.01 | 0.11 |
| B1 | 0.52 | 0.47 | 0.93 | 0.02 | 143.27 | 8.46 | 0.02 | 0.79 | 19.82 | 28.04 | 0.72 | 23.45 | 0.03 | 0.02 | 167.3 | 9.15 | 0.01 | 0.04 |
| B2 | 0.51 | 0.48 | 0.96 | 0.01 | 180.81 | 9.51 | 0.01 | 0.79 | 20.61 | 29.14 | 0.71 | 23.98 | 0.02 | 0.01 | 198.99 | 9.97 | 0 | 0.03 |
| C1_A1 | 0.52 | 0.49 | 0.93 | 0.02 | 186.36 | 9.65 | 0.02 | 0.8 | 20.15 | 28.5 | 0.73 | 23.47 | 0.03 | 0.02 | 218.08 | 10.44 | 0.01 | 0.05 |
| A2_A1 | −0.01 | −0.04 | −0.02 | 0.02 | 28.07 | 1.32 | 0.01 | 0.02 | 0.23 | 0.33 | 0.01 | 0.03 | 0.03 | 0.02 | 45.97 | 1.79 | 0 | 0.04 |
| B1_A1 | −0.02 | −0.09 | 0.05 | 0 | 99.85 | 3.8 | −0.01 | 0.06 | 2.5 | 3.55 | −0.02 | 1.16 | −0.02 | 0 | 106.36 | 3.63 | 0 | −0.03 |
| B2_A1 | −0.03 | −0.08 | 0.08 | −0.01 | 137.39 | 4.85 | −0.02 | 0.06 | 3.29 | 4.65 | −0.03 | 1.69 | −0.03 | −0.01 | 138.05 | 4.45 | −0.01 | −0.04 |
| C1_A1 | −0.02 | −0.07 | 0.05 | 0 | 142.94 | 4.99 | −0.01 | 0.07 | 2.83 | 4.01 | −0.01 | 1.18 | −0.02 | 0 | 157.14 | 4.92 | 0 | −0.02 |
| A2_A1 | −0.01 | −0.04 | −0.02 | 0.02 | 28.07 | 1.32 | 0.01 | 0.02 | 0.23 | 0.33 | 0.01 | 0.03 | 0.03 | 0.02 | 45.97 | 1.79 | 0 | 0.04 |
| B1_A2 | −0.01 | −0.05 | 0.07 | −0.02 | 71.78 | 2.48 | −0.02 | 0.04 | 2.27 | 3.22 | −0.03 | 1.13 | −0.05 | −0.02 | 60.39 | 1.84 | 0 | −0.07 |
| B2_B1 | −0.01 | 0.01 | 0.03 | −0.01 | 37.54 | 1.05 | −0.01 | 0 | 0.79 | 1.1 | −0.01 | 0.53 | −0.01 | −0.01 | 31.69 | 0.82 | −0.01 | −0.01 |
| C1_B2 | 0.01 | 0.01 | −0.03 | 0.01 | 5.55 | 0.14 | 0.01 | 0.01 | −0.46 | −0.64 | 0.02 | −0.51 | 0.01 | 0.01 | 19.09 | 0.47 | 0.01 | 0.02 |
References
- Bulté, B.; Housen, A. Defining and operationalising L2 complexity. In Dimensions of L2 Performance and Proficiency: Complexity, Accuracy and Fluency in SLA; Housen, A., Kuiken, F., Vedder, I., Eds.; John Benjamins: Amsterdam, The Netherlands, 2012; pp. 23–46. [Google Scholar]
- Ortega, L.; Iberri-Shea, G. Longitudinal research in second language acquisition: Recent trends and future directions. Annu. Rev. Appl. Linguist. 2005, 25, 26–45. [Google Scholar] [CrossRef]
- Skehan, P. Modelling second language performance: Integrating complexity, accuracy, fluency and lexis. Appl. Linguist. 2009, 30, 510–532. [Google Scholar] [CrossRef]
- Pallotti, G. CAF: Defining, refining and differentiating constructs. Appl. Linguist. 2009, 30, 590–601. [Google Scholar] [CrossRef]
- Housen, A.; De Clercq, B.; Kuiken, F.; Vedder, I. Multiple approaches to complexity in second language research. Second Lang. Res. 2019, 35, 3–21. [Google Scholar] [CrossRef]
- Crossley, S. Linguistic features in writing quality and development: An overview. J. Writ. Res. 2020, 11, 415–443. [Google Scholar] [CrossRef]
- Crossley, S.A.; Skalicky, S. Examining lexical development in second language learners: An approximate replication of Salsbury, Crossley & McNamara (2011). Lang. Teach. 2019, 52, 385–405. [Google Scholar]
- Lu, X. Automatic analysis of syntactic complexity in second language writing. Int. J. Corpus Linguist. 2010, 15, 474–496. [Google Scholar] [CrossRef]
- Lu, X. The relationship of lexical richness to the quality of ESL learners’ oral narratives. Mod. Lang. J. 2012, 96, 190–208. [Google Scholar] [CrossRef]
- Miestamo, M. Implicational hierarchies and grammatical complexity. In Language Complexity as an Evolving Variable; Sampson, G., Gil, D., Trudgill, P., Eds.; Oxford University Press: Oxford, UK, 2009; pp. 80–97. [Google Scholar]
- Wagner, R.K.; Puranik, C.S.; Foorman, B.; Foster, E.; Wilson, L.G.; Tschinkel, E.; Kantor, P.T. Modeling the development of written language. Read. Writ. 2011, 24, 203–220. [Google Scholar] [CrossRef] [Green Version]
- De Clercq, B.; Housen, A. A cross-linguistic perspective on syntactic complexity in L2 development: Syntactic elaboration and diversity. Mod. Lang. J. 2017, 101, 315–334. [Google Scholar] [CrossRef]
- Ellis, R. The differential effects of three types of task planning on the fluency, complexity, and accuracy in L2 oral production. Appl. Linguist. 2009, 3, 474–509. [Google Scholar] [CrossRef]
- Housen, A.; Kuiken, F. Complexity, accuracy, and fluency in second language acquisition. Appl. Linguist. 2009, 30, 461–473. [Google Scholar] [CrossRef] [Green Version]
- Peters, J.; Mulling, K.; Altun, Y. Relative entropy policy search. In Proceedings of the Twenty-Fourth AAAI Conference on Artificial Intelligence, Atlanta, GA, USA, 11–15 July 2010; pp. 1607–1612. [Google Scholar]
- Vedral, V. The role of relative entropy in quantum information theory. Rev. Mod. Phys. 2002, 74, 197. [Google Scholar] [CrossRef] [Green Version]
- Sayood, K. Information theory and cognition: A review. Entropy 2018, 20, 706. [Google Scholar] [CrossRef] [Green Version]
- Joe, H. Relative entropy measures of multivariate dependence. J. Am. Stat. Assoc. 1989, 84, 157–164. [Google Scholar] [CrossRef]
- Klingenstein, S.; Hitchcock, T.; DeDeo, S. The civilizing process in London’s Old Bailey. Proc. Natl. Acad. Sci. USA 2014, 111, 9419–9424. [Google Scholar] [CrossRef] [Green Version]
- Trotzke, A.; Zwart, J. The complexity of narrow syntax: Minimalism, representational economy and simplest Merge. In Measuring Grammatical Complexity; Newmeyer, F., Preston, L., Eds.; Oxford University Press: Oxford, UK, 2014; pp. 128–477. [Google Scholar]
- Arnold, J.; Wasow, T.; Losongco, A.; Ginstrom, R. Heaviness vs. newness: The effects of structural complexity and discourse status on constituent ordering. Language 2000, 17, 28–55. [Google Scholar] [CrossRef]
- Dahl, O. The Growth and Maintenance of Linguistic Complexity; John Benjamins: Amsterdam, The Netherlands, 2004. [Google Scholar]
- Givón, T. The Genesis of Syntactic Complexity: Diachrony, Ontogeny, Neuro-Cognition, Evolution; John Benjamins: Amsterdam, The Netherlands, 2009. [Google Scholar]
- Kusters, W. Complexity in linguistic theory language learning and language change. In Language Complexity: Typology, Contact, Change; Miestamo, M., Sinnemäki, K., Karlsson, F., Eds.; John Benjamins: Amsterdam, The Netherlands, 2008; pp. 3–22. [Google Scholar]
- Szmrecsanyi, B.; Kortmann, B. Introduction: Linguistic complexity: Second language acquisition indigenization contact. In Linguistic Complexity: Second Language Acquisition, Indigenization, Contact; Kortmann, B., Szmrecsanyi, B., Eds.; De Gruyter: Berlin, Germany, 2012; pp. 6–34. [Google Scholar]
- Juola, P. The time course of language change. Comput. Humanit. 2003, 37, 77–96. [Google Scholar] [CrossRef]
- Hughes, J.M.; Foti, N.J.; Krakauer, D.C.; Rockmore, D.N. Quantitative patterns of stylistic influence in the evolution of literature. Proc. Natl. Acad. Sci. USA 2012, 109, 7682–7686. [Google Scholar] [CrossRef] [PubMed] [Green Version]
- Unsworth, S. Comparing child L2 development with adult L2 development: How to measure L2 proficiency. In Current Trends in Child Second Language Acquisition; Gavruseva, E., Haznedar, B., Eds.; John Benjamins: Amsterdam, The Netherlands, 2008; pp. 301–336. [Google Scholar]
- DeKeyser, R.M. What makes learning second-language grammar difficult? A review of issues. Lang. Learn. 2005, 55, 1–25. [Google Scholar] [CrossRef]
- Alexandre, Z.; Oleg, S.; Giovanni, P. An information-theoretic perspective on the costs of cognition. Neuropsychologia 2019, 123, 5–18. [Google Scholar]
- Kuiken, F.; Vedder, I.; Housen, A.; De Clercq, B. Variation in syntactic complexity: Introduction. Int. J. Appl. Linguist. 2019, 29, 161–170. [Google Scholar] [CrossRef] [Green Version]
- Mazgutova, D.; Kormos, J. Syntactic and lexical development in an intensive English for Academic Purposes programme. J. Second Lang. Writ. 2015, 29, 3–15. [Google Scholar] [CrossRef] [Green Version]
- Ansarifar, A.; Shahriari, H.; Pishghadam, R. Phrasal complexity in academic writing: A comparison of abstracts written by graduate students and expert writers in applied linguistics. J. Engl. Acad. Purp. 2018, 31, 58–71. [Google Scholar] [CrossRef]
- Paquot, M. Phraseological competence: A missing component in university entrance language tests? Insights from a study of EFL learners’ use of statistical collocations. Lang. Assess. Q. 2018, 15, 29–43. [Google Scholar] [CrossRef]
- Paquot, M. The phraseological dimension in interlanguage complexity research. Second Lang. Res. 2019, 35, 121–145. [Google Scholar] [CrossRef]
- Shannon, C.E. A mathematical theory of communication. Bell Syst. Tech. J. 1948, 27, 379–423. [Google Scholar] [CrossRef] [Green Version]
- Kullback, S.; Leibler, R.A. On information and sufficiency. Ann. Math. Stat. 1951, 22, 79–86. [Google Scholar] [CrossRef]
- Sun, K.; Liu, H.; Xiong, W. The evolutionary pattern of language in scientific writings: A case study of Philosophical Transactions of Royal Society (1665–1869). Scientometrics 2021, 126, 1695–1724. [Google Scholar] [CrossRef]
- Murdock, J.; Allen, C.; DeDeo, S. Exploration and exploitation of Victorian science in Darwin’s reading notebooks. Cognition 2017, 159, 117–126. [Google Scholar] [CrossRef] [Green Version]
- Chen, L.; Wise, S. Neuronal activity in the supplementary eye field during acquisition of conditional oculomotor associations. J. Neurophysiol. 1995, 73, 1101–1121. [Google Scholar] [CrossRef] [Green Version]
- Ehret, K.; Szmrecsanyi, B. Compressing learner language: An information-theoretic measure of complexity in SLA production data. Second Lang. Res. 2019, 35, 23–45. [Google Scholar] [CrossRef] [Green Version]
- Thoiron, P. Diversity index and entropy as measures of lexical richness. Comput. Humanit. 1986, 20, 197–202. [Google Scholar] [CrossRef]
- Hale, J. Information-theoretical complexity metrics. Lang. Linguist. Compass 2016, 10, 397–412. [Google Scholar] [CrossRef]
- Huang, Y.; Murakami, A.; Alexopoulou, T.; Korhonen, A. Dependency parsing of learner English. Int. J. Corpus Linguist. 2018, 23, 28–54. [Google Scholar] [CrossRef]
- Römer, U. A corpus perspective on the development of verb constructions in second language learners. Int. J. Corpus Linguist. 2019, 24, 268–290. [Google Scholar] [CrossRef]
- Lin, J. Divergence measures based on the Shannon entropy. IEEE Trans. Inf. Theory 1991, 37, 145–151. [Google Scholar] [CrossRef] [Green Version]
- Jurafsky, D.; Martin, J.H. Speech and Language Processing; Prentice Hall: Upper Saddle River, NJ, USA, 2008. [Google Scholar]
- Biber, D.; Johansson, S.; Leech, G.; Conrad, S.; Finegan, E.; Quirk, R. Longman Grammar of Spoken and Written English; Longman: London, UK, 1999; pp. 994–995. [Google Scholar]
- Degaetano-Ortlieb, S.; Teich, E. Towards an optimal code for communication: The case of scientific English. Corpus Linguist. Linguist. Theory 2019. [Google Scholar] [CrossRef] [Green Version]
- Comrie, B. The acquisition of relative clauses in relation to language typology. Stud. Second Lang. Acquis. 2007, 29, 301–309. [Google Scholar] [CrossRef]
- Wells, J.B.; Christiansen, M.H.; Race, D.S.; Acheson, D.J.; MacDonald, M.C. Experience and sentence processing: Statistical learning and relative clause comprehension. Cogn. Psychol. 2009, 58, 250–271. [Google Scholar] [CrossRef] [Green Version]
- Kyle, K.; Crossley, S.A. Measuring syntactic complexity in L2 writing using fine-grained clausal and phrasal indices. Mod. Lang. J. 2018, 102, 333–349. [Google Scholar] [CrossRef]
- Norris, J.M.; Ortega, L. Towards an organic approach to investigating CAF in instructed SLA: The case of complexity. Appl. Linguist. 2009, 30, 555–578. [Google Scholar] [CrossRef]
- Lu, X.; Ai, H. Syntactic complexity in college-level English writing: Differences among writers with diverse L1 backgrounds. J. Second Lang. Writ. 2015, 29, 16–27. [Google Scholar] [CrossRef]
- Vyatkina, N. The development of second language writing complexity in groups and individuals: A longitudinal learner corpus study. Mod. Lang. J. 2012, 96, 576–598. [Google Scholar] [CrossRef] [Green Version]
- De Bot, K.; Lowie, W.; Verspoor, M. A dynamic systems theory approach to second language acquisition. Biling. Lang. Cogn. 2007, 10, 7–21. [Google Scholar] [CrossRef] [Green Version]
- Kempe, V.; Brooks, P.J. Linking adult second language learning and diachronic change: A cautionary note. Front. Psychol. 2018, 9, 480. [Google Scholar] [CrossRef] [PubMed] [Green Version]
- Hamilton, J.D. Time Series Analysis; Princeton University Press: Princeton, NJ, USA, 2020. [Google Scholar]
- Hyndman, R.J.; Athanasopoulos, G. Forecasting: Principles and Practice. Available online: https://otexts.com/fpp2/ (accessed on 8 August 2021).
- Crossley, S.A.; McNamara, D.S. Does writing development equal writing quality? A computational investigation of syntactic complexity in L2 learners. J. Second Lang. Writ. 2014, 26, 66–79. [Google Scholar] [CrossRef]
- Grosse, I.; Bernaola-Galván, P.; Carpena, P.; Román-Roldán, R.; Oliver, J.; Stanley, H.E. Analysis of symbolic sequences using the Jensen-Shannon divergence. Phys. Rev. E 2002, 65, 041905. [Google Scholar] [CrossRef] [Green Version]
- Liese, F.; Vajda, I. On divergences and informations in statistics and information theory. IEEE Trans. Inf. Theory 2006, 52, 4394–4412. [Google Scholar] [CrossRef] [Green Version]



| Word | 1810s | 1820s | 1830s | 1840s |
|---|---|---|---|---|
| Take | 728 | 556 | 665 | 529 |
| Took | 168 | 327 | 351 | 333 |
| Taken | 228 | 345 | 344 | 324 |
| Taking | 133 | 144 | 164 | 165 |
| Takes | 158 | 63 | 76 | 86 |
| Total | 1415 | 1435 | 1600 | 1437 |
| L2 Learners’ Proficiency Levels | Texts | Learners | Tokens | Lemmas |
|---|---|---|---|---|
| A1 | 625,985 | 103,742 | 28.8 M | 27,065 |
| A2 | 307,996 | 52,734 | 24 M | 32,051 |
| B1 | 168,361 | 32,852 | 18.4 M | 26,276 |
| B2 | 61,329 | 13,951 | 9.3 M | 21,312 |
| C1 | 14,698 | 2839 | 2.8 M | 16,464 |
| Cross-Proficiency Levels of L2 | KLD of Grammar | KLD of Lexicon | |||||||
|---|---|---|---|---|---|---|---|---|---|
| POS-Trigram | Sub-Conj. | Token | Lemma | ||||||
| A1→A2 | A1→(A2, B1, B2, C1) | 0.37 | ![]() (coef = 0.21, p < 0.001) | 0.56 | ![]() (coef = 0.07, p = 0.31) | 1.41 | ![]() (coef = 0.03, p = 0.18) | 0.52 | ![]() (coef = 0.15, p = 0.2) |
| A1→B1 | 0.58 | 0.81 | 1.41 | 0.84 | |||||
| A1→B2 | 0.78 | 0.68 | 1.42 | 1.09 | |||||
| A1→C1 | 1.0 | 0.82 | 1.52 | 0.93 | |||||
| A2→B1 | A2→(B1, B2, C1) | 0.2 | ![]() (coef = 0.16, p = 0.13) | 0.24 | ![]() (coef = 0.12, p = 0.016) | 1.29 | ![]() (coef = −0.25, p = 0.13) | 0.71 | ![]() (coef = 0.025, p = 0.66) |
| A2→B2 | 0.3 | 0.35 | 1.13 | 0.81 | |||||
| A2→C1 | 0.51 | 0.47 | 0.78 | 0.76 | |||||
| B1→B2 | B1→(B2, C1) | 0.13 | 0.085 | 1.1 | 0.62 | ||||
| B1→C1 | 0.21 | 0.11 | 0.87 | 0.54 | |||||
| B2→C1 | B2→(C1) | 0.16 | 0.052 | 0.52 | 0.51 | ||||
| Cross-Proficiency Levels of L2 | KLD of Grammar | KLD of Lexicon | |||||||
|---|---|---|---|---|---|---|---|---|---|
| POS-Trigram | Sub-Conj. | Token | Lemma | ||||||
| A1→C1 | (A1, A2, B1, B2)→C1 | 1.0 | ![]() (coef = −0.28, p = 0.056) | 0.82 | ![]() (coef = −0.27, p = 0.034) | 1.52 | ![]() (coef = −0.29, p = 0.12) | 0.93 | ![]() (coef = −0.15, p = 0.034) |
| A2→C1 | 0.51 | 0.47 | 0.78 | 0.76 | |||||
| B1→C1 | 0.21 | 0.11 | 0.87 | 0.54 | |||||
| B2→C1 | 0.16 | 0.05 | 0.52 | 0.51 | |||||
| A1→B2 | (A1, A2, B1)→B2 | 0.78 | ![]() (coef = −0.33, p = 0.171) | 0.68 | ![]() (coef = −0.3, p = 0.04) | 1.42 | ![]() (coef = −0.16, p = 0.28) | 1.09 | ![]() (coef = −0.24, p = 0.07) |
| A2→B2 | 0.3 | 0.35 | 1.13 | 0.81 | |||||
| B1→B2 | 0.13 | 0.085 | 1.1 | 0.62 | |||||
| A1→B1 | (A1, A2)→B1 | 0.58 | ![]() | 0.81 | ![]() | 1.41 | ![]() | 0.84 | ![]() |
| A2→B1 | 0.2 | 0.24 | 1.28 | 0.71 | |||||
| A1→A2 | (A1)→A2 | 0.37 | 0.56 | 1.41 | 0.52 | ||||
| Cross-Proficiency Levels of L2 | KLD of Grammar | KLD of Lexicon | |||||||
|---|---|---|---|---|---|---|---|---|---|
| POS-Trigram | Sub-Conj. | Token | Lemma | ||||||
| A1→A2 | adjacent levels | 0.37 | ![]() (coef = −0.07, p = 0.16) | 0.56 | ![]() (coef = −0.16, p = 0.086) | 1.41 | ![]() (coef = −0.28, p = 0.063) | 0.52 | |
| A2→B1 | 0.2 | 0.24 | 1.28 | 0.71 | |||||
| B1→B2 | 0.13 | 0.085 | 1.1 | 0.62 | |||||
| B2→C1 | 0.16 | 0.081 | 0.52 | 0.51 | |||||
Publisher’s Note: MDPI stays neutral with regard to jurisdictional claims in published maps and institutional affiliations. |
© 2021 by the authors. Licensee MDPI, Basel, Switzerland. This article is an open access article distributed under the terms and conditions of the Creative Commons Attribution (CC BY) license (https://creativecommons.org/licenses/by/4.0/).
Share and Cite
Sun, K.; Wang, R. Using the Relative Entropy of Linguistic Complexity to Assess L2 Language Proficiency Development. Entropy 2021, 23, 1080. https://doi.org/10.3390/e23081080
Sun K, Wang R. Using the Relative Entropy of Linguistic Complexity to Assess L2 Language Proficiency Development. Entropy. 2021; 23(8):1080. https://doi.org/10.3390/e23081080
Chicago/Turabian StyleSun, Kun, and Rong Wang. 2021. "Using the Relative Entropy of Linguistic Complexity to Assess L2 Language Proficiency Development" Entropy 23, no. 8: 1080. https://doi.org/10.3390/e23081080
APA StyleSun, K., & Wang, R. (2021). Using the Relative Entropy of Linguistic Complexity to Assess L2 Language Proficiency Development. Entropy, 23(8), 1080. https://doi.org/10.3390/e23081080



