Due to scheduled maintenance work on our servers, there may be short service disruptions on this website between 11:00 and 12:00 CEST on March 28th.
Sign in to use this feature.

Years

Between: -

Subjects

remove_circle_outline
remove_circle_outline
remove_circle_outline
remove_circle_outline
remove_circle_outline
remove_circle_outline
remove_circle_outline
remove_circle_outline
remove_circle_outline

Journals

Article Types

Countries / Regions

remove_circle_outline
remove_circle_outline
remove_circle_outline
remove_circle_outline

Search Results (332)

Search Parameters:
Keywords = yield flexural strength

Order results
Result details
Results per page
Select all
Export citation of selected articles as:
13 pages, 3458 KB  
Article
Concentration-Dependent Reinforcement of Self-Curing Poly(methyl methacrylate) with Polyetheretherketone: Mechanical Performance and Physicochemical Stability
by Hsiu-Na Lin, May-Show Chen, Wei-Fang Lee, Pei-Wen Peng, Tzu-Yu Peng, Tien-Li Ma and Chung-Kwei Lin
Materials 2026, 19(7), 1320; https://doi.org/10.3390/ma19071320 (registering DOI) - 26 Mar 2026
Abstract
Self-curing poly(methyl methacrylate) (PMMA) remains widely used for provisional restorations and denture bases; however, its limited mechanical strength and susceptibility to water-related degradation restrict long-term performance. This study investigated the concentration-dependent reinforcement of self-curing PMMA with polyetheretherketone (PEEK) particles and evaluated mechanical properties [...] Read more.
Self-curing poly(methyl methacrylate) (PMMA) remains widely used for provisional restorations and denture bases; however, its limited mechanical strength and susceptibility to water-related degradation restrict long-term performance. This study investigated the concentration-dependent reinforcement of self-curing PMMA with polyetheretherketone (PEEK) particles and evaluated mechanical properties and physicochemical stability. PMMA specimens containing different PEEK concentrations were fabricated and tested for flexural strength, compressive strength, surface hardness, water sorption, and water solubility according to standardized protocols. Mechanical performance demonstrated a concentration-dependent enhancement, with moderate PEEK incorporation significantly improving strength parameters compared to the control group. Excessive filler loading, however, did not yield proportional improvements. Water sorption and solubility values remained within clinically acceptable and ISO-recommended limits. These findings suggest that controlled PEEK reinforcement provides a feasible approach to enhancing the mechanical durability of self-curing PMMA without compromising physicochemical stability. The study offers a practical material modification strategy for improving interim prosthetic materials in clinical dentistry. Full article
(This article belongs to the Section Advanced Composites)
Show Figures

Graphical abstract

24 pages, 3300 KB  
Article
Self-Healing of Medium-Strength Concrete Using Paenibacillus polymyxa and Calcium Carbonate: Assessment of Crack Closure and Mechanical Recovery for Vulnerable Housing
by Jenniffer Salazar-Enriquez, Pierina Reyes-Villar and Gonzalo Díaz-García
Buildings 2026, 16(7), 1297; https://doi.org/10.3390/buildings16071297 - 25 Mar 2026
Abstract
Concrete infrastructure in coastal regions is prone to premature degradation due to crack formation under aggressive environmental exposure. Conventional repair methods remain costly and often ineffective. This study evaluates a biomineral self-healing system incorporating Paenibacillus polymyxa spores and calcium carbonate (CaCO3) [...] Read more.
Concrete infrastructure in coastal regions is prone to premature degradation due to crack formation under aggressive environmental exposure. Conventional repair methods remain costly and often ineffective. This study evaluates a biomineral self-healing system incorporating Paenibacillus polymyxa spores and calcium carbonate (CaCO3) to improve the durability and mechanical performance of medium-strength concrete with a design compressive strength of 21 MPa, intended for vulnerable coastal housing. A full factorial experimental program was conducted using three bacterial concentrations (1.0%, 1.5%, 2.0% of mixing water volume) and three CaCO3 dosages (3%, 5%, 7% as cement replacement). Specimens were pre-cracked under compressive loading, exposed to a simulated coastal environment, and monitored for 28 days. The optimal formulation (2% bacteria + 5% CaCO3) yielded an 8.8% increase in compressive strength and a 24% increase in flexural strength compared with the control. Crack width reduction reached up to 0.23 mm (65.7%) under wet curing, with effective sealing observed for cracks ≤ 0.5 mm. Recovered compressive strength after healing reached 17.3 MPa, equivalent to 71% of the design strength. These findings demonstrate the potential of P. polymyxa as a viable non-ureolytic agent for self-healing concrete, offering a simple and scalable strategy to extend service life in resource-limited coastal regions while supporting Sustainable Development Goals 9 and 11. Full article
Show Figures

Figure 1

15 pages, 5166 KB  
Article
Improving and Optimizing Mechanical Properties of Glass Fiber-Reinforced Composites via Geometric Optimization of Nanofillers Using Co-Curing Processes
by Eonsu Yun, Hyunjong Choi, Joon Seok Lee, Byoung-Sun Lee and Hyunchul Ahn
Polymers 2026, 18(6), 777; https://doi.org/10.3390/polym18060777 - 23 Mar 2026
Viewed by 211
Abstract
This study investigates the effects of the co-curing process and nanoparticle reinforcement on the mechanical performance of plain-woven glass fiber-reinforced plastic (GFRP) adhesive joints, aiming to address the limitations of traditional fastening methods and the inherent brittleness of epoxy adhesives. Specifically, spherical silica [...] Read more.
This study investigates the effects of the co-curing process and nanoparticle reinforcement on the mechanical performance of plain-woven glass fiber-reinforced plastic (GFRP) adhesive joints, aiming to address the limitations of traditional fastening methods and the inherent brittleness of epoxy adhesives. Specifically, spherical silica (SiO2) and plate-like graphene nanoplatelets (GNPs) were incorporated into the epoxy matrix at varying concentrations (0.25 to 1.0 wt.%) to evaluate the influence of particle geometry on joint integrity. Experimental results demonstrated that the co-curing technique yields superior mechanical properties compared to secondary bonding, exhibiting improvements of 35% in shear strength (from 10.97 MPa to 14.83 MPa) and 12% in flexural strength (from 72.57 MPa to 81.28 MPa) due to enhanced chemical interlocking. Furthermore, the addition of nanoparticles significantly improved joint performance, with the optimal content identified at 0.75 wt.% for both particle types. Notably, GNPs outperformed SiO2, enhancing shear and flexural strengths compared to the neat co-cured baseline. Ultimately, the 0.75 wt.% GNP-reinforced material exhibited a shear strength of 21.22 MPa and a flexural strength of 104.09 MPa. Morphological analysis revealed that while SiO2 contributes to reinforcement primarily via crack deflection, the high-aspect-ratio GNPs provide superior energy dissipation through crack bridging and pull-out mechanisms. Consequently, this study suggests that the co-curing process combined with an optimal concentration of GNPs presents a highly effective strategy for maximizing the reliability and structural efficiency of composite joints in weight-critical applications. Full article
(This article belongs to the Section Polymer Composites and Nanocomposites)
Show Figures

Figure 1

20 pages, 4834 KB  
Article
Tubular Membrane Coupled with Marine Waste-Derived Hybrid Adsorbent for Textile Micropollutant Removal and Photochemical Regeneration
by Rania Chihi, Mouna Ibn Mahresi, Fadhila Ayari, Lamjed Mansour and Amel Ben Othman
Membranes 2026, 16(3), 110; https://doi.org/10.3390/membranes16030110 - 19 Mar 2026
Viewed by 238
Abstract
The development of sustainable ceramic membranes remains a major challenge for advanced wastewater treatment, particularly regarding the trade-off between mechanical durability and the removal of dissolved micropollutants. While bentonite membranes offer high stability, they often lack the selective adsorption sites required for complex [...] Read more.
The development of sustainable ceramic membranes remains a major challenge for advanced wastewater treatment, particularly regarding the trade-off between mechanical durability and the removal of dissolved micropollutants. While bentonite membranes offer high stability, they often lack the selective adsorption sites required for complex effluents, and the recovery of high-capacity powder adsorbents remains technically prohibitive. This paper addresses these gaps by developing an integrated hybrid system that combines eco-friendly bentonite-based tubular membranes with regenerable clam shell-derived adsorbents. The membranes were synthesized using natural plasticizers and binders with optimization at a sintering temperature of 1000 °C yielding an average pore size of 1.7 µm, a high flexural strength of 24.06 MPa, and a permeability of 525 L h−1 m−2 bar−1. To enhance the performance, clam shell powder was integrated as a functional adsorbent layer. When applied to real textile effluent from a jeans washing plant, this integrated process achieved superior removal efficiencies: 85.6% COD, 86.5% BOD5, 86.5% TSS, and 96.5% color. A key scientific contribution of this paper is the successful application of a photochemical regeneration approach, which ensures complete adsorbent recovery and maintains membrane flux, directly supporting circular economy objectives. These results demonstrate that combining low-cost ceramic scaffolds with marine waste-derived materials provides a unique, efficient, and green solution for the scalable treatment of industrial wastewater. Full article
Show Figures

Figure 1

29 pages, 12096 KB  
Article
Mechanical, Viscoelastic, Thermal and Morphological Properties of Hexagonal Boron Nitride (h-BN)-Doped Polyester Nano-Gelcoat Under Hydrothermal Aging
by Gokhan Demircan, Mustafa Ozen, Cennet Cakmak, Busra Nur Celik, Abuzer Acikgoz and Murat Kisa
Polymers 2026, 18(6), 743; https://doi.org/10.3390/polym18060743 - 18 Mar 2026
Viewed by 258
Abstract
Fiber-reinforced polymer (FRP) composites used in marine environments suffer progressive degradation due to hydrothermal aging, which undermines their structural, physical and morphological integrity. In this study, a novel polyester-based nano-gelcoat reinforced with hexagonal boron nitride (h-BN) nanoparticles was developed as an advanced FRP [...] Read more.
Fiber-reinforced polymer (FRP) composites used in marine environments suffer progressive degradation due to hydrothermal aging, which undermines their structural, physical and morphological integrity. In this study, a novel polyester-based nano-gelcoat reinforced with hexagonal boron nitride (h-BN) nanoparticles was developed as an advanced FRP composite coating for marine applications. Glass fiber/epoxy laminates coated with h-BN/polyester nano-gelcoat were subjected to accelerated hydrothermal aging (immersion in 80 °C artificial seawater for 90 days). Mechanical (tensile/flexural tests), viscoelastic (creep and stress relaxation), thermal (DSC/TGA), and morphological (optical microscopy/SEM) analyses were performed on aged and unaged samples. The h-BN-enhanced nano-gelcoat increased the composite’s resistance to hydrothermal aging. In particular, the optimally doped nano-gelcoat (~1 wt% h-BN) retained the highest tensile and flexural strength and modulus, reducing the property losses seen in the unreinforced system by about half (flexural strength 531.29 MPa vs. 1070.52 MPa for the uncoated laminate). Thermal analysis indicated elevated decomposition onset temperatures and higher char yields with h-BN, confirming improved thermal stability. Morphological observations revealed well-dispersed h-BN at 1 wt% with minimal microcracking, whereas higher filler loadings led to agglomeration. Additionally, a TOPSIS-based multi-criteria decision-making (MCDM) analysis was performed across mechanical, viscoelastic, and thermal metrics, which identified the 1 wt% h-BN coating as the most balanced formulation after hydrothermal aging. Full article
(This article belongs to the Section Polymer Composites and Nanocomposites)
Show Figures

Figure 1

19 pages, 3999 KB  
Article
Microstructural Evolution and Physico-Mechanical Response of Cement-Bonded Fiberboards: A Comparative Study on Cement Type and Fiber Ratio
by Emrecan Arpaci, Sebnem S. Arpaci and Ergun Guntekin
Processes 2026, 14(6), 963; https://doi.org/10.3390/pr14060963 - 18 Mar 2026
Viewed by 149
Abstract
This study investigates the interplay between Portland cement strength class (32.5, 42.5, and 52.5) and fiber/cement ratio (ranging from 1/2 to 1/5 by weight) to optimize the physical-mechanical and thermal performance of cement-bonded fiberboards. The experimental data revealed a distinct trade-off: while reducing [...] Read more.
This study investigates the interplay between Portland cement strength class (32.5, 42.5, and 52.5) and fiber/cement ratio (ranging from 1/2 to 1/5 by weight) to optimize the physical-mechanical and thermal performance of cement-bonded fiberboards. The experimental data revealed a distinct trade-off: while reducing the fiber content towards a 1/5 ratio significantly improved flexural strength and dimensional stability through matrix densification, it inevitably compromised thermal insulation. Among the binders evaluated, the 42.5 strength class emerged as the most effective option, outperforming the 32.5 class and, notably, offering a more balanced profile than the 52.5 class. The highest stiffness was recorded with the 42.5 cement at a 1/5 ratio (modulus of elasticity (MOE): 5902 ± 532 N/mm2; modulus of rupture (MOR): 12.49 ± 0.6 N/mm2), yielding performance metrics comparable to the 1/4 ratio (MOR: 12.78 N/mm2). Furthermore, this formulation demonstrated superior moisture resistance, achieving water absorption (WA) values as low as 18.9%. Thermal conductivity (TC) measurements at 20 °C confirmed that while fiber-rich mixtures (1/2 ratio) favored insulation, the 42.5 cement at a 1/4 ratio maintained a competitive conductivity value (λ = 0.1625 W/mK), lower than that of the 52.5 grade, thereby striking a critical balance between structural integrity and thermal efficiency. Statistical analyses (Two-way ANOVA, p < 0.05) corroborated the significant influence of both cement type and mix ratio. Microstructural insights from Fourier transform infrared spectroscopy (FTIR), X-ray diffraction (XRD), and scanning electron microscopy (SEM) suggest that the superior performance of the 42.5 cement is associated with optimized hydration kinetics and a well-graded particle size distribution (D50 = 14.80 µm), which together facilitated effective fiber encapsulation. Full article
Show Figures

Figure 1

24 pages, 5410 KB  
Article
Performance and Microstructural Assessment of Concrete Mixes Reinforced with Corn Fiber
by Deya Qtiashat, Ala Abu Taqa, Ali Alqatawna, Ahmad Al-Shabatat, Mohamed O. Mohsen and Mohamed S. Al Ansari
J. Compos. Sci. 2026, 10(3), 159; https://doi.org/10.3390/jcs10030159 - 13 Mar 2026
Viewed by 210
Abstract
This study evaluates the mechanical performance and failure characteristics of concrete reinforced with corn fibers as a sustainable natural additive. Corn fibers were incorporated at 0.25%, 0.5%, and 1.5% by weight of cement, with a control mix used for comparison. All mixtures were [...] Read more.
This study evaluates the mechanical performance and failure characteristics of concrete reinforced with corn fibers as a sustainable natural additive. Corn fibers were incorporated at 0.25%, 0.5%, and 1.5% by weight of cement, with a control mix used for comparison. All mixtures were prepared at a constant water–cement ratio and adjusted for workability using a high-range water-reducing admixture. Results indicate that fiber dosage significantly influences strength and fracture behavior. The 0.5% fiber content yielded the best performance, improving compressive and flexural strength by approximately 36% and 24%, respectively, and promoting enhanced crack control and ductile response. In contrast, excessive fiber addition reduced performance due to fiber clustering and higher pore content. This study confirms that properly proportioned corn fibers can enhance concrete properties while encouraging sustainable construction through the reuse of agricultural waste. SEM further indicated a denser and more refined microstructure in the fiber-modified matrix. An ANOVA analysis and Tukey’s HSD post hoc test were performed to assess the influence of corn fiber content on the compressive, flexural, and tensile strengths of concrete mixtures, revealing statistically significant effects. Overall, the results highlight the potential of corn fiber reinforcement to improve the short-term mechanical performance of concrete mixes. Full article
(This article belongs to the Section Fiber Composites)
Show Figures

Figure 1

18 pages, 3920 KB  
Article
Evaluation of Static Yield Stress and Buildability of PVA Fiber-Reinforced Mortars for 3D Printing Using a Vane Shear Test
by Shoma Uehara, Yusei Ohshiro, Kanako Shima, Kazuya Sakamoto and Kentaro Yasui
Materials 2026, 19(6), 1093; https://doi.org/10.3390/ma19061093 - 12 Mar 2026
Viewed by 171
Abstract
Three-dimensional printing (3DP) has gained increasing attention in construction as a means of addressing labor shortages and improving efficiency. Various studies have investigated fiber-reinforced mortars for 3DP. However, only a few studies have examined mixture design strategies aimed at controlling early structural build-up, [...] Read more.
Three-dimensional printing (3DP) has gained increasing attention in construction as a means of addressing labor shortages and improving efficiency. Various studies have investigated fiber-reinforced mortars for 3DP. However, only a few studies have examined mixture design strategies aimed at controlling early structural build-up, and the relationships between early structural build-up, printability, and interlayer stability remain largely unexplored. This study aimed to establish a practical method for evaluating the static yield stress and early buildability of 3DP mortars under construction-site conditions. Vane shear and 15-stroke flow tests were conducted to assess the static and dynamic behavior of mortars incorporating polyvinyl alcohol (PVA) fibers, and their compressive and flexural strengths were also evaluated. According to the results, the vane shear test sensitively captured the rheological changes associated with variations in fiber content and superplasticizer dosage. The addition of PVA fibers increased the maximum shear stress of the mortar, resulting in atypical static yield stress development compared to fiber-free mortars. While the 15-stroke flow test further elucidated flowability, the vane shear test revealed a stronger correlation between mechanical properties and overall buildability. Thus, vane shear testing can be reliably used to assess early-age structural build-up and interlayer stability in 3DP mortars for optimizing print performance. Full article
Show Figures

Graphical abstract

12 pages, 3429 KB  
Communication
A Novel Approach to Optimize the Rheology and Buildability of 3D-Printed Magnesium Phosphate Cement Composites Using Carbonated Recycled Aggregate
by Mingxu Chen, Xingyu Qu, Yilin Wang, Xingang Xu, Xuelin Liu, Heyang Wu and Qiuyi Li
Materials 2026, 19(6), 1060; https://doi.org/10.3390/ma19061060 - 11 Mar 2026
Viewed by 229
Abstract
Controlling structural deformation is essential for the structural stability of 3D-printed cement composites. In this paper, carbonated recycled aggregate (CRA) was incorporated into 3D-printed magnesium phosphate cement composites (MPCCs) to control rheology and improve buildability. Experimental results show that CRA increased the static [...] Read more.
Controlling structural deformation is essential for the structural stability of 3D-printed cement composites. In this paper, carbonated recycled aggregate (CRA) was incorporated into 3D-printed magnesium phosphate cement composites (MPCCs) to control rheology and improve buildability. Experimental results show that CRA increased the static yield stress from 2210.96 to 6238.18 Pa and the storage modulus. When the incorporation of CRA was more than 15%, the phase angle was less than 45°, indicating predominantly solid-like behavior. Additionally, due to the higher porosity, the compressive strength and flexural strength of 3D-printed MPCCs decrease with the increasing CRA content; however, the decline tendency becomes significantly more pronounced when CRA content exceeds 10%. Structural deformation decreased from 14.39% to 6.91%, attributed to the rough surface of CRA, which promotes more uniform stress transfer during stacking. This study demonstrates a simple upcycling route that improves the printing stability and sustainability of 3D-printed magnesium phosphate cement composites (MPCCs). Full article
Show Figures

Graphical abstract

22 pages, 2729 KB  
Article
Polymer-Modified Fiber-Reinforced Electrically Conductive Composites with Enhanced Bond Properties
by Abdulkader El-Mir, Mohammad Ghamlush, Joseph J. Assaad, Amr El-Dieb and Hilal El-Hassan
Buildings 2026, 16(5), 1074; https://doi.org/10.3390/buildings16051074 - 8 Mar 2026
Viewed by 304
Abstract
This study examines the combined effects of styrene–butadiene rubber (SBR) latex and fiber reinforcement on the mechanical and electrical properties of a high-performance fiber-reinforced composite (HPFRC). Mixtures incorporating steel fibers (SF, 0–4.5%), carbon fibers (CF, 0–1%), and hybrid SF/CF systems were evaluated, with [...] Read more.
This study examines the combined effects of styrene–butadiene rubber (SBR) latex and fiber reinforcement on the mechanical and electrical properties of a high-performance fiber-reinforced composite (HPFRC). Mixtures incorporating steel fibers (SF, 0–4.5%), carbon fibers (CF, 0–1%), and hybrid SF/CF systems were evaluated, with 10–20% of the mixing water replaced by SBR. Electrical resistivity, rheological behavior, mechanical properties, and durability-related parameters were assessed and compared with plain and fiber-reinforced mixtures. Results showed that SBR significantly improved rheological behavior, flexural performance, durability, and interfacial bonding, while moderately enhancing compressive strength. The incorporation of fibers led to reduced electrical resistivity, with CF being more effective than SF, and the lowest resistivity of 4 Ω·m was achieved using a hybrid system of 0.25% CF and 1.5% SF. The addition of SF up to 1.5% increased compressive strength by up to 21%, whereas CF at 0.5% yielded the highest strength of 120 MPa. Durability indicators, including water absorption, sorptivity, and ultrasonic pulse velocity, were significantly improved at low SBR and fiber dosages. Interfacial treatment with SBR enhanced slant shear and pull-off strengths by up to 75% and 121%, respectively, confirming the effectiveness of polymer modification for multifunctional and repair-oriented HPFRC applications. Full article
(This article belongs to the Section Building Materials, and Repair & Renovation)
Show Figures

Figure 1

25 pages, 8895 KB  
Article
Residual Axial Resistance of Cross-Shaped Steel-Reinforced Concrete Columns After Impact Loading: Experimental and Numerical Investigations
by Yongwei Guo, Xiang Zhu, Wenbo Li and Guangze Lei
Buildings 2026, 16(5), 1072; https://doi.org/10.3390/buildings16051072 - 8 Mar 2026
Viewed by 169
Abstract
To investigate how lateral impact influences the residual axial resistance capacity of cross-shaped steel-reinforced concrete (CSRC) columns, the residual axial resistance test was carried out following impact test. A finite element model (FEM) was developed to simulate axial and lateral impact loading, and [...] Read more.
To investigate how lateral impact influences the residual axial resistance capacity of cross-shaped steel-reinforced concrete (CSRC) columns, the residual axial resistance test was carried out following impact test. A finite element model (FEM) was developed to simulate axial and lateral impact loading, and its accuracy was confirmed through comparison with test results. The analysis shows that the numerical model can simulate the impact force, deflection, deformation mode and residual axial resistance of the column with adequate accuracy. With the verified finite element models, the residual axial resistance (Nr) of CSRC columns under six different parameters was further analyzed. Results demonstrate that the column primarily undergoes flexural deformation under impact, whereas shear effects are localized at the impact zone. A higher structural steel ratio (α) and yield strength of the cross-shaped steel (q) contribute to improved Nr and reduced mid-span displacement (Δmax). With the increase in compressive strength of concrete (c) and axial compression ratio (n), the Nr increases to a certain level and then decreases, and the Δmax decreases first and then increases in a similar manner. The change in slenderness ratio (γ) in a small range can improve the Nr of the column, and the significant increase in γ results in instability and failure. In particular, when the slenderness ratio increases from 8 to 12, the residual bearing capacity of the column decreases by 19.4%. This study proposes a residual bearing capacity-prediction formula based on seven key influencing parameters, which shows high accuracy (R2 = 0.93). A damage evaluation index based on flexural bearing capacity (Ddag) is introduced, and the structural state is accordingly classified into four damage levels. Compared with conventional numerical simulations that typically require more than 3 h of computation time, the proposed method can rapidly complete the damage assessment of columns within 5 min, providing an efficient approach for structural safety evaluation and response strategies. Full article
(This article belongs to the Section Building Structures)
Show Figures

Figure 1

20 pages, 4880 KB  
Article
Melamine-Functionalized Graphene Oxide as a Multifunctional Modifier for High-Performance Epoxy Nanocomposites with Enhanced Mechanical Properties and Thermal Stability
by Anton Mostovoy, Andrey Shcherbakov, Amirbek Bekeshev, Sergey Brudnik, Andrey Yakovlev, Arai Zhumabekova, Elena Yakovleva, Sholpan Ussenkulova, Oleg Rastegaev and Marina Lopukhova
Polymers 2026, 18(5), 657; https://doi.org/10.3390/polym18050657 - 7 Mar 2026
Viewed by 452
Abstract
Developing polymer composites with improved mechanical and thermal properties requires strategies to overcome the problem of agglomeration and weak interfacial interactions of carbon nanofillers. This paper presents an effective strategy for the covalent functionalization of graphene oxide (GO) with melamine to create high-performance [...] Read more.
Developing polymer composites with improved mechanical and thermal properties requires strategies to overcome the problem of agglomeration and weak interfacial interactions of carbon nanofillers. This paper presents an effective strategy for the covalent functionalization of graphene oxide (GO) with melamine to create high-performance epoxy nanocomposites. The functionalization results in the formation of nitrogen-containing heterocyclic structures on the GO surface, as confirmed by FTIR and Raman spectroscopy. The addition of the obtained modified filler (mel-GO) into the epoxy matrix provides a synergistic effect: the melamine amino groups catalytically accelerate curing, reducing the gelation time from 146 to 48 min and increasing the maximum self-heating temperature from 94 to 122 °C, thus indicating enhanced interfacial interaction. This interaction results in a remarkable overall improvement in mechanical properties: tensile and flexural strengths increase by more than 20%, and elastic moduli by 31% and 58%, respectively, compared to the composite containing unmodified GO. At the same time, impact strength (from 14 to 23 kJ/m2) and hardness (up to 87 Shore D) increase. A key achievement is a dramatic increase in thermal and thermal-oxidative stability: the onset temperature of decomposition (T5%) increases by 27 °C, the half-decomposition temperature (T50%) by 45 °C, and the thermal stability index (THRI) increases from 119.3 to 128.9 °C. A more than twofold increase in coke residue yield (to 9.29%) and an increase in the Vicat softening point to 175 °C confirm the formation of an effective thermally stabilizing barrier layer due to the combined action of nitrogen-containing groups and dispersed graphene flakes. The proposed approach to functionalizing graphene oxide with melamine opens the way for the creation of next-generation epoxy composites with a record-breaking combination of strength, impact toughness, and thermal stability for applications in aerospace, electronics, and composite structures operating under extreme conditions. Full article
(This article belongs to the Special Issue Epoxy Polymers and Composites, Second Edition)
Show Figures

Figure 1

27 pages, 4001 KB  
Article
Optimization of One-Part Alkali-Activated Concrete for Extrusion-Based 3D Printing Through Integrated Performance Evaluation
by Haiyan Li, Aizhong Luo, Xiaozhong Zhang, Xiaomeng Ma, Jinsheng Han, Bo Cui and Wei Chen
Buildings 2026, 16(5), 1021; https://doi.org/10.3390/buildings16051021 - 5 Mar 2026
Viewed by 307
Abstract
Low-carbon and highly printable cementitious materials are crucial for the practical application of extrusion-based three-dimensional concrete printing (3DCP). This study develops and optimizes a one-part alkali-activated concrete suitable for 3D printing through an integrated experimental and evaluation approach. An orthogonal experimental design was [...] Read more.
Low-carbon and highly printable cementitious materials are crucial for the practical application of extrusion-based three-dimensional concrete printing (3DCP). This study develops and optimizes a one-part alkali-activated concrete suitable for 3D printing through an integrated experimental and evaluation approach. An orthogonal experimental design was employed to investigate the effects of precursor ratio (ground granulated blast-furnace slag, GGBFS, to fly ash, FA), water-to-binder ratio, activator dosage, and retarder content on fresh-state properties, rheological behavior, setting characteristics, and mechanical performance. The optimal mixture was determined using the Technique for Order Preference by Similarity to Ideal Solution (TOPSIS) multi-criteria decision method. The mixtures exhibited suitable rheology, with a yield stress of 90–141 Pa and a plastic viscosity of 3.5–7.2 Pa·s, a setting time of 40–96 min, and mechanical performance with compressive and flexural strengths of 29–71 MPa and 4.2–6.9 MPa, respectively. The optimal mixture provided a 95-min printing open time and an acceptable pumping pressure of 1.77 MPa, while full-scale tests confirmed stable extrusion and good print quality. Furthermore, within the defined cradle-to-gate, materials-stage boundary and the adopted inventory factors, the optimized alkali-activated mixture exhibited an embodied CO2 emission of 0.113 kg CO2/L, which is approximately 61% lower than that of the reference cement-based printable mixture. The proposed approach provides a systematic framework for designing low-carbon, high-performance one-part alkali-activated materials for extrusion-based 3D concrete printing applications. Full article
(This article belongs to the Special Issue Geopolymers and Low Carbon Building Materials for Infrastructures)
Show Figures

Figure 1

24 pages, 11984 KB  
Article
Synergistic Effect and Enhancement Mechanism of Foam Concrete Composites by Incorporating Aerogel, Hollow Glass Microspheres and Nano-Silica
by Kaihe Dong, Sili Chen, Junxiang Wang, Xinxin Shi, Jingyu Zhang and Jinzhu Meng
Materials 2026, 19(5), 990; https://doi.org/10.3390/ma19050990 - 4 Mar 2026
Viewed by 351
Abstract
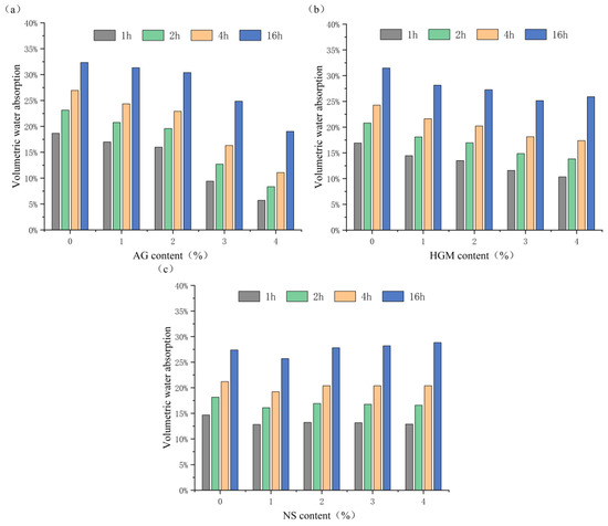
Aerogel-incorporated foam concrete has attracted significant attention in the construction sector owing to its light weight and superior thermal insulation properties. Nevertheless, its practical application in external wall insulation systems is hindered by the high cost of aerogel (AG) and the inherent trade-off [...] Read more.
Aerogel-incorporated foam concrete has attracted significant attention in the construction sector owing to its light weight and superior thermal insulation properties. Nevertheless, its practical application in external wall insulation systems is hindered by the high cost of aerogel (AG) and the inherent trade-off between thermal efficiency and mechanical strength. To overcome these limitations, this study introduces a composite design that partially replaces AG with low-cost hollow glass microspheres (HGMs) and incorporates nano-silica (NS) as a strengthening agent. Foam concrete specimens with a constant dry density of 700 kg/m3 were fabricated with these additives. Through an orthogonal experimental approach, the synergistic effects of AG, HGMs, and NS on mechanical properties, porosity, water absorption, and durability were systematically evaluated. The results demonstrated that 4% AG content significantly reduced effective porosity by 33% and water absorption by 59%, while 4% HGM increased compressive and flexural strength by 13.5% and 19.7%, respectively. The addition of 2% NS further enhanced mechanical performance, yielding 25.9% and 21.6% improvements in compressive and flexural strength. The optimal formulation (A4H4N2) effectively balanced thermal insulation and mechanical properties, offering a viable strategy for producing cost-effective, high-performance foam concrete suitable for building envelope applications. Full article
Show Figures

Figure 1

34 pages, 15028 KB  
Article
Turning Disposed into Disposable—Development of Single-Use Products from Underutilized Brewery Wastes
by Aleksander Hejna and Mateusz Barczewski
Foods 2026, 15(5), 860; https://doi.org/10.3390/foods15050860 - 4 Mar 2026
Viewed by 399
Abstract
Although the market recently shifted toward low- or non-alcoholic drinks, the beer sector is an important branch of industry in Europe. It stimulates local economies and communities, thereby justifying the need for its development. Both economic and environmental benefits could be achieved through [...] Read more.
Although the market recently shifted toward low- or non-alcoholic drinks, the beer sector is an important branch of industry in Europe. It stimulates local economies and communities, thereby justifying the need for its development. Both economic and environmental benefits could be achieved through proper management of the generated by-products, enabling them to stay in a loop. Such an approach aligns with currently postulated sustainability-oriented trends. Herein, a solution for the simultaneous management of the two main by-products of beer production is described. The spent yeast (SY) was used as a potential binder for brewers’ spent grain (BSG)-based products, representing a highly innovative solution given the state of the art. Using SY without treatment or with minimal addition of common organic acids (citric, succinic, and tartaric) enabled efficient bonding of the final product. It yielded properties similar to those of commercial counterparts, with a flexural modulus exceeding 1 GPa and a flexural strength exceeding 6 MPa. Because of the nature of the applied raw materials and their inherent moisture sensitivity (water contact angle < 50°), the final product was coated with vegetable oil. The applied coating, after thermooxidation-induced crosslinking, protected against moisture and humidity (water contact angle > 80°), potentially broadening its application range. The application potential was confirmed from a technical point of view through the efficient manufacturing of disposable plates. Nevertheless, their implementation in industrial practice must be preceded by meeting proper criteria for food-contact materials related to the stability and odor of the plates and coatings and migration of their components into food products. Full article
Show Figures

Figure 1

Back to TopTop