Sign in to use this feature.

Years

Between: -

Subjects

remove_circle_outline
remove_circle_outline
remove_circle_outline
remove_circle_outline
remove_circle_outline
remove_circle_outline

Journals

Article Types

Countries / Regions

Search Results (12)

Search Parameters:
Keywords = xylan liquor

Order results
Result details
Results per page
Select all
Export citation of selected articles as:
21 pages, 4436 KB  
Article
Alkaline Extraction and Ethanol Precipitation of High-Molecular-Weight Xylan Compounds from Eucalyptus Residues
by María Noel Cabrera, Antonella Rossi, Juan Ignacio Guarino, Fernando Esteban Felissia and María Cristina Area
Polymers 2025, 17(12), 1589; https://doi.org/10.3390/polym17121589 - 6 Jun 2025
Cited by 1 | Viewed by 2081
Abstract
Alkaline treatment is well suited for extracting high-molecular-weight hemicelluloses, specifically hardwoods xylans, which, due to their polymer structure and chemical characteristics, enable the production of films with desirable mechanical, barrier, and optical properties for packaging applications. Despite its relevance, the optimization of antisolvent [...] Read more.
Alkaline treatment is well suited for extracting high-molecular-weight hemicelluloses, specifically hardwoods xylans, which, due to their polymer structure and chemical characteristics, enable the production of films with desirable mechanical, barrier, and optical properties for packaging applications. Despite its relevance, the optimization of antisolvent addition has received little attention in the literature. This study explores the use of eucalyptus industrial residue as feedstock, utilizing a statistical design to determine the optimal extraction conditions for hemicelluloses while minimizing the lignin content in the recovered liquor. The process uses alkali loads that are compatible with those in conventional Kraft pulp mills. Optimal extraction conditions involve a temperature of 105 °C, 16.7% NaOH charge, and 45 min at maximum temperature. The resulting liquor was subjected to ethanol precipitation under varying pH conditions (initial pH, 9, 7, 5, and 2) and different ethanol-to-liquor ratios (1:1 to 4:1). The acidification was performed using hydrochloric, sulfuric, and acetic acids. Ethanol served as the main antisolvent, while isopropyl alcohol and dioxane were tested for comparison. Results show that 2.3 ± 0.2% of xylans (based on oven-dry biomass) could be extracted, minimizing lignin content in the liquor. This value corresponds to the extraction of 15.6% of the xylans present in the raw material. The highest xylan precipitation yield (78%) was obtained at pH 7, using hydrochloric acid for pH adjustment and an ethanol-to-liquor ratio of 1:1. These findings provide valuable insight into optimizing hemicellulose recovery through antisolvent precipitation, contributing to more efficient biomass valorization strategies within lignocellulosic biorefineries. Full article
(This article belongs to the Section Polymer Analysis and Characterization)
Show Figures

Figure 1

14 pages, 1379 KB  
Article
Efficient Co-Production of Reducing Sugars and Xylo-Oligosaccharides from Waste Wheat Straw Through FeCl3-Mediated p-Toluene Sulfonic Acid Pretreatment
by Xiuying Hu, Qianqian Gao and Yucai He
Processes 2025, 13(5), 1615; https://doi.org/10.3390/pr13051615 - 21 May 2025
Cited by 1 | Viewed by 744
Abstract
Waste wheat straw (WS) is a common agricultural waste with a low acquisition cost and a high annual yield, making it a promising feedstock for a biorefinery. In this work, efficient co-production of reducing sugars and xylo-oligosaccharides (XOSs) from WS was realized through [...] Read more.
Waste wheat straw (WS) is a common agricultural waste with a low acquisition cost and a high annual yield, making it a promising feedstock for a biorefinery. In this work, efficient co-production of reducing sugars and xylo-oligosaccharides (XOSs) from WS was realized through FeCl3-assisted p-toluene sulfonic acid (PTSA) pretreatment. The effects of reaction conditions (PTSA content, FeCl3 loading, pretreatment duration, and temperature) on lignin and xylan elimination and enzymolysis were analyzed. The results manifested that the enzymolysis of WS substantially elevated from 22.0% to 79.3% through the treatment with FeCl3-PTSA/water (120 °C, 60 min). The xylan removal and delignification were 79.7% and 66.6%, respectively. XOSs (4.0 g/L) were acquired in the pretreatment liquor. The linear fitting about LogR0 with enzymolysis, delignification, xylan elimination and XOSs content was investigated to explain the reasons for the elevated enzymolysis and to clarify the comprehensive understanding of WS enzymolysis through the FeCl3-PTSA/water treatment. In addition, the recycling test of FeCl3-PTSA/water manifested a good recycling ability for WS treatment, which would reduce the pretreatment cost and enhance the economic benefit. To sum up, FeCl3-assisted PTSA treatment of biomass for co-production of reducing sugars and XOSs is an alternative method of waste biomass valorization. Full article
(This article belongs to the Section Catalysis Enhanced Processes)
Show Figures

Figure 1

18 pages, 10824 KB  
Article
Co-Producing Xylo-Oligosaccharides, 5-HMF, Furfural, Organic Acids, and Reducing Sugars from Waste Poplar Debris by Clean Hydrothermal Pretreatment
by Yuheng Yang, Ruibing Cui, Wei Tang, Bo Fan and Yucai He
Processes 2025, 13(3), 665; https://doi.org/10.3390/pr13030665 - 26 Feb 2025
Cited by 3 | Viewed by 1117
Abstract
The sustainable valorization of lignocellulosic biomass into value-added biobased chemicals has gained more and more attention on a large industrial scale. To efficiently utilize the abundant, inexpensive, and renewable biomass, it is necessary to employ an effective biomass pretreatment technology for breaking down [...] Read more.
The sustainable valorization of lignocellulosic biomass into value-added biobased chemicals has gained more and more attention on a large industrial scale. To efficiently utilize the abundant, inexpensive, and renewable biomass, it is necessary to employ an effective biomass pretreatment technology for breaking down hemicellulose and lignin. Hydrothermal pretreatment is an effective way to change the structure of lignocellulose and improve its enzymatic hydrolysis efficiency. The hydrothermal cleaning of waste poplar debris (PD) was conducted when the severity factor (LogR0) score was 5.49. At 220 °C and a solid–liquid ratio of 1:10 for 90 min, the pretreatment liquor contained 4.90 g/L of xylo-oligosaccharides, 1.23 g/L of furfural, 0.41 g/L of formic acid, 2.42 g/L of acetic acid, and 0.57 g/L of 5-HMF. Additionally, 74.9% xylan and 82.4% lignin were removed. After 72 h of enzymatic saccharification, a high enzymolysis efficiency of PD was obtained. A series of characterizations (such as chemical composition analysis, hydrophobicity, lignin surface area, and cellulase accessibility) indicated that hydrothermal pretreatment destroyed the surface structure of PD, improved cellulose accessibility, decreased lignin surface area and weakened lignin hydrophobicity. In general, hydrothermal pretreatment is a simple, green, and environmentally friendly approach for sustainable pretreatment of PD using water as a solvent. It can efficiently break the surface structure of PD and remove lignin and xylan, acquiring high enzymolysis efficiency and realizing the co-production of 5-HMF, furfural, xylo-oligosaccharides, and organic acids. It provides an innovative idea for the value-added utilization of wood-based and straw-based biomass in a sustainable and cost-effective way, showing high potential in industrial application. Full article
(This article belongs to the Special Issue 1st SUSTENS Meeting: Advances in Sustainable Engineering Systems)
Show Figures

Figure 1

19 pages, 2086 KB  
Article
Corn Stalks-Derived Hemicellulosic Polysaccharides: Extraction and Purification
by Adrian Cătălin Puițel, Cătălin Dumitrel Balan and Mircea Teodor Nechita
Polysaccharides 2025, 6(1), 2; https://doi.org/10.3390/polysaccharides6010002 - 5 Jan 2025
Cited by 2 | Viewed by 2593
Abstract
Nowadays, agricultural biomass is one the most valuable sources of natural polysaccharides. In addition to primary agricultural goods, agricultural waste is abundant, diverse, and renewable and can also be utilized as raw material for the production of polysaccharides and their derivatives. The extraction [...] Read more.
Nowadays, agricultural biomass is one the most valuable sources of natural polysaccharides. In addition to primary agricultural goods, agricultural waste is abundant, diverse, and renewable and can also be utilized as raw material for the production of polysaccharides and their derivatives. The extraction and purification of agri-waste-derived polysaccharides involves multiple processes that can vary depending on the type of raw material and the specific polysaccharides targeted. This study proposes a particular pathway from corn waste to hemicellulosic polysaccharides, which involves alkaline treatment and several physicochemical separation/purification phases using precipitation and ion exchange resins (Purolite A400, Purolite A100+, Purolite C100H). The ion exchange separation stage was optimized to retain most of the acid-soluble lignin derivatives from the extraction liquors. The process parameters considered for optimization included the solid (resin) liquid (black liquor pH 4.5) ratio, contact time, and temperature. These ranged from 0.05 to 0.15 g·mL−1, 30 to 180 min, and 20 to 50 °C, respectively. The chemical composition of the separated hemicelluloses varied from 44.43 to 75.28% for xylan, 2.43 to 3.93% for glucan, 1.86 to 2.44% for galactan and 8.93 to 12.68% for arabinan. The total carbohydrate content increased from 57.65 to 96.3%. Full article
(This article belongs to the Special Issue Recent Progress on Lignocellulosic-Based Materials)
Show Figures

Figure 1

15 pages, 3938 KB  
Article
Optimized Furfural Production Using the Acid Catalytic Conversion of Xylan Liquor from Organosolv-Fractionated Rice Husk
by Hyeong Gyun Ahn, Ja Eun Lee, Hyunjoon Kim, Hyun Jin Jung, Kyeong Keun Oh, Su Hak Heo and Jun Seok Kim
Polysaccharides 2024, 5(4), 552-566; https://doi.org/10.3390/polysaccharides5040035 - 2 Oct 2024
Cited by 5 | Viewed by 2865
Abstract
This study determined the optimal production of furfural (FuR) from liquid hydrolysate xylan liquor obtained through a two-stage pretreatment process using NaOH for de-ashing and EtOH for the delignification of raw rice husk (RH). The de-ashing pretreatment was conducted at 150 °C, with [...] Read more.
This study determined the optimal production of furfural (FuR) from liquid hydrolysate xylan liquor obtained through a two-stage pretreatment process using NaOH for de-ashing and EtOH for the delignification of raw rice husk (RH). The de-ashing pretreatment was conducted at 150 °C, with 6.0% (w/v) NaOH and a reaction time of 40 min. The optimal conditions for delignification pretreatment, performed using an organosolv fractionation method with EtOH, were a reaction temperature of 150 °C, 60% (v/v) EtOH, 0.25% (w/v) H2SO4, and a reaction time of 90 min. Through a two-stage pretreatment process, a liquid hydrolysate in the form of xylan liquor was obtained, which was subjected to an acid catalytic conversion process to produce FuR. The process conditions were varied, with reaction temperatures of 130–170 °C, H2SO4 catalyst concentrations of 1.0–3.0 wt.%, and reaction times of 0–90 min. The Response Surface Methodology tool was used to identify the optimal FuR yield from xylan liquor. Ultimately, the optimal process conditions for the acid catalytic conversion were found to be a substrate-to-catalyst ratio of 2:8, a reaction temperature of 168.9 °C, a catalyst concentration of 1.9 wt.%, and a reaction time of 41.24 min, achieving an FuR yield of 67.31%. Full article
Show Figures

Figure 1

22 pages, 5186 KB  
Article
Integrated Hemicellulose Extraction and Papermaking Fiber Production from Agro-Waste Biomass
by Adrian Cătălin Puițel, Cătălin Dumitrel Balan, Gabriela-Liliana Ailiesei, Elena Niculina Drăgoi and Mircea Teodor Nechita
Polymers 2023, 15(23), 4597; https://doi.org/10.3390/polym15234597 - 1 Dec 2023
Cited by 7 | Viewed by 2992
Abstract
The present study deals with the valorization of corn stalks in an integrated processing strategy targeting two products: extracted hemicelluloses (HC) and papermaking fibers. Preliminary trials were conducted to assess the individual or the combined effects of biomass treatment on the quality of [...] Read more.
The present study deals with the valorization of corn stalks in an integrated processing strategy targeting two products: extracted hemicelluloses (HC) and papermaking fibers. Preliminary trials were conducted to assess the individual or the combined effects of biomass treatment on the quality of the obtained hemicelluloses and papermaking fibers. Depending on the hot alkaline extraction (HAE) conditions, the extracted HC had a xylan content between 44–63%. The xylan removal yield ranged between 19–35%. The recovery of HC from the extraction liquor and final black liquor was significantly affected by process conditions. The experimental approach continued with the study of HAE conditions on the obtained paper’s mechanical properties. The optimization approach considered conserving paper strength properties while achieving an equilibrium with the highest possible HC extraction yield. The optimal values are sodium hydroxide concentration (1%), process time (33 min), and temperature (100 °C). The xylan content in the separated HC sample was ~55%. An extended extraction of HC from the resulting pulp under hot alkaline conditions with 5% NaOH was performed to prove the HC influence on paper strength. The xylan content in HC samples was 65%. The consequence of xylan content reduction in pulp leads to 30–50% mechanical strength loss. Full article
(This article belongs to the Special Issue Advances in Natural Polymers: Extraction Methods and Applications)
Show Figures

Figure 1

18 pages, 3086 KB  
Article
Immobilization and Application of the Recombinant Xylanase GH10 of Malbranchea pulchella in the Production of Xylooligosaccharides from Hydrothermal Liquor of the Eucalyptus (Eucalyptus grandis) Wood Chips
by Robson C. Alnoch, Gabriela S. Alves, Jose C. S. Salgado, Diandra de Andrades, Emanuelle N. de Freitas, Karoline M. V. Nogueira, Ana C. Vici, Douglas P. Oliveira, Valdemiro P. Carvalho-Jr, Roberto N. Silva, Marcos S. Buckeridge, Michele Michelin, José A. Teixeira and Maria de Lourdes T. M. Polizeli
Int. J. Mol. Sci. 2022, 23(21), 13329; https://doi.org/10.3390/ijms232113329 - 1 Nov 2022
Cited by 12 | Viewed by 2969
Abstract
Xylooligosaccharides (XOS) are widely used in the food industry as prebiotic components. XOS with high purity are required for practical prebiotic function and other biological benefits, such as antioxidant and inflammatory properties. In this work, we immobilized the recombinant endo-1,4-β-xylanase of Malbranchea pulchella [...] Read more.
Xylooligosaccharides (XOS) are widely used in the food industry as prebiotic components. XOS with high purity are required for practical prebiotic function and other biological benefits, such as antioxidant and inflammatory properties. In this work, we immobilized the recombinant endo-1,4-β-xylanase of Malbranchea pulchella (MpXyn10) in various chemical supports and evaluated its potential to produce xylooligosaccharides (XOS) from hydrothermal liquor of eucalyptus wood chips. Values >90% of immobilization yields were achieved from amino-activated supports for 120 min. The highest recovery values were found on Purolite (142%) and MANAE-MpXyn10 (137%) derivatives, which maintained more than 90% residual activity for 24 h at 70 °C, while the free-MpXyn10 maintained only 11%. In addition, active MpXyn10 derivatives were stable in the range of pH 4.0–6.0 and the presence of the furfural and HMF compounds. MpXyn10 derivatives were tested to produce XOS from xylan of various sources. Maximum values were observed for birchwood xylan at 8.6 mg mL−1 and wheat arabinoxylan at 8.9 mg mL−1, using Purolite-MpXyn10. Its derivative was also successfully applied in the hydrolysis of soluble xylan present in hydrothermal liquor, with 0.9 mg mL−1 of XOS after 3 h at 50 °C. This derivative maintained more than 80% XOS yield after six cycles of the assay. The results obtained provide a basis for the application of immobilized MpXyn10 to produce XOS with high purity and other high-value-added products in the lignocellulosic biorefinery field. Full article
(This article belongs to the Special Issue Chemistry towards Biology)
Show Figures

Figure 1

11 pages, 2258 KB  
Article
Efficient Synthesis of Furfuryl Alcohol from Corncob in a Deep Eutectic Solvent System
by Lizhen Qin, Junhua Di and Yucai He
Processes 2022, 10(9), 1873; https://doi.org/10.3390/pr10091873 - 16 Sep 2022
Cited by 11 | Viewed by 2748
Abstract
As a versatile and valuable intermediate, furfuryl alcohol (FOL) has been widely used in manufacturing resins, vitamin C, perfumes, lubricants, plasticizers, fuel additives, biofuels, and other furan-based chemicals. This work developed an efficient hybrid strategy for the valorization of lignocellulosic biomass to FOL. [...] Read more.
As a versatile and valuable intermediate, furfuryl alcohol (FOL) has been widely used in manufacturing resins, vitamin C, perfumes, lubricants, plasticizers, fuel additives, biofuels, and other furan-based chemicals. This work developed an efficient hybrid strategy for the valorization of lignocellulosic biomass to FOL. Corncob (75 g/L) was catalyzed with heterogenous catalyst Sn-SSXR (2 wt%) to generate FAL (65.4% yield) in a deep eutectic solvent ChCl:LA–water system (30:70, v/v; 180 °C) after 15 min. Subsequently, the obtained FAL liquor containing FAL and formate could be biologically reduced to FOL by recombinant E. coli CF containing aldehyde reductase and formate dehydrogenase at pH 6.5 and 35 °C, achieving the FOL productivity of 0.66 g FOL/(g xylan in corncob). The formed formate could be used as a cosubstrate for the bioreduction of FAL into FOL. In addition, other biomasses (e.g., sugarcane bagasse and rice straw) could be converted into FOL at a high yield. Overall, this hybrid strategy that combines chemocatalysis and biocatalysis can be utilized to efficiently valorize lignocellulosic materials into valuable biofurans. Full article
(This article belongs to the Section Sustainable Processes)
Show Figures

Figure 1

15 pages, 909 KB  
Article
Hemicellulosic Bioethanol Production from Fast-Growing Paulownia Biomass
by Elena Domínguez, Pablo G. del Río, Aloia Romaní, Gil Garrote and Lucília Domingues
Processes 2021, 9(1), 173; https://doi.org/10.3390/pr9010173 - 19 Jan 2021
Cited by 23 | Viewed by 5130
Abstract
In order to exploit a fast-growing Paulownia hardwood as an energy crop, a xylose-enriched hydrolysate was obtained in this work to increase the ethanol concentration using the hemicellulosic fraction, besides the already widely studied cellulosic fraction. For that, Paulownia elongata x fortunei was [...] Read more.
In order to exploit a fast-growing Paulownia hardwood as an energy crop, a xylose-enriched hydrolysate was obtained in this work to increase the ethanol concentration using the hemicellulosic fraction, besides the already widely studied cellulosic fraction. For that, Paulownia elongata x fortunei was submitted to autohydrolysis treatment (210 °C or S0 of 4.08) for the xylan solubilization, mainly as xylooligosaccharides. Afterwards, sequential stages of acid hydrolysis, concentration, and detoxification were evaluated to obtain fermentable sugars. Thus, detoxified and non-detoxified hydrolysates (diluted or not) were fermented for ethanol production using a natural xylose-consuming yeast, Scheffersomyces stipitis CECT 1922, and an industrial Saccharomyces cerevisiae MEC1133 strain, metabolic engineered strain with the xylose reductase/xylitol dehydrogenase pathway. Results from fermentation assays showed that the engineered S. cerevisiae strain produced up to 14.2 g/L of ethanol (corresponding to 0.33 g/g of ethanol yield) using the non-detoxified hydrolysate. Nevertheless, the yeast S. stipitis reached similar values of ethanol, but only in the detoxified hydrolysate. Hence, the fermentation data prove the suitability and robustness of the engineered strain to ferment non-detoxified liquor, and the appropriateness of detoxification of liquor for the use of less robust yeast. In addition, the success of hemicellulose-to-ethanol production obtained in this work shows the Paulownia biomass as a suitable renewable source for ethanol production following a suitable fractionation process within a biorefinery approach. Full article
(This article belongs to the Special Issue Bioethanol Production Processes)
Show Figures

Figure 1

18 pages, 2418 KB  
Article
Novel Kinetic Models of Xylan Dissolution and Degradation during Ethanol Based Auto-Catalyzed Organosolv Pretreatment of Bamboo
by Jing Liu, Zhenggang Gong, Guangxu Yang, Lihui Chen, Liulian Huang, Yonghui Zhou and Xiaolin Luo
Polymers 2018, 10(10), 1149; https://doi.org/10.3390/polym10101149 - 15 Oct 2018
Cited by 12 | Viewed by 4306
Abstract
Due to the invalidity of traditional models, pretreatment conditions dependent parameter of susceptible dissolution degree of xylan (dX) was introduced into the kinetic models. After the introduction of dX, the dissolution of xylan, and the formation of xylo-oligosaccharides and [...] Read more.
Due to the invalidity of traditional models, pretreatment conditions dependent parameter of susceptible dissolution degree of xylan (dX) was introduced into the kinetic models. After the introduction of dX, the dissolution of xylan, and the formation of xylo-oligosaccharides and xylose during ethanol based auto-catalyzed organosolv (EACO) pretreatments of bamboo were well predicted by the pseudo first-order kinetic models (R2 > 97%). The parameter of dX was verified to be a variable dependent of EACO pretreatment conditions (such as solvent content in pretreatment liquor and pretreatment temperature). Based on the established kinetic models of xylan dissolution, the dissolution of glucan and the formation of degradation products (furfural and acetic acid) could also be empirically modeled (R2 > 97%). In addition, the relationship between xylan and lignin removal can provide guidance for alleviating the depositions of lignin or pseudo-lignin. The parameter of dX derived novel kinetic models can not only be used to reveal the multi-step reaction mechanisms of xylan, but also control the final removal of main components in bamboo during EACO pretreatments, indicating scientific and practical significance for governing the biorefinery of woody biomass. Full article
Show Figures

Graphical abstract

12 pages, 3740 KB  
Article
Conversion of Levulinic Acid from Various Herbaceous Biomass Species Using Hydrochloric Acid and Effects of Particle Size and Delignification
by Indra Neel Pulidindi and Tae Hyun Kim
Energies 2018, 11(3), 621; https://doi.org/10.3390/en11030621 - 10 Mar 2018
Cited by 25 | Viewed by 5940
Abstract
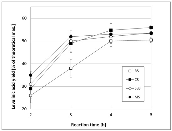
Acid catalyzed hydrothermal conversion of levulinic acid (LA) from various herbaceous materials including rice straw (RS), corn stover (CS), sweet sorghum bagasse (SSB), and Miscanthus (MS) was evaluated. With 1 M HCl, 150 °C, 5 h, 20 g/L solid loading, the yields of [...] Read more.
Acid catalyzed hydrothermal conversion of levulinic acid (LA) from various herbaceous materials including rice straw (RS), corn stover (CS), sweet sorghum bagasse (SSB), and Miscanthus (MS) was evaluated. With 1 M HCl, 150 °C, 5 h, 20 g/L solid loading, the yields of LA from untreated RS, CS, SSB and MS based on the glucan content were 60.2, 75.1, 78.5 and 61.7 wt %, respectively. It was also found that the particle size had no significant effect on LA conversion yield with >3 h reaction time. With delignification using simulated green liquor (Na2CO3-Na2S, 20 wt % total titratable alkali (TTA), 40 wt % sulfidity) at 200 °C for 15 min, lignin removal was in the range of 64.8–91.2 wt %. Removal of both lignin and xylan during delignification increased the glucan contents from 33.0–44.3 of untreated biomass to 61.7–68.4 wt % of treated biomass. Delignified biomass resulted in much lower conversion yield (50.4–56.0 wt %) compared to 60.2–78.5 wt % of untreated biomass. Nonetheless, the concentration of LA in the product was enhanced by a factor of ~1.5 with delignification. Full article
(This article belongs to the Section A: Sustainable Energy)
Show Figures

Graphical abstract

17 pages, 606 KB  
Article
Impact of Hot-Water Extraction on Acetone-Water Oxygen Delignification of Paulownia Spp. and Lignin Recovery
by Chen Gong and Biljana M. Bujanovic
Energies 2014, 7(2), 857-873; https://doi.org/10.3390/en7020857 - 19 Feb 2014
Cited by 29 | Viewed by 8684
Abstract
A hardwood-based biorefinery process starting with hot-water extraction (HWE) is recommended in order to remove most of the hemicelluloses/xylans before further processing. HWE may be followed by delignification in acetone/water in the presence of oxygen (AWO) for the production of cellulose and lignin. [...] Read more.
A hardwood-based biorefinery process starting with hot-water extraction (HWE) is recommended in order to remove most of the hemicelluloses/xylans before further processing. HWE may be followed by delignification in acetone/water in the presence of oxygen (AWO) for the production of cellulose and lignin. In this study, the HWE-AWO sequence was evaluated for its effectiveness at removing lignin from the fast-growing species Paulownia tomentosa (PT) and Paulownia elongata (PE), in comparison with the reference species, sugar maple (Acer saccharum, SM). HWE might lead to a remarkable increase in lignin accessibility, and as a result, a greater AWO delignification degree was observed for extracted PT, PE, and SM than for unextracted ones. Organosolv lignin was recovered from the spent liquor of AWO delignification of PT with/without prior HWE and characterized to evaluate the benefits of HWE on the lignin structure and purity. The lignin recovered from the spent liquor of HWE-AWO sequence is of higher purity and lighter color than that recovered from the AWO spent liquor. These properties along with low sulfur content are desirable for lignin high-value applications. Full article
(This article belongs to the Special Issue Biomass and Biofuels 2013)
Show Figures

Back to TopTop