Sign in to use this feature.

Years

Between: -

Subjects

remove_circle_outline
remove_circle_outline
remove_circle_outline
remove_circle_outline
remove_circle_outline
remove_circle_outline
remove_circle_outline
remove_circle_outline
remove_circle_outline

Journals

Article Types

Countries / Regions

remove_circle_outline
remove_circle_outline
remove_circle_outline
remove_circle_outline

Search Results (317)

Search Parameters:
Keywords = vulcanization properties

Order results
Result details
Results per page
Select all
Export citation of selected articles as:
15 pages, 4728 KB  
Article
Bio-Composites of Polymyrcene Reinforced with Alkylamine-Grafted Graphene Oxide: Mechanical Properties of Sustainable Vulcanized Elastomers
by Maiby Valle-Orta, Ilse Magaña, Tere Córdova, Nelson A. Jiménez Reyes, Heriberto Rodríguez-Tobías, Héctor Ricardo López-González, Luis Valencia and Ramón Díaz de León
Processes 2026, 14(7), 1115; https://doi.org/10.3390/pr14071115 - 30 Mar 2026
Viewed by 322
Abstract
Growing interest in developing sustainable materials that reduce dependence on fossil resources has led to increased development of bio-based elastomers that can compete with traditional materials in terms of performance when reinforced with additives. This study shows that functionalizing graphene oxide with different [...] Read more.
Growing interest in developing sustainable materials that reduce dependence on fossil resources has led to increased development of bio-based elastomers that can compete with traditional materials in terms of performance when reinforced with additives. This study shows that functionalizing graphene oxide with different alkylamine chains (C8, C12, and C16) enables precise, multidimensional modulation of polymyrcene rubber (PMy) composite behavior. The main finding is that there is a critical concentration of ~1.5–2.0 phr and an optimal chain length of C16 that maximizes mechanical strength, elongation, and toughness simultaneously, thus avoiding the classic trade-off between stiffness and extensibility. Additionally, the study reveals biphasic behavior of graphene oxide modified with dodecylamine (GOA12) on curing kinetics. At low concentrations, GOA12 slows vulcanization by competing with accelerators, while at higher concentrations, it accelerates vulcanization via Zn–amine–sulfur complexes. This duality is reflected consistently in the crosslink density, Payne effect, and tensile properties, establishing a coherent structure–property correlation. Identifying an optimal crosslinking regime of ~8.5 × 10−4 mol/cm3 as the common denominator of the best formulations provides a rational design guide for high-performance elastomers based on renewable matrices and graphene-derived reinforcements. The decrease in tan δ observed through mechanical dynamic analysis suggests potential applications in the tire industry due to increased energy dissipation, which would improve fuel efficiency. Full article
(This article belongs to the Section Materials Processes)
Show Figures

Graphical abstract

23 pages, 5065 KB  
Article
Sustainable Application and Valorization of Toner Waste as a Functional Filler in Styrene–Butadiene Rubber (SBR) Composites
by Dener da Silva Souza, Maria Claudia Costa de Oliveira Botan, Ricardo Henrique dos Santos, Michael Jones da Silva, Gleyson Tadeu de Almeida Santos, Leila Maria Sotocorno e Silva, Naiara Lima Costa, Carlos Toshiyuki Hiranobe, Guilherme Pina Cardim, Leandro Ferreira Pinto, Flávio Camargo Cabrera and Renivaldo José dos Santos
J. Compos. Sci. 2026, 10(4), 189; https://doi.org/10.3390/jcs10040189 - 30 Mar 2026
Viewed by 429
Abstract
This study investigates the incorporation of toner residue (TR), derived from post-consumer printing cartridges, as an alternative filler in styrene–butadiene rubber (SBR) composites, with emphasis placed on solid waste valorization and the promotion of a circular economy. TR consists predominantly of fine particles [...] Read more.
This study investigates the incorporation of toner residue (TR), derived from post-consumer printing cartridges, as an alternative filler in styrene–butadiene rubber (SBR) composites, with emphasis placed on solid waste valorization and the promotion of a circular economy. TR consists predominantly of fine particles containing thermoplastic polymers, carbon black, metal oxides, and additives, exhibiting functional potential as a partially reinforcing filler material. Composites containing 0 to 50 phr of TR were prepared and characterized in terms of rheometric properties, dispersion degree, elemental composition by X-ray fluorescence (XRF), crosslink density, scanning electron microscopy (SEM), infrared spectroscopy, Shore A hardness, abrasion resistance, tensile strength, and tear resistance. Rheometric results indicated modifications in vulcanization kinetics and a reduction in maximum torque for formulations with high TR contents, suggesting a possible diluent effect or interference with elastomeric network formation. Conversely, moderate TR concentrations promoted increased hardness, improved tensile strength, and higher crosslink density, associated with adequate particle dispersion within the matrix, as confirmed by SEM analysis. However, excessive TR loading led to increased abrasion loss and an overall reduction in mechanical performance. It is concluded that TR demonstrates technical feasibility as a partial substitute for conventional fillers in SBR composites, with potential industrial application, such as in footwear sole prototypes, combining functional performance with environmental impact mitigation. Full article
Show Figures

Figure 1

16 pages, 1435 KB  
Article
Preparation and Performance Study of Carboxylated Nitrile Rubber Based on Phase Transfer Catalysis: Screening of Optimal Catalyst System
by Hongbing Zheng and Dongmei Yue
Polymers 2026, 18(7), 830; https://doi.org/10.3390/polym18070830 - 28 Mar 2026
Viewed by 325
Abstract
This study systematically screened twelve phase transfer catalysts from three categories, namely ammonium-based compounds, phosphonium-based compounds, and polyethylene glycols of different molecular weights, for the preparation of carboxylated nitrile rubber (XNBR) via phase transfer catalytic hydrolysis. The carboxyl content of the resulting XNBR [...] Read more.
This study systematically screened twelve phase transfer catalysts from three categories, namely ammonium-based compounds, phosphonium-based compounds, and polyethylene glycols of different molecular weights, for the preparation of carboxylated nitrile rubber (XNBR) via phase transfer catalytic hydrolysis. The carboxyl content of the resulting XNBR was quantitatively determined by titration, revealing significant variations with catalyst structure ranging from 0 to 2.2 wt%. Phosphonium catalysts exhibited the highest carboxylation efficiency, with TBPB achieving 2.2 wt%, while ammonium catalysts showed structure-dependent performance, with TBAB reaching 1.1 wt%. PEG catalysts demonstrated optimal efficiency at intermediate molecular weights, with PEG-300 achieving 0.8 wt% and PEG-600 achieving 0.6 wt% but suffered from residual contamination. Through comprehensive evaluation of catalytic efficiency, reaction controllability, safety, and product purity, tetrabutylammonium bromide (TBAB) was identified as the optimal catalyst, achieving the best balance between carboxyl content (1.1 wt%), mild reaction kinetics, minimal catalyst residue, and product uniformity. Using TBAB as the catalyst, XNBR with low (1.1%) and high (3.1%) carboxyl contents were successfully prepared by controlling reaction time. The research demonstrated that carboxyl content had a decisive impact on vulcanization characteristics, mechanical properties, and thermal stability of XNBR. As carboxyl content increased, crosslink density significantly increased, leading to marked improvement in tensile stress at given elongation, tensile strength, and hardness, while elongation at break showed a decreasing trend. Thermogravimetric analysis demonstrated that carboxyl group introduction effectively enhanced the thermal stability of the material. This study provides an important theoretical basis and practical guidance for regulating the carboxylation degree through catalyst molecular design and preparing XNBR with excellent comprehensive performance. Full article
(This article belongs to the Section Polymer Applications)
Show Figures

Figure 1

18 pages, 3837 KB  
Article
Feasibility of Utilizing Waste Natural Rubber Gloves as a Primary Rubber Matrix: Aspect of Vulcanization Systems
by Abdulhakim Masa, Nurulhuda Mesa, Siriwat Soontaranon and Nabil Hayeemasae
Sci 2026, 8(3), 67; https://doi.org/10.3390/sci8030067 - 20 Mar 2026
Viewed by 357
Abstract
In this study, the potential for re-mixing and re-vulcanizing waste natural rubber glove (WNRG) material by using it as the primary matrix was investigated. Alternative types of vulcanization systems, namely, sulfur, phenolic resin, and peroxide, were employed. The results unequivocally demonstrated that residual [...] Read more.
In this study, the potential for re-mixing and re-vulcanizing waste natural rubber glove (WNRG) material by using it as the primary matrix was investigated. Alternative types of vulcanization systems, namely, sulfur, phenolic resin, and peroxide, were employed. The results unequivocally demonstrated that residual vulcanizing agents contained in the WNRG were not sufficient to cause crosslinking reactions without re-mixing with vulcanizing agents. Among the various vulcanization approaches, sulfur produced the greatest properties, whereas phenolic resin gave moderate performance. The WNRG vulcanized with sulfur demonstrated the highest crosslink density, tear strength, tensile strength, hardness, and strain-induced crystallization ability among the tested alternatives. The tensile strength of WNRG vulcanized with sulfur was approximately 16.23 MPa, which was 31.7% and 51.1% greater than the WNRG vulcanizates made with phenolic resin and peroxide, respectively. Because of its highest crosslink density, the WNRG vulcanizate with sulfur also offers the greatest storage modulus among the tested cases. The results clearly suggest that the WNRG can potentially be re-compounded, re-vulcanized, and used as the primary matrix. WNRG could be used as a matrix at an industrial scale, to minimize the environmental issues and increase the added value from waste gloves. The findings provide practical guidance for recycling waste rubber gloves in industrial applications, which would be a more sustainable solution for solving the problems associated with WNRG. Full article
(This article belongs to the Section Materials Science)
Show Figures

Graphical abstract

15 pages, 3256 KB  
Article
Preparation and Properties of Reprocessable Hydrogenated Styrene–Butadiene Rubber
by Tianxi Li, Chaolun Pan and Dongmei Yue
Polymers 2026, 18(6), 688; https://doi.org/10.3390/polym18060688 - 12 Mar 2026
Viewed by 386
Abstract
Styrene–butadiene rubber (SBR) is one of the most widely used synthetic elastomers. However, the unsaturated C=C bonds in its backbone limit its long-term stability under harsh service conditions. Furthermore, conventional sulfur vulcanization forms irreversible covalent crosslinked networks, which fundamentally hinder the recyclability and [...] Read more.
Styrene–butadiene rubber (SBR) is one of the most widely used synthetic elastomers. However, the unsaturated C=C bonds in its backbone limit its long-term stability under harsh service conditions. Furthermore, conventional sulfur vulcanization forms irreversible covalent crosslinked networks, which fundamentally hinder the recyclability and reprocessability of SBR, resulting in resource waste and environmental burdens. In this work, SBR was used as the starting material. Through epoxidation and subsequent hydrogenation, followed by an epoxy ring-opening reaction, 3-aminophenylboronic acid (m-APBA) was introduced into the polymer chains, constructing a novel hydrogenated SBR with reversible dynamic cross-linking characteristics (HESBR-APBA). The resulting material exhibits superior mechanical properties compared to conventional hydrogenated SBR (HSBR) without any external additives. Notably, the HE7.4SBR-0.75APBA sample achieved a tensile strength of up to 14 MPa and retained over 95% of its original strength after multiple reprocessing cycles, demonstrating excellent mechanical stability and reprocessability. This study provides an effective molecular design strategy for balancing high mechanical performance and recyclability in hydrogenated SBR and offers new insights for developing reprocessable rubber material. Full article
(This article belongs to the Section Polymer Processing and Engineering)
Show Figures

Graphical abstract

20 pages, 2332 KB  
Article
Impact of Thioamide Derivative Composite Preservation System on Vulcanization of Natural Rubber
by Yuhang Hong, Liguang Zhao, Yazhong Song, Honghai Huang, Jianwei Li, Tuo Dai, Tao Zhao, Minmin Chen, Rentong Yu, Haoran Geng, Hongxing Gui and Jianhe Liao
Polymers 2026, 18(4), 467; https://doi.org/10.3390/polym18040467 - 12 Feb 2026
Viewed by 325
Abstract
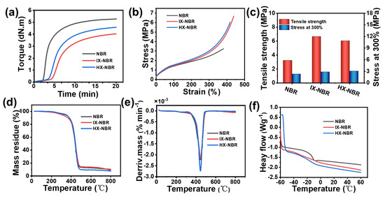
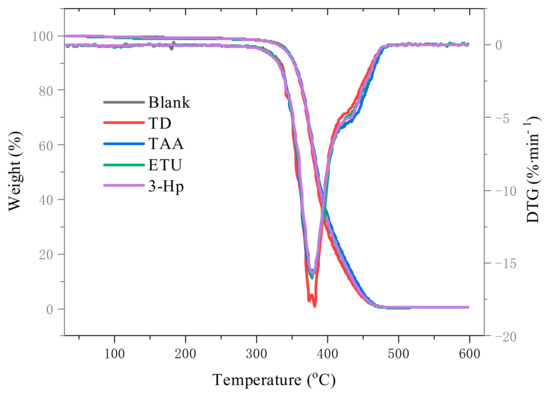
The thioacetamide derivative (TD)-composite preservation system (TDCPS) exhibits superior preservation effects on natural rubber (NR) latex and significantly enhances its vulcanization efficiency and mechanical properties. This study assessed TDCPS for NR, with a particular focus on its effects in promoting vulcanization. The TD [...] Read more.
The thioacetamide derivative (TD)-composite preservation system (TDCPS) exhibits superior preservation effects on natural rubber (NR) latex and significantly enhances its vulcanization efficiency and mechanical properties. This study assessed TDCPS for NR, with a particular focus on its effects in promoting vulcanization. The TD containing both pyridine and thioamide groups was evaluated against other additives, namely thione accelerator ETU, pyridine 3-HP, and thioacetamide TAA. The results indicated that TD significantly reduced vulcanization time and enhanced efficiency, surpassing the moderate effects of ETU and 3-HP, as well as the minimal activity of TAA. Furthermore, TD and 3-HP demonstrated a synergistic effect in enhancing the properties of vulcanized NR, including elongation stress, tensile strength, tear resistance, and hardness, with TD achieving more rapid and complete vulcanization at higher dosages. Both TD and 3-HP increased the energy storage modulus of raw NR, thereby enhancing rigidity, while maintaining low loss factor values. The superior performance of TD is attributed to the synergistic interaction of its pyridine and thioamide groups, which optimize vulcanization kinetics and mechanical integrity. These findings underscore TD’s potential as an efficient vulcanization promoter for NR. Full article
(This article belongs to the Section Polymer Composites and Nanocomposites)
Show Figures

Figure 1

17 pages, 4848 KB  
Article
Synergistic Effects of Nitrosamine-Safe Accelerators for Enhanced Natural Rubber Latex Balloon in Sulfur Conventional Vulcanizing System
by Thanakan Chang-In, Ekasit Anancharoenwong and Sunisa Suchat
Polymers 2026, 18(4), 438; https://doi.org/10.3390/polym18040438 - 9 Feb 2026
Cited by 1 | Viewed by 596
Abstract
The vulcanization of natural rubber latex (NRL) relies on accelerators to achieve effective crosslinking by a sulfur conventional vulcanizing system and desirable properties such as tensile strength and elasticity. This study investigates the synergistic effects of carcinogenic nitrosamine-safe accelerators to develop a high-performance [...] Read more.
The vulcanization of natural rubber latex (NRL) relies on accelerators to achieve effective crosslinking by a sulfur conventional vulcanizing system and desirable properties such as tensile strength and elasticity. This study investigates the synergistic effects of carcinogenic nitrosamine-safe accelerators to develop a high-performance and safe NRL vulcanization system. A synergistic combination of 0.36 phr Zinc dibutyldithiocarbamate (ZBEC), 0.36 phr Tetrabenzylthiuram disulfide (TBzTD), and a trace amount of Zinc diethyldithiocarbamate (ZDEC), 0.03 phr, demonstrated optimal performance, yielding superior tensile strength (22.13 MPa), elongation at break (1153%), and thermal stability (Tmax 384.15 °C). Notably, this formulation exhibited below the detectable level limits of hazardous nitrosamines (N-nitrosodimethylamine (NDMA) and N-nitrosodibutylamine (NDBA)). The synergistic nitrosamine-safe accelerator system offers a promising strategy for producing environmentally responsible and consumer-safe NRL products with enhanced mechanical and thermal properties. Full article
(This article belongs to the Special Issue Exploration and Innovation in Sustainable Rubber Performance)
Show Figures

Figure 1

13 pages, 1797 KB  
Article
Mechanochemical Recycling of Tire-Derived Styrene–Butadiene Rubber Using a Regeneration Agent
by Matheus Silva de Oliveira, Leila Lea Yuan Visconte and Elen Beatriz Acordi Vasques Pacheco
Recycling 2026, 11(2), 37; https://doi.org/10.3390/recycling11020037 - 6 Feb 2026
Viewed by 1091
Abstract
Mechanochemical regeneration aims to selectively cleave the crosslinked network of vulcanized rubber. In this study, a tire-grade styrene–butadiene rubber (SBR) compound was vulcanized and then subjected to mechanochemical regeneration using a zinc (II) dithiocarbamate complex (ZNIBU) at 6, 8, and 10 phr. The [...] Read more.
Mechanochemical regeneration aims to selectively cleave the crosslinked network of vulcanized rubber. In this study, a tire-grade styrene–butadiene rubber (SBR) compound was vulcanized and then subjected to mechanochemical regeneration using a zinc (II) dithiocarbamate complex (ZNIBU) at 6, 8, and 10 phr. The regenerated materials were subsequently revulcanized, and their properties were assessed before and after both processing steps. The regenerated (non-revulcanized) samples exhibited reduced crosslink density and increased swelling, indicating effective network cleavage by the regenerator. After revulcanization, the compounds presented higher hardness (23%) but lower tensile strength (75%) and tear strength (25%) compared to the virgin vulcanizate. Overall, ZNIBU proved highly effective for the mechanochemical regeneration of SBR, with optimum performance observed at 8 phr. Full article
Show Figures

Graphical abstract

34 pages, 6828 KB  
Review
0D Nanofillers in EPDM-Based Elastomeric Ablatives: A Review of Thermo-Ablative Performance and Char Formation
by Mohammed Meiirbekov, Marat Nurguzhin, Marat Janikeyev, Zhannat Kadyrov, Mukhammed Sadykov, Assem Kuandyk, Nurmakhan Yesbolov, Nurlybek Spandiyar, Meiir Nurzhanov and Sunkar Orazbek
Polymers 2026, 18(3), 405; https://doi.org/10.3390/polym18030405 - 4 Feb 2026
Viewed by 685
Abstract
EPDM is widely used as the polymer matrix for solid rocket motor (SRM) internal thermal protection because of its low density, chemical inertness, and ability to form carbonaceous residue. Practical performance is frequently limited by weak char integrity and barrier properties, char oxidation, [...] Read more.
EPDM is widely used as the polymer matrix for solid rocket motor (SRM) internal thermal protection because of its low density, chemical inertness, and ability to form carbonaceous residue. Practical performance is frequently limited by weak char integrity and barrier properties, char oxidation, mechanical stripping in gas-dynamic flow, and by the poor comparability of published results due to non-uniform test conditions and reporting. This review systematizes studies on 0D nanofillers in EPDM ablatives and harmonizes the key metrics, including linear and mass ablation rates (LAR, MAR), back-face temperature (Tback), and solid residue yield. The major 0D additives-nSiO2, nTiO2, nZnO, and carbon black (CB) are compared, and their dominant mechanisms are summarized: degradation-layer structuring, reduced gas permeability, thermo-oxidative stabilization, and effects on vulcanization. Several studies report larger improvements for hybrid systems, where CB enhances char cohesion and retention, while oxide nanoparticles improve barrier performance and resistance to oxidation. Finally, an application-oriented selection matrix is proposed that accounts for thermal protection efficiency, processability, agglomeration limits, and density penalties to support EPDM coating design and improve comparability. Full article
(This article belongs to the Section Polymer Composites and Nanocomposites)
Show Figures

Figure 1

22 pages, 12350 KB  
Article
Aging Behavior of EPDM Compounds with Ground Tire Rubber (GTR) as a Functional Substitute for Calcium Carbonate
by Philippe Rotgänger, Vanessa Spanheimer, Danka Katrakova-Krüger and Ulrich Giese
Polymers 2026, 18(3), 367; https://doi.org/10.3390/polym18030367 - 29 Jan 2026
Viewed by 651
Abstract
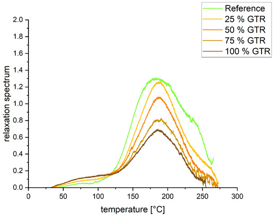
This study investigates the substitution of calcium carbonate (CaCO3) with ground tire rubber (GTR) in EPDM-based elastomer formulations as a strategy for sustainable material development. Unlike conventional approaches, this work employs GTR as a direct filler replacement. Temperature scanning stress relaxation [...] Read more.
This study investigates the substitution of calcium carbonate (CaCO3) with ground tire rubber (GTR) in EPDM-based elastomer formulations as a strategy for sustainable material development. Unlike conventional approaches, this work employs GTR as a direct filler replacement. Temperature scanning stress relaxation (TSSR) analyses confirm that GTR participates in vulcanization. Initial incorporation of GTR reduces crosslink density (CLD) and mechanical performance due to structural defects, while accelerators present in the recycled phase promote faster curing. This study focuses on the aging behavior of the compounds to evaluate possible long-term effects on the material. The thermo-oxidative stress leads to further crosslinking, resulting in higher CLD, increased stiffness and reduced elongation at break. Overall, partial replacement of CaCO3 by GTR proves feasible, offering a balanced compromise between sustainability and performance, whereas high GTR contents significantly impair mechanical properties. Full article
(This article belongs to the Section Polymer Analysis and Characterization)
Show Figures

Graphical abstract

17 pages, 2407 KB  
Article
Oil- and Fuel-Resistant Rubber for Pressure Hoses Containing Carbon-Based Technological Waste as a Filler
by Abdirakym Nakyp, Elena Cherezova, Yulia Karaseva, Kanat Beknazarov, Rustam Tokpayev, Svetoslav Volfson and Mikhail Nauryzbayev
Polymers 2026, 18(3), 330; https://doi.org/10.3390/polym18030330 - 26 Jan 2026
Cited by 1 | Viewed by 427
Abstract
Carbon-enriched concentrates based on shungite ore from rare-metal mining waste were obtained, and their effect on the properties of oil- and fuel-resistant carbon-black-filled rubber used for the production of pressure hoses was investigated. The shungite concentrates were produced by flotation followed by acid [...] Read more.
Carbon-enriched concentrates based on shungite ore from rare-metal mining waste were obtained, and their effect on the properties of oil- and fuel-resistant carbon-black-filled rubber used for the production of pressure hoses was investigated. The shungite concentrates were produced by flotation followed by acid activation. A blend of nitrile butadiene rubber and butadiene–α-methylstyrene rubber was used as the elastomeric base. Carbon black was partially replaced with shungite fillers (5–15 phr). The presence of shungite was found to prolong both the scorch time and the optimum cure time of the rubber compounds, likely due to oxide impurities that interfere with the vulcanization activation process. Replacing carbon black with shungite ore and its flotation concentrate in the rubber formulations resulted in a decrease in Mooney viscosity compared to the samples without shungite fillers. Acid-activated shungite concentrate at contents above 5 phr increases the viscosity of the rubber compound. It was found that acid-activated shungite concentrate provides high tensile strength and excellent thermo-oxidative stability of the rubber, whereas the use of shungite ore above 5 phr reduces the tensile strength and causes significant changes in tensile properties upon thermo-oxidation. When exposed in oil, rubbers containing shungite fillers retain their mechanical properties, with the best resistance in hydrocarbon media observed for the rubber filled with acid-activated shungite concentrate. Full article
(This article belongs to the Special Issue Advances in Functional Rubber and Elastomer Composites, 3rd Edition)
Show Figures

Graphical abstract

19 pages, 3234 KB  
Article
Designing Natural Rubber Shape Stabilized Phase Change Materials: Impact of Matrix Network on Thermophysical Properties
by Marc Neira-Viñas, Nicolas Candau and Ana Inés Fernández
Molecules 2026, 31(2), 390; https://doi.org/10.3390/molecules31020390 - 22 Jan 2026
Viewed by 415
Abstract
Shape-stabilized phase change materials (SSPCMs) have been a promising thermal energy storage (TES) solution to combine the high energy density of solid-to-liquid (SL) PCMs and the structural stability of solid–solid PCMs. Although polymeric matrices have been used for their reduced cost and ease [...] Read more.
Shape-stabilized phase change materials (SSPCMs) have been a promising thermal energy storage (TES) solution to combine the high energy density of solid-to-liquid (SL) PCMs and the structural stability of solid–solid PCMs. Although polymeric matrices have been used for their reduced cost and ease of processability, few have evaluated the use of crosslinked natural rubber (NR). In this study, we evaluate by differential scanning calorimetry (DSC) the preparation of room-temperature tailorable SSCPMs by the design of NR matrices with different crosslink density vulcanized by dicumyl peroxide (DCP) or sulphur, with special focus on the quantification of the content of PCM. The results indicate that the amount of PCM stable in the NR matrix is low, with PCM contents between 16 and 24% and enthalpies between 16 and 20 J·g−1. Likewise, it is well-known that thermophysical properties of the PCMs vary upon confinement in a small-scale porous matrix. The confinement of the PCM in the rubber network results in a measured enthalpy below the expected value, and a melting point depression of up to 23.6 °C, dependent on crosslink density. These results highlight the structural complexity of NR-PCM composites and the need for further investigation. Full article
(This article belongs to the Special Issue Advances in European Materials Chemistry)
Show Figures

Graphical abstract

24 pages, 6710 KB  
Article
Dynamic Mechanical Analysis, Morphology, Physico-Mechanical, and Performance Properties of EPDM/NBR Rubber Blends Containing Chlorosulfonated Polyethylene as a Compatibilizer
by Evgeniy Egorov, Rakhymzhan Turmanov, Rakhmetulla Zhapparbergenov, Aslan Oryngaliyev, Nurgali Akylbekov, Nurbol Appazov, Anton Loshachenko, Nikita Glukhoedov, Abdirakym Nakyp and Nadezhda Semenova
Polymers 2026, 18(1), 103; https://doi.org/10.3390/polym18010103 - 30 Dec 2025
Cited by 1 | Viewed by 730
Abstract
The article studies the influence of chlorosulfonated polyethylene CSM 40 as a compatibilizer on the curing characteristics of the rubber compound, dynamic mechanical analysis, morphology, physico-mechanical and performance properties of vulcanized rubber based on a compound of ethylene propylene diene monomer EPDM S [...] Read more.
The article studies the influence of chlorosulfonated polyethylene CSM 40 as a compatibilizer on the curing characteristics of the rubber compound, dynamic mechanical analysis, morphology, physico-mechanical and performance properties of vulcanized rubber based on a compound of ethylene propylene diene monomer EPDM S 501A and nitrile butadiene NBR 2645 rubbers. DMA studies indicate that the temperature dependence of tanδ for vulcanizates with and without a compatibilizer based on EPDM S 501A/NBR 2645 at a ratio of 75/25 parts per hundred parts of rubber (phr) has a bimodal character, which indicates the incompatibility of the rubber phases. The temperature dependence for EPDM S 501A/NBR 2645 vulcanizates (25/75 phr) with and without a compatibilizer has a monomodal form, which characterizes the improved compatibility of the rubber phases. SEM showed that a clearly defined microporous structure is observed on a cleavage of vulcanizate sample EPDM/NBR (25/75 phr) without a compatibilizer; with the addition of CSM 40, this feature is retained, but becomes less pronounced. It is shown that vulcanizates containing the compatibilizer CSM 40 are characterized by increased strength properties and hardness compared to vulcanized rubber without a compatibilizer. It was established that the vulcanized rubber based on EPDM S 501A/NBR 2645/CSM 40 (25/75/5 phr) is characterized by the smallest changes in the elastic-strength properties and hardness of vulcanizates after a day of thermo-oxidative aging in air and their weight after exposure to industrial oil I-20A and standard petroleum fluid SZhR-1 at room temperature among vulcanizates based on EPDM S 501A and NBR 2645. The vulcanizate of the rubber compound, including a compound of EPDM/NBR (25/75 phr) with a compatibilizer CSM 40 in an amount of 5 phr (2.88 wt.%), is characterized by stable physico-mechanical properties and improved performance properties. This rubber compound can be used for the manufacture of rubber products operating under the influence of oils and hydrocarbon environments. Full article
(This article belongs to the Section Polymer Processing and Engineering)
Show Figures

Graphical abstract

19 pages, 3590 KB  
Article
Influence of Aggressive Liquid Media on the Properties of Swelling Rubbers Filled with Carboxymethylated Cellulose
by Abdirakym Nakyp, Elena Cherezova, Yulia Karaseva, Aida Dauylbek and Rakhymzhan Turmanov
Macromol 2026, 6(1), 1; https://doi.org/10.3390/macromol6010001 - 25 Dec 2025
Viewed by 372
Abstract
The stability of physical and mechanical properties of highly filled swelling rubbers in polar and nonpolar liquids (oil, mineralized water) was studied. Nitrile butadiene rubber of BNKS-28 AMN grade served as the elastomer matrix, with sodium salt of carboxymethylcellulose (NaCMC) as the swelling [...] Read more.
The stability of physical and mechanical properties of highly filled swelling rubbers in polar and nonpolar liquids (oil, mineralized water) was studied. Nitrile butadiene rubber of BNKS-28 AMN grade served as the elastomer matrix, with sodium salt of carboxymethylcellulose (NaCMC) as the swelling filler. Oxal T-92, a mixture of dioxane alcohols (10–50 phr, step 10 phr), was used as a plasticizer due to its good thermodynamic miscibility with rubber (confirmed by Scatchard–Hildebrand calculations). Adding Oxal T-92 to NaCMC-filled compounds markedly reduced Mooney viscosity, improving processing through increased macromolecule mobility, without significantly affecting vulcanization kinetics—indicating chemical inertness toward crosslinking centers. Increasing Oxal T-92 from 10 to 50 phr reduced tensile strength from 4.1 MPa to 2.9 MPa. Swelling in aqueous solutions of varying mineralization was evaluated via volume and mass change. The optimal plasticizer content for high swelling with acceptable strength is 20–30 phr. After 3 days in oil and formation water, NaCMC-filled rubbers retained stable physical and mechanical properties. Full article
Show Figures

Graphical abstract

19 pages, 3717 KB  
Article
Influence of Shungite from the Bakyrchik Deposit on the Properties of Rubber Composites Based on a Blend of Non-Polar Diene Rubbers
by Kanat Beknazarov, Abdirakym Nakyp, Elena Cherezova, Yulia Karaseva, Azat Khasanov, Wojciech Ignaczak, Rustam Tokpayev and Mikhail Nauryzbayev
J. Compos. Sci. 2025, 9(12), 707; https://doi.org/10.3390/jcs9120707 - 18 Dec 2025
Cited by 1 | Viewed by 767
Abstract
The study investigates the influence of a hybrid filler system based on carbon black, silica (SiO2) and shungite from the Bakyrchik deposit on the curing behavior of rubber compounds as well as on the physical–mechanical properties and thermal stability of vulcanizates [...] Read more.
The study investigates the influence of a hybrid filler system based on carbon black, silica (SiO2) and shungite from the Bakyrchik deposit on the curing behavior of rubber compounds as well as on the physical–mechanical properties and thermal stability of vulcanizates based on a blend of butadiene-alpha-methylstyrene and isoprene rubbers. The morphology and elemental composition of shungite were examined using SEM-EDS analysis. Thermogravimetric analysis of shungite was also performed. The introduction of shungite led to a decrease in Mooney viscosity and an increase in scorch time. Rubber composites containing 10–20 phr (parts per hundred rubber) of shungite exhibited a satisfactory balance between the processing properties of the rubber compounds and the physical–mechanical properties of the vulcanizates (tensile strength, elongation at break, and rebound resiliency), which makes them promising for practical application. When 10 phr of shungite was added, the tensile strength of the rubber composites after thermal aging remained at the level of the control sample, while the changes in elongation at break, rebound resilience, and hardness were less pronounced than in the control. Full article
Show Figures

Figure 1

Back to TopTop