Sign in to use this feature.

Years

Between: -

Subjects

remove_circle_outline
remove_circle_outline
remove_circle_outline
remove_circle_outline
remove_circle_outline
remove_circle_outline
remove_circle_outline
remove_circle_outline
remove_circle_outline

Journals

remove_circle_outline
remove_circle_outline
remove_circle_outline
remove_circle_outline
remove_circle_outline
remove_circle_outline

Article Types

Countries / Regions

remove_circle_outline
remove_circle_outline
remove_circle_outline
remove_circle_outline
remove_circle_outline

Search Results (1,122)

Search Parameters:
Keywords = voltage stability enhancement

Order results
Result details
Results per page
Select all
Export citation of selected articles as:
34 pages, 3113 KB  
Article
Multi-Objective GWO with Opposition-Based Learning for Optimal Wind Turbine DG Allocation Considering Uncertainty and Seasonal Variability
by Abdullah Aljumah and Ahmed Darwish
Sustainability 2025, 17(19), 8819; https://doi.org/10.3390/su17198819 - 1 Oct 2025
Abstract
Optimally positioning renewable-based distributed generation (DG) units is vital for mitigating technical challenges in active distribution networks (ADNs). With the goal of achieving technical goals such as reduced losses and mitigated unstable voltage, two available optimization methods have been combined for positioning wind-energy [...] Read more.
Optimally positioning renewable-based distributed generation (DG) units is vital for mitigating technical challenges in active distribution networks (ADNs). With the goal of achieving technical goals such as reduced losses and mitigated unstable voltage, two available optimization methods have been combined for positioning wind-energy DGs: grey wolf optimization (GWO) and opposition-based learning (OBL), which tries out opposite possibilities for each assessed population, thus addressing GWO’s susceptibility to becoming stuck in local optima. This new fusion technique enhances the algorithm’s scrutiny of each area under consideration and reduces the likelihood of premature convergence. Results show that, compared with standard GWO, the proposed OBL-GWO reduced active power losses by up to 95.16%, improved total voltage deviation (TVD) by 99.7%, and increased the minimum bus voltage from 0.907 p.u. to 0.994 p.u. In addition, the voltage stability index (VSI) was also enhanced by nearly 30%. The proposed methodology outperformed both standard GWO on the IEEE 33-bus test system and comparable techniques reported in the literature consistently. By accounting for the uncertainty in wind generation, load demand, and future growth, this framework offers a more reliable and practical planning approach that better reflects real operating conditions. Full article
(This article belongs to the Special Issue Sustainable Renewable Energy: Smart Grid and Electric Power System)
10 pages, 1449 KB  
Article
Enhanced Cycling Stability of High-Voltage Sodium-Ion Batteries via DFEC-Driven Fluorinated Interface Engineering
by Xin Li, Yali Yao and Xinying Liu
Reactions 2025, 6(4), 52; https://doi.org/10.3390/reactions6040052 - 1 Oct 2025
Abstract
With their considerable capacity and structurally favorable characteristics, layered transition metal oxides have become strong contenders for cathode use in sodium-ion batteries (SIBs). Nevertheless, their practical deployment is challenged by pronounced capacity loss, predominantly induced by unstable cathode–electrolyte interphase (CEI) at elevated voltages. [...] Read more.
With their considerable capacity and structurally favorable characteristics, layered transition metal oxides have become strong contenders for cathode use in sodium-ion batteries (SIBs). Nevertheless, their practical deployment is challenged by pronounced capacity loss, predominantly induced by unstable cathode–electrolyte interphase (CEI) at elevated voltages. In this study, difluoroethylene carbonate (DFEC) is introduced as a functional electrolyte additive to engineer a robust and uniform CEI. The fluorine-enriched CEI effectively suppresses parasitic reactions, mitigates continuous electrolyte decomposition, and facilitates stable Na+ transport. Consequently, Na/NaNi1/3Fe1/3Mn1/3O2 (Na/NFM) cells with 2 wt.% DFEC retain 78.36% of their initial capacity after 200 cycles at 1 C and 4.2 V, demonstrating excellent long-term stability. Density functional theory (DFT) calculations confirm the higher oxidative stability of DFEC compared to conventional solvents, further supporting its interfacial protection role. This work offers valuable insights into electrolyte additive design for high-voltage SIBs and provides a practical route to significantly improve long-term electrochemical performance. Full article
(This article belongs to the Special Issue Feature Papers in Reactions in 2025)
Show Figures

Figure 1

27 pages, 20226 KB  
Article
Mitigation of Switching Ringing of GaN HEMT Based on RC Snubbers
by Xi Liu, Hui Li, Jinshu Lin, Chen Song, Honglang Zhang, Yuxiang Xue and Hengbin Zhang
Aerospace 2025, 12(10), 885; https://doi.org/10.3390/aerospace12100885 - 30 Sep 2025
Abstract
Gallium nitride high electron mobility transistors (GaN HEMTs), characterized by their extremely high switching speeds and superior high-frequency performance, have demonstrated significant advantages, and gained extensive applications in fields such as aerospace and high-power-density power supplies. However, their unique internal architecture renders these [...] Read more.
Gallium nitride high electron mobility transistors (GaN HEMTs), characterized by their extremely high switching speeds and superior high-frequency performance, have demonstrated significant advantages, and gained extensive applications in fields such as aerospace and high-power-density power supplies. However, their unique internal architecture renders these devices highly sensitive to circuit parasitic parameters. Conventional circuit design methodologies often induce severe issues such as overshoot and high-frequency oscillations, which significantly constrain the realization of their high-frequency performance. To solve this problem, this paper investigates the nonlinear dynamic behavior of GaN HEMTs during switching transients by establishing an equivalent impedance model. Based on this model, a detailed analysis is implemented to elucidate the mechanism by which RC Snubber circuits influence the system’s resonance frequency and the amplitude at the resonant frequency. Through this analysis, an optimal RC Snubber circuit parameter is derived, enabling effective suppression of high-frequency oscillations during the switching transient of GaN HEMT. Experimental results demonstrate that the proposed design achieves a maximum reduction of 40% in voltage overshoot, shortens the ringing time to one-twentieth of the original value, and suppresses noise by 20 dB in the high-frequency range of 20 MHz to 30 MHz, thereby significantly enhancing the stability and reliability of circuit operation. Additionally, considering the heat dissipation requirements in high power density scenarios, this work optimizes the layout of devices, and heat sinks to maintain operational temperatures within safe limits, further mitigating the impact of parasitic parameters on overall system performance. Full article
(This article belongs to the Section Aeronautics)
24 pages, 11005 KB  
Article
Hybrid Finite Control Set Model Predictive Control and Universal Droop Control for Enhanced Power Sharing in Inverter-Based Microgrids
by Devarapalli Vimala, Naresh Kumar Vemula, Bhamidi Lokeshgupta, Ramesh Devarapalli and Łukasz Knypiński
Energies 2025, 18(19), 5200; https://doi.org/10.3390/en18195200 - 30 Sep 2025
Abstract
This paper proposes a novel hybrid control strategy integrating a Finite Control Set Model Predictive Controller (FCS-MPC) with a universal droop controller (UDC) for effective load power sharing in inverter-fed microgrids. Traditional droop-based methods, though widely adopted for their simplicity and decentralized nature, [...] Read more.
This paper proposes a novel hybrid control strategy integrating a Finite Control Set Model Predictive Controller (FCS-MPC) with a universal droop controller (UDC) for effective load power sharing in inverter-fed microgrids. Traditional droop-based methods, though widely adopted for their simplicity and decentralized nature, suffer from limitations such as steady-state inaccuracies and poor transient response, particularly under mismatched impedance conditions. To overcome these drawbacks, the proposed scheme incorporates detailed modeling of inverter and source dynamics within the predictive controller to enhance accuracy, stability, and response speed. The UDC complements the predictive framework by ensuring coordination among inverters with different impedance characteristics. Simulation results under various load disturbances demonstrate that the proposed approach significantly outperforms conventional PI-based droop control in terms of voltage and frequency regulation, transient stability, and balanced power sharing. The performance is further validated through real-time simulations, affirming the scheme’s potential for practical deployment in dynamic microgrid environments. Full article
(This article belongs to the Special Issue Planning, Operation and Control of Microgrids: 2nd Edition)
Show Figures

Figure 1

15 pages, 9550 KB  
Article
Enhancing Energy Harvesting in Plant Microbial Fuel Cells with SnS-Coated 304 Stainless Steel Electrodes
by Nestor Rodríguez-Regalado, Yolanda Peña-Méndez, Edith Osorio-de-la-Rosa, Idalia Gómez-de-la-Fuente, Mirna Valdez-Hernández and Francisco López-Huerta
Coatings 2025, 15(10), 1130; https://doi.org/10.3390/coatings15101130 - 30 Sep 2025
Abstract
Plant microbial fuel cells (PMFCs) represent an eco-friendly solution for generating clean energy by converting biological processes into electricity. This work presents the first integration of tin sulfide (SnS)-coated 304 stainless steel (SS304) electrodes into Aloe vera-based PMFCs for enhanced energy harvesting. [...] Read more.
Plant microbial fuel cells (PMFCs) represent an eco-friendly solution for generating clean energy by converting biological processes into electricity. This work presents the first integration of tin sulfide (SnS)-coated 304 stainless steel (SS304) electrodes into Aloe vera-based PMFCs for enhanced energy harvesting. SnS thin films were obtained via chemical bath deposition and screen printing, followed by thermal treatment. X-ray diffraction (XRD) revealed a crystal size of 15 nm, while scanning electron microscopy (SEM) confirmed film thicknesses ranging from 3 to 13.75 µm. Over a 17-week period, SnS-coated SS304 electrodes demonstrated stable performance, with open circuit voltages of 0.6–0.7 V and current densities between 30 and 92 mA/m2, significantly improving power generation compared to uncoated electrodes. Polarization analysis indicated an internal resistance of 150 Ω and a power output of 5.8 mW/m2. Notably, the system successfully charged a 15 F supercapacitor with 8.8 J of stored energy, demonstrating a practical proof-of-concept for powering low-power IoT devices and advancing PMFC applications beyond power generation. Microbial biofilm formation, observed via SEM, contributed to enhanced electron transfer and system stability. These findings highlight the potential of PMFCs as a scalable, cost-effective, and sustainable energy solution suitable for industrial and commercial applications, contributing to the transition toward greener energy systems. These incremental advances demonstrate the potential of combining low-cost electrode materials and energy storage systems for future scalable and sustainable bioenergy solutions. Full article
(This article belongs to the Special Issue Advances and Challenges in Coating Materials for Battery Cathodes)
Show Figures

Figure 1

24 pages, 5442 KB  
Article
Electro-Spun Waste Polystyrene/Steel Slag Composite Membrane for Water Desalination: Modelling and Photothermal Activity Evaluation
by Salma Tarek Ghaly, Usama Nour Eldemerdash and Ahmed H. El-Shazly
Membranes 2025, 15(10), 294; https://doi.org/10.3390/membranes15100294 - 28 Sep 2025
Abstract
Plastic waste and industrial residues like steel slag pose significant environmental challenges, with limited recycling solutions. This study investigates a sustainable approach by repurposing waste polystyrene and steel slag into composite membranes via electrospinning for membrane distillation applications. Steel slag incorporation enhanced membrane [...] Read more.
Plastic waste and industrial residues like steel slag pose significant environmental challenges, with limited recycling solutions. This study investigates a sustainable approach by repurposing waste polystyrene and steel slag into composite membranes via electrospinning for membrane distillation applications. Steel slag incorporation enhanced membrane porosity, hydrophobicity, and thermal stability, with process optimization performed through response surface methodology by varying slag content (0–10 wt%), voltage (15–30 kV), and feed rate (0.18–10 mL·h−1). Optimized membranes achieved a reduced fiber diameter (1.172 µm), high porosity (82.3%), and superior hydrophobicity (contact angle 102.2°). Mechanical performance improved with a 12% increase in tensile strength and a threefold rise in liquid entry pressure over pure polystyrene membranes, indicating greater durability and wetting resistance. In direct contact membrane distillation, water flux improved by 15% while maintaining salt rejection above 98%. Under photothermal membrane distillation, evaporation rates rose by 69% and solar-to-thermal conversion efficiency by 60% compared to standard PVDF membranes. These results demonstrate the feasibility of transforming waste materials into high-performance, durable membranes, offering a scalable and eco-friendly solution for sustainable desalination. Full article
(This article belongs to the Section Membrane Applications for Water Treatment)
Show Figures

Figure 1

36 pages, 6811 KB  
Article
A Hierarchical Two-Layer MPC-Supervised Strategy for Efficient Inverter-Based Small Microgrid Operation
by Salima Meziane, Toufouti Ryad, Yasser O. Assolami and Tawfiq M. Aljohani
Sustainability 2025, 17(19), 8729; https://doi.org/10.3390/su17198729 - 28 Sep 2025
Abstract
This study proposes a hierarchical two-layer control framework aimed at advancing the sustainability of renewable-integrated microgrids. The framework combines droop-based primary control, PI-based voltage and current regulation, and a supervisory Model Predictive Control (MPC) layer to enhance dynamic power sharing and system stability [...] Read more.
This study proposes a hierarchical two-layer control framework aimed at advancing the sustainability of renewable-integrated microgrids. The framework combines droop-based primary control, PI-based voltage and current regulation, and a supervisory Model Predictive Control (MPC) layer to enhance dynamic power sharing and system stability in renewable-integrated microgrids. The proposed method addresses the limitations of conventional control techniques by coordinating real and reactive power flow through an adaptive droop formulation and refining voltage/current regulation with inner-loop PI controllers. A discrete-time MPC algorithm is introduced to optimize power setpoints under future disturbance forecasts, accounting for state-of-charge limits, DC-link voltage constraints, and renewable generation variability. The effectiveness of the proposed strategy is demonstrated on a small hybrid microgrid system that serve a small community of buildings with a solar PV, wind generation, and a battery storage system under variable load and environmental profiles. Initial uncontrolled scenarios reveal significant imbalances in resource coordination and voltage deviation. Upon applying the proposed control, active and reactive power are equitably shared among DG units, while voltage and frequency remain tightly regulated, even during abrupt load transitions. The proposed control approach enhances renewable energy integration, leading to reduced reliance on fossil-fuel-based resources. This contributes to environmental sustainability by lowering greenhouse gas emissions and supporting the transition to a cleaner energy future. Simulation results confirm the superiority of the proposed control strategy in maintaining grid stability, minimizing overcharging/overdischarging of batteries, and ensuring waveform quality. Full article
(This article belongs to the Special Issue Smart Grid Technologies and Energy Sustainability)
Show Figures

Figure 1

20 pages, 4287 KB  
Article
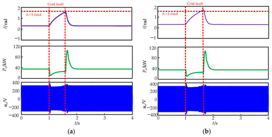
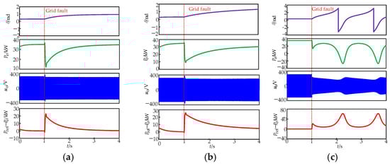
Transient Stability Enhancement Method for VSGs Based on Power Angle Deviation for Reactive Power Control Loop Modification
by Guanlong Jia, Jingru Shi, Xueying Wang, Feng Niu and Xiaoxue Wang
Electronics 2025, 14(19), 3837; https://doi.org/10.3390/electronics14193837 - 27 Sep 2025
Abstract
Virtual synchronous generators (VSGs) simulate the operating characteristics of conventional synchronous generators to provide inertia, voltage and frequency support for new-type power systems dominated by power electronics. However, in the event of grid faults, VSGs inevitably experience transient angle instability, which leads to [...] Read more.
Virtual synchronous generators (VSGs) simulate the operating characteristics of conventional synchronous generators to provide inertia, voltage and frequency support for new-type power systems dominated by power electronics. However, in the event of grid faults, VSGs inevitably experience transient angle instability, which leads to great challenges to the safe and stable operation of the power system. To address the problem of transient instability so that VSGs can continue to support the power system during a grid fault, this paper firstly analyzes the adverse effect of a reactive power control (RPC) loop on the transient stability of the system and proposes a method for adding the variation in the power angle into RPC to increase the voltage reference of a VSG during grid faults, which can solve the transient instability problem under both equilibrium point existence and nonexistence by increasing the active power output of the VSG. The effect of the additional coefficient on the transient characteristics of the system is then analyzed using a small-signal model, and it is found that this method also enhances the frequency stability of the system. Finally, the feasibility of the proposed method and the correctness of the theoretical analysis are confirmed by a simulation platform. Full article
Show Figures

Figure 1

25 pages, 8468 KB  
Article
Robust Backstepping Super-Twisting MPPT Controller for Photovoltaic Systems Under Dynamic Shading Conditions
by Kamran Ali, Shafaat Ullah and Eliseo Clementini
Energies 2025, 18(19), 5134; https://doi.org/10.3390/en18195134 - 26 Sep 2025
Abstract
In this research article, a fast and efficient hybrid Maximum Power Point Tracking (MPPT) control technique is proposed for photovoltaic (PV) systems. The method combines two phases—offline and online—to estimate the appropriate duty cycle for operating the converter at the maximum power point [...] Read more.
In this research article, a fast and efficient hybrid Maximum Power Point Tracking (MPPT) control technique is proposed for photovoltaic (PV) systems. The method combines two phases—offline and online—to estimate the appropriate duty cycle for operating the converter at the maximum power point (MPP). In the offline phase, temperature and irradiance inputs are used to compute the real-time reference peak power voltage through an Adaptive Neuro-Fuzzy Inference System (ANFIS). This estimated reference is then utilized in the online phase, where the Robust Backstepping Super-Twisting (RBST) controller treats it as a set-point to generate the control signal and continuously adjust the converter’s duty cycle, driving the PV system to operate near the MPP. The proposed RBST control scheme offers a fast transient response, reduced rise and settling times, low tracking error, enhanced voltage stability, and quick adaptation to changing environmental conditions. The technique is tested in MATLAB/Simulink under three different scenarios: continuous variation in meteorological parameters, sudden step changes, and partial shading. To demonstrate the superiority of the RBST method, its performance is compared with classical backstepping and integral backstepping controllers. The results show that the RBST-based MPPT controller achieves the minimum rise time of 0.018s, the lowest squared error of 0.3015V, the minimum steady-state error of 0.29%, and the highest efficiency of 99.16%. Full article
(This article belongs to the Special Issue Experimental and Numerical Analysis of Photovoltaic Inverters)
Show Figures

Figure 1

13 pages, 1394 KB  
Article
Coupling Characteristics and Construction Method of Single-AC Multi-DC Hybrid Grid
by Xingning Han, Ying Huang, Guoteng Wang, Hui Cai, Mingxin Yan and Zheng Xu
Energies 2025, 18(19), 5131; https://doi.org/10.3390/en18195131 - 26 Sep 2025
Abstract
In regions with concentrated load centers in China, the AC transmission network is dense, leading to challenges such as difficulties in power flow control and excessive short-circuit currents. The scale effect of AC grids is approaching saturation, making it imperative to develop new [...] Read more.
In regions with concentrated load centers in China, the AC transmission network is dense, leading to challenges such as difficulties in power flow control and excessive short-circuit currents. The scale effect of AC grids is approaching saturation, making it imperative to develop new AC/DC hybrid grid structures. To enhance the controllability, security, and stability of AC/DC hybrid power systems, a single-AC multi-DC hybrid grid structure is proposed in this paper. The operational characteristics of this grid are analyzed in terms of power flow control capability, N-1 overload, short-circuit current, frequency stability, voltage stability, and synchronous stability, and a method for constructing the single-AC multi-DC hybrid grid is presented. Finally, simulation analysis is conducted on a typical single-AC multi-DC case, and the results indicate that this hybrid grid structure can simultaneously satisfy the controllability, security, and stability requirements of AC/DC power systems, making it a highly promising grid configuration. Full article
(This article belongs to the Special Issue Advanced Grid Integration with Power Electronics: 2nd Edition)
Show Figures

Figure 1

15 pages, 5424 KB  
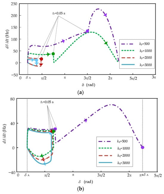
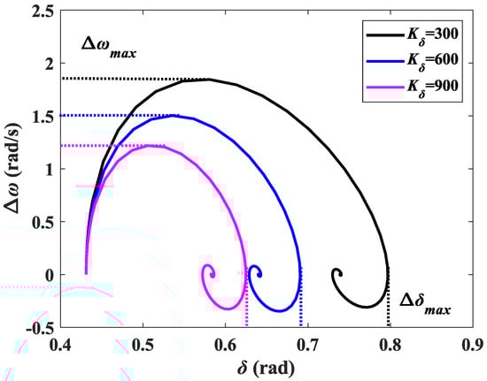
Article
Transient Stability Control Method for Droop-Controlled Photovoltaics, Based on Power Angle Deviation Feedback
by Youzhuo Zheng, Zekun Xiao, Long Hua, Qi Guo, Chun Li and Kailei Chen
Energies 2025, 18(19), 5126; https://doi.org/10.3390/en18195126 - 26 Sep 2025
Abstract
Distributed photovoltaic grid-connected converters adopting droop control can provide dual support for voltage and frequency in the distribution system. However, under fault conditions, droop-controlled inverters will face the problem of transient synchronization instability, and their transient characteristics are significantly affected by fault conditions, [...] Read more.
Distributed photovoltaic grid-connected converters adopting droop control can provide dual support for voltage and frequency in the distribution system. However, under fault conditions, droop-controlled inverters will face the problem of transient synchronization instability, and their transient characteristics are significantly affected by fault conditions, control parameter configurations, and other factors. Nevertheless, at present, the transient operation boundaries of droop inverters, considering key sensitive parameters, are unclear, and the transient stability control mechanism is lacking, which poses a threat to the safe and stable operation of distributed photovoltaic systems. To this end, this paper fully considers the influences of control parameters and fault severity and conducts a multidimensional quantitative characterization of the transient stability boundaries of droop-controlled inverters. Furthermore, a stability enhancement control structure for droop-controlled inverters, based on power angle deviation feedforward, is proposed, and an adaptive configuration method for feedforward coefficients is put forward to ensure the safe and stable operation of droop inverters at different fault sag depths. Finally, the accuracy of the theoretical analysis and the proposed control structure is verified through simulations and experiments. Full article
Show Figures

Figure 1

17 pages, 4005 KB  
Article
Resistor Variation Compensation for Enhanced Current Matching in Bandgap References
by Engy Nageib, Sameh Ibrahim and Mohamed Dessouky
Electronics 2025, 14(19), 3808; https://doi.org/10.3390/electronics14193808 - 26 Sep 2025
Abstract
A precision bandgap reference (BGR) is an essential building block in modern analog and mixed-signal systems, as it provides stable and predictable current and voltage references required for reliable operation across process, voltage, and temperature variations. However, one of the key challenges in [...] Read more.
A precision bandgap reference (BGR) is an essential building block in modern analog and mixed-signal systems, as it provides stable and predictable current and voltage references required for reliable operation across process, voltage, and temperature variations. However, one of the key challenges in conventional BGR circuits is their sensitivity to resistance variations, which directly impacts the accuracy of bias currents. Even small changes in resistance can lead to significant current mismatch between the core branches of the circuit, thereby degrading output stability and limiting the precision of the overall system. This degradation is particularly problematic in high-performance applications such as data converters, oscillators, and low-power biasing networks, where robust current matching is critical. To address this limitation, this work proposes a resistance-compensated BGR architecture that incorporates an auxiliary trimming network and a compensation branch. The trimming network senses variations in resistance and generates a control bias proportional to the deviation, while the compensation branch injects a corrective current into the output stage. By dynamically balancing the mismatch introduced by resistor spread, the proposed architecture effectively restores current stability across process corners. This method achieves reduction in the current variation across resistance corners from 21% to 3% in worst-case corners (±3%). This approach offers enhancement of current mismatches in analog systems in which robust current is essential. Full article
Show Figures

Figure 1

31 pages, 18957 KB  
Article
Hierarchical Hybrid Control and Communication Topology Optimization in DC Microgrids for Enhanced Performance
by Yuxuan Tang, Azeddine Houari, Lin Guan and Abdelhakim Saim
Electronics 2025, 14(19), 3797; https://doi.org/10.3390/electronics14193797 - 25 Sep 2025
Abstract
Bus voltage regulation and accurate power sharing constitute two pivotal control objectives in DC microgrids. The conventional droop control method inherently suffers from steady-state voltage deviation. Centralized control introduces vulnerability to single-point failures, with significantly degraded stability under abnormal operating conditions. Distributed control [...] Read more.
Bus voltage regulation and accurate power sharing constitute two pivotal control objectives in DC microgrids. The conventional droop control method inherently suffers from steady-state voltage deviation. Centralized control introduces vulnerability to single-point failures, with significantly degraded stability under abnormal operating conditions. Distributed control strategies mitigate this vulnerability but require careful balancing between control effectiveness and communication costs. Therefore, this paper proposes a hybrid hierarchical control architecture integrating multiple control strategies to achieve near-zero steady-state deviation voltage regulation and precise power sharing in DC microgrids. Capitalizing on the complementary advantages of different control methods, an operation-condition-adaptive hierarchical control (OCAHC) strategy is proposed. The proposed method improves reliability over centralized control under communication failures, and achieves better performance than distributed control under normal conditions. With a fault-detection logic module, the OCAHC framework enables automatic switching to maintain high control performance across different operating scenarios. For the inherent trade-off between consensus algorithm performance and communication costs, a communication topology optimization model is established with communication cost as the objective, subject to constraints including communication intensity, algorithm convergence under both normal and N-1 conditions, and control performance requirements. An accelerated optimization approach employing node-degree computation and equivalent topology reduction is proposed to enhance computational efficiency. Finally, case studies on a DC microgrid with five DGs verify the effectiveness of the proposed model and methods. Full article
(This article belongs to the Special Issue Power Electronics Controllers for Power System)
Show Figures

Figure 1

21 pages, 2133 KB  
Article
Intelligent Terrain Mapping with a Quadruped Spider Robot: A Bluetooth-Enabled Mobile Platform for Environmental Reconnaissance
by Sandeep Gupta, Shamim Kaiser and Kanad Ray
Automation 2025, 6(4), 50; https://doi.org/10.3390/automation6040050 - 24 Sep 2025
Viewed by 99
Abstract
This paper introduces a new quadruped spider robot platform specializing in environmental reconnaissance and mapping. The robot measures 180 mm × 180 mm × 95 mm and weighs 385 g, including the battery, providing a compact yet capable platform for reconnaissance missions. The [...] Read more.
This paper introduces a new quadruped spider robot platform specializing in environmental reconnaissance and mapping. The robot measures 180 mm × 180 mm × 95 mm and weighs 385 g, including the battery, providing a compact yet capable platform for reconnaissance missions. The robot consists of an ESP32 microcontroller and eight servos that are disposed in a biomimetic layout to achieve the biological gait of an arachnid. One of the major design revolutions is in the power distribution network (PDN) of the robot, in which two DC-DC buck converters (LM2596M) are used to isolate the power domains of the computation and the mechanical subsystems, thereby enhancing reliability and the lifespan of the robot. The theoretical analysis demonstrates that this dual-domain architecture reduces computational-domain voltage fluctuations by 85.9% compared to single-converter designs, with a measured voltage stability improving from 0.87 V to 0.12 V under servo load spikes. Its proprietary Bluetooth protocol allows for both the sending and receiving of controls and environmental data with fewer than 120 ms of latency at up to 12 m of distance. The robot’s mapping system employs a novel motion-compensated probabilistic algorithm that integrates ultrasonic sensor data with IMU-based motion estimation using recursive Bayesian updates. The occupancy grid uses 5 cm × 5 cm cells with confidence tracking, where each cell’s probability is updated using recursive Bayesian inference with confidence weighting to guide data fusion. Experimental verification in different environments indicates that the mapping accuracy (92.7% to ground-truth measurements) and stable pattern of the sensor reading remain, even when measuring the complex gait transition. Long-range field tests conducted over 100 m traversals in challenging outdoor environments with slopes of up to 15° and obstacle densities of 0.3 objects/m2 demonstrate sustained performance, with 89.2% mapping accuracy. The energy saving of the robot was an 86.4% operating-time improvement over the single-regulator designs. This work contributes to the championing of low-cost, high-performance robotic platforms for reconnaissance tasks, especially in search and rescue, the exploration of hazardous environments, and educational robotics. Full article
(This article belongs to the Section Robotics and Autonomous Systems)
Show Figures

Figure 1

26 pages, 9188 KB  
Article
Revolutionizing Hybrid Microgrids Enhanced Stability and Efficiency with Nonlinear Control Strategies and Optimization
by Rimsha Ghias, Atif Rehman, Hammad Iqbal Sherazi, Omar Alrumayh, Abdulrahman Alsafrani and Abdullah Alburidy
Energies 2025, 18(19), 5061; https://doi.org/10.3390/en18195061 - 23 Sep 2025
Viewed by 111
Abstract
Microgrid systems play a vital role in managing distributed energy resources like solar, wind, batteries, and supercapacitors. However, maintaining stable AC/DC bus voltages and minimizing grid reliance under dynamic conditions is challenging. Traditional control methods such as Sliding Mode Controllers (SMCs) suffer from [...] Read more.
Microgrid systems play a vital role in managing distributed energy resources like solar, wind, batteries, and supercapacitors. However, maintaining stable AC/DC bus voltages and minimizing grid reliance under dynamic conditions is challenging. Traditional control methods such as Sliding Mode Controllers (SMCs) suffer from issues like chattering and slow convergence, reducing practical effectiveness. This paper proposes a hybrid AC/DC microgrid that operates in both grid-connected and islanded modes while ensuring voltage stability and efficient energy use. A Conditional-Based Super-Twisting Sliding Mode Controller (CBSTSMC) is employed to address the limitations of conventional SMCs. The CBSTSMC enhances system performance by reducing chattering, improving convergence speed, and offering better tracking and disturbance rejection. To further refine controller performance, an Improved Grey Wolf Optimization (IGWO) algorithm is used for gain tuning, resulting in enhanced system robustness and precision. An Energy Management System (EMS) is integrated to intelligently regulate power flow based on renewable generation and storage availability. The proposed system is tested in real time using a Texas Instruments Delfino C2000 microcontroller through a Controller-in-the-Loop (CIL) setup. The simulation and hardware results confirm the system’s ability to maintain stability and reliability under diverse operating scenarios, proving its suitability for future smart grid applications. Full article
Show Figures

Figure 1

Back to TopTop