Sign in to use this feature.

Years

Between: -

Subjects

remove_circle_outline
remove_circle_outline
remove_circle_outline
remove_circle_outline
remove_circle_outline
remove_circle_outline
remove_circle_outline
remove_circle_outline
remove_circle_outline

Journals

Article Types

Countries / Regions

Search Results (126)

Search Parameters:
Keywords = virtual terrain

Order results
Result details
Results per page
Select all
Export citation of selected articles as:
27 pages, 59147 KB  
Article
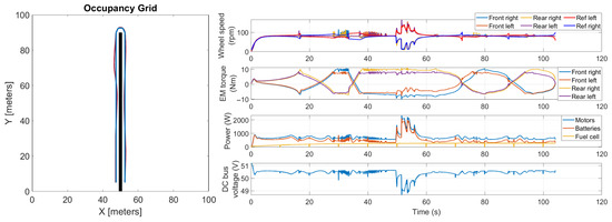
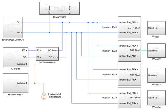
Experimental Characterization and Co-Simulation Analysis of an Agricultural Rover with a Fuel-Cell Range-Extender Unit
by Valerio Martini, Salvatore Martelli, Francesco Mocera and Aurelio Somà
Energies 2025, 18(24), 6432; https://doi.org/10.3390/en18246432 - 9 Dec 2025
Viewed by 169
Abstract
The adoption of autonomous-driving rovers represents a feasible solution to improve the sustainability of the agricultural sector, as they are smaller and more efficient compared to traditional machinery. However, endurance and productivity can be critical factors for the adoption of such vehicles. In [...] Read more.
The adoption of autonomous-driving rovers represents a feasible solution to improve the sustainability of the agricultural sector, as they are smaller and more efficient compared to traditional machinery. However, endurance and productivity can be critical factors for the adoption of such vehicles. In addition, the autonomous-driving algorithm should guarantee that the rover is able to accomplish tasks without supervision. In this paper, a numerical analysis of an autonomous-driving rover with a hybrid fuel-cell powertrain, specifically designed for orchards and vineyards, is presented. The proposed powertrain presents a first innovative integration of a metal-hydride hydrogen-storage system into an orchard mobile machine. A Li-ion battery pack is the main energy source, while the fuel-cell system operates in a range-extender configuration. A co-simulation model was developed comprising the autonomous-driving algorithm, a multibody model, and a powertrain model. Experimental tests were carried out to characterize the fuel-cell system and the metal-hydride tank, and the obtained data were used to develop and tune their numerical models. A virtual test scenario consisting of a typical rover maneuver, namely a 180-degree turn, performed in different soil and payload conditions, was defined, and simulations were carried out evaluating the rover’s performance. The simulation results showed that the rover completed the mission in loam and hard soil conditions, and with up to 200 kg of payload. Moreover, the fuel-cell range extender significantly enhanced the rover’s endurance, with up to +60% of increase when employing a tank swap technique to replace the metal-hydride tank upon hydrogen depletion. On the contrary, in the case of critical terrain conditions, such as muddy and sandy soils, the rover was not capable of completing the task due to tire slipping. Full article
(This article belongs to the Special Issue Applications of Fuel Cell Systems)
Show Figures

Figure 1

28 pages, 7805 KB  
Article
Balanced Walking Force Control for Walking Excavators Based on Dual Strong Tracking Kalman Filter
by Zhen Liu, Wenjie Yuan, Daqing Zhang, Yi Zhang and Dongliang Chen
Appl. Sci. 2025, 15(23), 12678; https://doi.org/10.3390/app152312678 - 29 Nov 2025
Viewed by 179
Abstract
The operation of walking excavators on rugged terrain often leads to leg lift-off, which can result in uneven force distribution, accelerated structural wear, and even systemic instability. To address these issues, this paper proposes a coordinated control framework comprising three integral components: a [...] Read more.
The operation of walking excavators on rugged terrain often leads to leg lift-off, which can result in uneven force distribution, accelerated structural wear, and even systemic instability. To address these issues, this paper proposes a coordinated control framework comprising three integral components: a Dual Strong Tracking Kalman Filter (DSTKF) for estimating unmeasurable system states—such as joint velocities, external forces, and hydraulic disturbances; a fuzzy adaptive virtual model-based force planner that dynamically adjusts the desired leg forces in real time to minimize support force variations; and a DSTKF-based force controller that precisely regulates the output force of each leg. Simulations and physical experiments demonstrate that the proposed approach effectively achieves autonomous balance of ground contact forces and optimizes force distribution among the legs. This study provides a lightweight, fully closed-loop solution for state estimation and walking force balance in walking excavators equipped with standard proportional valves. Full article
(This article belongs to the Special Issue Intelligent Control of Robotic System)
Show Figures

Figure 1

27 pages, 4375 KB  
Article
Dynamic Modeling and Performance Analysis of a Novel Dual-Platform Biped Robot Based on a 4-UPU Parallel Mechanism
by Zhaofeng Shi, Shengtao Song, Ruiqin Li, Fengping Ning, Lei Zhang and Lianzheng Deng
Machines 2025, 13(12), 1094; https://doi.org/10.3390/machines13121094 - 26 Nov 2025
Viewed by 211
Abstract
Biped robots based on parallel mechanisms hold great potential for applications in complex terrains. Based on a 4-UPU parallel mechanism, this paper proposes a novel biped robot that achieves alternating bipedal locomotion and turning with only six actuators by employing fixed/moving platform switching [...] Read more.
Biped robots based on parallel mechanisms hold great potential for applications in complex terrains. Based on a 4-UPU parallel mechanism, this paper proposes a novel biped robot that achieves alternating bipedal locomotion and turning with only six actuators by employing fixed/moving platform switching and following an “upper platform + lower foot” continuous gait strategy. Using the influence coefficient method, the first order and second order kinematic influence coefficient matrices of the biped robot were derived. Based on the principle of virtual work, a dynamic model of the robot was formulated, and its validity was verified through numerical simulations. The dynamic performance of the robot was further evaluated using the Dynamic Manipulability Ellipsoid (DME) index, while its stability during step-climbing and turning was analyzed using the Zero-Moment Point (ZMP) method. The results demonstrate that the dual-platform biped robot features a rational structure and exhibits robust stability during step-climbing and turning. Full article
(This article belongs to the Special Issue The Kinematics and Dynamics of Mechanisms and Robots)
Show Figures

Figure 1

43 pages, 8950 KB  
Article
Development of a Virtual Drone System for Exploring Natural Landscapes and Enhancing Junior High School Students’ Learning of Indigenous Settlement Site Selection
by Pei-Qing Wu, Tsu-Jen Ding, Yu-Jung Wu and Wernhuar Tarng
Drones 2025, 9(11), 742; https://doi.org/10.3390/drones9110742 - 24 Oct 2025
Viewed by 801
Abstract
This study combined virtual reality technology with drone aerial imagery of Smangus, a remote Atayal tribe situated 1500 m above sea level in Hsinchu County, Taiwan, to develop a virtual drone system. This study aims to investigate the learning effectiveness and operational experience [...] Read more.
This study combined virtual reality technology with drone aerial imagery of Smangus, a remote Atayal tribe situated 1500 m above sea level in Hsinchu County, Taiwan, to develop a virtual drone system. This study aims to investigate the learning effectiveness and operational experience associated with the application of the virtual drone system for exploring tribal natural landscapes and enhancing junior high school students’ learning of Indigenous settlement site selection. A quasi-experimental design was conducted with two seventh-grade classes from a junior high school in Hsinchu County, Taiwan. The experimental group (n = 43) engaged with the virtual drone system to perform settlement site selection tasks, while the control group (n = 42) learned using traditional materials such as PowerPoint slides and maps. The intervention consisted of two instructional sessions, with data collected via achievement tests, questionnaires, and open-ended feedback. The results indicated that students in the experimental group significantly outperformed the control group in learning outcomes. Positive responses were also observed in learning motivation, cognitive load, and system satisfaction. Students reported that the virtual drone system improved students’ understanding of terrain and enhanced their skills in selecting appropriate sites while increasing their interest and motivation in learning. Moreover, the course incorporated the Atayal people’s migration history and field interview data, enriching its cultural authenticity and contextual relevance. Full article
Show Figures

Figure 1

27 pages, 10581 KB  
Article
Maintaining Dynamic Symmetry in VR Locomotion: A Novel Control Architecture for a Dual Cooperative Five-Bar Mechanism-Based ODT
by Halit Hülako
Symmetry 2025, 17(10), 1620; https://doi.org/10.3390/sym17101620 - 1 Oct 2025
Viewed by 518
Abstract
Natural and unconstrained locomotion remains a fundamental challenge in creating truly immersive virtual reality (VR) experiences. This paper presents the design and control of a novel robotic omnidirectional treadmill (ODT) based on the bilateral symmetry of two cooperative five-bar planar mechanisms designed to [...] Read more.
Natural and unconstrained locomotion remains a fundamental challenge in creating truly immersive virtual reality (VR) experiences. This paper presents the design and control of a novel robotic omnidirectional treadmill (ODT) based on the bilateral symmetry of two cooperative five-bar planar mechanisms designed to replicate realistic walking mechanics. The central contribution is a human in the loop control strategy designed to achieve stable walking in place. This framework employs a specific control strategy that actively repositions the footplates along a dynamically defined ‘Line of Movement’ (LoM), compensating for the user’s motion to ensure the midpoint between the feet remains stabilized and symmetrical at the platform’s geometric center. A comprehensive dynamic model of both the ODT and a coupled humanoid robot was developed to validate the system. Numerical simulations demonstrate robust performance across various gaits, including turning and catwalks, maintaining the user’s locomotion center with a maximum resultant drift error of 11.65 cm, a peak value that occurred momentarily during a turning motion and remained well within the ODT’s safe operational boundaries, with peak errors along any single axis remaining below 9 cm. The system operated with notable efficiency, requiring RMS torques below 22 Nm for the primary actuators. This work establishes a viable dynamic and control architecture for foot-tracking ODTs, paving the way for future enhancements such as haptic terrain feedback and elevation simulation. Full article
(This article belongs to the Special Issue Applications Based on Symmetry/Asymmetry in Control Engineering)
Show Figures

Figure 1

42 pages, 12059 KB  
Review
A Survey of Three-Dimensional Wireless Sensor Networks Deployment Techniques
by Tingting Cao, Fan Yang, Chensiyu Fan, Ru Han, Xing Yang and Lei Shu
J. Sens. Actuator Netw. 2025, 14(5), 94; https://doi.org/10.3390/jsan14050094 - 24 Sep 2025
Viewed by 1705
Abstract
Three-dimensional (3D) wireless sensor networks (WSNs) are gaining increasing significance in applications across complex environments, including underwater monitoring, mountainous terrains, and smart cities. Compared to two-dimensional (2D) WSNs, 3D WSNs introduce unique challenges in coverage, connectivity, map construction, and blind area detection. This [...] Read more.
Three-dimensional (3D) wireless sensor networks (WSNs) are gaining increasing significance in applications across complex environments, including underwater monitoring, mountainous terrains, and smart cities. Compared to two-dimensional (2D) WSNs, 3D WSNs introduce unique challenges in coverage, connectivity, map construction, and blind area detection. This paper provides a comprehensive survey of node deployment strategies in 3D WSNs. We summarize several key design aspects: sensing models, occlusion detection, coverage and connectivity, sensor mobility, signal and protocol effects, and simulation map construction. Deployment algorithms are categorized into six main types: classical algorithms, computational geometry algorithms, virtual force algorithms, evolutionary algorithms, swarm intelligence algorithms, and approximation algorithms. For each category, we review representative works, analyze their design principles, and evaluate their advantages and limitations. Comparative summaries are included to facilitate algorithm selection based on specific deployment requirements. Recent advancements in these strategies have led to significant improvements in network performance, with some algorithms achieving up to 12.5% lower cost and 30% higher coverage compared to earlier methods, and even reaching 100% coverage in certain cases. Thus, this survey aims to present the current research status and highlight practical improvements, offering a reference for understanding existing approaches and selecting appropriate algorithms for diverse deployment scenarios. Full article
Show Figures

Figure 1

25 pages, 5954 KB  
Article
Bio-Inspired Central Pattern Generator for Adaptive Gait Generation and Stability in Humanoid Robots on Sloped Surfaces
by Junwei Fang, Yinglian Jin, Binrui Wang, Kun Zhou, Mingrui Wang and Ziqi Liu
Biomimetics 2025, 10(9), 637; https://doi.org/10.3390/biomimetics10090637 - 22 Sep 2025
Viewed by 1015
Abstract
Existing research has preliminarily achieved stable walking in humanoid robots; however, natural human-like leg motion and adaptive capabilities in dynamic environments remain unattained. This paper proposes a bionic central pattern generator (CPG) gait generation method based on Kimura neurons. The method maps the [...] Read more.
Existing research has preliminarily achieved stable walking in humanoid robots; however, natural human-like leg motion and adaptive capabilities in dynamic environments remain unattained. This paper proposes a bionic central pattern generator (CPG) gait generation method based on Kimura neurons. The method maps the CPG output to the spatial motion patterns of the robot’s center of mass (CoM) and foot trajectory, modulated by 22 undetermined parameters. To address the vague physical interpretation of CPG parameters, the strong neuronal coupling, and the difficulty of decoupling, this research systematically optimized the CPG parameters by defining an objective function that integrates dynamic balance performance with step constraints, thereby enhancing the naturalness and coordination of gait generation. To further enhance the walking stability of the robot under varying road curvatures, a vestibular reflex mechanism was designed based on the Tegotae theory, enabling real-time posture adjustment during slope walking. To validate the proposed approach, a virtual simulation platform and a physical humanoid robot system were constructed to comparatively evaluate motion performance on flat terrain and slopes with different gradients. The results show that the energy consumption characteristics of robot-coordinated gait are highly consistent with the energy-saving mechanism of human natural motion. In addition, the established reflection mechanism significantly improves the motion stability of the robot in slope transition, and its excellent stability margin and environmental adaptability are verified by simulation and experiment. Full article
(This article belongs to the Section Locomotion and Bioinspired Robotics)
Show Figures

Graphical abstract

40 pages, 4610 KB  
Article
Semantic Priority Navigation for Energy-Aware Mining Robots
by Claudio Urrea, Kevin Valencia-Aragón and John Kern
Systems 2025, 13(9), 799; https://doi.org/10.3390/systems13090799 - 11 Sep 2025
Viewed by 1250
Abstract
Autonomous navigation in subterranean mines is hindered by deformable terrain, dust-laden visibility, and densely packed, safety-critical machinery. We propose a systems-oriented navigation framework that embeds semantic priorities into reactive planning for energy-aware autonomy in Robot Operating System (ROS). A lightweight Convolutional Neural Network [...] Read more.
Autonomous navigation in subterranean mines is hindered by deformable terrain, dust-laden visibility, and densely packed, safety-critical machinery. We propose a systems-oriented navigation framework that embeds semantic priorities into reactive planning for energy-aware autonomy in Robot Operating System (ROS). A lightweight Convolutional Neural Network (CNN) detector fuses RGB-D and LiDAR data to classify obstacles like humans, haul trucks, and debris, writing risk-weighted virtual LaserScans to the local planner so obstacles are evaluated by relevance rather than geometry. By integrating class-specific inflation layers in costmaps within a cyber–physical systems architecture, the system ensures ISO-compliant separation without sacrificing throughput. In Gazebo experiments with three obstacle classes and 60 runs, high-risk clearance increased by 34%, collisions dropped to zero, mission time remained statistically unchanged, and estimated kinematic effort increased by 6% relative to a geometry-only baseline. These results demonstrate effective systems integration and a favorable safety–efficiency trade-off in industrial cyber–physical environments, providing a reproducible reference for scalable deployment in real-world unstructured mining environments. Full article
Show Figures

Figure 1

25 pages, 4765 KB  
Article
Design and Control of a Wheeled Bipedal Robot Based on Hybrid Linear Quadratic Regulator and Proportional-Derivative Control
by Yu Xu, Zhaoqiang Wang and Chenhui Lu
Sensors 2025, 25(17), 5398; https://doi.org/10.3390/s25175398 - 1 Sep 2025
Viewed by 1233
Abstract
Wheeled bipedal robots (WBRS) combine the terrain adaptability potential of legged robots with the motion efficiency of wheeled robots, but the terrain adaptability is affected by the control system. Aiming at the defect that the traditional modeling ignores the dynamic changes in head [...] Read more.
Wheeled bipedal robots (WBRS) combine the terrain adaptability potential of legged robots with the motion efficiency of wheeled robots, but the terrain adaptability is affected by the control system. Aiming at the defect that the traditional modeling ignores the dynamic changes in head angle and center of mass height, this paper proposes a method of integrated dynamic modeling and hierarchical control. The posture balance optimizes the system performance index through the linear quadratic regulator (LQR) to control the in-wheel motor, and the state feedback matrix is designed to suppress the tipping caused by external interference. At the same time, the changes in head angle and center of mass height are included in the balance control variables. The center of mass height changes are fed back through the proportional differential (PD) control and virtual model control (VMC) algorithm to control the joint motor. Simulation experiments are carried out on multiple platforms to verify that the proposed method effectively improves the control robustness of the traditional wheeled bipedal robot through geometric-dynamic coupling modeling and LQR-PD hybrid control, providing a new method of complex terrain adaptive control. Full article
(This article belongs to the Section Sensors and Robotics)
Show Figures

Figure 1

20 pages, 3007 KB  
Article
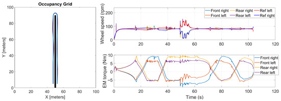
Co-Simulation Model of an Autonomous Driving Rover for Agricultural Applications
by Salvatore Martelli, Valerio Martini, Francesco Mocera and Aurelio Soma’
Robotics 2025, 14(9), 120; https://doi.org/10.3390/robotics14090120 - 29 Aug 2025
Cited by 1 | Viewed by 991
Abstract
The implementation of autonomous rovers in agriculture could be a promising solution to ensure, at the same time, productivity and sustainability. One of the key points of this kind of vehicle concerns their autonomous driving strategy. Generally, the strategy should include the path [...] Read more.
The implementation of autonomous rovers in agriculture could be a promising solution to ensure, at the same time, productivity and sustainability. One of the key points of this kind of vehicle concerns their autonomous driving strategy. Generally, the strategy should include the path planning and path following algorithms. In this paper, an autonomous driving strategy assessing both is presented. To evaluate the effectiveness of this strategy, a case study of an agricultural rover is presented. A co-simulation model, including a multibody model of the rover, is developed in Matlab/Simulink R2021b and Hexagon Adams 2024 environments to virtually test the rover capabilities and the effects of its dynamics on the robustness of the algorithm. Given different orchard configurations, common but critical work scenarios are investigated, namely a 180° turn and an obstacle avoidance manoeuvre. The actual trajectory obtained during simulations are compared to the ideal trajectory defined in the path planning stage. Furthermore, the torque demand at the electric motors is evaluated. To consider a wide range of possible operating conditions, additional tests with different terrains, payloads and road slopes are included. Results showed that the rover managed to accomplish the considered manoeuvres on loam soil with a maximum trajectory deviation of 0.58 m, but a temporary overload of the motors is needed. On the contrary, in case of difficult terrains, such as muddy soil, the rover was not able to perform the manoeuvre. To limit tire slip, a traction control algorithm is developed and implemented, and the results are compared with the case without control. Full article
(This article belongs to the Special Issue Smart Agriculture with AI and Robotics)
Show Figures

Figure 1

27 pages, 7564 KB  
Article
Evaluation of the Dynamic Behavior and Vibrations of the Operator-Vehicle Assembly in Electric Agricultural Tractor Operations: A Simulation Approach for Sustainable Transport Systems
by Teofil-Alin Oncescu, Ilona Madalina Costea, Ștefan Constantin Burciu and Cristian Alexandru Rentea
Systems 2025, 13(8), 710; https://doi.org/10.3390/systems13080710 - 18 Aug 2025
Cited by 2 | Viewed by 804
Abstract
This study presents an advanced simulation-based methodology for evaluating the dynamic vibrational behavior of the operator–vehicle assembly in autonomous electric agricultural tractors. Using the TE-0 electric tractor as the experimental platform, the research is structured into three integrated stages. In the first stage, [...] Read more.
This study presents an advanced simulation-based methodology for evaluating the dynamic vibrational behavior of the operator–vehicle assembly in autonomous electric agricultural tractors. Using the TE-0 electric tractor as the experimental platform, the research is structured into three integrated stages. In the first stage, a seated anthropometric virtual model of the human operator is developed based on experimental data and biomechanical validation. The second stage involves a detailed modal analysis of the TE-0 electric tractor using Altair Sim Solid, with the objective of determining the natural frequencies and vibration modes in the [0–80] Hz range, in compliance with ISO 2631-1. This analysis captures both the structural-induced frequencies—associated with the chassis, wheelbase, and metallic frame—and the operational-induced frequencies, influenced by the velocity and terrain profile. Subsequently, the modal analysis of the “Grammer Cabin Seat” is conducted to assess its dynamic response and identify critical vibration modes, highlighting how the seat behaves under vibrational stimuli from the tractor and terrain. The third stage extends the analysis to the virtual operator model seated on the tractor seat, investigating the biomechanical response of the human body and the operator–seat–vehicle interaction during simulated motion. Simulations were carried out using SolidWorks 2023 and Altair Sim Solid over a frequency range of [0–80] Hz, corresponding to operation on unprocessed soil covered with grass, at a constant forward speed of 7 km/h. The results reveal critical resonance modes and vibration transmission paths that may impact operator health, comfort, and system performance. The research contributes to the development of safer, more ergonomic, and sustainable autonomous agricultural transport systems. By simulating real-world operation scenarios and integrating a rigorously validated experimental protocol—including vibration data acquisition, biomechanical modeling, and multi-stage modal analysis—this study demonstrates the importance of advanced modeling in optimizing system-level performance, minimizing harmful vibrations, and supporting the transition toward resilient and eco-efficient electric tractor platforms in smart agricultural mobility. Full article
(This article belongs to the Section Systems Practice in Social Science)
Show Figures

Figure 1

23 pages, 5860 KB  
Article
Research on Motion Control Method of Wheel-Legged Robot in Unstructured Terrain Based on Improved Central Pattern Generator (CPG) and Biological Reflex Mechanism
by Jian Gao, Ruilin Fan, Hongtao Yang, Haonan Pang and Hangzhou Tian
Appl. Sci. 2025, 15(15), 8715; https://doi.org/10.3390/app15158715 - 6 Aug 2025
Cited by 1 | Viewed by 1658
Abstract
With the development of inspection robot control technology, wheel-legged robots are increasingly used in complex underground space inspection. To address low stability during obstacle crossing in unstructured terrains, a motion control strategy integrating an improved CPG algorithm and a biological reflex mechanism is [...] Read more.
With the development of inspection robot control technology, wheel-legged robots are increasingly used in complex underground space inspection. To address low stability during obstacle crossing in unstructured terrains, a motion control strategy integrating an improved CPG algorithm and a biological reflex mechanism is proposed. It introduces an adaptive coupling matrix, augmented with the Lyapunov function, and vestibular/stumbling reflex models for real-time motion feedback. Simulink–Adams virtual prototypes and single-wheeled leg experiments (on the left front leg) were used to verify the system. Results show that the robot’s turning oscillation was ≤±0.00593 m, the 10° tilt maintained a stable center of mass at 10.2° with roll angle fluctuations ≤±5°, gully-crossing fluctuations ≤±0.01 m, and pitch recovery ≤2 s. The experiments aligned with the simulations, proving that the strategy effectively suppresses vertical vibrations, ensuring stable and high-precision inspection. Full article
Show Figures

Figure 1

37 pages, 8356 KB  
Article
Voxel-Based Digital Twin Framework for Earthwork Construction
by Muhammad Shoaib Khan, Hyuk Soo Cho and Jongwon Seo
Appl. Sci. 2025, 15(14), 7899; https://doi.org/10.3390/app15147899 - 15 Jul 2025
Cited by 3 | Viewed by 1657
Abstract
Earthwork construction presents significant challenges due to its unique characteristics, including irregular topography, inhomogeneous geotechnical properties, dynamic operations involving heavy equipment, and continuous terrain updates over time. Existing methods often fail to accurately capture these complexities, support semantic attributes, simulate realistic equipment–environment interactions, [...] Read more.
Earthwork construction presents significant challenges due to its unique characteristics, including irregular topography, inhomogeneous geotechnical properties, dynamic operations involving heavy equipment, and continuous terrain updates over time. Existing methods often fail to accurately capture these complexities, support semantic attributes, simulate realistic equipment–environment interactions, and update the model dynamically during construction. Moreover, most current digital solutions lack an integrated framework capable of linking geotechnical semantics with construction progress in a continuously evolving terrain. This study introduces a novel, voxel-based digital twin framework tailored for earthwork construction. Unlike previous studies that relied on surface, mesh, or layer-based representations, our approach leverages semantically enriched voxelization to encode spatial, material, and behavioral attributes at a high resolution. The proposed framework connects the physical and digital representations of the earthwork environment and is structured into five modules. The data acquisition module gathers terrain, geotechnical, design, and construction data. Virtual models are created for the earthwork in as-planned and as-built models. The digital twin core module utilizes voxels to create a realistic earthwork environment that integrates the as-planned and as-built models, facilitating model–equipment interaction and updating models for progress monitoring. The visualization and simulation module enables model–equipment interaction based on evolving as-built conditions. Finally, the monitoring and analysis module provides volumetric progress insights, semantic material information, and excavation tracking. The key innovation of this framework lies in multi-resolution voxel modeling, semantic mapping of geotechnical properties, and supporting dynamic updates during ongoing construction, enabling model–equipment interaction and material-specific construction progress monitoring. The framework is validated through real-world case studies, demonstrating its effectiveness in providing realistic representations, model–equipment interactions, and supporting progress information and operational insights. Full article
(This article belongs to the Section Civil Engineering)
Show Figures

Figure 1

26 pages, 35238 KB  
Article
Sediment Connectivity in Human-Impacted vs. Natural Conditions: A Case Study in a Landslide-Affected Catchment
by Mohanad Ellaithy, Davide Notti, Daniele Giordan, Marco Baldo, Jad Ghantous, Vincenzo Di Pietra, Marco Cavalli and Stefano Crema
Geosciences 2025, 15(7), 259; https://doi.org/10.3390/geosciences15070259 - 5 Jul 2025
Viewed by 1140
Abstract
This research aims to characterize sediment dynamics in the Rupinaro catchment, a uniquely terraced and human-shaped basin in Italy’s Liguria region, employing geomorphometric methods to unravel sediment connectivity in a landscape vulnerable to shallow landslides. Within a scenario-based approach, we utilized high-resolution LiDAR-derived [...] Read more.
This research aims to characterize sediment dynamics in the Rupinaro catchment, a uniquely terraced and human-shaped basin in Italy’s Liguria region, employing geomorphometric methods to unravel sediment connectivity in a landscape vulnerable to shallow landslides. Within a scenario-based approach, we utilized high-resolution LiDAR-derived digital terrain models (DTMs) to calculate the Connectivity Index, comparing sediment dynamics between the original terraced landscape and a virtual natural scenario. To reconstruct a pristine slope morphology, we applied a topographic roughness-based skeletonization algorithm that simplifies terraces into linear features to simulate natural hillslope conditions and remove anthropogenic structures. The analysis was carried out considering diverse targets (e.g., hydrographic networks, road networks) and the effect of land use. The results reveal significant differences in sediment connectivity between the anthropogenic and natural morphologies, with implications for erosion and landslide susceptibility. The findings reveal that sediment connectivity is moderately higher in the scenario without terraces, indicating that terraces function as effective barriers to sediment transfer. This highlights their potential role in mitigating landslide susceptibility on steep slopes. Additionally, the results show that roads exert a stronger influence on the Connectivity Index, significantly altering flow paths. These modifications appear to contribute to increased landslide susceptibility in adjacent areas, as reflected by the higher observed landslide density within the study region. Full article
(This article belongs to the Section Natural Hazards)
Show Figures

Figure 1

25 pages, 1733 KB  
Article
Decentralized Communication-Free Controller for Synchronous Solar-Powered Water Pumping with Emulated Neighbor Sensing
by Roungsan Chaisricharoen, Wanus Srimaharaj, Punnarumol Temdee, Hamed Yahoui and Nina Bencheva
Sensors 2025, 25(12), 3811; https://doi.org/10.3390/s25123811 - 18 Jun 2025
Viewed by 824
Abstract
Solar-powered pumping systems using series pumps are commonly applied in the delivery of water to remote agricultural regions, particularly in hilly tropical terrain. The synchronization of these pumps typically depends on reliable communication; however, dense vegetation, elevation changes, and weather conditions often disrupt [...] Read more.
Solar-powered pumping systems using series pumps are commonly applied in the delivery of water to remote agricultural regions, particularly in hilly tropical terrain. The synchronization of these pumps typically depends on reliable communication; however, dense vegetation, elevation changes, and weather conditions often disrupt signals. To address these limitations, a fully decentralized, communication-free control system is proposed. Each pumping station operates independently while maintaining synchronized operation through emulated neighbor sensing. The system applies a discrete-time control algorithm with virtual sensing that estimates neighboring pump statuses. Each station consists of a solar photovoltaic (PV) array, variable-speed drive, variable inlet valve, reserve tank, and local control unit. The controller adjusts the valve positions and pump power based on real-time water level measurements and virtual neighbor sensing. The simulation results across four scenarios, including clear sky, cloudy conditions, temporary outage, and varied irradiance, demonstrated steady-state operation with no water overflow or shortage and a steady-state error less than 4% for 3 m3 transfer. The error decreased as the average power increased. The proposed method maintained system functionality under simulated power outage and variable irradiance, confirming its suitability for remote agricultural areas where communication infrastructure is limited. Full article
Show Figures

Figure 1

Back to TopTop