Sign in to use this feature.

Years

Between: -

Subjects

remove_circle_outline
remove_circle_outline
remove_circle_outline
remove_circle_outline
remove_circle_outline
remove_circle_outline
remove_circle_outline
remove_circle_outline
remove_circle_outline

Journals

remove_circle_outline
remove_circle_outline
remove_circle_outline
remove_circle_outline
remove_circle_outline
remove_circle_outline
remove_circle_outline
remove_circle_outline
remove_circle_outline
remove_circle_outline
remove_circle_outline
remove_circle_outline

Article Types

Countries / Regions

remove_circle_outline
remove_circle_outline
remove_circle_outline
remove_circle_outline
remove_circle_outline

Search Results (454)

Search Parameters:
Keywords = video-based intervention

Order results
Result details
Results per page
Select all
Export citation of selected articles as:
22 pages, 1525 KB  
Article
Effects of Source-Based Waste Management Awareness on Waste Segregation Behavior Among Lower Secondary School Students in Thailand: A Case Study of Phitsanulok Province
by Wanwarang Phothisawang, Tanakorn Apornpong and Noulkamol Arpornpong
Sustainability 2026, 18(6), 3101; https://doi.org/10.3390/su18063101 - 21 Mar 2026
Viewed by 223
Abstract
This study investigated waste segregation awareness and behavior, developed awareness-promoting activities, and evaluated their effectiveness among lower secondary school students in Phitsanulok Province, Thailand. The research was conducted in three phases: Phase I involved baseline data collection using interviews and structured observations. Phase [...] Read more.
This study investigated waste segregation awareness and behavior, developed awareness-promoting activities, and evaluated their effectiveness among lower secondary school students in Phitsanulok Province, Thailand. The research was conducted in three phases: Phase I involved baseline data collection using interviews and structured observations. Phase II focused on developing awareness-promoting activities, including training workshops, printed public relations materials, video-based learning, and game-based waste segregation. Phase III evaluated the effectiveness of interventions using a pre-test–post-test design. The research instruments included awareness and behavior questionnaires, behavior observation forms, and records of segregated solid waste quantities. The results showed significant increases in awareness and waste segregation behavior scores after the intervention across all activity types (all p < 0.001). The mean awareness scores increased from 10.27 to 12.74 (p < 0.01), and mean waste segregation behavior scores increased from 11.82 to 13.64 (p < 0.001). However, after adjustment for pre-intervention scores and school, no significant differences were observed among activity types. Higher awareness levels were positively associated with improved waste segregation behavior, as reflected by changes in waste quantity and composition. These findings indicate that awareness-promoting activities can effectively enhance source-based waste management practices and may be applied in similar municipal and educational contexts. Full article
Show Figures

Figure 1

21 pages, 1028 KB  
Article
Eating Habits, Knowledge and Perceptions of Functional Foods Among Primary School Students in Greece: Pilot Remote Educational Intervention Involving Children and Their Parents
by Irene Chrysovalantou Votsi and Antonios Ε. Koutelidakis
Appl. Sci. 2026, 16(6), 2983; https://doi.org/10.3390/app16062983 - 19 Mar 2026
Viewed by 157
Abstract
Background: Parental knowledge and perceptions towards Functional Foods (FFs) play a critical role in shaping children’s dietary behaviors. This study aimed to investigate dietary habits, FFs knowledge and perceptions among Greek primary school children and their parents and to evaluate the feasibility of [...] Read more.
Background: Parental knowledge and perceptions towards Functional Foods (FFs) play a critical role in shaping children’s dietary behaviors. This study aimed to investigate dietary habits, FFs knowledge and perceptions among Greek primary school children and their parents and to evaluate the feasibility of a one-month pilot asynchronous nutrition education program. Methods: A cross-sectional study included 374 children aged 9–11 years and 159 parents from urban (Thessaloniki) and rural (Lemnos) areas. Children completed questionnaires on dietary habits, FFs knowledge and Mediterranean Diet (MD) adherence (KIDMED score), while parents provided sociodemographic information, BMI, dietary habits, FFs knowledge and perceptions. A pilot asynchronous nutrition education intervention was delivered via pre-recorded videos on FFs, the MD, portion sizes and food label interpretation, with participation tracked and program evaluation conducted among parents. Data was analyzed using IBM SPSS Statistics (version 28). Descriptive statistics were calculated, group differences were assessed with t-tests and ANOVA and associations between variables were examined using chi-square tests and Pearson correlations (p < 0.06). Results: Children showed moderate MD adherence, frequent fast-food and soft drinks consumption and low FF knowledge, with a substantial gap between perceived and actual understanding. Parental FF knowledge was uneven, higher among normal-weight participants and largely limited to fortified products. Positive associations were found between children’s and parents’ diet quality and natural FF consumption, as well as between parental and child physical activity. The asynchronous intervention was positively rated; substantial attrition was observed across sessions and follow-up, which limited the ability to assess the intervention’s effects on behavioral change. Conclusions: This study highlights critical gaps in FFs knowledge among families and demonstrates that asynchronous, family-based nutrition education is feasible but challenged by engagement attrition. Targeted interventions are needed to clarify FF concepts and promote healthier family dietary behaviors. Full article
(This article belongs to the Special Issue Functional Foods and Active Natural Products)
Show Figures

Figure 1

16 pages, 957 KB  
Article
Effects of a Video-Guided Active Break Programme on the Self-Esteem and Socio-Emotional Well-Being of Schoolchildren with Special Educational Needs: Active Classes Project
by Alejandra Robles-Campos, Yasna Chávez-Castillo, Isidora Zañartu, Ana María Arias, Carolina Muñoz, José Guzmán, Daniel Reyes-Molina, Igor Cigarroa, Maria Antonia Parra-Rizo, Juan de Dios Benítez-Sillero, Jose Manuel Armada-Crespo, Javier Murillo-Moraño and Rafael Zapata-Lamana
Behav. Sci. 2026, 16(3), 459; https://doi.org/10.3390/bs16030459 - 19 Mar 2026
Viewed by 203
Abstract
Serving students with special educational needs (SENs) involves recognising that their learning is closely linked to their emotional needs. Self-esteem and socio-emotional well-being play a key role in their motivation and adaptation to school. In this context, physical activity-based interventions at school emerge [...] Read more.
Serving students with special educational needs (SENs) involves recognising that their learning is closely linked to their emotional needs. Self-esteem and socio-emotional well-being play a key role in their motivation and adaptation to school. In this context, physical activity-based interventions at school emerge as a possible way to strengthen their self-esteem and socio-emotional well-being. The aim of this study was to analyse the effects of a web-based active break programme on self-esteem in students aged 6 to 10 years with SENs and on socio-emotional well-being in the subgroup of first–second-grade students. A pre-specified sub-analysis was conducted of a multicentre randomised controlled trial with a sample of 161 students with special educational needs (7.8 ± 1.1 years, 32% girls), divided into a control group (85 students) and an experimental group (76 students). A programme of video-guided active breaks was implemented in the classroom, applied twice a day, five days a week for 12 weeks, via a web platform. Self-esteem was assessed using the School Self-Esteem Test (SSET), and socio-emotional well-being was assessed using the Self-Report of Socio-Emotional Well-Being (SRSEWB). A significant Time × Group interaction was observed for self-esteem, F(1, 157) = 5.43, p = 0.021, η2p = 0.033, but no statistically significant effects were detected for socio-emotional well-being. These findings suggest that active break interventions may help strengthen self-esteem in students with SENs. Future research should examine the temporal stability of these improvements, determine the optimal intervention duration required to generate sustained changes, and evaluate longer-term socio-emotional outcomes. Full article
(This article belongs to the Section Health Psychology)
Show Figures

Figure 1

13 pages, 2161 KB  
Article
Histogenetics in Teaching the Complexity of Developmental Biology to Dental Students: A Study Merging Traditional and Current Approaches
by Camilla Sofia Miranda Kristoffersen, Camilla Elise Øxnevad Ziesler, Noora Helene Thune, Anna Tostrup Kristensen, Tor Paaske Utheim, Hugo Lewi Hammer, Amer Sehic, Alan Henry Brook and Qalbi Khan
Dent. J. 2026, 14(3), 177; https://doi.org/10.3390/dj14030177 - 17 Mar 2026
Viewed by 144
Abstract
Background: Dental students need to qualify with a clear understanding of the continuum of biological development from the molecular (genetic, epigenetic and environmental interactions) to the cellular (morphogenesis and differentiation) to the emergence of the mature tissue or organ. Histogenetics provides a core [...] Read more.
Background: Dental students need to qualify with a clear understanding of the continuum of biological development from the molecular (genetic, epigenetic and environmental interactions) to the cellular (morphogenesis and differentiation) to the emergence of the mature tissue or organ. Histogenetics provides a core component for this understanding. The aim of this study is to investigate whether a merged approach, combining traditional and recent methods, can enhance the teaching of histogenetics to dental students. Methods: This study blended traditional (lectures, drawings, microscopy) and recent approaches (flipped classroom elements, virtual microscopy, group-based poster construction, and interactive quiz-based discussion) to enhance student engagement and perceived learning in oral histogenetics. The intervention was delivered to master-level dental students across six core oral histogenetics topics. Teaching followed a structured three-phase model: Prepare (digital lectures and short microscopy-introduction videos); Engage (microscopy session and group-based poster creation); and Test and Discuss (teacher-led quizzing and discussion). Student perceptions were evaluated through an electronically distributed 17-item questionnaire at the end of the course. Items were grouped into self-evaluation, resources, and teaching method domains and rated on a five-point Likert scale. Results: A total of 45 of 51 students responded (88%). Across all domains, positive perceptions (Agree/Strongly Agree) predominated (p < 0.001). Self-evaluation items showed strong agreement for attendance and group contribution, with more variability in preparation time and motivation. Resources were rated highly, although the accessibility of physical guidance showed more mixed responses. The merged teaching method received strong endorsement, with students reporting engagement, enjoyment, ease of understanding, and clear emphasis on clinical relevance. Conclusions: The merged approach was perceived as pedagogically valuable and clinically meaningful by the students and appears to enhance perceived engagement, clarity, and relevance in oral histogenetics teaching. These findings support the adoption of blended, student-active methodologies to strengthen comprehension and promote clinically meaningful learning in oral histology. Full article
(This article belongs to the Special Issue Dental Education: Innovation and Challenge)
Show Figures

Figure 1

15 pages, 2174 KB  
Article
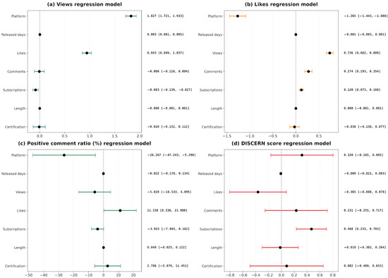
Information Quality and Audience Engagement of Cesarean Section-Related Videos on YouTube and Bilibili: A Cross-Platform Analysis
by Gongxin Shen, Lingxuan Wei, Hanliang Tao, Lexuan Chen, Peng Chen, Yuxin Li, Siyuan Chang and Dapeng Shen
Information 2026, 17(3), 273; https://doi.org/10.3390/info17030273 - 10 Mar 2026
Viewed by 251
Abstract
(1) Background: C-section-related health information is increasingly disseminated through short video platforms such as YouTube and Bilibili, yet the quality and audience engagement of this content remain insufficiently understood. (2) Methods: A cross-sectional study analyzed the top 90 C-section-related videos from each platform [...] Read more.
(1) Background: C-section-related health information is increasingly disseminated through short video platforms such as YouTube and Bilibili, yet the quality and audience engagement of this content remain insufficiently understood. (2) Methods: A cross-sectional study analyzed the top 90 C-section-related videos from each platform (180 total). C-section video characteristics and engagement metrics were collected. Information quality and reliability were assessed using GQS, DISCERN, and JAMA benchmarks. Associations between quality scores and engagement indicators were examined using Spearman’s correlation analysis. (3) Results: YouTube videos were longer and more frequently produced by medical professionals. Although GQS scores were comparable, YouTube content demonstrated higher reliability, with significantly higher DISCERN and JAMA scores (p < 0.001). C-section engagement metrics were strongly intercorrelated but showed weak associations with objective quality measures. (4) Conclusions: Significant cross-platform disparities exist in C-section information quality, with a pronounced dissociation between clinical reliability and audience engagement. This “quality-popularity paradox” underscores a critical mismatch between evidence-based rigor and digital dissemination. Our findings necessitate multi-sectoral interventions, including standardized creator credentialing and algorithm recalibration, to align high-quality obstetric knowledge with public attention. Full article
(This article belongs to the Special Issue Data Mining and Healthcare Informatics)
Show Figures

Figure 1

14 pages, 251 KB  
Article
Training Decision-Making in Youth Football: A Comparative Study of Traditional, Ecological Dynamics Approach, and Hybrid eSport-Based Protocol
by Rosario Ceruso, Giovanni Esposito, Sara Aliberti, Tiziana D’Isanto and Francesca D’Elia
Appl. Sci. 2026, 16(5), 2407; https://doi.org/10.3390/app16052407 - 2 Mar 2026
Viewed by 373
Abstract
Modern football requires athletes to make rapid and effective decisions in highly dynamic environments. Although ecological dynamic approaches based on small-sided games have shown advantages over traditional training for decision-making development, the potential contribution of football eSports within integrated training protocols remains insufficiently [...] Read more.
Modern football requires athletes to make rapid and effective decisions in highly dynamic environments. Although ecological dynamic approaches based on small-sided games have shown advantages over traditional training for decision-making development, the potential contribution of football eSports within integrated training protocols remains insufficiently explored. This study aimed to examine the effects of three training approaches—traditional training, ecological dynamic training with small-sided games, and a hybrid eSport-based protocol—on decision-making and reaction time in youth football players. Sixty-nine youth footballers (47 males and 22 females, mean age = 15.1 ± 0.9 years) were assigned to three groups and completed a 24-week intervention with pre-, mid-, and post-intervention assessments. General, offensive, and defensive decision-making were evaluated using the TacticUP Video Test, while reaction time was assessed through frame-by-frame video analysis. Data were analysed using mixed-design ANOVA (Group × Time) with Bonferroni post-hoc comparisons. Significant Group × Time interactions were observed for all variables, suggesting non-uniform longitudinal performance trends across the three training approaches, including a distinct pattern of change in the hybrid eSport-based group. In contrast, minimal changes were found in the traditional group, while moderate improvements were observed in the ecological dynamic group. Overall, the findings indicate that innovative training approaches are more effective than traditional training in enhancing decision-making and response speed in young footballers, with the hybrid eSport-based protocol showing the most pronounced effects. Full article
27 pages, 2343 KB  
Article
Democratizing Urban Well-Being: A Virtual Reality and Eye-Tracking Analysis of Biophilic Interventions Across Socioeconomic Contexts
by Cleiton Ferreira, Marina Guil-Jiménez, Paula Latorre, Aurora Molina-Muñoz, Sergio Castaño-Castaño and Francisco Nieto-Escamez
Computers 2026, 15(3), 149; https://doi.org/10.3390/computers15030149 - 1 Mar 2026
Viewed by 257
Abstract
In this pilot study, we investigate the psychological and attentional impact of biophilic urban interventions using an immersive virtual reality (VR) framework integrated with real-time eye-tracking. Specifically, it examines whether bio-esthetic enhancements can mitigate perceptual inequalities across neighborhoods of varying socioeconomic status (SES). [...] Read more.
In this pilot study, we investigate the psychological and attentional impact of biophilic urban interventions using an immersive virtual reality (VR) framework integrated with real-time eye-tracking. Specifically, it examines whether bio-esthetic enhancements can mitigate perceptual inequalities across neighborhoods of varying socioeconomic status (SES). Sixteen participants viewed original and digitally enhanced fixed-viewpoint 360° videos of Low-, Medium-, and High-SES environments while a comprehensive suite of oculomotor dynamics and psychometric responses were recorded. Results confirmed a significant Condition × SES interaction across both subjective preference (Liking) and esthetic evaluation (η2p = 0.41), suggesting a role for biophilic design as a “socio-perceptual equalizer”: while baseline ratings consistently favored High-SES areas, interventions in Low-SES contexts yielded the highest marginal gains, effectively bridging the gap with privileged environments. Eye-tracking metrics revealed that this convergence was associated with active visual engagement, with Enhanced Low-SES scenes eliciting the highest fixation counts and visual coverage. However, a critical dissociation emerged between immediate affective improvement and self-reported stress reduction. Elevated saccadic velocities in Enhanced Low-SES scenes are consistent with a state of “hard fascination” or novelty-induced arousal. This pattern implies that while biophilia elements boost positive affect, physiological restoration may be a dose-dependent process, requiring sufficient exposure duration to transition from curiosity-driven scanning to the “soft fascination” linked to stress recovery. These findings provide preliminary evidence for integrated XR analytics as a tool for evidence-based urban design and are discussed in the context of the equigenesis hypothesis. Full article
Show Figures

Graphical abstract

23 pages, 1810 KB  
Article
AI-Driven Educational Activity Recommender for Children with Autism
by Hanane Zitouni, Feriel Bouteldja, Zahra Tiri, Souham Meshoul and Imene Bensalem
Appl. Sci. 2026, 16(5), 2386; https://doi.org/10.3390/app16052386 - 28 Feb 2026
Viewed by 225
Abstract
Autism Spectrum Disorder (ASD) is estimated to affect about 1% of children globally. While there is currently no cure, early detection and targeted interventions can significantly enhance the well-being and daily functioning of children with ASD. This paper presents an intelligent, content-based recommender [...] Read more.
Autism Spectrum Disorder (ASD) is estimated to affect about 1% of children globally. While there is currently no cure, early detection and targeted interventions can significantly enhance the well-being and daily functioning of children with ASD. This paper presents an intelligent, content-based recommender system designed to suggest personalized activities aligned with each child’s preferences and developmental needs. The proposed system integrates social stories, educational videos, and interactive exercises supported by machine learning techniques to foster communication, social interaction, emotional regulation, and cognitive development—while reducing the need for constant parental supervision. Unlike traditional content-based systems, our approach incorporates the child’s emotional state (mood) to provide more diverse and context-aware recommendations, avoiding the filter bubble effect and enhancing personalization and engagement. A key contribution of this work lies in its focus on personalized and interactive learning experiences, made possible through the combination of multiple assistive technologies. Additionally, the study addresses the problem of data scarcity by providing a publicly available dataset to facilitate further research in ASD-focused intelligent systems. Preliminary feedback from therapists and parents indicates that the system holds strong potential to substantially improve the educational, communicative, and emotional skills of children with ASD. These promising results motivate future large-scale empirical evaluations to validate its effectiveness and establish it as a valuable tool for ASD intervention and inclusive education. Full article
(This article belongs to the Section Computing and Artificial Intelligence)
Show Figures

Figure 1

28 pages, 493 KB  
Study Protocol
Psychoeducational Intervention for Sedentary Overweight Adults Who Are Fans of a Football Club: Protocol for a Pragmatic Trial
by José A. Jiménez-Chaires, Jeanette M. López-Walle, Abril Cantú-Berrueto, José Tristán and Alejandro García-Mas
Healthcare 2026, 14(5), 612; https://doi.org/10.3390/healthcare14050612 - 28 Feb 2026
Viewed by 372
Abstract
Background: A sedentary behavior and being overweight represent major public health issues associated with both physical and psychological risks. Based on self-determination theory (SDT), the psychoeducational intervention PsicoFIT—a component of the TIGREFIT program—aims to foster motivation toward physical activity, to promote healthy [...] Read more.
Background: A sedentary behavior and being overweight represent major public health issues associated with both physical and psychological risks. Based on self-determination theory (SDT), the psychoeducational intervention PsicoFIT—a component of the TIGREFIT program—aims to foster motivation toward physical activity, to promote healthy habits, and to reduce psychological ill-being in sedentary adults who are overweight and are fans of a football club. Methods: This protocol corresponds to a longitudinal comparative pragmatic clinical trial, designed in accordance with the recommendations of the SPIRIT Statement. The intervention, preceded by a training program for the coaches involved, will comprise 12 weekly modules delivered in two modalities: (1) face-to-face, through group sessions, and (2) semi face-to-face, through short video capsules hosted on a digital platform. Changes associated with the intervention will be evaluated using hierarchical multiple regression and pre-post comparisons, assessing baseline and post-intervention data within and between the intervention modalities. Primary outcomes will include changes in healthy lifestyle and burnout as indicators of well-being and ill-being, respectively. Secondary outcomes will assess basic psychological needs satisfaction and autonomous motivation as potential mediators of these effects, as well as the coach’s controlling interpersonal style as a possible contextual predictor. The modality of participation will be analyzed as a potential moderator of the observed changes. Finally, the acceptability and perceived contribution of the intervention will be explored through a focus group. Discussion: PsicoFIT will provide a methodological framework for designing interventions within multicomponent programs aimed at promoting healthy lifestyles and psychological well-being in sedentary adults who are overweight, considering the social context of football fandom and allowing for an exploration of the impact of the face-to-face and semi-face-to-face modalities. Future empirical application of the protocol will help verify its effectiveness, guide adaptations across contexts, and contribute to the development of evidence-based interventions. Conclusions: The implementation of PsicoFit will allow for the evaluation of its effectiveness, psychological mechanisms, and delivery modalities, thus guiding future evidence-based interventions in sport. Full article
(This article belongs to the Special Issue Innovative and Multidisciplinary Approaches to Healthcare)
Show Figures

Figure 1

23 pages, 1071 KB  
Article
The Gender Dynamics in Crowdfunding Success: Evidence from Africa During the COVID-19 Pandemic
by Lenny Phulong Mamaro
COVID 2026, 6(3), 34; https://doi.org/10.3390/covid6030034 - 26 Feb 2026
Viewed by 302
Abstract
The COVID-19 pandemic disrupted traditional financing channels, accelerating the adoption of crowdfunding as an alternative capital-raising mechanism across Africa. Limited access to finance for women entrepreneurs remains a pivotal issue globally, particularly in Africa, where most women are significantly underrepresented. This study investigates [...] Read more.
The COVID-19 pandemic disrupted traditional financing channels, accelerating the adoption of crowdfunding as an alternative capital-raising mechanism across Africa. Limited access to finance for women entrepreneurs remains a pivotal issue globally, particularly in Africa, where most women are significantly underrepresented. This study investigates the role of gender differences in campaign design, communication, and signalling in crowdfunding success during the COVID-19 pandemic, rather than focusing on gender as a direct factor. Guided by signalling, Congruity, Feminist Economics, and Social Network theories, the research investigates whether gender-related differences in campaign presentation and communication strategies contributed to variations in funding outcomes. A quantitative research approach was adopted to analyse reward-based crowdfunding campaigns launched between March 2020 and December 2020. The study measures success through funding attainment ratios and goal achievement rates. The findings reveal nuanced gender effects, with male-led campaigns exhibiting strengths in social engagement and narrative appeal, while female-led campaigns demonstrated advantages in higher average contribution sizes. This awareness contributes to the literature on gender and entrepreneurial finance in crisis contexts, offering practical implications for platform design, policy interventions, and inclusive funding strategies in Africa’s evolving crowdfunding ecosystem. In line with the empirical results, the impact of gender is mostly indirect and mediated by campaign variables such as updates, videos, and engagement intensity. Full article
(This article belongs to the Section COVID Public Health and Epidemiology)
Show Figures

Figure 1

22 pages, 3278 KB  
Article
Effects of Rhodiola rosea on Physical and Decision-Making Performance in Football Players: A Randomised Controlled Trial
by Yue Dou, Yaqing Wang, Wei Zhang, Yuewei Jiang, Jiyao Zhang, Tao Yang, Ziqi Han, Yaotong Li, Chang Liu and Dingmeng Ren
Nutrients 2026, 18(5), 724; https://doi.org/10.3390/nu18050724 - 24 Feb 2026
Viewed by 677
Abstract
Objectives: To determine whether four weeks of Rhodiola rosea (RHO) supplementation improves intermittent exercise performance, post-exercise blood lactate concentrations, and decision-making under fatigue in competitive football players. Methods: Twenty-four male competitive football players completed a randomised, double-blind, placebo-controlled 4-week intervention (RHO vs. [...] Read more.
Objectives: To determine whether four weeks of Rhodiola rosea (RHO) supplementation improves intermittent exercise performance, post-exercise blood lactate concentrations, and decision-making under fatigue in competitive football players. Methods: Twenty-four male competitive football players completed a randomised, double-blind, placebo-controlled 4-week intervention (RHO vs. placebo). Outcomes included Yo-Yo IR2, repeated-sprint ability (RSA), post-RSA blood lactate (0, 3, 5 min), football-specific technical tests (passing and shooting), a video-based decision-making task (reaction time and accuracy), GPS-derived match running metrics, countermovement jump (CMJ), foot tapping (TAP), and haematological markers. Results: Yo-Yo IR2 performance significantly improved in the RHO group (p = 0.012) and was superior to the placebo group (p = 0.046). For RSA, mean sprint time improved significantly from pre- to post-intervention in the RHO group (p = 0.017), whereas no significant change was observed in the placebo group. Post-intervention, mean sprint time was significantly better in RHO than placebo (p = 0.041), with no between-group difference observed at baseline. Best sprint time showed no between-group difference (p = 0.723). Post-exercise blood lactate concentrations were significantly lower in RHO than placebo at 0, 3, and 5 min (all p < 0.05). Under fatigue, the RHO group demonstrated faster reaction time (p = 0.042) and higher decision accuracy (p = 0.049) than placebo. Additionally, the RHO group showed significant pre- to post-intervention improvements in passing and shooting performance (p < 0.05), with between-group differences observed only for short-pass performance. Match total and high-speed running distances were higher in RHO, accompanied by increases in haemoglobin and haematocrit (p < 0.05). Conclusions: Four weeks of Rhodiola rosea supplementation enhanced high-intensity intermittent performance and decision-making under fatigue, with findings suggesting improved performance maintenance rather than increased peak sprint capacity. Full article
(This article belongs to the Special Issue Fueling the Future: Advances in Sports Nutrition for Young Athletes)
Show Figures

Figure 1

20 pages, 2745 KB  
Systematic Review
Video Game-Based Interventions for Visual Rehabilitation in Childhood Amblyopia: A Systematic Review and Meta-Analysis
by Marina Piñar-Lara, Esteban Obrero-Gaitán, Sara Gómez-Molina, Rafael Lomas-Vega, Héctor García-López and Irene Cortés-Pérez
Children 2026, 13(2), 278; https://doi.org/10.3390/children13020278 - 18 Feb 2026
Viewed by 567
Abstract
Background: Novel approaches such as video games represent a promising tool in increasing visual acuity (VA) in children with amblyopia. The aim was to determine the effectiveness of video game-based interventions (VGBIs) in increasing VA in children with amblyopia. Secondarily, to estimate safety, [...] Read more.
Background: Novel approaches such as video games represent a promising tool in increasing visual acuity (VA) in children with amblyopia. The aim was to determine the effectiveness of video game-based interventions (VGBIs) in increasing VA in children with amblyopia. Secondarily, to estimate safety, satisfaction, and compliance with VGBIs. Methods: According to the PRISMA guidelines, a systematic review with meta-analysis (SRMA) was conducted, including studies retrieved from PubMed Medline, SCOPUS, WOS, CINAHL, and PEDro without publication date and language restrictions. We included randomized controlled trials (RCTs) and pilot RCTs, comprising children with amblyopia, that compared the effectiveness of VBGI vs. others in improving VA. Pooled effect was estimated with the Cohen’s standardized mean difference (SMD) and its 95% confidence interval (95%CI). Results: Twenty-one RCTs, providing data from 1515 children, were included. VGBIs are effective (SMD = 0.38; 95%CI 0.08 to 0.68; p = 0.013) in increasing VA. Subgroup analyses suggested that non-immersive video games are the most appropriate for improving VA (SMD = 0.35; 95%CI 0.02 to 0.68; p = 0.039) and that VGBI is more effective than patching therapy, especially in combination with patching therapy (SMD = 0.63; 95%CI 0.29 to 0.97; p < 0.001). Conclusion: This SRMA, including a large number of RCTs to date, demonstrates that VGBI is effective in improving VA in children with amblyopia. Full article
(This article belongs to the Special Issue Visual Deficits and Eye Care in Children: 2nd Edition)
Show Figures

Graphical abstract

21 pages, 1563 KB  
Systematic Review
Beyond Content Delivery: A Systematic Review of Video-Based SRL Interventions and Gaps in Explicit Motivational and Resource-Management Instruction
by Anat Cohen, Orit Ezra, Efrat Michaeli, Guy Cohen, Hagit Gabbay and Alla Bronshtein
J. Intell. 2026, 14(2), 33; https://doi.org/10.3390/jintelligence14020033 - 14 Feb 2026
Viewed by 470
Abstract
Self-regulated learning (SRL) is a critical competency for learners in increasingly technology-enhanced educational environments, yet little is known about how SRL is fostered within video-based interventions in K-12 settings. While existing reviews and meta-analyses focus on the effectiveness of SRL interventions, this study [...] Read more.
Self-regulated learning (SRL) is a critical competency for learners in increasingly technology-enhanced educational environments, yet little is known about how SRL is fostered within video-based interventions in K-12 settings. While existing reviews and meta-analyses focus on the effectiveness of SRL interventions, this study aims to address current gaps by specifically examining the implementation processes, instructional tools, and the role of video. Addressing this, the present study conducted a systematic literature review of peer-reviewed K-12 intervention studies published since 2010, guided by PRISMA standards and other methodological frameworks in the field of SRL. 30 quantitative or mixed-methods studies focusing on K-12 SRL interventions were selected from Web of Science and ERIC, with the requirement that video served as an instructional component rather than a research tool. These studies were then systematically coded by eight researchers for SRL strategies, instructional methods, video roles, and pedagogical settings. Findings show that most video interventions targeted multiple SRL strategies across different phases of the SRL cycle, offering a comprehensive approach to fostering regulation. However, while cognitive and metacognitive strategies were frequently addressed, motivational and resource-management strategies were seldom included within explicit instruction, which focused primarily on cognitive and metacognitive training. Video played multiple pedagogical roles, including delivering disciplinary content, teaching SRL strategies, or combining both. A thematic analysis identified four pedagogical settings that characterized successful interventions: Teacher-guided, Active, Social, and Knowledge-based (TASK) learning. These settings appear to mitigate common challenges of video-based learning, such as cognitive load and learner passivity. The review contributes a novel synthesis of SRL-video integration and proposes TASK learning as a framework for designing SRL interventions. Full article
Show Figures

Figure 1

18 pages, 445 KB  
Review
Video and Wearable Sensor Technologies for Early Detection of Cerebral Palsy in Infants: A Scoping Review
by Charlotte F. Wahle, Aura M. Elias, Nora A. Galoustian, Teana M. Tee, Michaela L. Juels, Christine Amacker, Heather Waters and Rachel M. Thompson
J. Clin. Med. 2026, 15(4), 1510; https://doi.org/10.3390/jcm15041510 - 14 Feb 2026
Viewed by 421
Abstract
It is well established that early diagnosis and subsequent intervention can result in significant benefits in infants with neurodevelopmental disorders such as cerebral palsy (CP). This scoping review aimed to assess the current state of the literature regarding the use of innovative and [...] Read more.
It is well established that early diagnosis and subsequent intervention can result in significant benefits in infants with neurodevelopmental disorders such as cerebral palsy (CP). This scoping review aimed to assess the current state of the literature regarding the use of innovative and emerging technologies for early CP screening, diagnosis and phenotyping in pre-ambulatory children. Searches were performed across PubMed, Embase and Cochrane databases; articles were screened by four independent reviewers at the title/abstract and full-text levels. Forty-eight studies met the inclusion criteria. The most frequently used modalities included wearable sensors (e.g., accelerometers, inertial measurement units) and video-based motion analysis. These movement-tracking systems were used to screen for a variety of pediatric-onset neurodevelopmental disorders and have been useful in quantifying spontaneous infant movements, detecting the absence or abnormality of fidgety movement, or identifying atypical motor patterns. Although CP was our primary focus, several studies applied a similar pipeline to autism spectrum disorder (ASD) and spinal muscular atrophy (SMA), underscoring broader relevance for early neurodevelopmental screening, diagnosing and phenotyping. Overall, technology-assisted motor assessment demonstrated promising feasibility and diagnostic potential; however, most studies are limited by small sample sizes, short follow-up durations, and heterogeneous validation methods. Given the benefits of early intervention and the emerging capabilities of wearable and video-based analytics, larger multi-site and longitudinal datasets are needed to support early diagnosis, risk stratification, and functional phenotyping in CP. Full article
(This article belongs to the Special Issue Cerebral Palsy: Recent Advances in Clinical Management)
Show Figures

Figure 1

20 pages, 692 KB  
Review
Augmented, Virtual, and Mixed Reality Assessment and Training for Executive Functions in Children with ADHD: A Scoping Review
by Leonarda Anna Vinci, Anna Passaro and Fabrizio Stasolla
Information 2026, 17(2), 186; https://doi.org/10.3390/info17020186 - 12 Feb 2026
Viewed by 432
Abstract
Background: Attention deficit hyperactivity disorder (ADHD) is a neurodevelopmental disorder characterized by inattention, motor hyperactivity and verbal and cognitive impulsivity. Impairments in executive functions (EFs), in particular working memory, monitoring and organization of daily life, are frequently observed in children diagnosed with ADHD, [...] Read more.
Background: Attention deficit hyperactivity disorder (ADHD) is a neurodevelopmental disorder characterized by inattention, motor hyperactivity and verbal and cognitive impulsivity. Impairments in executive functions (EFs), in particular working memory, monitoring and organization of daily life, are frequently observed in children diagnosed with ADHD, and are reflected in behavioural, social-emotional and learning difficulties. The development and use of technologies such as virtual reality (VR), augmented reality (AR) and mixed reality (MR) for ADHD have increased in recent years, using a variety of tools to support including PC, video games, wearable devices and tangible interfaces. Objectives: To systematically map the current state of research on the use of AR, VR and MR technologies to assess and/or enhance EFs in children with ADHD. To evaluate the effects on their quality of life and on families’ and caregivers’ burden reduction. To explore the interventions’ clinical validity. Methods: A scoping review according to PRISMA-ScR guidelines was conducted. A systematic search was carried out in the Scopus and Web of Science databases for studies published between 2015 and 2025. Empirical studies published in English that examined children with ADHD aged <13 years were included. AR-, VR-, or MR-based interventions focused on EF were considered. For each study, the following features were recorded: year and country of publication, design, objectives, EFs considered, technology and hardware used, main results, and limitations. Results: Twenty studies were identified. The most frequently addressed functional domains were sustained and selective visual attention, working memory, and inhibition. Assessment interventions primarily involved the use of a head-mounted display (HMD) in conjunction with the Continuous Performance Test (CPT). Training interventions included immersive VR, serious video games, VR with motor or dual-task training, and MR. The results suggest that VR can enhance cognitive performance and sustained attention; however, longitudinal studies are required to evaluate its long-term effectiveness and integrate emotional skills. Conclusions: The use of these technologies is a promising strategy for the assessment and training of EFs in children with ADHD. These tools provide positive, inclusive feedback and motivating tasks. Nevertheless, larger sample studies and longitudinal follow-ups to confirm the suitability and effectiveness of the technology-based programs are warranted. Full article
(This article belongs to the Collection Augmented Reality Technologies, Systems and Applications)
Show Figures

Figure 1

Back to TopTop