Sign in to use this feature.

Years

Between: -

Subjects

remove_circle_outline
remove_circle_outline
remove_circle_outline
remove_circle_outline
remove_circle_outline
remove_circle_outline
remove_circle_outline
remove_circle_outline
remove_circle_outline

Journals

remove_circle_outline
remove_circle_outline
remove_circle_outline
remove_circle_outline
remove_circle_outline
remove_circle_outline
remove_circle_outline
remove_circle_outline
remove_circle_outline
remove_circle_outline
remove_circle_outline

Article Types

Countries / Regions

remove_circle_outline
remove_circle_outline
remove_circle_outline
remove_circle_outline

Search Results (882)

Search Parameters:
Keywords = vertical vibration

Order results
Result details
Results per page
Select all
Export citation of selected articles as:
16 pages, 3406 KB  
Article
Development and Testing of an In Situ Observation Device for Seafloor Boreholes
by Haodong Deng, Jianping Zhou, Xiaotao Gai, Chunhui Tao and Bin Sui
J. Mar. Sci. Eng. 2026, 14(9), 769; https://doi.org/10.3390/jmse14090769 - 22 Apr 2026
Abstract
Seafloor hydrothermal systems at mid-ocean ridges are focal points for heat and matter exchange between the seawater and lithosphere. While seafloor seismographs (OBS) and pressure recorders (BPR) are standard for regional monitoring, achieving high-precision, vertical sub-surface data in complex hydrothermal terrains remains a [...] Read more.
Seafloor hydrothermal systems at mid-ocean ridges are focal points for heat and matter exchange between the seawater and lithosphere. While seafloor seismographs (OBS) and pressure recorders (BPR) are standard for regional monitoring, achieving high-precision, vertical sub-surface data in complex hydrothermal terrains remains a significant technical objective. This study presents a novel in situ penetration probe designed for multi-parameter monitoring of marine hydrothermal vent areas. A key innovation of this work is its operational versatility and engineering efficiency: the probe is specifically designed for post-drilling deployment in boreholes, effectively utilizing existing coring sites to achieve direct coupling with the deep-seated crust, or for targeted placement via Remotely Operated Vehicles (ROVs). The device integrates a titanium-alloy conical tip and cylindrical chamber, housing tri-axial accelerometers and dual temperature-pressure sensors. Numerical simulations using the SST k-ω turbulence model and finite element analysis optimized the cone aperture and assessed fluid–structure stability under deep-sea conditions. Laboratory vibration tests and shallow-water sea trials validated the probe’s basic dynamic response, electromechanical integrity, and capability to acquire coupled environmental parameters. This compact, modular design provides a scalable and cost-effective framework for precise three-dimensional observation of sub-surface hydrothermal processes and deep-sea resource exploration. Full article
(This article belongs to the Section Ocean Engineering)
Show Figures

Figure 1

13 pages, 2954 KB  
Article
Research on Superconductivity in Multilayer ABC-Stacked Graphene
by Jun-Liang Wang, Jia-Xue Liang and Xiu-qing Wang
Nanomaterials 2026, 16(8), 481; https://doi.org/10.3390/nano16080481 - 17 Apr 2026
Viewed by 124
Abstract
Under the deformation potential model, the superconducting phenomenon in ABC-stacked multilayer graphene under a vertical electric field is investigated using linear combination operators and unitary transformation methods. Through the deformation potential model applied to a linear continuous medium, the effect of the external [...] Read more.
Under the deformation potential model, the superconducting phenomenon in ABC-stacked multilayer graphene under a vertical electric field is investigated using linear combination operators and unitary transformation methods. Through the deformation potential model applied to a linear continuous medium, the effect of the external electric field is converted into the deformation potential energy of the crystal. Deformation potential phonons (LA phonons) act as propagators, generating electron–electron interactions. As the electric field increases, the ratio of the electric displacement vector to the dielectric function (D/ε) rises, leading to an increase in the electron ground-state energy, the opening of the band gap, and an enhancement of the attractive electron–electron interaction. With further increases in the external electric field, the deformation potential constant of the crystal (Dl) increases. When the phonon vibration frequency (ω) is around 8.5 THz, and the conditions are satisfied—where the wave vectors of different LA phonons are equal in magnitude and opposite in direction, and the electron spins are opposite—the attractive electron–electron interaction reaches its maximum (Heff), resulting in the emergence of superconductivity. Our study also provides a new perspective for understanding the unique quantum properties—such as strong correlations, superconductivity, and ferromagnetism—in different stacking configurations like AB, ABC, and ABCA. Full article
(This article belongs to the Special Issue Nanoscale Phenomena of 2D Material Heterostructures)
Show Figures

Graphical abstract

20 pages, 3547 KB  
Article
Model-Correction-Based Feedforward Anti-Sway Control for Bridge Cranes with Rigid Vertical Slender Payloads
by Hantao Chen, Wenyong Guo, Chenghao Cao, Liangwu Yu, Xiaofeng Li, Xinglong Pan and Hang Fu
Appl. Sci. 2026, 16(8), 3888; https://doi.org/10.3390/app16083888 - 16 Apr 2026
Viewed by 270
Abstract
The overall swing dynamics of rigid slender payloads lifted in a vertical orientation deviate significantly from the ideal point-mass pendulum model, leading to severe performance degradation of feedforward control strategies designed based on this simplified model. This paper focuses on the bridge crane [...] Read more.
The overall swing dynamics of rigid slender payloads lifted in a vertical orientation deviate significantly from the ideal point-mass pendulum model, leading to severe performance degradation of feedforward control strategies designed based on this simplified model. This paper focuses on the bridge crane system and establishes a double-pendulum dynamic model that accounts for the payload’s mass distribution effect. To compensate for the theoretical error of the linearized model, a data-driven payload swing frequency correction strategy is proposed. Based on this corrected model, a dual-mode Zero Vibration Derivative (Corrected-Dual-ZVD) input shaping feedforward controller is designed. Simulations under eight typical operating conditions were conducted using the Matlab/Simulink control system simulation software. The results show that compared to the controller designed based on the traditional single-pendulum model, the proposed Corrected-Dual-ZVD controller, based on the corrected double-pendulum model, can significantly reduce the maximum residual swing angle of the payload. The average swing angle suppression rate reaches 68.9% across seven valid operating conditions, and it can reach 98.9% under the extreme condition of high speed and short rope length. When model parameters are subjected to ±10% disturbances, the proposed method demonstrates good robustness. Full article
(This article belongs to the Section Marine Science and Engineering)
52 pages, 1369 KB  
Review
Dynamic Properties in a Collisional Model for Confined Granular Fluids: A Review
by Ricardo Brito, Rodrigo Soto and Vicente Garzó
Entropy 2026, 28(4), 454; https://doi.org/10.3390/e28040454 - 15 Apr 2026
Viewed by 131
Abstract
Granular systems confined in a shallow box and subjected to vertical vibration provide an attractive geometry for studying fluidized granular media. In this configuration, grains acquire kinetic energy in the vertical direction through collisions with the confining walls, and this energy is subsequently [...] Read more.
Granular systems confined in a shallow box and subjected to vertical vibration provide an attractive geometry for studying fluidized granular media. In this configuration, grains acquire kinetic energy in the vertical direction through collisions with the confining walls, and this energy is subsequently transferred to the horizontal degrees of freedom via interparticle collisions. In recent years, the so-called Δ-model has been introduced as a simplified yet effective description of the dynamics of granular systems in such geometries. This review presents the results obtained from kinetic theory for the granular Δ-model. To model the energy transfer mechanism, a fixed velocity increment Δ is added to the normal component of the relative velocity during collisions. In this way, the vertical motion is effectively integrated out while retaining the collisional energy injection characteristic of the confined setup. This mechanism compensates for the energy loss due to inelastic collisions and leads to stable homogeneous steady states that can be analyzed within the framework of kinetic theory. The Enskog kinetic equation is formulated for this model and first analyzed in homogeneous steady states, yielding the stationary temperature and the equation of state. The dynamics of inhomogeneous states is then investigated using the Chapman–Enskog method, from which the Navier–Stokes transport coefficients are derived. The theory is further extended to granular mixtures, in which particles may differ in mass, size, restitution coefficient, or in the value of Δ. In this case, the phenomenology becomes richer; for example, energy equipartition is violated even in homogeneous steady states. The mixture dynamics is studied through the corresponding Navier–Stokes equations, and the associated transport coefficients are obtained in the low-density regime. The analysis of the hydrodynamic equations shows that, in agreement with simulations, the homogeneous state is linearly stable. Moreover, the intrinsically nonequilibrium nature of the model leads to the violation of Onsager reciprocity relations in granular mixtures. The theoretical predictions exhibit in general good agreement with both molecular dynamics simulations and direct simulation Monte Carlo results. Full article
(This article belongs to the Special Issue Review Papers for Entropy, Second Edition)
Show Figures

Figure 1

24 pages, 6824 KB  
Article
Vibration Control and Micro-Forming Quality Guarantee of BMF-Based UHPC Wet Joints Under Traffic Loads Using Tuned Mass Dampers
by Zhenwei Wang, Lingkai Zhang, Chujia Zhou and Peng Wang
Materials 2026, 19(8), 1564; https://doi.org/10.3390/ma19081564 - 14 Apr 2026
Viewed by 287
Abstract
In bridge widening projects under uninterrupted traffic conditions, vehicular vibration easily leads to damage in the interfacial transition zone (ITZ) and microstructural degradation of early-age concrete in wet joints. Taking a typical hollow slab-low T-beam widening structure as the object, this study introduces [...] Read more.
In bridge widening projects under uninterrupted traffic conditions, vehicular vibration easily leads to damage in the interfacial transition zone (ITZ) and microstructural degradation of early-age concrete in wet joints. Taking a typical hollow slab-low T-beam widening structure as the object, this study introduces basalt micro fiber (BMF)-based ultra-high-performance concrete (UHPC) as the wet joint material and establishes a refined vehicle–bridge coupled dynamic model considering the time-varying stiffness of the joint material and road roughness excitation. The research indicates that although UHPC possesses excellent ultimate mechanical properties, its early-age setting process is extremely sensitive to vehicle-induced vibration. Numerical analysis reveals that while traditional temporary steel fixtures can effectively control the vertical relative displacement between the new and old girders within the critical value of 5.5 mm, the peak particle velocity (PPV) induced by heavy vehicles (buses and trucks) during the early pouring stage (<12 h) significantly exceeds the safety threshold of 3 mm/s, posing a severe threat to the directional distribution of steel fibers and interfacial bond strength. Therefore, this paper designs a single tuned mass damper (TMD) optimized based on Den Hartog’s fixed-point theory. Simulation results confirm that with the TMD configured, the vibration responses induced by buses across the entire speed range (≤120 km/h) are reduced below the safety limit; the vibration velocity induced by heavy trucks is also effectively controlled when combined with an 80 km/h speed limit. The collaborative strategy of “passive TMD vibration reduction + active traffic speed limit” proposed in this paper provides a theoretical basis for guaranteeing the early-age micro-forming quality of UHPC wet joints and overall traffic efficiency. Full article
Show Figures

Graphical abstract

25 pages, 8275 KB  
Article
Optimization of a Ship-Based Three-Magnet Energy Harvester Using Wave Excitation via the Flower Pollination and Simulated Annealing Algorithms
by Ho-Chih Cheng, Min-Chie Chiu and Ming-Guo Her
Vibration 2026, 9(2), 26; https://doi.org/10.3390/vibration9020026 - 10 Apr 2026
Viewed by 153
Abstract
In response to the urgent requirement for sustainable power supply for deep-sea or offshore underwater sensing equipment, this work investigates autonomous power generation aboard marine vessels. The vertical vibrations induced by wave excitation at the bottom of the vessel are utilized to drive [...] Read more.
In response to the urgent requirement for sustainable power supply for deep-sea or offshore underwater sensing equipment, this work investigates autonomous power generation aboard marine vessels. The vertical vibrations induced by wave excitation at the bottom of the vessel are utilized to drive the vibration energy harvesters on the deck for power generation. In a scenario involving automatic steering, a multiplicity of magnetoelectric harvesters mounted on the deck would move vertically in response to surface wave motion, enabling continuous conversion of wave energy into electrical power. The key feature of this study is that the ship-based self-power generation system is simple to install and safe, with the vibration energy harvesters mounted above the sea surface to avoid the unpredictable underwater sea conditions. This study presents a numerical case analysis of a three-magnet energy harvester designed to generate induced electrical power under wave conditions characterized by a speed of V = 3.0 m/s, amplitude of Zo = 0.4 m, and wavelength of λ = 2.0 m. Prior to optimizing the ship-based energy harvester, the mathematical model of a three-magnet vibration system was validated against experimental data to ensure accuracy. Subsequently, a sensitivity study was performed to evaluate the influence of wave parameters (e.g., amplitude and wavelength) and the harvester’s geometric parameters on the electrical power output. To maximize power generation, the flower pollination algorithm—an efficient bio-inspired optimization method known for its robustness in global search—was integrated with the objective function defined as the root-mean-square electrical power. Simulation results indicate that the optimized harvester is capable of producing up to 0.1943 W. These findings highlight the potential of ship-based energy harvesters as a sustainable and reliable source of electrical power. Full article
Show Figures

Figure 1

21 pages, 1931 KB  
Article
A Shapelet Transform-Based Method for Structural Damage Identification: A Case Study on a Wooden Truss Bridge
by Ke Gan, Yingzhuo Ye, Fulin Nie, Ching Tai Ng and Liujie Chen
Sensors 2026, 26(8), 2323; https://doi.org/10.3390/s26082323 - 9 Apr 2026
Viewed by 425
Abstract
The impact of environmental disturbances and sensor deployment variations on damage identification represents a critical bottleneck that constrains the practical effectiveness of structural health monitoring. Existing methods addressing these challenges often suffer from poor interpretability due to information loss during feature extraction or [...] Read more.
The impact of environmental disturbances and sensor deployment variations on damage identification represents a critical bottleneck that constrains the practical effectiveness of structural health monitoring. Existing methods addressing these challenges often suffer from poor interpretability due to information loss during feature extraction or exhibit insufficient sensitivity in identifying early-stage minor damage. This paper proposes a damage identification method based on the Shapelet Transform and Random Forest classifier, which extracts highly interpretable local shape features from vibration response signals to achieve robust identification of structural state changes. The study utilizes measured random vibration response data from a timber truss bridge. The dataset comprises four reference states collected on different dates and five damage states simulated by additional masses ranging from +23.5 g to +193.7 g, with sensors deployed in both vertical and horizontal directions. The Shapelet Transform selects local subsequences with high information gain from the original time series as features, which are subsequently classified using the Random Forest algorithm. The experimental design systematically investigates the influence of different damage severities, sensor locations, and environmental variations on method performance. The results demonstrate that with a Shapelet extraction time of 10 min, the method achieves 100% identification accuracy across multiple operating conditions comprehensively considering environmental variations, sensor location differences, and varying damage severities. When the extraction time is reduced to 5 min, 3 min, and 1 min, the average accuracies are 93.98%, 89.51%, and 58.48%, respectively. The method effectively identifies the minimum simulated damage (+23.5 g), which represents only 0.07% of the total structural mass, while maintaining stable performance under varying sensor locations and environmental conditions. Compared to traditional methods based on global frequency-domain features or statistical characteristics, the proposed method extracts physically meaningful local Shapelet features, offering significant advantages in interpretability. In contrast to deep learning approaches, this method demonstrates greater robustness under limited sample conditions. This study confirms that the combined framework of the Shapelet Transform and Random Forest can effectively address multiple real-world challenges in structural health monitoring, delivering high accuracy, strong robustness, and excellent interpretability, thereby providing a novel approach for developing practical real-time damage identification systems. Full article
(This article belongs to the Section Industrial Sensors)
Show Figures

Figure 1

19 pages, 5464 KB  
Article
Design and Analysis of Air Spring Vibration Isolator with Magnetic Spring Exhibiting Anisotropic Stiffness
by Chang Du, Yongling Fu and Wanguo Li
Appl. Sci. 2026, 16(7), 3576; https://doi.org/10.3390/app16073576 - 6 Apr 2026
Viewed by 338
Abstract
Air spring (AS) vibration isolators have a large load capacity and can effectively attenuate base vibration; therefore, they are widely applied to support precision instruments. Lowering the stiffness of the isolator with additional mechanisms is the key to improving its performance. However, for [...] Read more.
Air spring (AS) vibration isolators have a large load capacity and can effectively attenuate base vibration; therefore, they are widely applied to support precision instruments. Lowering the stiffness of the isolator with additional mechanisms is the key to improving its performance. However, for AS isolators with stiffness requirements in multiple directions, it is intricate to integrate all the necessary stiffness mechanisms. To address this, a magnetic spring (MS) exhibiting anisotropic stiffness is introduced, forming a parallel pneumatic–magnetic vibration isolator (PPMVI). In the vertical direction, the MS delivers negative stiffness, lowering the overall stiffness to improve performance. In the horizontal directions, it provides positive stiffness to counteract the negative stiffness brought by the unstable horizontal isolation mechanism and restores overall stability. Stiffness characteristics of the MS are investigated, and stiffness coupling is reduced through optimized parameter design. Stability of the PPMVI is verified by simulation, and the vertical isolation performance, in the form of acceleration transmissibility, is validated by experiments. The results show that the PPMVI regains stability in horizontal directions. In the vertical direction, it has 55.5% lower stiffness than the AS isolator under the same conditions, and transmissibility is also reduced. Full article
(This article belongs to the Section Acoustics and Vibrations)
Show Figures

Figure 1

24 pages, 9055 KB  
Article
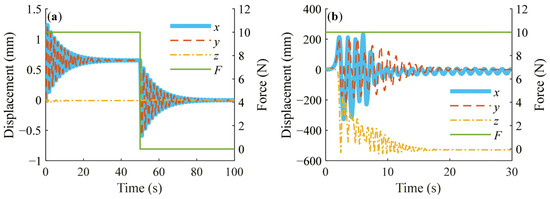
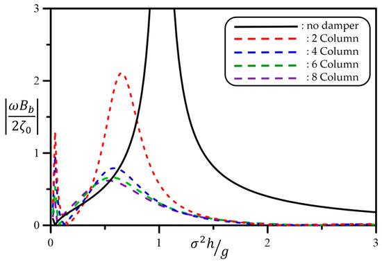
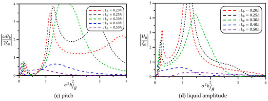
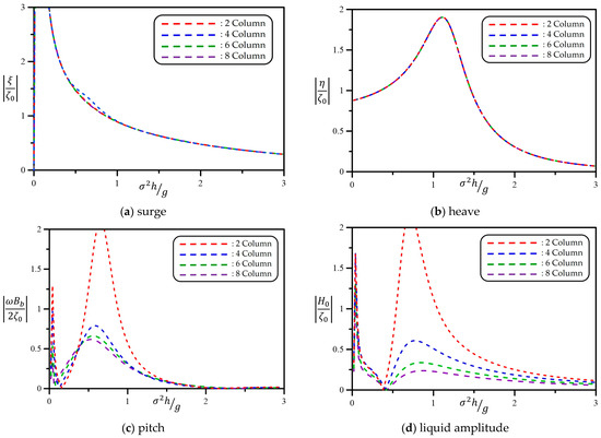
Dynamic Motion Characteristics of Floating Structures with Tuned Liquid Multiple-Column Dampers
by Bo-Jun Wang, Wen-Kai Weng and Ta-Wei Lin
Water 2026, 18(7), 846; https://doi.org/10.3390/w18070846 - 1 Apr 2026
Viewed by 265
Abstract
The pitch motion of offshore floating structures induced by wave loading is a critical design issue affecting operational safety and performance. The focus of this investigation was a tuned liquid multiple-column damper (TLMCD), which employed multiple interconnected liquid columns to enhance vibration mitigation [...] Read more.
The pitch motion of offshore floating structures induced by wave loading is a critical design issue affecting operational safety and performance. The focus of this investigation was a tuned liquid multiple-column damper (TLMCD), which employed multiple interconnected liquid columns to enhance vibration mitigation within a fixed structural footprint. The coupled equations of motion for a floating structure integrated with a TLMCD were derived, and a two-dimensional numerical model based on potential flow theory, the boundary element method, and linear wave theory was developed and validated through wave flume experiments. Parametric studies were conducted to examine the effects of key design parameters, including the liquid column water level and structural draft, on surge, heave, pitch, and liquid dynamic responses. The results indicated that, under a two-column TLMCD configuration, the pitch motion was reduced by approximately 75% compared with the no-damper case, and a further reduction was achieved by increasing the number of vertical liquid columns. The liquid column water level was identified as the dominant parameter governing pitch mitigation, whereas the structural draft primarily influenced the heave response. Overall, the results demonstrated that TLMCDs provide effective and practical motion-control capability for floating structures with limited installation space. Full article
(This article belongs to the Special Issue Hydrology and Hydrodynamics Characteristics in Coastal Area)
Show Figures

Figure 1

28 pages, 8550 KB  
Article
Experimental Study on Spanwise Aerodynamic Control Measures for Vortex-Induced Vibrations of a Narrow Π-Shaped Girder of a Large Span Railway Cable-Stayed Bridge
by Jianjun Liu, Zhengchun Xia, Bing Li, Ming Liu and Zhiwen Liu
Appl. Sci. 2026, 16(7), 3422; https://doi.org/10.3390/app16073422 - 1 Apr 2026
Viewed by 183
Abstract
Large-span bridges with bluff body girders are susceptible to vortex-induced vibration (VIV) due to their low frequency, light mass, and relatively low damping ratio, affecting fatigue life and serviceability. While research progress has been made on VIV mechanisms and control measures, systematic investigations [...] Read more.
Large-span bridges with bluff body girders are susceptible to vortex-induced vibration (VIV) due to their low frequency, light mass, and relatively low damping ratio, affecting fatigue life and serviceability. While research progress has been made on VIV mechanisms and control measures, systematic investigations on the application of vortex generators (VGs) to narrow Π-shaped railway girders remain scarce, and the potential synergistic effect of combining VGs with conventional aerodynamic measures has not been explored. To address this gap, wind tunnel tests were conducted on a 1:50 scale sectional model of a narrow Π-shaped steel girder for a railway cable-stayed bridge. The experimental program systematically investigated the VIV response of the original girder and evaluated the suppression effectiveness of conventional aerodynamic measures (vertical stabilizers, deflectors, modified fairings) and spanwise control using VGs. Parametric optimization of VG height (0.1 H–0.2 H, where H is the girder height), spacing (2/3 L0 and L0, where L0 = 12.5 m is the standard segment length), and installation position (upper fairing, lower fairing, girder bottom) was performed. Results show that under wind angles of attack from −5° to +5° and a damping ratio of 0.36%, the original girder exhibits pronounced vertical VIV with a maximum RMS amplitude of 0.025 m, approximately 3.15 times the code limit. Conventional measures alone fail to adequately suppress VIV. However, the optimal combination of VGs (height 0.2 H, spacing L0, installed on the lower fairing) with a 0.5 m wide, 15° inclined deflector effectively suppresses VIV under wind AOAs of 0°, ±3°, and –5°, achieving suppression below the measurable threshold. This study contributes the first comprehensive parametric investigation of VGs for narrow Π-shaped railway girders, reveals a synergistic effect when combining VGs with deflectors, and incorporates practical engineering constraints (such as aesthetic requirements) into the optimization process. Full article
(This article belongs to the Special Issue Structural Wind Engineering: Latest Advances and Applications)
Show Figures

Figure 1

20 pages, 6069 KB  
Article
Adaptive Vibration Control for Helicopter with Active Rotor Using Double-Acting Piezoelectric Actuator
by Xiancheng Gu, Weidong Yang, Linghua Dong and Jinlong Zhou
Aerospace 2026, 13(4), 328; https://doi.org/10.3390/aerospace13040328 - 1 Apr 2026
Viewed by 315
Abstract
Active rotors with trailing-edge flaps (TEFs) are a promising method applied to the main-rotor blades of the helicopter for vibration suppression. For active rotors, both the TEF actuator and the corresponding deflection control law determine their overall performance and effectiveness for vibration reduction. [...] Read more.
Active rotors with trailing-edge flaps (TEFs) are a promising method applied to the main-rotor blades of the helicopter for vibration suppression. For active rotors, both the TEF actuator and the corresponding deflection control law determine their overall performance and effectiveness for vibration reduction. In this study, a double-acting piezoelectric actuator is designed to actuate the TEFs, where bidirectional push/pull output is achieved by two groups of piezoelectric stacks operating in opposite directions. Benchtop tests indicate that the TEF deflection angle of the active rotor equipped with this actuator can reach ±4.3°. Subsequently, based on the controlled autoregressive moving average (CARMA) model, an adaptive controller is developed to reduce vibrations in the active rotor by using a minimum variance direct self-tuning regulator (MVSTDR). Finally, an unmanned helicopter is retrofitted with the active rotor, and vibration control experiments are performed under tethered hover conditions with vertical cabin vibration as the control target. Experimental results demonstrate the effectiveness of the designed actuator and the MVSTDR for vibration reduction on the helicopter equipped with an active rotor, which also validates the feasibility of active rotors for practical engineering applications in helicopter vibration control. Full article
(This article belongs to the Section Aeronautics)
Show Figures

Figure 1

25 pages, 4125 KB  
Article
A Hybrid AVT-FVT Approach for Sensor Optimization in Structural Health Monitoring
by Michele Paoletti, Giovanni Paragliola and Carmelo Mineo
J. Sens. Actuator Netw. 2026, 15(2), 31; https://doi.org/10.3390/jsan15020031 - 1 Apr 2026
Viewed by 355
Abstract
This study presents a structured methodology for optimizing the placement and selection of accelerometer sensors for structural health monitoring in civil infrastructures. The approach integrates both ambient and forced vibration testing data, followed by a unified analysis of sensor energy distribution through singular [...] Read more.
This study presents a structured methodology for optimizing the placement and selection of accelerometer sensors for structural health monitoring in civil infrastructures. The approach integrates both ambient and forced vibration testing data, followed by a unified analysis of sensor energy distribution through singular value decomposition of the cross power spectral density. The energy associated with each sensor is normalized and decomposed into its vertical, longitudinal, and transversal components, allowing for detailed ranking and visualization across different structural elements such as the deck and supporting piers. A comparative analysis between the energy distributions obtained from ambient and forced vibrations is conducted to identify consistent sensor locations. The sensor configuration is then iteratively refined using a combination of global dynamic criteria and local spatial constraints to ensure both stability and optimal spatial distribution. The resulting framework enables the systematic design of sensor layouts that combine energy-based robustness with optimal spatial distribution across all three spatial components, while significantly reducing the number of required sensors, ensuring the preservation of damage detection capability and long-term structural health monitoring. Full article
Show Figures

Figure 1

26 pages, 8200 KB  
Article
Enhancing Wide-Band Vibration Isolation Performance of Passive Isolators via Disk-like ABH and Damping Layer
by Zheng Dai, Wei Liu and Jingtao Du
Appl. Sci. 2026, 16(7), 3389; https://doi.org/10.3390/app16073389 - 31 Mar 2026
Viewed by 459
Abstract
Low-frequency broadband vibration isolation poses a critical limitation for marine power equipment, as conventional passive isolators fail below 50 Hz. Targeting the 10–315 Hz band (dominant for marine pumps), this study proposes a passive isolator integrated with a disk-like acoustic black hole. This [...] Read more.
Low-frequency broadband vibration isolation poses a critical limitation for marine power equipment, as conventional passive isolators fail below 50 Hz. Targeting the 10–315 Hz band (dominant for marine pumps), this study proposes a passive isolator integrated with a disk-like acoustic black hole. This article aims to address the core engineering issues in the operating frequency band of marine power equipment, specifically the failure of traditional passive vibration isolators in low-frequency vibration isolation and the insufficient reliability of active/hybrid vibration isolation schemes in the marine high-salt fog environment. Meanwhile, it breaks through the theoretical bottleneck of traditional acoustic black hole (ABH) structures, which have a high cut-off frequency and a weak low-frequency vibration suppression capability. A passive vibration isolator integrating a disk-shaped ABH and a damping layer is proposed to achieve efficient low-frequency broadband vibration isolation. The modal participation factor was calculated via finite element modal superposition to identify the dominant low-frequency modes, and a high-fidelity dynamic model was established to analyze the key ABH parameters and damping layer configurations. A prototype validation was conducted on an ISG vertical centrifugal pump acceleration response. The results show that the isolator (LABH = 95 mm, huni = 10 mm, disk-shaped damping layer) achieves 8.87 dB and a higher vibration level drop of 17.52 dB in 10–315 Hz and 315 Hz–10 kHz, respectively, than non-ABH designs, with simulation–experiment errors of less than 5%. The ABH–dynamic vibration absorber synergistic mechanism overcomes the low-frequency limitation of conventional passive isolators, providing a reliable solution for marine power equipment vibration suppression. Full article
(This article belongs to the Section Acoustics and Vibrations)
Show Figures

Figure 1

15 pages, 8517 KB  
Article
Identifying Soft-Ground-Story Pre-1977 High-Rise Structures in Bucharest for Updated Seismic Risk Analysis
by Florin Pavel
Appl. Sci. 2026, 16(7), 3360; https://doi.org/10.3390/app16073360 - 30 Mar 2026
Viewed by 263
Abstract
Soft-ground-story configurations in high-rise buildings present a critical vulnerability during seismic events, often leading to disproportionate structural damage and collapse. This study focuses on the systematic identification of soft-ground-story high-rise structures in Bucharest, a city located in a high seismic hazard zone influenced [...] Read more.
Soft-ground-story configurations in high-rise buildings present a critical vulnerability during seismic events, often leading to disproportionate structural damage and collapse. This study focuses on the systematic identification of soft-ground-story high-rise structures in Bucharest, a city located in a high seismic hazard zone influenced by Vrancea intermediate-depth earthquakes. The research employs a multi-step methodology combining field surveys, structural documentation, and analysis of architectural layouts from various sources to detect soft-ground-story irregularities across the urban building stock in Bucharest. The findings reveal that such configurations remain prevalent in mixed-use structures along major boulevards, where open ground floors were historically favoured for commercial purposes. The results provide a database of soft-ground-story high-rise buildings in Bucharest, highlighting their prevalence in distinct urban districts and their potential impact on seismic risk. Quantitative screening indicators, vertical element area ratio and mean axial stress in ground-story columns, are proposed for rapid vulnerability assessment. Dynamic measurements confirm a 33–38% increase in fundamental eigenperiods after the 1977 earthquake, indicating moderate-to-extensive damage states. These findings underscore the urgent need for targeted retrofitting strategies and inform seismic risk mitigation policies. The study provides a foundation for future integration of advanced diagnostic tools, such as image-based deep learning and vibration monitoring, into citywide seismic resilience planning. Full article
(This article belongs to the Special Issue Advances in Earthquake Engineering and Seismic Resilience)
Show Figures

Figure 1

33 pages, 19532 KB  
Article
Experimental Investigation on Vortex-Induced Vibration for a Two-Degree-of-Freedom Rigid Cylinder Under Subcritical Reynolds Numbers
by Li Zou, Jingyuan Wang, Guoqing Jin, Zongbing Yu, Tao Zhao and Zhimin Zhao
J. Mar. Sci. Eng. 2026, 14(7), 629; https://doi.org/10.3390/jmse14070629 - 29 Mar 2026
Viewed by 319
Abstract
In this study, systematic experiments are conducted on a vertical rigid cylinder with two degrees of freedom in the subcritical Reynolds-number regime. The selected flow conditions cover the excitation stage, the lock-in stage, and the post-lock-in stage of vortex-induced vibration. Structural displacements, hydrodynamic [...] Read more.
In this study, systematic experiments are conducted on a vertical rigid cylinder with two degrees of freedom in the subcritical Reynolds-number regime. The selected flow conditions cover the excitation stage, the lock-in stage, and the post-lock-in stage of vortex-induced vibration. Structural displacements, hydrodynamic forces, and wake vorticity fields are measured simultaneously using laser displacement sensors, force transducers, and particle image velocimetry. The results show that the cross-flow motion remains dominant throughout the investigated range, while the in-line motion is activated through phase coupling within the lock-in region. A stage-dependent redistribution of hydrodynamic loading is identified. The loading first concentrates in the cross-flow direction during synchronization, then partially shifts toward the in-line direction under coupled motion, and finally becomes spatially dispersed as desynchronization develops. This directional redistribution moderates the peak cross-flow amplitude, broadens the lock-in region, and alters the sequence of force-coefficient peaks. The synchronized wake measurements reveal that the flow evolves from incoherent structures to organized vortex streets and then to fragmented and irregular patterns, directly reflecting the formation and collapse of directional load concentration. These findings establish a consistent linkage between hydrodynamic loading, structural response, and wake evolution, and provide experimental evidence for the coupled dynamics of two-degree-of-freedom vortex-induced vibration, offering physical insight for the design and assessment of realistic marine cylindrical structures. Full article
(This article belongs to the Section Ocean Engineering)
Show Figures

Figure 1

Back to TopTop