Sign in to use this feature.

Years

Between: -

Subjects

remove_circle_outline
remove_circle_outline
remove_circle_outline
remove_circle_outline
remove_circle_outline
remove_circle_outline
remove_circle_outline
remove_circle_outline
remove_circle_outline

Journals

remove_circle_outline
remove_circle_outline
remove_circle_outline
remove_circle_outline
remove_circle_outline
remove_circle_outline
remove_circle_outline
remove_circle_outline
remove_circle_outline
remove_circle_outline
remove_circle_outline
remove_circle_outline

Article Types

Countries / Regions

remove_circle_outline
remove_circle_outline
remove_circle_outline
remove_circle_outline
remove_circle_outline

Search Results (813)

Search Parameters:
Keywords = vertical balance

Order results
Result details
Results per page
Select all
Export citation of selected articles as:
13 pages, 2959 KB  
Article
Improving Printability and Strength–Ductility Synergy in Additively Manufactured IN738 Alloy via Co Addition
by Sujun Lu, Yubi Gao, Huanhuan Wang, Jiayu Xu, Junling Duan and Yutian Ding
Metals 2026, 16(1), 27; https://doi.org/10.3390/met16010027 (registering DOI) - 26 Dec 2025
Abstract
An IN738 alloy with a high Al and Ti contents induces a significant cracking tendency during laser powder bed fusion (LPBF) processing, leading to a mismatch between printability and mechanical properties. Modification of alloy compositions is an effective strategy to enhance the printability [...] Read more.
An IN738 alloy with a high Al and Ti contents induces a significant cracking tendency during laser powder bed fusion (LPBF) processing, leading to a mismatch between printability and mechanical properties. Modification of alloy compositions is an effective strategy to enhance the printability and mechanical properties of nickel-based superalloys via LPBF. In this study, the effects of adding 5 wt.%Co on the printability and mechanical properties of LPBF-fabricated IN738 were investigated by using three-dimensional high-resolution micro-computed tomography (micro-CT), electron backscatter diffraction (EBSD), and quasi-static room-temperature tensile tests. The results show that adding 5 wt.%Co can significantly reduce the defect rate and defect size of the LPBF-fabricated IN738 alloy, remarkably improve alloy densification, and optimize printability. Meanwhile, compared with the LPBF-fabricated IN738 alloy, the 5 wt.%Co-IN738 alloy exhibits an excellent balance of strength and ductility in horizontal and vertical directions, both LPBF-fabricated and heat-treated. These results are anticipated to offer valuable guidance for the development of LPBF-fabricated Ni-based superalloys that achieve a favorable balance between printability and mechanical properties. Full article
13 pages, 1645 KB  
Article
Study on Improving the Purification Function of Constructed Wetlands with Construction Waste Substrates by Acid–Base Substrate Configuration
by Ying Cai, Yumei Gu, Miao Zhang, Ying Wei, Rixiu Zhou and Dehua Zhao
Water 2026, 18(1), 69; https://doi.org/10.3390/w18010069 - 25 Dec 2025
Abstract
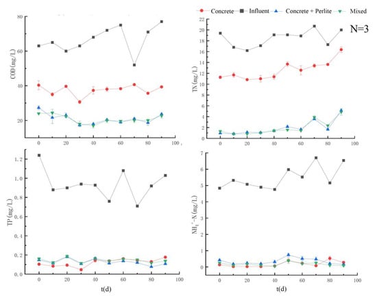
Construction and demolition waste, when used as the substrates of constructed wetlands, provide notable environmental benefits: purification performances and substantial economic advantages compared with conventional substrates such as gravels. However, the high effluent pH induced by waste concrete severely restricts its practical application [...] Read more.
Construction and demolition waste, when used as the substrates of constructed wetlands, provide notable environmental benefits: purification performances and substantial economic advantages compared with conventional substrates such as gravels. However, the high effluent pH induced by waste concrete severely restricts its practical application in such systems. The body of research focused on overcoming this limitation is rather limited. To address this limitation, this study proposed a strategy based on the configurations of acid alkaline substrates. A pilot-scale vertical flow constructed wetland experiment was carried out to evaluate the feasibility of this approach through three treatments: (1) waste concrete alone (Concrete), (2) waste concrete as the upper layer combined with perlite (an acidic substrate (Concrete + Perlite)), and (3) a uniform mixture of waste concrete and perlite (Mixed). The results demonstrate that the Concrete treatment exhibited a persistent high pH problem, where the effluent pH values remained above 9, even after five months of operation. In contrast, the Concrete + Perlite and Mixed treatments effectively mitigated the excessive effluent pH (<8.2). Relative to the Concrete treatment, both the Concrete + Perlite and Mixed treatments significantly enhanced the removal efficiencies of chemical oxygen demand (COD) (from 43.7% to above 68.5%), total nitrogen (TN) (from 31.8% to above 86.5%), and ammonium nitrogen (NH4+-N) (from 96.7% to 96.9%), whereas the removal efficiency of total phosphorous (TP) showed only a slight decrease. No significant differences in pollutant removal performance were observed between the Concrete + Perlite and Mixed treatments. Moreover, the Concrete + Perlite and Mixed treatments substantially increased the bacterial diversity within the substrate biofilm compared with the Concrete treatment, although differences in the bacterial community composition between the Concrete + Perlite and Mixed were relatively minor. Overall, configuring pH-balanced substrates through the combination of acidic and alkaline matrices provided effective and sustainable integrity for promoting the resource of construction and demolition waste in constructed wetlands. Full article
(This article belongs to the Special Issue Advanced Technologies in Water and Wastewater Treatment)
Show Figures

Figure 1

35 pages, 9122 KB  
Article
Construction of Green Volume Quantity and Equity Indicators for Urban Areas at Both Regional and Neighborhood Scales: A Case Study of Major Cities in China
by Zixuan Zhou, Anqi Chen, Tianyue Zhu and Wei Zhang
Land 2026, 15(1), 35; https://doi.org/10.3390/land15010035 (registering DOI) - 23 Dec 2025
Viewed by 60
Abstract
Current urban green volume quantity and equity evaluations primarily rely on two-dimensional (2D) indicators that capture the planar distribution characteristics but overlook vertical structure variations. This study constructed a three-dimensional (3D) evaluation system for green volume quantity and equity by introducing Lorenz curves [...] Read more.
Current urban green volume quantity and equity evaluations primarily rely on two-dimensional (2D) indicators that capture the planar distribution characteristics but overlook vertical structure variations. This study constructed a three-dimensional (3D) evaluation system for green volume quantity and equity by introducing Lorenz curves and Gini coefficients. Using multi-source data, including a 10 m global vegetation canopy height dataset, land cover, and population distribution data, an automated calculation workflow was established in ArcGIS Model Builder. Focusing on regional and neighborhood scales, this study calculates and analyzes two-dimensional green volume (2DGV) and three-dimensional green volume (3DGV) indicators, along with the spatial equity for 413 Chinese cities and residential and commercial areas of Wuhan, Suzhou, and Bazhong. Meanwhile, a green volume quantity and equity type classification method was established. The results indicated that 3DGV exhibits regional variations, while Low 2DGV–Low 3DGV cities have the highest proportion. Green volume in built-up areas showed a balanced distribution, while park green spaces exhibited 2DGV Equitable Only. At the neighborhood scale, residential areas demonstrated higher green volume equity than commercial areas, but most neighborhood areas’ indicators showed low and imbalanced distribution. The proposed 2DGV and 3DGV evaluation method could provide a reference framework for optimizing urban space. Full article
Show Figures

Figure 1

17 pages, 5916 KB  
Article
Research on the Impact of Urban Extreme Wind Fields on UAVs’ Flight Stability in Typical Scenarios
by Jia Liu, Yu Li, Hao Yang, Jianghao Wu and Qiulin Qu
Appl. Sci. 2026, 16(1), 145; https://doi.org/10.3390/app16010145 - 23 Dec 2025
Viewed by 75
Abstract
To assess UAV (Unmanned Aerial Vehicle) flight stability in urban wind fields, this study conducted numerical simulations of urban scene and logistics UAV models and developed a wind field safety level evaluation model for UAV flight paths. First, urban wind field structures were [...] Read more.
To assess UAV (Unmanned Aerial Vehicle) flight stability in urban wind fields, this study conducted numerical simulations of urban scene and logistics UAV models and developed a wind field safety level evaluation model for UAV flight paths. First, urban wind field structures were analyzed with simulations of typical building clusters. Second, the UAV’s aerodynamic characteristics under vertical balance were elaborated. Third, sideslip angles and wind speeds were adjusted based on the UAV’s maximum wind resistance to explore aerodynamic performance variations across conditions. Finally, a safety level calculation method was proposed to determine the wind field safety distribution along target paths. The results show that building layouts significantly affect urban wind fields, forming wind acceleration zones beside high-rises and between some buildings. The acceleration effect at 25 m is stronger than at 10 m and 50 m. UAV aerodynamic moments vary greatly with wind sideslip angles, with the dangerous angle being around 150°. Flight stability and wind field structures differ notably by path and height. This evaluation method enables UAVs to avoid high-risk areas, improving urban flight stability. Full article
(This article belongs to the Special Issue Transportation and Infrastructures Under Extreme Weather Conditions)
Show Figures

Figure 1

16 pages, 5350 KB  
Article
A Scalable Ultra-Compact 1.2 kV/100 A SiC 3D Packaged Half-Bridge Building Block
by Junhong Tong, Wei-Jung Hsu, Qingyun Huang and Alex Q. Huang
Electronics 2026, 15(1), 29; https://doi.org/10.3390/electronics15010029 - 22 Dec 2025
Viewed by 125
Abstract
This work presents a highly compact and scalable 1.2-kV SiC MOSFET half-bridge building-block module enabled by a die-integrated 3D PCB packaging technology. Compared with conventional DBC-based or TO-247-based SiC half-bridge modules, the proposed design reduces the physical volume and weight by more than [...] Read more.
This work presents a highly compact and scalable 1.2-kV SiC MOSFET half-bridge building-block module enabled by a die-integrated 3D PCB packaging technology. Compared with conventional DBC-based or TO-247-based SiC half-bridge modules, the proposed design reduces the physical volume and weight by more than 90% while maintaining full compatibility with standard PCB manufacturing processes. The vertically laminated DC+/DC− conductors and symmetric PCB–die–PCB stack establish a tightly confined commutation loop, resulting in a measured power-loop inductance of 2.2 nH and a 3.8 nH gate-loop inductance—representing up to 94% and 89% reduction relative to discrete device implementations. Because the parasitic parameters are intrinsically well-balanced across replicated units and the mutual inductance between adjacent modules remains extremely small, the structure naturally supports current sharing during parallel operation. Thermal and insulation evaluations further confirm the suitability of copper filling via high-Tg laminated PCB substrates for high-power SiC applications, achieving withstand voltages exceeding twice the rated bus voltage. The proposed module is experimentally validated through finite-element parasitic extraction and 950 V double-pulse testing, demonstrating controlled dv/dt behavior and robust switching performance. This work establishes a manufacturable and parallel-friendly packaging approach for high-density SiC power conversion systems. Full article
Show Figures

Figure 1

28 pages, 11908 KB  
Article
Super-Resolving Digital Terrain Models Using a Modified RCAN Network
by Mohamed Helmy, Emanuele Mandanici, Luca Vittuari and Gabriele Bitelli
Remote Sens. 2026, 18(1), 20; https://doi.org/10.3390/rs18010020 - 21 Dec 2025
Viewed by 169
Abstract
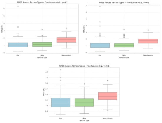
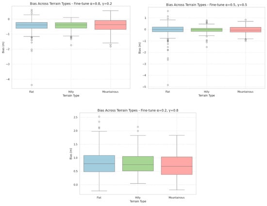
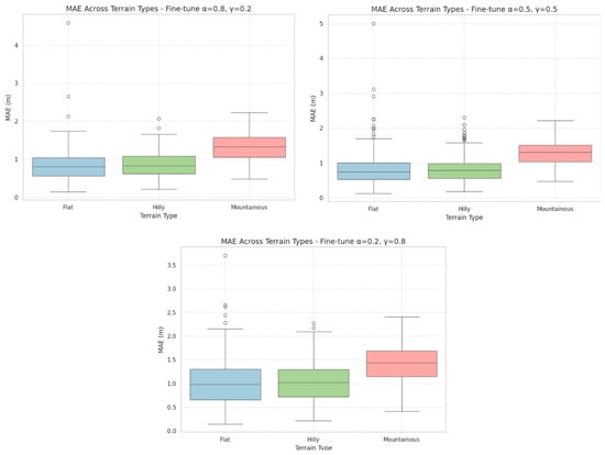
High-resolution Digital Terrain Models (DTMs) are essential for precise terrain analysis, yet their production remains constrained by the high cost and limited coverage of LiDAR surveys. This study introduces a deep learning framework based on a modified Residual Channel Attention Network (RCAN) to [...] Read more.
High-resolution Digital Terrain Models (DTMs) are essential for precise terrain analysis, yet their production remains constrained by the high cost and limited coverage of LiDAR surveys. This study introduces a deep learning framework based on a modified Residual Channel Attention Network (RCAN) to super-resolve 10 m DTMs to 1 m resolution. The model was trained and validated on a 568 km2 LiDAR-derived dataset using custom elevation-aware loss functions that integrate elevation accuracy (L1), slope gradients, and multi-scale structural components to preserve terrain realism and vertical precision. Performance was evaluated across 257 independent test tiles representing flat, hilly, and mountainous terrains. A balanced loss configuration (α = 0.5, γ = 0.5) achieved the best results, yielding Mean Absolute Error (MAE) as low as 0.83 m and Root Mean Square Error (RMSE) of 1.14–1.15 m, with near-zero bias (−0.04 m). Errors increased moderately in mountainous areas (MAE = 1.29–1.41 m, RMSE = 1.84 m), confirming the greater difficulty of rugged terrain. Overall, the approach demonstrates strong potential for operational applications in geomorphology, hydrology, and landscape monitoring, offering an effective solution for high-resolution DTM generation where LiDAR data are unavailable. Full article
Show Figures

Figure 1

28 pages, 9145 KB  
Article
The Spatiotemporal Characteristics and Prediction of Soil and Water Conservation as Carbon Sinks in Karst Areas Based on Machine Learning: A Case Study of Puding County, China
by Man Li, Lijun Xie, Rui Dong, Shufen Huang, Qing Yang, Guangbin Yang, Ruidi Ma, Lin Liu, Tingyue Wang and Zhongfa Zhou
Agriculture 2026, 16(1), 15; https://doi.org/10.3390/agriculture16010015 - 20 Dec 2025
Viewed by 190
Abstract
Carbon sequestration by vegetation and soil conservation are vital components in balancing greenhouse gas emissions and enhancing terrestrial ecosystem carbon sinks. They also represent an efficient pathway towards achieving carbon neutrality objectives and addressing numerous environmental challenges arising from global warming. Soil and [...] Read more.
Carbon sequestration by vegetation and soil conservation are vital components in balancing greenhouse gas emissions and enhancing terrestrial ecosystem carbon sinks. They also represent an efficient pathway towards achieving carbon neutrality objectives and addressing numerous environmental challenges arising from global warming. Soil and water conservation, as crucial elements of ecological civilisation development, constitute a key link in realising carbon neutrality. This study systematically quantifies and forecasts the spatiotemporal characteristics of carbon sink capacity in soil and water conservation within the study area of Puding County, a typical karst region in Guizhou Province, China. Following a research approach of “mechanism elucidation–model construction–categorised estimation”, we established a carbon sink calculation system based on the dual mechanisms of vertical biomass carbon fixation via vegetative measures and horizontal soil organic carbon (SOC) retention using engineering measures. This system combines forestry, grassland, and engineering, with the aim of quantifying regional carbon sinks. Machine learning regression algorithms such as Random Forest, ExtraTrees, CatBoost, and XGBoost are used for backtracking estimation and optimisation modelling of soil and water conservation as carbon sinks from 2010 to 2022. The results show that the total carbon sink capacity of soil and water conservation in Puding County in 2017 was 34.53 × 104 t, while the contribution of engineering measures was 22.37 × 104 t. The spatial distribution shows a pattern of “higher in the north and lower in the south”. There are concentration hotspots in the central and western regions. Model comparison demonstrates that the Random Forest and extreme gradient boosting regression models are the best models for plantations/grasslands and engineering measures, respectively. The LSTM model was applied to predict carbon sink variables over the next ten years (2025–2034), showing that the overall situation is relatively stable, with only slight local fluctuations. This study solves the problem of the lack of quantitative data on soil and water conservation as carbon sinks in karst areas and provides a scientific basis for regional ecological governance and carbon sink management. Our findings demonstrate the practical significance of promoting the realisation of the “double carbon” goal. Full article
(This article belongs to the Section Agricultural Soils)
Show Figures

Figure 1

12 pages, 1899 KB  
Case Report
A Novel Surgical Treatment Approach for Vertical Root Fractures of Endodontically Treated Molars: A Report of 3 Cases
by Nuo Chen, Chang Lu, Xinling He, Yuexing Zheng, Ying Yang and Wei Fan
J. Clin. Med. 2025, 14(24), 8966; https://doi.org/10.3390/jcm14248966 - 18 Dec 2025
Viewed by 182
Abstract
Background: Vertical root fracture (VRF) is a severe complication of endodontically treated teeth with a poor prognosis. Despite many tentative tooth-preserving approaches, the current main treatment remains tooth extraction or root resection, which is largely due to the difficulty in balancing the mechanical [...] Read more.
Background: Vertical root fracture (VRF) is a severe complication of endodontically treated teeth with a poor prognosis. Despite many tentative tooth-preserving approaches, the current main treatment remains tooth extraction or root resection, which is largely due to the difficulty in balancing the mechanical strength for fracture fixation and biological properties for periodontal healing. Moreover, all documented reports regarding VRF repairing so far were limited to anterior teeth and premolars. Thus, the objective of this case report was to present a novel surgical treatment approach for repairing VRF of molars. Methods: Three patients (2 females, 1 male; aged 30–33 years) with endodontically treated molars (Tooth #46, #16, #37) diagnosed with VRF were treated with a dual-layered repair approach with modified fracture lines and retention forms through intentional replantation. Results: After 18, 21, and 36 months of follow-up, respectively, all three cases showed no clinical symptoms, normal tooth mobility and periodontal probing, as well as reduced periradicular radiolucency on radiographs. Root resorption or ankylosis was not observed. Conclusions: The novel surgical treatment approach demonstrates effectiveness in preserving endodontically treated molars with VRF, but its long-term treatment results for various VRF of molars need further randomized and controlled clinical investigations. Full article
(This article belongs to the Section Dentistry, Oral Surgery and Oral Medicine)
Show Figures

Figure 1

27 pages, 20097 KB  
Article
Balancing Heritage and Modernity: A Hierarchical Adaptive Approach in Rome’s Cultural Sports Urban Renewal
by Kai Tang and Angelo Figliola
Buildings 2025, 15(24), 4570; https://doi.org/10.3390/buildings15244570 - 18 Dec 2025
Viewed by 228
Abstract
This research proposes a hierarchical adaptive approach to urban renewal that seeks to reconcile heritage preservation with contemporary functional demands in historic urban environments. Focusing on cultural and sports public facilities in the northwestern urban–rural interface of Rome, the research identifies critical mismatches [...] Read more.
This research proposes a hierarchical adaptive approach to urban renewal that seeks to reconcile heritage preservation with contemporary functional demands in historic urban environments. Focusing on cultural and sports public facilities in the northwestern urban–rural interface of Rome, the research identifies critical mismatches between facility typologies, user groups, and mobility patterns, including fragmented connectivity, child-exclusionary environments, and unsafe pedestrian–vehicular interactions. A three-tiered intervention framework is developed, comprising minimal intervention for heritage-preserved structures, semi-intervention for high-use contemporary facilities, and full intervention for generic or underutilized buildings and undeveloped land. Using field surveys, GIS-based spatial analysis, and visualized performance metrics, the study evaluates how vertical functional superposition, independent pedestrian systems, and transitional connectors can enhance spatial legibility, accessibility, and social inclusiveness. The results show that hierarchical adaptive renewal improves pedestrian safety, strengthens functional integration between cultural–sports facilities and adjacent residential areas, and activates underused spaces while maintaining the integrity of Rome’s historic fabric. Beyond the case study, the framework offers a transferable model for other high-density historic cities seeking to balance heritage protection, everyday usability, and sustainable urban development. Full article
Show Figures

Figure 1

20 pages, 2711 KB  
Article
Hydrogeochemical and Biological Attributes of Chiuchiu Pond, a Pre-Andean Wetland in Northern Chile: Bases for Its Protection and Conservation
by Benito Gómez-Silva, Luis Cáceres, Milton Urrutia and Alexandra Galetović
Hydrobiology 2025, 4(4), 34; https://doi.org/10.3390/hydrobiology4040034 - 18 Dec 2025
Viewed by 175
Abstract
The Chiuchiu Pond (CCP) is an inland brackish water body in a pre-Andean scenery in the Atacama Desert, northern Chile. Presently unprotected, the CCP is attractive for tourism and a notable geosite for wildlife characterized by maintaining a fixed water level and chemical [...] Read more.
The Chiuchiu Pond (CCP) is an inland brackish water body in a pre-Andean scenery in the Atacama Desert, northern Chile. Presently unprotected, the CCP is attractive for tourism and a notable geosite for wildlife characterized by maintaining a fixed water level and chemical composition without surface inlets/outlets. This paper aims to characterize factors accounting for its perennial character by gathering climatic, hydrogeochemical, and morphometric information and microbiological and functional characterization. The CCP is an isolated U-shaped doline with a maximum depth of 17.5 m and vertical walls with more than 80% of soluble salts (halite and calcite) under arid conditions characterized by constant seasonal variation patterns. This is a unique case in that no similar conditions among reported wetlands or ponds have been found in the world. From our studies, it was characterized as an oligotrophic, lentic oligomictic, well-mixed water body, without thermal stratification, stable water level and hydrochemical composition, with water balance conditions from underground flows. Analysis of the microbial community revealed a core composition dominated by Proteobacteria (43.1%), Bacteroidetes (23.5%), and Cyanobacteria (10%). We provide a multidisciplinary contribution to justify urgent actions for the CCP’s conservation, representing a model for other unprotected coastal and inland wetlands in northern Chile and drylands elsewhere. Full article
Show Figures

Figure 1

22 pages, 4124 KB  
Article
Vertical Drainage Performance of a Novel Anti-Clogging Plastic Vertical Drainage Board for Soda-Residue-Stabilized Soil
by Aiwu Yang, Tianli Liu, Ridong Fan, Hao Zhang, Fayun Liang, Xuelun Liu and Guowei Song
Materials 2025, 18(24), 5661; https://doi.org/10.3390/ma18245661 - 17 Dec 2025
Viewed by 149
Abstract
In the treatment of soda-residue-stabilized soil with high water content using drainage boards with vacuum preloading, the boards often prone to clogging and bending under lateral pressure, reducing their hydraulic conductivity and affecting the soil reinforcement. In this study, the structure of the [...] Read more.
In the treatment of soda-residue-stabilized soil with high water content using drainage boards with vacuum preloading, the boards often prone to clogging and bending under lateral pressure, reducing their hydraulic conductivity and affecting the soil reinforcement. In this study, the structure of the standard plastic drainage board (filter membrane + filter core) was improved, and three types of new anti-clogging plastic drainage boards with different structures were developed (Type X: geotextile + filter core, Type Y: geotextile + wire mesh + filter core, Type Z: geotextile + filter membrane + filter core). Permeability tests were subsequently used to determine the optimal structure. In-lab vertical draining tests with vacuum preloading were carried out on the selected model to study the change in water content, vacuum pressure, surface settlement, vane shear strength, and pore water pressure of soil with drainage board insertion depth, providing a reference for the application of new anti-clogging drainage boards in engineering. The results showed that: (1) the type Y anti-clogging plastic drainage board (geotextile + wire mesh + filter core) exhibits the most balanced performance in terms of permeability, anti-clogging ability, tensile strength and bending strength and is suitable for vacuum preloading of soda residue with high water content; (2) the mechanical properties and anti-clogging performance of drainage boards are highly dependent on their structural configuration. Introducing a wire mesh between the filter core and the geotextile significantly enhances the tensile and bending strength of the drainage board without noticeably compromising its drainage performance; (3) the insertion depth of the drainage board significantly affects drainage efficiency, vacuum transmission rate, and strength development of the soda residue. The effective reinforcement range of the drainage board is not limited to the insertion depth but also extends below the bottom of the drainage board. Full article
(This article belongs to the Section Construction and Building Materials)
Show Figures

Figure 1

16 pages, 1635 KB  
Article
Growing Top-Down or Bottom-Up Vortices: Effect of Thermal Gradients
by María Cruz Navarro, Damián Castaño and Henar Herrero
Modelling 2025, 6(4), 166; https://doi.org/10.3390/modelling6040166 - 16 Dec 2025
Viewed by 176
Abstract
In this study, we numerically investigate the influence of thermal gradients on the growth and intensification of vortices formed within a rotating cylinder subjected to inhomogeneous cooling at the top or inhomogeneous heating at the bottom. The presence of horizontal thermal inhomogeneities at [...] Read more.
In this study, we numerically investigate the influence of thermal gradients on the growth and intensification of vortices formed within a rotating cylinder subjected to inhomogeneous cooling at the top or inhomogeneous heating at the bottom. The presence of horizontal thermal inhomogeneities at the upper and lower boundaries determines whether the vortex originates near the top or the bottom of the domain. Moreover, the magnitude of both horizontal and vertical thermal gradients plays a critical role in the vortex’s intensification, vertical stretching, and overall development. The observed phenomena are interpreted through a force balance analysis. Increasing the ambient rotation rate leads to the emergence of periodic structures, such as tilted or double vortices, which also undergo intensification and stretching as thermal gradients increase. These findings highlight the importance of thermal boundary conditions in shaping vortical structures and may contribute to a deeper understanding of the genesis, morphology, and intensification mechanisms of thermoconvective vortices. Full article
(This article belongs to the Special Issue Recent Advances in Computational Fluid Mechanics)
Show Figures

Figure 1

22 pages, 5420 KB  
Article
Spatial Evolution of Narrow-Courtyard Dwellings in Guanzhong Rural Areas of Shaanxi, China, from 1949 to the Present
by Mengjiao Yang, Bo Gao and Ruiwen Li
Buildings 2025, 15(24), 4533; https://doi.org/10.3390/buildings15244533 - 15 Dec 2025
Viewed by 196
Abstract
The narrow courtyard houses in the rural areas of Guanzhong region of Shaanxi Province, China, are a spatial representation of the long-term interaction of multiple influencing factors. This study, based on 716 questionnaires and 125 semi-structured interviews, comprehensively employed typology, qualitative analysis, comprehensive [...] Read more.
The narrow courtyard houses in the rural areas of Guanzhong region of Shaanxi Province, China, are a spatial representation of the long-term interaction of multiple influencing factors. This study, based on 716 questionnaires and 125 semi-structured interviews, comprehensively employed typology, qualitative analysis, comprehensive fuzzy evaluation, and grey correlation degree analysis methods to analyze the spatial evolution process of 125 typical samples since 1949. The results of research show: (1) In terms of spatial form, the narrow courtyard houses have evolved along a “from single to multiple, from horizontal to vertical, from open to closed” path. Their core has shifted from the symbolic “courtyard” to the functional “hall”, and the value of the main and auxiliary spaces has also undergone reconstruction, reflecting a modern transformation from “priority of etiquette” to “life quality orientation”. (2) The driving path starts from the institutional traction during the “survival stage”, then shifts to the economic dominance during the “growth stage”, and finally turns to the policy guidance and quality pursuit in the “life stage”, which are all coordinated. Policy and industrial structure are the core macro driving forces that run through the entire process. (3) Overall, the modernization transformation of the narrow courtyard houses is a dynamic process driven by external factors, with its path gradually shifting from the traditional endogenous model to external promotion and towards a diversified balance; however, the current “vacuum” state of cultural concepts reveals that the modernization of rural houses is still in the transitional stage between old and new paradigms. Based on this, the core of future rural house construction lies in achieving an internal reshaping from functional form to cultural value, guiding the spatial form to move from “disorderly exploration” to the organic generation of a “new paradigm”, providing a sustainable spatial paradigm for rural revitalization. Full article
Show Figures

Figure 1

19 pages, 7019 KB  
Article
Multiparametric Cost–CO2 Optimization of Bored Reinforced-Concrete Piles Under Combined Loading in Cohesive Soils
by Primož Jelušič
Buildings 2025, 15(24), 4519; https://doi.org/10.3390/buildings15244519 - 14 Dec 2025
Viewed by 206
Abstract
Laterally loaded slender piles present a classic soil–structure interaction problem where pile displacements and flexural demands are governed by the mobilized lateral resistance of the surrounding soil and the axial-bending capacity of the reinforced concrete section. In response to increasing pressure to reduce [...] Read more.
Laterally loaded slender piles present a classic soil–structure interaction problem where pile displacements and flexural demands are governed by the mobilized lateral resistance of the surrounding soil and the axial-bending capacity of the reinforced concrete section. In response to increasing pressure to reduce embodied emissions, this study develops LAVERCO, an optimization framework for cost- and CO2-efficient design of bored reinforced-concrete piles in cohesive soils subjected to combined lateral and axial actions. The framework integrates Eurocode-based geotechnical checks with full NM section verification of the RC pile and applies a genetic algorithm over a multi-parametric grid of lateral load, vertical load, and undrained shear strength, using economic cost and embodied CO2 as alternative single objectives. Rank-based (Spearman) sensitivity analysis quantifies how actions, soil strength, and design variables influence the optimal solutions. The results reveal two consistent geometry regimes: CO2-optimal piles are systematically longer and slimmer, while COST-optimal piles are shorter and thicker. In both cases, the objective is dominated by pile length and is reduced by higher undrained shear strength; vertical load has a moderate direct effect, while horizontal load contributes mainly through deflection and bending checks. Feasibility improves significantly in stronger clays, and CO2-optimal geometries generally incur higher costs, clarifying the trade-off between economic and environmental performance. The framework provides explicit geometry-level guidance for selecting bored pile designs that balance cost and embodied CO2 across a wide range of soil and loading conditions and can be directly applied in both preliminary and detailed designs. Full article
(This article belongs to the Section Building Structures)
Show Figures

Figure 1

26 pages, 6020 KB  
Article
Numerical Investigation of Maneuvering Characteristics for a Submarine Under Horizontal Stern Plane Deflection in Vertical Plane Straight-Line Motion
by Binbin Zou, Yingfei Zan, Ruinan Guo, Shuaihang Wang, Zhenzhong Jin and Qiang Xu
J. Mar. Sci. Eng. 2025, 13(12), 2371; https://doi.org/10.3390/jmse13122371 - 14 Dec 2025
Viewed by 223
Abstract
The maneuverability of a submarine in the vertical plane is a key indicator of navigation safety. However, existing studies typically evaluate maneuvering performance based on hydrodynamic coefficients, often neglecting the flow-field evolution induced by different steering strategies. In this study, a high-fidelity numerical [...] Read more.
The maneuverability of a submarine in the vertical plane is a key indicator of navigation safety. However, existing studies typically evaluate maneuvering performance based on hydrodynamic coefficients, often neglecting the flow-field evolution induced by different steering strategies. In this study, a high-fidelity numerical model for the vertical-plane motion of the DARPA SUBOFF submarine is established using the Reynolds-Averaged Navier–Stokes (RANS) method and validated against benchmark data. Unlike traditional analyses that employ a fixed rudder angle, this work systematically compares three steering strategies with continuously varying rudder angles—trapezoidal, step, and linear steering—examining their motion responses, hydrodynamic performance, and unsteady flow-field evolution. The results show that, although step steering produces the fastest response with the strongest transient characteristics, it also triggers pronounced flow separation and significant unsteady effects. Linear steering yields a smoother but the weakest motion response, with reduced rudder effectiveness and a noticeable lag effect. In contrast, trapezoidal steering maintains a stable flow field around the submarine, with uniformly concentrated vorticity distribution, ensuring smooth and safe motion and achieving a favorable balance between response speed and flow stability. The findings provide theoretical reference for research on submarine vertical-plane steering motion, rudder-angle control, and flow-field stability. Full article
(This article belongs to the Section Ocean Engineering)
Show Figures

Figure 1

Back to TopTop