Sign in to use this feature.

Years

Between: -

Subjects

remove_circle_outline
remove_circle_outline
remove_circle_outline
remove_circle_outline
remove_circle_outline
remove_circle_outline
remove_circle_outline
remove_circle_outline
remove_circle_outline

Journals

remove_circle_outline
remove_circle_outline
remove_circle_outline
remove_circle_outline
remove_circle_outline
remove_circle_outline
remove_circle_outline
remove_circle_outline
remove_circle_outline
remove_circle_outline
remove_circle_outline
remove_circle_outline
remove_circle_outline
remove_circle_outline
remove_circle_outline
remove_circle_outline
remove_circle_outline
remove_circle_outline
remove_circle_outline
remove_circle_outline
remove_circle_outline

Article Types

Countries / Regions

remove_circle_outline
remove_circle_outline
remove_circle_outline
remove_circle_outline
remove_circle_outline
remove_circle_outline
remove_circle_outline
remove_circle_outline
remove_circle_outline
remove_circle_outline
remove_circle_outline

Search Results (4,594)

Search Parameters:
Keywords = vegetable sources

Order results
Result details
Results per page
Select all
Export citation of selected articles as:
35 pages, 10374 KB  
Article
Multisensor Monitoring of Soil–Plant–Atmosphere Interactions During Reproductive Development in Wheat
by Sandra Skendžić, Darija Lemić, Hrvoje Novak, Marko Reljić, Marko Maričević, Vinko Lešić, Ivana Pajač Živković and Monika Zovko
AgriEngineering 2026, 8(3), 119; https://doi.org/10.3390/agriengineering8030119 - 20 Mar 2026
Abstract
Assessing crop water status during the reproductive development of winter wheat is challenging because soil–plant–atmosphere interactions are strongly influenced by soil physical conditions, and measured soil water content (SWC) does not necessarily reflect plant-accessible water. This study applied an integrated, process-based multisensor approach [...] Read more.
Assessing crop water status during the reproductive development of winter wheat is challenging because soil–plant–atmosphere interactions are strongly influenced by soil physical conditions, and measured soil water content (SWC) does not necessarily reflect plant-accessible water. This study applied an integrated, process-based multisensor approach to evaluate functional crop water status and its relationship to grain yield, combining hyperspectral canopy reflectance, atmospheric observations, in situ SWC, and pedological characterization. Five winter wheat cultivars were monitored at two contrasting pedoclimatic sites in continental Croatia during the 2022/2023 growing season. Hyperspectral canopy reflectance (350–2500 nm) was measured at reproductive stages (BBCH 61–83), and seventeen vegetation indices describing canopy water status, structure, pigments, and senescence were derived. Principal component analysis (PCA) identified location as the dominant source of spectral variability, while cultivar effects were secondary. Although atmospheric conditions were broadly comparable, the sites differed markedly in soil physical properties, resulting in contrasting soil water–air regimes. Despite consistently higher volumetric SWC at one site, hyperspectral indicators revealed lower canopy water status, reduced canopy structure, earlier senescence, and lower grain yield across all cultivars. Water-sensitive indices exploiting near-infrared (700–1300 nm) and shortwave infrared (1300–2400 nm) bands (NDWI, NDMI, NMDI, MSI) consistently indicated greater physiological stress. Conversely, the site with lower SWC but more favorable soil physical conditions exhibited higher values of water- and structure-related indices and achieved higher grain yield, with a mean increase of 669 kg ha−1. The results demonstrate that hyperspectral canopy reflectance captures yield-relevant water stress that cannot be inferred from soil moisture alone, highlighting the importance of multisensor integration for interpreting soil–plant–atmosphere interactions under heterogeneous soil conditions. Full article
25 pages, 397 KB  
Review
Migration and Accumulation of Uranium-Associated Heavy Metals in Mining-Affected Ecosystems (Water, Soil, and Plants)
by Madina Kairullova, Meirat Bakhtin, Kuralay Ilbekova and Danara Ibrayeva
Biology 2026, 15(6), 502; https://doi.org/10.3390/biology15060502 (registering DOI) - 20 Mar 2026
Abstract
Uranium mining generates complex multi-element contamination that affects interconnected ecosystem components, posing long-term ecological and sanitary risks; this review places these impacts in a broad environmental context and aims to synthesize current knowledge on the distribution, migration, and accumulation of uranium and associated [...] Read more.
Uranium mining generates complex multi-element contamination that affects interconnected ecosystem components, posing long-term ecological and sanitary risks; this review places these impacts in a broad environmental context and aims to synthesize current knowledge on the distribution, migration, and accumulation of uranium and associated heavy metals in water, soil, and plants. A structured analysis of international peer-reviewed literature was conducted, focusing on documented pathways of metal release from tailings and waste dumps, geochemical controls on mobility, and biological uptake by vegetation. The reviewed studies consistently show that tailings and disturbed ore-bearing strata act as persistent sources of uranium and heavy metals (e.g., Cd, Pb, Cr, Ni, Zn, Mn, As), which migrate through infiltration, acid mine drainage, and atmospheric dispersion, leading to elevated concentrations in surface and groundwater and long-term accumulation in soils. Soils function as the principal sink controlling metal bioavailability, while vegetation reflects the bioavailable fraction and exhibits pronounced species-specific accumulation patterns. These processes establish an active “soil–water–plant” transfer chain that facilitates entry of contaminants into food webs. The synthesis indicates that combined uranium and heavy metal contamination represents a sustained ecological and public health concern in uranium-mining regions and underscores the need for integrated monitoring of soils, waters, and vegetation, along with quantitative risk assessment and scientifically grounded remediation strategies. Full article
(This article belongs to the Section Ecology)
41 pages, 14137 KB  
Article
Hierarchical Extraction and Multi-Feature Optimization of Complex Crop Planting Structures in the Hetao Irrigation District Based on Multi-Source Remote Sensing Data
by Shan Yu, Rong Li, Wala Du, Lide Su, Buqi Na and Liangliang Yu
Remote Sens. 2026, 18(6), 937; https://doi.org/10.3390/rs18060937 - 19 Mar 2026
Abstract
Accurate extraction of crop planting structures is important for crop area and yield estimation, but complex and fragmented cropping patterns with overlapping phenology in the Hetao Irrigation District hinder reliable crop discrimination. This study proposes a hierarchical workflow that integrates vegetation masking with [...] Read more.
Accurate extraction of crop planting structures is important for crop area and yield estimation, but complex and fragmented cropping patterns with overlapping phenology in the Hetao Irrigation District hinder reliable crop discrimination. This study proposes a hierarchical workflow that integrates vegetation masking with multi-source feature optimization for crop mapping. First, dual-temporal Sentinel-2 imagery (May and August) is used to generate a vegetation region-of-interest(ROI) mask via Otsu thresholding applied to the Normalized Difference Vegetation Index (NDVI), combined with pixel-wise maximum-value fusion to reduce phenology-driven omissions and background interference. Second, within the vegetation mask, Sentinel-2 spectral, vegetation-index, and texture features are combined with Sentinel-1 synthetic aperture radar (SAR) backscatter and SAR texture features to construct a multi-source feature set. Random Forest(RF) feature-importance ranking is used to select an effective feature subset, and four classifiers (RF, support vector machine (SVM), eXtreme Gradient Boosting (XGBoost), and convolutional neural network (CNN)) are compared under the same training/validation setting. The vegetation extraction achieves an overall accuracy of 91% (Kappa = 0.80). Using Sentinel-2 features only, the optimized subset with CNN attains the best performance (overall accuracy = 95%, Kappa = 0.93). Adding Sentinel-1 SAR texture features provides an additional improvement (overall accuracy = 96%, Kappa = 0.94), particularly for classes prone to confusion in fragmented plots. Area proportions derived from the final map are consistent with statistical yearbook data (percentage errors: maize 3.45%, sunflower 2.66%, wheat 0.11%, tomato 0.92%) under the study conditions. This workflow supports practical crop-structure monitoring in complex irrigation districts. Full article
Show Figures

Figure 1

16 pages, 854 KB  
Article
Response of Diverse Pea (Pisum sativum L.) Genotypes to Drought Stress in Controlled Vertical Farming Systems
by Nevena Stevanović, Tamara Popović, Vanja Vuković, Aleksandra Stankov Petreš, Sreten Terzić, Tijana Barošević and Nataša Ljubičić
Horticulturae 2026, 12(3), 382; https://doi.org/10.3390/horticulturae12030382 - 19 Mar 2026
Abstract
Pea (Pisum sativum L.) is an important source of food and feed and contributes to soil improvement through its association with nitrogen-fixing bacteria. By enabling higher yields and selection of tolerant genotypes, controlled environment agriculture (CEA) could meet increasing nutritional needs despite [...] Read more.
Pea (Pisum sativum L.) is an important source of food and feed and contributes to soil improvement through its association with nitrogen-fixing bacteria. By enabling higher yields and selection of tolerant genotypes, controlled environment agriculture (CEA) could meet increasing nutritional needs despite adverse conditions. The main objective of this study was to investigate the effects of drought stress on the development of vegetable pea genotypes under controlled vertical farming conditions. Plants were grown in CEA and exposed to drought stress at different developmental stages, after flowering and after pod formation. Drought significantly reduced pod and seed numbers, showing a stronger effect than genotype. For example, genotype Favorit produced 7.67 and 9.00 seeds per plant under control conditions, compared with only 2.00 and 2.67 seeds per plant under drought treatments. Pod length, seed number, and seed weight were also lower under stress, highlighting the importance of water availability during seed setting and filling. Fresh and dry biomass were mainly influenced by genotype, indicating differences in stress adaptability. The results also demonstrate that CEA can be used for reproducible abiotic stress experiments relevant to plant breeding and crop production. Full article
Show Figures

Figure 1

22 pages, 21803 KB  
Article
Improved Grass Species Mapping in High-Diversity Wetland by Combining UAV-Based Spectral, Textural, Geometric Measurements
by Ping Zhao, Ran Meng, Binyuan Xu, Jin Wu, Yanyan Shen, Jie Liu, Bo Huang, Tiangang Yin, Matheus Pinheiro Ferreira and Feng Zhao
Remote Sens. 2026, 18(6), 927; https://doi.org/10.3390/rs18060927 - 18 Mar 2026
Viewed by 47
Abstract
Accurate mapping of grass species in biodiverse ecosystems, such as wetlands, is critical for ecological protection. Rapid advancements in remote sensing have established satellite data as a critical tool for wetland grass species mapping; however, its relatively coarse spatial resolution and susceptibility to [...] Read more.
Accurate mapping of grass species in biodiverse ecosystems, such as wetlands, is critical for ecological protection. Rapid advancements in remote sensing have established satellite data as a critical tool for wetland grass species mapping; however, its relatively coarse spatial resolution and susceptibility to cloud contamination limit the distinction of co-occurring species at fine scales. While Unmanned Aerial Vehicle (UAV) remote sensing offers high resolution and operational flexibility, relying on single-source features is often insufficient for fine-scale wetland species mapping due to the spectral similarity of co-occurring species. On the other hand, the fusion of multi-source remote sensing features (i.e., spectral, textural, and geometric features) likely provides a promising solution for achieving accurate, fine-scale grass species mapping in biodiverse ecosystems. In this study, we developed a wetland grass species mapping framework integrating spectral, textural, and geometric features derived from UAV RGB and multispectral imagery. Using a dataset of 95,880 image objects representing 24 wetland grass species classes collected in two years in Dajiu Lake National Wetland Park of China, we evaluated three machine learning algorithms—Support Vector Machine (SVM), Random Forest (RF), and eXtreme Gradient Boosting (XGBoost)—across various feature combinations. We found that while spectral features (i.e., red edge, normalized green–red difference index [NGRDI], and normalized difference vegetation index [NDVI]) (related to leaf pigment concentrations and cellular structures) exhibited the highest importance in wetland grass species mapping, textural (i.e., contrast) and geometric features (i.e., aspect ratio) significantly enhanced classification performance as complementary information, yielding improvements of up to 10.5% in overall accuracy (OA) and 0.103 in Macro-F1 scores. Specifically, the fusion of spectral, textural, and geometric features achieved optimal performance with an OA of 81.9% and a Macro-F1 of 0.807. Furthermore, the XGBoost model outperformed SVM and RF, improving OA by 9.4% and 2.8%, and Macro-F1 by 0.08 and 0.035, respectively. By identifying the optimal feature combination and machine learning algorithm, this study establishes an accurate method for wetland grass species mapping, offering new opportunities for ecological assessment and precision conservation in biodiverse landscapes. Full article
(This article belongs to the Special Issue Quantitative Remote Sensing of Vegetation and Its Applications)
Show Figures

Figure 1

28 pages, 7529 KB  
Article
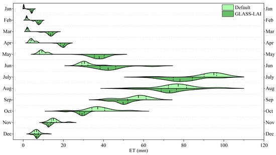
Integrating GLASS LAI into the SWAT Model for Improved Hydrological Simulation in Semi-Arid Regions
by Xun Zhang, Yanan Jiang, Ting Yan, Kun Xie, Ping Li, Jiping Niu, Kexin Li and Xiaojun Wang
Agronomy 2026, 16(6), 639; https://doi.org/10.3390/agronomy16060639 - 18 Mar 2026
Viewed by 60
Abstract
The Soil and Water Assessment Tool (SWAT) model has been widely used to simulate ecohydrological processes in watersheds. However, the SWAT model uses a simplified Environmental Policy Impact Climate (EPIC) model to simulate the leaf area index (LAI), creating a critical gap in [...] Read more.
The Soil and Water Assessment Tool (SWAT) model has been widely used to simulate ecohydrological processes in watersheds. However, the SWAT model uses a simplified Environmental Policy Impact Climate (EPIC) model to simulate the leaf area index (LAI), creating a critical gap in accurately simulating evapotranspiration (ET) and runoff in semi-arid regions. This work aims to fill this gap by modifying the SWAT source code to integrate high-resolution Global Land Surface Satellite (GLASS) leaf area index (LAI) data. The modified version was applied to the semi-arid Wuding River Basin and calibrated using a Fortran-based dynamic dimension search (DDS) algorithm. The results show a relatively significant improvement in the accuracy of the daily-scale runoff simulation (R2 from 0.52 to 0.71 and NSE from 0.52 to 0.7 for the calibration period, and R2 from 0.21 to 0.58 and NSE from 0.2 to 0.51 for the validation period). The improved version also corrects the unrealistic default LAI peak (from >5.0 to 1.5–3.0), correcting the multi-year average ET from 251.7 mm to 341.8 mm. The improved vegetation growth module of the SWAT model effectively improved the accuracy of hydrologic simulation in the semi-arid region and enhanced the structural robustness of SWAT for water management. Full article
Show Figures

Figure 1

21 pages, 4081 KB  
Article
A Scalable Method to Delineate Active River Channels and Quantify Cross-Sectional Morphology from Multi-Sensor Imagery in Google Earth Engine Using the Photo Intensive System for Channel Observation (PISCO)
by Víctor Garrido, Diego Caamaño, Daniel White, Hernán Alcayaga and Andrew W. Tranmer
Remote Sens. 2026, 18(6), 920; https://doi.org/10.3390/rs18060920 - 18 Mar 2026
Viewed by 65
Abstract
Active Channel Width (ACW) provides a robust indicator for tracking river corridor dynamics, yet automated extraction from multisensory imagery remains limited by spatial and temporal variability in spectral conditions. We developed and validated a workflow in Google Earth Engine (GEE) to delineate the [...] Read more.
Active Channel Width (ACW) provides a robust indicator for tracking river corridor dynamics, yet automated extraction from multisensory imagery remains limited by spatial and temporal variability in spectral conditions. We developed and validated a workflow in Google Earth Engine (GEE) to delineate the active channel using multispectral indices derived from annual composite Landsat and Sentinel-2 imagery. The indices include the Modified Normalized Difference Water Index (MNDWI), Normalized Difference Vegetation Index (NDVI), and Enhanced Vegetation Index (EVI). The 34 km study segment of the Lircay River (Chile) served as a demonstration site undergoing substantial geomorphic change over a 20-year period (2003–2023) that spanned a decade-long mega drought (2010–2023) and two major floods (2006, 2023). Multispectral index thresholds were calibrated using manually digitized active channel polygons for a reference year and validated for five different years within the study period to assess their spatial transferability across reaches and temporal stability under varying hydrologic regimes. Sentinel-2 annual composites with the MNDWI-EVI pairing achieved the highest overall accuracy in estimating ACW (mean Kling-Gupta Efficiency = 0.72; Percent Bias = 12.69 across study reaches). Threshold values were tested at the cross-sectional and reach scales. Using cross-section-specific thresholds enhanced the accuracy of ACW estimation, indicating that threshold performance is strongly conditioned by the local characteristics present in the immediate surroundings of each cross section. These results suggest that spectral threshold selection is sensitive to small scale factors that vary across the river corridor, underscoring the need to explicitly consider local geomorphic and ecological conditions when defining thresholds. This reproducible, open-source workflow links automated channel delineation with cross-section-based morphology and explicitly quantifies uncertainty from spatiotemporal spectral variability. It enables high-resolution, repeatable measurements of river corridor change and underscores the need to consider evolving spectral and vegetation conditions when interpreting remotely sensed geomorphic indicators. Full article
Show Figures

Figure 1

20 pages, 14840 KB  
Article
Integrated Multi-Hazard Risk Assessment for Delhi with Quantile-Regressed LightGBM and SHAP Interpretation
by Saurabh Singh, Sudip Pandey, Ankush Kumar Jain, Ashraf Mousa, Fahdah Falah Ben Hasher and Mohamed Zhran
Land 2026, 15(3), 488; https://doi.org/10.3390/land15030488 - 18 Mar 2026
Viewed by 79
Abstract
Rapid urbanization, environmental degradation and climate variability are intensifying the exposure of urban populations to multiple, interacting hazards in megacities. In India’s capital, Delhi, extreme heat, worsening air quality and flood-related stress overlap in impacted areas, exacerbated by high population density in low-lying [...] Read more.
Rapid urbanization, environmental degradation and climate variability are intensifying the exposure of urban populations to multiple, interacting hazards in megacities. In India’s capital, Delhi, extreme heat, worsening air quality and flood-related stress overlap in impacted areas, exacerbated by high population density in low-lying zones and extensive built-up cover. This study develops an integrated spatial framework for assessing relative multi-hazard risk potential in Delhi by combining remote sensing, climate reanalysis, land use and demographic datasets into a predictive modeling system to support urban resilience planning. A comprehensive suite of twenty-two predictors representing thermal stress, air quality, surface indices, topography, hydrology, land use land cover (LULC), and demographic data was derived from diverse Earth observation sources. A cloud-native workflow leveraging Google Earth Engine (GEE) and Python 3 harmonized these predictors to train a Light Gradient Boosting Machine (LightGBM) model with five-fold spatial cross-validation. Quantile regression was used to estimate lower (P10) and upper (P90) predictive bounds, which are interpreted here as empirical predictive intervals around the modeled risk surface rather than as a strict separation of different uncertainty types, while SHapley Additive exPlanations (SHAP) decomposed the non-linear contributions of individual features. The model achieved predictive accuracy (R2 = 0.98, MAE = 0.01), with residuals centered near zero and consistent performance across spatial folds, demonstrating strong generalizability. Road density (63.4%) and population density (25.9%) emerged as the primary predictors of the modeled risk surface, followed by building density and NO2 concentration. Conversely, vegetation cover (NDVI) functioned as a critical mitigating buffer. Spatial risk maps identified persistent high-risk clusters in eastern and northeastern Delhi, coinciding with dense transport networks and industrial zones. The integrated P90 mapping framework provides spatially explicit and uncertainty-aware information on relative multi-hazard risk potential to guide targeted interventions, such as transport corridor mitigation and urban greening in Delhi and other rapidly urbanizing cities. Full article
Show Figures

Figure 1

22 pages, 2751 KB  
Article
Cascaded Thermal Storage for Low-Carbon Heating: An Air-Assisted Ground-Source Heat Pump with Zoned Boreholes in a Cold-Climate Building
by Peiqiang Chen, Zhuozhi Wang and Yuanfang Liu
Processes 2026, 14(6), 958; https://doi.org/10.3390/pr14060958 - 17 Mar 2026
Viewed by 111
Abstract
The pursuit of carbon neutrality demands advanced low-carbon energy processes and their effective integration into building systems. Ground-source heat pumps (GSHPs) offer a key pathway for decarbonizing heating, yet their cold-climate application is compromised by soil thermal imbalance, which degrades their long-term efficiency. [...] Read more.
The pursuit of carbon neutrality demands advanced low-carbon energy processes and their effective integration into building systems. Ground-source heat pumps (GSHPs) offer a key pathway for decarbonizing heating, yet their cold-climate application is compromised by soil thermal imbalance, which degrades their long-term efficiency. This study proposes and evaluates an innovative air-assisted GSHP system that integrates a vegetable greenhouse with a zoned borehole configuration for seasonal thermal storage to achieve carbon neutrality. The system segregates boreholes into core and peripheral zones to establish a controlled soil temperature gradient, enabling cascaded heat storage and thermal optimization. A comprehensive year-long field test was conducted on a residential building in Harbin, China. The results demonstrate that the system reliably maintains comfortable indoor conditions during severe winters, achieving average seasonal COPs of 3.82 for the heat pump unit and 2.85 for the overall system. The zoned operation strategy successfully generated a significant intra-field soil temperature gradient, with a maximum differential of 5.9 °C between the core and peripheral boreholes during charging. The measured heat extraction-to-storage ratio was 0.598, confirming effective cascaded utilization. From an environmental perspective aligned with low-carbon energy technologies, the system achieves annual savings of 8.66 tons of standard coal and a net CO2 reduction of 1.3 tons when accounting for regional grid carbon intensity. This research provides empirical validation and practical design guidance for implementing efficient GSHP systems in severely cold regions, thereby contributing substantively to building sector decarbonization. Full article
Show Figures

Figure 1

27 pages, 16838 KB  
Article
Spatiotemporal Evolution of Drought and Its Multi-Factor Driving Mechanisms in Xinjiang During 1981–2020
by Xuchuang Yu, Siguo Liu, Anni Deng, Runsen Li, Xiaotao Hu, Ping’an Jiang and Ning Yao
Agriculture 2026, 16(6), 669; https://doi.org/10.3390/agriculture16060669 - 15 Mar 2026
Viewed by 133
Abstract
Drought is a highly destructive natural disaster that inflicts severe economic losses. Its formation mechanisms are complex, yet existing studies have often focused on single driving factors, leaving the synergistic effects of multiple factors insufficiently explored. Based on multi-source data from Xinjiang spanning [...] Read more.
Drought is a highly destructive natural disaster that inflicts severe economic losses. Its formation mechanisms are complex, yet existing studies have often focused on single driving factors, leaving the synergistic effects of multiple factors insufficiently explored. Based on multi-source data from Xinjiang spanning 1981–2020, this study systematically examined the combined impacts of atmospheric circulation, underlying surface conditions, and human activities on drought, using the multi-temporal-scale Standardized Precipitation Evapotranspiration Index (SPEI) and Standardized Soil Moisture Index (SSI), along with partial correlation analysis, spatial autocorrelation, and principal component analysis. The results show that Xinjiang experienced a pronounced drying trend over the past 40 years, with the seasonal SPEI and SSI both exhibiting significant declines. Drought intensity was higher in northern Xinjiang than in the south. Correlations between drought indices and circulation indices, such as Atlantic Multidecadal Oscillation (AMO), were relatively weak, indicating a limited regulatory influence of large-scale circulation on regional drought under the dual constraints of topography and an inland setting. Among underlying surface factors, slope significantly influenced drought spatial patterns. Mountainous areas and basin interiors showed positive spatial correlations, characterized respectively by high–high clustering (high slope and high drought index) and low–low clustering (low slope and low drought index). In contrast, basin margins exhibited low–high clustering (low slope surrounded by high drought index), reflecting negative spatial correlation. Aspect showed no significant effect. Vegetation cover displayed clear seasonal coupling with drought, with strong negative correlations in spring due to intensified water stress. Human activities also played a prominent role. Since the mid-1990s, the expansion of built-up land and increased agricultural water use have shifted drought–land use relationships toward low–high clustering (low drought index surrounded by high land-use intensity) in southern Xinjiang oases, and toward low–low clustering (low drought index and low land-use intensity) in eastern Xinjiang. Meanwhile, ecological restoration projects promoted a transition from low–high to high–high clustering (high drought index and high land-use intensity) in some areas, alleviating local drying trends. Principal component analysis further revealed a shift in the dominant driver: land-use change was the primary factor before 2005, whereas vegetation cover became the key driver thereafter. By clarifying the mechanisms underlying multi-factor interactions in drought in Xinjiang, this study provides scientific support for integrated water resource management, ecological conservation, and climate adaptation strategies in arid regions. Full article
(This article belongs to the Section Artificial Intelligence and Digital Agriculture)
Show Figures

Figure 1

20 pages, 6988 KB  
Article
A Scalable GEOBIA Framework for Urban Landscape Monitoring with Sentinel-2 Data: A Case Study in Hue City, Vietnam
by Md Abdul Mueed Choudhury, Giuseppe Modica, Salvatore Praticò and Ernesto Marcheggiani
Earth 2026, 7(2), 51; https://doi.org/10.3390/earth7020051 - 15 Mar 2026
Viewed by 108
Abstract
The Copernicus Sentinel-2 (S2) data are a crucial resource for urban policymakers in land-cover classification, offering a freely accessible alternative to expensive commercial data sources. While medium spatial resolution often limits the applicability of data-intensive machine learning approaches, the Geographic Object-Based Image Analysis [...] Read more.
The Copernicus Sentinel-2 (S2) data are a crucial resource for urban policymakers in land-cover classification, offering a freely accessible alternative to expensive commercial data sources. While medium spatial resolution often limits the applicability of data-intensive machine learning approaches, the Geographic Object-Based Image Analysis (GEOBIA) framework could be an effective, operational alternative for urban land-cover classification using S2 data. This study applies the Geographic Object-Based Image Analysis (GEOBIA) approach to classify land cover in Hue, Vietnam, using Sentinel-2 data processed through the eCognition interface. The study’s findings emphasize the potential of GEOBIA and S2 data in enhancing decision-making processes for city authorities, ensuring better resource allocation, environmental protection, and infrastructure development. The results indicate that the method performs reliably for mesoscale and spatially continuous classes, such as vegetation and built-up surfaces, while accuracy is lower for small or spectrally heterogeneous features, particularly shallow water bodies and fragmented rice paddies, due to mixed-pixel effects inherent in 10–20 m resolution imagery. The results demonstrate an Overall Accuracy (OA) of 91%, highlighting the method’s effectiveness in extracting and classifying urban land-cover classes. This study demonstrates a replicable model for urban land monitoring that can be adapted across various geographic contexts. Furthermore, this approach fosters a more data-driven governance model, where urban expansion and land-use changes can be monitored in real time, allowing for proactive interventions. With urbanization accelerating worldwide, particularly in rapidly developing regions, such a cost-effective and accessible classification method can significantly aid in achieving long-term urban sustainability. The findings illustrate the relevance of GEOBIA as a feasible tool for supporting data-driven urban governance, enabling systematic tracking of land-use change, informed infrastructure planning, and sustainable urban management in both developed and rapidly urbanizing regions. Full article
Show Figures

Figure 1

19 pages, 6662 KB  
Article
Natural H2 Emanations in the Rio de la Plata Craton, First Data
by Isabelle Moretti, Alain Prinzhofer and Vincent Roche
Geosciences 2026, 16(3), 120; https://doi.org/10.3390/geosciences16030120 - 14 Mar 2026
Viewed by 184
Abstract
This study presents the first comprehensive soil gas survey across southern Uruguay’s H2 prospective terranes. A pre-field trip selection was done on the basement rock nature, as well as vegetation anomalies in subcircular depressions and fault presence. The Neoproterozoic terrane, north of [...] Read more.
This study presents the first comprehensive soil gas survey across southern Uruguay’s H2 prospective terranes. A pre-field trip selection was done on the basement rock nature, as well as vegetation anomalies in subcircular depressions and fault presence. The Neoproterozoic terrane, north of Punta del Este, and the Archean Rio de la Plata Craton, north of Montevideo, as well as along the suture zones between the two, were targeted. Our findings reveal substantial H2 concentrations, significantly outperforming many established basins worldwide. The suture zones act as critical migration conduits for H2 coming from a deeper structural level. Slightly abnormal helium signatures confirm an active, deep-sourced fluid system, particularly within the Sierra Ballena and Cordillera shear zones. The Archean Rio de la Plata Craton appears promising but has only been partially sampled and warrants further investigation. These results underscore the high potential of Uruguay as a new frontier for natural hydrogen exploration. Full article
Show Figures

Figure 1

17 pages, 3905 KB  
Article
UAV Multispectral Imagery Combined with Canopy Vertical Layering Information for Leaf Nitrogen Content Inversion in Cotton
by Kaixuan Li, Chunqi Yin, Yangbo Ye, Xueya Han and Sanmin Sun
Agronomy 2026, 16(6), 607; https://doi.org/10.3390/agronomy16060607 - 12 Mar 2026
Viewed by 212
Abstract
Leaf nitrogen concentration (LNC) exhibits pronounced vertical heterogeneity across canopy layers, which affects the accuracy of nitrogen diagnosis derived from UAV-based remote sensing imagery. To address the differential contributions of leaf nitrogen from distinct canopy strata and the limitations associated with single-source features, [...] Read more.
Leaf nitrogen concentration (LNC) exhibits pronounced vertical heterogeneity across canopy layers, which affects the accuracy of nitrogen diagnosis derived from UAV-based remote sensing imagery. To address the differential contributions of leaf nitrogen from distinct canopy strata and the limitations associated with single-source features, this study proposes an integrated framework that combines cumulative LNC indicators across canopy layers with multi-source feature sets (vegetation indices and texture features). Centered on three core technical innovations—(1) incorporating canopy-layer aggregation logic into LNC modeling, (2) integrating spectral and structural information through CNN-based feature fusion, and (3) combining deep feature extraction with gradient boosting regression to improve robustness under multi-stage conditions—the framework systematically evaluates three machine learning algorithms: Random Forest (RF), a Convolutional Neural Network–Extreme Gradient Boosting hybrid model (CNN_XGBoost), and K-Nearest Neighbor (KNN) for cotton LNC estimation across multiple growth stages. The results demonstrate that cumulative canopy-layer nitrogen indicators more effectively represent overall plant nitrogen status than single-layer measurements. The integration of multi-source features further enhances model performance. Under both single-variable inputs and combined VI–TF feature sets, the CNN_XGBoost model consistently outperforms the other models in calibration accuracy and stability across all growth stages. Its optimal performance occurs during the cotton flowering and boll stage, achieving a calibration R2 of 0.921. Overall, the proposed framework substantially improves the estimation accuracy of cotton LNC and provides both a theoretical foundation and technical support for precision nitrogen management and sustainable agricultural development. Full article
(This article belongs to the Section Precision and Digital Agriculture)
Show Figures

Figure 1

18 pages, 1270 KB  
Article
Phenotypic Diversity and Ideotype Structuring in a Segregating Population of Stevia rebaudiana Derived from Cv. ‘Morita II’
by Luis Alfonso Rodríguez-Páez, Ana Melisa Jimenez-Ramirez, Jenry Rafael Hernandez Murillo, Hermes Araméndiz-Tatis, Alfredo Jarma-Orozco, Yirlis Yadeth Pineda-Rodriguez, Juan de Dios Jaraba-Navas, Enrique Combatt-Caballero, Maria Ileana Oloriz-Ortega and Novisel Veitía Rodríguez
Diversity 2026, 18(3), 175; https://doi.org/10.3390/d18030175 - 11 Mar 2026
Viewed by 247
Abstract
Intraspecific phenotypic diversity in clonally propagated crops is frequently constrained by narrow domestication histories and the widespread use of a limited number of elite cultivars. In Stevia rebaudiana, commercial production has largely centred on cv. ‘Morita II’, raising concerns about reduced diversity [...] Read more.
Intraspecific phenotypic diversity in clonally propagated crops is frequently constrained by narrow domestication histories and the widespread use of a limited number of elite cultivars. In Stevia rebaudiana, commercial production has largely centred on cv. ‘Morita II’, raising concerns about reduced diversity and adaptive potential. This study characterised and structured phenotypic diversity within a segregating population derived from ‘Morita II’ under tropical field conditions. Eighty-six progeny-derived genotypes (clonally propagated) plus the commercial control (87 genotypes total) were evaluated using 25 agromorphological descriptors (qualitative and quantitative). Quantitative traits showed broad variation, including plant height (28.26–119.50 cm) and dry yield rate (0.94–28.55 g plant−1). Multivariate analyses of mixed descriptors (PCA and hierarchical clustering based on Gower distance) identified plant architecture, vegetative growth, and phenology as the main sources of differentiation. The first two principal components explained 19.65% and 12.58% of total phenotypic variance, respectively (32.23% cumulative). Hierarchical clustering (UPGMA; dissimilarity cut-off = 0.25) resolved four phenotypic groups (GI–GIV) with sizes n = 3, 1, 66, and 17, respectively, enabling the definition of contrasting ideotype candidates based on recurrent trait combinations. These results provide a quantitative baseline for phenotypic structuring, prioritization of materials for further evaluation, and management of clonal stevia collections in tropical production systems. These ideotype candidates should be considered preliminary until validated across environments and linked to chemical quality traits. Full article
(This article belongs to the Special Issue Genetic Diversity, Breeding and Adaption Evolution of Plants)
Show Figures

Graphical abstract

27 pages, 1633 KB  
Review
The Role of Different Dietary Fibers in Modulating Human Gut Microbiota
by Subir Das, CheKenna J. Fletcher and Ying Wu
Nutraceuticals 2026, 6(1), 18; https://doi.org/10.3390/nutraceuticals6010018 - 11 Mar 2026
Viewed by 614
Abstract
Dietary fiber (DF) has a profound influence on human health mainly by modulating the gut microbiota. This review provides an overview of DF derived from cereals, legumes, fruits, vegetables, fungi, and seaweeds, specifically addressing the relationship between microbial utilization and source-specific structural characteristics [...] Read more.
Dietary fiber (DF) has a profound influence on human health mainly by modulating the gut microbiota. This review provides an overview of DF derived from cereals, legumes, fruits, vegetables, fungi, and seaweeds, specifically addressing the relationship between microbial utilization and source-specific structural characteristics (such as linking patterns, conformation, solubility, and fermentability). Due to these structural properties, different DFs display selective microbial responses that favor fermentation and the production of short-chain fatty acids (SCFAs). These microbial responses and fermentation-derived metabolites associated with DF intake may contribute to reduced risk of obesity, diabetes, inflammatory bowel disease, and other chronic disorders. This review does not address the trial heterogeneity, dose response, safety, and conflicting evidence, and much of the available evidence is largely observational and heterogeneous. Future studies should focus on dose–response trials of defined DF structures with standardized microbiome and metabolomic endpoints, including validation in human interventions. This review summarizes the DF source and structure, selective changes in the microbiota across various study types, including in vitro, animal models, and human studies, and how these relate to overall health. Full article
(This article belongs to the Special Issue Feature Review Papers in Nutraceuticals)
Show Figures

Graphical abstract

Back to TopTop