Sign in to use this feature.

Years

Between: -

Subjects

remove_circle_outline
remove_circle_outline
remove_circle_outline
remove_circle_outline
remove_circle_outline
remove_circle_outline
remove_circle_outline
remove_circle_outline
remove_circle_outline

Journals

remove_circle_outline
remove_circle_outline
remove_circle_outline
remove_circle_outline
remove_circle_outline
remove_circle_outline
remove_circle_outline
remove_circle_outline
remove_circle_outline
remove_circle_outline

Article Types

Countries / Regions

remove_circle_outline
remove_circle_outline
remove_circle_outline
remove_circle_outline

Search Results (427)

Search Parameters:
Keywords = valve-less

Order results
Result details
Results per page
Select all
Export citation of selected articles as:
22 pages, 3287 KB  
Article
Energy-Efficient Actuator Concept for Two-Speed Transmissions in Battery Electric Vehicles
by Jonas Brauer, Hannes Bohne and Jens Falkenstein
World Electr. Veh. J. 2026, 17(1), 12; https://doi.org/10.3390/wevj17010012 - 24 Dec 2025
Abstract
Two-speed transmissions can improve battery electric vehicle (BEV) drivetrain efficiency. However, the additional losses caused by shifting actuators offset these efficiency gains. Particularly hydraulic actuated wet running multi-plate clutches, which enable powershifts, typically require rotary feedthroughs. Commonly used rectangular sealing rings (RSR) demand [...] Read more.
Two-speed transmissions can improve battery electric vehicle (BEV) drivetrain efficiency. However, the additional losses caused by shifting actuators offset these efficiency gains. Particularly hydraulic actuated wet running multi-plate clutches, which enable powershifts, typically require rotary feedthroughs. Commonly used rectangular sealing rings (RSR) demand continuous hydraulic power due to leakage and cause friction torque. This leads to high RSR temperatures, especially at high angular velocities of electric machines. This article introduces a two-speed BEV transmission concept using wet running multi-plate clutches actuated via a rotating 5/3-way valve that can shut off, i.e., lock up the actuating pressure directly in the rotating system. Consequently, the rotary feedthrough is depressurized and contactless gap seals are usable. This reduces supply pressure requirements and minimizes hydraulic and friction losses while retaining powershift capability. Component-level tests evaluate leakage, pressure shut off, actuator dynamics and power consumption. Results show that actuating pressure in a shut-off clutch is maintained for longer than 60 min and electrical actuator power consumption is less than 20 W. During overlapping gearshifts, gap seal leakage is less than 1 L/min at 10 bar and sufficient pressure dynamics are achieved. These findings confirm the feasibility of the proposed actuator for multi-plate clutches in two-speed BEV transmissions. Full article
(This article belongs to the Section Propulsion Systems and Components)
19 pages, 1872 KB  
Review
Radiation-Induced Valvular Heart Disease: A Narrative Review of Epidemiology, Diagnosis and Management
by Andreea-Mădălina Varvara, Cătălina Andreea Parasca, Vlad Anton Iliescu and Ruxandra Oana Jurcuț
J. Cardiovasc. Dev. Dis. 2026, 13(1), 1; https://doi.org/10.3390/jcdd13010001 - 19 Dec 2025
Viewed by 261
Abstract
Mediastinal radiotherapy plays a central role in the treatment of several malignancies, particularly Hodgkin lymphoma and breast cancer. However, exposure to thoracic radiation is associated with long-term cardiovascular complications, among which valvular heart disease (VHD) is increasingly recognized. Radiation-induced VHD typically presents after [...] Read more.
Mediastinal radiotherapy plays a central role in the treatment of several malignancies, particularly Hodgkin lymphoma and breast cancer. However, exposure to thoracic radiation is associated with long-term cardiovascular complications, among which valvular heart disease (VHD) is increasingly recognized. Radiation-induced VHD typically presents after a latency period of 10–20 years and is characterized by progressive valve fibrosis, thickening, and calcification, most commonly affecting the left-sided valves. Management of radiation-induced VHD generally follows standard guidelines but remains challenging due to extensive calcification and coexisting radiation-related cardiac or pulmonary injury. A history of thoracic radiotherapy is associated with increased perioperative risk and may negatively impact surgical outcomes, which often alters the risk–benefit balance and favors less invasive therapeutic approaches. Advances in the transcatheter approach have expanded treatment options for this high-risk population; however, data on long-term outcomes remain limited. Evolving dose-reduction techniques, such as deep-inspiration breath-hold, intensity-modulated radiotherapy, and proton therapy, together with predictive dosimetric models, aim to minimize future cardiac toxicity. Given the delayed onset and progressive nature of radiation-associated VHD, structured long-term surveillance is essential to enable early detection and timely intervention in cancer survivors at risk. Full article
Show Figures

Graphical abstract

24 pages, 5947 KB  
Article
Optimizing Performance of Pressure-Independent Control Valve for Hydronic Systems in Buildings
by Beungyong Park, Joowook Kim, Joonki Min and Taeyon Hwang
Buildings 2025, 15(24), 4569; https://doi.org/10.3390/buildings15244569 - 18 Dec 2025
Viewed by 157
Abstract
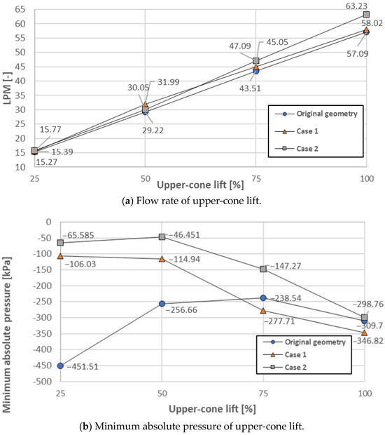
This study proposes the shape of a pressure-independent control valve (PICV) that minimizes the pressure drop to improve the flow performance of PICVs through target value modeling in accordance with the opening rate of the PICV. The model was verified by comparing the [...] Read more.
This study proposes the shape of a pressure-independent control valve (PICV) that minimizes the pressure drop to improve the flow performance of PICVs through target value modeling in accordance with the opening rate of the PICV. The model was verified by comparing the experimental values of the PICV at different opening rates with the flow rate and pressure drop based on computational fluid dynamics (CFD) modeling, and CFD simulations were performed based on the PICV opening rate and the improved model shape. The comparison between the PICV experimental values and the CFD modeling values indicated a flow rate difference of less than 4.65%, thus proving that the model satisfies the target flow rate. Based on this result, the PICV model was improved so that the minimum absolute pressure was increased and the pressure drop was decreased compared to the existing valve shape. Consequently, the energy requirements of the heating, ventilation, and air conditioning pumps of the building can be reduced, as there is no requirement for pressure drops, allowing the valve to operate without increasing the saturated vapor pressure. Full article
(This article belongs to the Special Issue Modeling and Simulation of Building Energy System)
Show Figures

Figure 1

22 pages, 4698 KB  
Article
Energy-Aware Validation of the PIDA Control in the Hardware-in-the-Loop Environment
by Marcin Jabłoński and Paweł D. Domański
Energies 2025, 18(24), 6582; https://doi.org/10.3390/en18246582 - 17 Dec 2025
Viewed by 106
Abstract
The goal of this work is to compare the effectiveness of the classical PID (Proportional Integral Derivative) controller and its extended PIDA (Proportional Integral Derivative Acceleration) version in the energy-aware context. A control system is applied to the high-order integrating system of three [...] Read more.
The goal of this work is to compare the effectiveness of the classical PID (Proportional Integral Derivative) controller and its extended PIDA (Proportional Integral Derivative Acceleration) version in the energy-aware context. A control system is applied to the high-order integrating system of three cascaded interconnected tanks. A complete process model of a real plant is developed in the MATLAB/Simulink environment, and system identification is carried out using PRBS signals. Hardware-in-the-Loop validation experiments use a real industrial PLC controller. The analysis addresses process variable filtering, the Smith predictor, and compensation for valve nonlinearities. The research focuses not only on control performance but also on the usage of actuators, aiming at energy-aware control. The paper proves that a properly tuned PIDA controller, particularly with a correctly configured acceleration term with appropriate filtering, provides a significant improvement in control quality and disturbance rejection. Such a system allows for the introduction and highlighting of the energy-aware context in industrial control engineering. Energy-aware control allows one not only to use less energy in control but also to lower the actuator’s operating hours, reducing its maintenance costs. Full article
(This article belongs to the Special Issue Digital Modeling, Operation and Control of Sustainable Energy Systems)
Show Figures

Figure 1

17 pages, 611 KB  
Review
Prosthesis–Patient Mismatch Following Aortic Valve Replacement—A Comprehensive Review
by Sriharsha Talapaneni, Danial Ahmad, Meghna Khandelwal, Monica Mesiha, Pooya Jalali, Nafiye Busra Celik, Sair Ahmad Tabraiz, Sedem Dankwa, Irbaz Hameed, Rita Milewski and Prashanth Vallabhajosyula
J. Clin. Med. 2025, 14(24), 8868; https://doi.org/10.3390/jcm14248868 - 15 Dec 2025
Viewed by 219
Abstract
Objective: Prosthesis–patient mismatch (PPM) occurs after aortic valve replacement (AVR) when the effective orifice area of the implanted prosthetic valve is small relative to the patient’s body surface area. Beyond simply elevating transvalvular gradient, PPM profoundly affects cardiac remodeling, coronary physiology, and ultimately [...] Read more.
Objective: Prosthesis–patient mismatch (PPM) occurs after aortic valve replacement (AVR) when the effective orifice area of the implanted prosthetic valve is small relative to the patient’s body surface area. Beyond simply elevating transvalvular gradient, PPM profoundly affects cardiac remodeling, coronary physiology, and ultimately patient survival. This comprehensive review synthesizes current evidence regarding PPM pathophysiology, clinical consequences, and therapeutic strategies. Methods: We conducted a narrative review of PPM in surgical (SAVR) and transcatheter (TAVR) aortic valve replacement. PubMed and Embase were systematically searched using terms related to AVR and PPM and reference lists of key studies and reviews were screened. Studies addressing PPM prevalence, hemodynamic impact, clinical outcomes, and mitigation strategies were included. Results: PPM, defined as an iEOA ≤ 0.85 cm2/m2 (moderate) or ≤0.65 cm2/m2 (severe), demonstrates variable prevalence across studies, typically ranging from 5 to 30% after SAVR and 2–35% after TAVR. It is associated with increased transvalvular gradients, reduced left ventricular mass regression, persistent coronary flow abnormalities, higher rates of heart failure, and both early and late mortality. Supra-annular self-expanding transcatheter aortic valve replacement (TAVR) devices and newer generation stentless or bovine pericardial surgical valves exhibit lower PPM rates than older stented or porcine valves. Valve-in-valve (ViV) TAVR and bioprosthetic valve fracture (BVF) can improve outcomes in failed surgical valves but are less effective in small annuli. TAVR-in-TAVR procedures are limited by anatomic and technical constraints, especially in maintaining coronary access and minimizing residual gradients. Conclusions: PPM remains a common and clinically consequential complication of AVR that compromises long-term outcomes. It is largely preventable through accurate preoperative imaging, valve sizing, and consideration of annular enlargement. Optimal outcomes require matching valve characteristics to individual patient anatomy and physiology. In an era of expanding TAVR use, preventing PPM during the index procedure is critical to optimizing survival and preserving future reintervention options. Full article
Show Figures

Graphical abstract

10 pages, 440 KB  
Systematic Review
Open Heart Mitral Valve Replacement Using Transcatheter Heart Valves for Severe Mitral Annular Calcification—A Literature Review
by Michele D’Alonzo, Massimo Baudo, Francesco Cabrucci, Francesca Maria di Muro, Dimitrios E. Magouliotis, Beatrice Bacchi, Arian Arjomandi Rad, Andrew Xanthopoulos and Tulio Caldonazo
J. Cardiovasc. Dev. Dis. 2025, 12(12), 491; https://doi.org/10.3390/jcdd12120491 - 12 Dec 2025
Viewed by 266
Abstract
Mitral annular calcification makes conventional mitral valve surgery extremely challenging and has led to growing interest in less invasive alternatives such as transcatheter mitral valve replacement. Alongside percutaneous approaches, some centers have explored open transatrial implantation of transcatheter heart valves in patients with [...] Read more.
Mitral annular calcification makes conventional mitral valve surgery extremely challenging and has led to growing interest in less invasive alternatives such as transcatheter mitral valve replacement. Alongside percutaneous approaches, some centers have explored open transatrial implantation of transcatheter heart valves in patients with heavily calcified annuli. This systematic review examines the current evidence on this hybrid “valve-in-MAC” technique, tracing its clinical evolution, technological refinements, patient outcomes, and ongoing debates. Key themes emerging from the literature include the adaptation of existing balloon-expandable and mitral-specific devices to the complex anatomy of calcified mitral annuli, the open transatrial approach as a safer alternative to extensive surgical debridement, and advances in imaging and device design aimed at reducing left ventricular outflow tract obstruction and paravalvular leak. Persistent uncertainties remain, particularly regarding patient selection, long-term valve performance, and comparisons with conventional surgical repair or replacement. Although open transatrial implantation appears technically feasible and provides favorable hemodynamic results compared with fully percutaneous procedures, reported 30-day mortality remains high (approximately 19–27%). This reflects the advanced age, frailty, and multiple comorbidities typical of this patient group rather than procedural shortcomings. Current evidence is limited, with few comparative studies and little data on valve durability. Future work should prioritize multicenter prospective registries and well-designed comparative studies to better define the role of this emerging salvage strategy. Full article
(This article belongs to the Special Issue State of the Art in Mitral Valve Disease)
Show Figures

Figure 1

18 pages, 2519 KB  
Article
Disproportionality Analysis of Adverse Events Associated with IL-1 Inhibitors in the FDA Adverse Event Reporting System (FAERS)
by Jingjing Lei, Zhuoran Lou, Yuhua Jiang, Yue Cui, Sha Li, Jinhao Hu, Yeteng Jing and Jinsheng Yang
Pharmaceuticals 2025, 18(12), 1827; https://doi.org/10.3390/ph18121827 - 1 Dec 2025
Viewed by 572
Abstract
Background: Interleukin-1 (IL-1) inhibitors are approved for the treatment of various inflammatory diseases associated with immune system abnormalities. However, large-scale real-world studies to assess their security are still limited. Therefore, a pharmacovigilance study was conducted based on the data from the U.S. [...] Read more.
Background: Interleukin-1 (IL-1) inhibitors are approved for the treatment of various inflammatory diseases associated with immune system abnormalities. However, large-scale real-world studies to assess their security are still limited. Therefore, a pharmacovigilance study was conducted based on the data from the U.S. Food and Drug Administration (FDA) Adverse Event Reporting System (FAERS). Methods: Adverse events (AEs) linked to IL-1 inhibitors were analyzed using the FAERS database from Q1 2004 to Q3 2024. Risk signals were identified through disproportionality analysis algorithms, including reporting odds ratio (ROR), proportional reporting ratio (PRR), Bayesian confidence propagation neural network (BCPNN), and multi-item gamma Poisson shrinker (MGPS). Results: Among 17,670 AE reports where an IL-1 inhibitor was the “primary suspected” drug, 27 significant system organ classes (SOCs) were identified. Notable signals included infections and infestations (ROR: 2.31, 95% CI: 2.25–2.37) and congenital, familial, and genetic disorders (ROR: 2.26, 95% CI: 2.05–2.48). At the preferred term (PT) level, 263 significant AE signals were detected, such as pyrexia (ROR: 5.27, 95% CI: 5.03–5.53), nasopharyngitis (ROR: 2.31, 95% CI: 2.10–2.54), and injection site erythema (ROR: 6.09, 95% CI: 5.67–6.55). Importantly, we also identified less common or previously unreported AEs, including cardiac disorders (e.g., postural orthostatic tachycardia syndrome with anakinra; pulmonary valve incompetence with rilonacept) and endocrine disorders (e.g., secondary adrenocortical insufficiency with canakinumab). Furthermore, 36.33% of cases emerged after more than 360 days of treatment with IL-1 inhibitors. Conclusions: This study revealed real-world safety data on IL-1 inhibitors, providing important insights to enhance the clinical use of IL-1 inhibitors and minimize potential AEs. Full article
(This article belongs to the Section Pharmacology)
Show Figures

Graphical abstract

12 pages, 412 KB  
Article
Epidemiological Characteristics of Pediatric Patients with Intestinal Failure in Spain: Data from the REPAFI Registry
by Marta Germán-Díaz, Rocío González-Sacristán, Vanessa Cabello, Javier Blasco-Alonso, Alejandro Rodríguez, Mariela de los Santos, José Vicente Arcos-Machancoses, Mercedes Murray-Hurtado, Ruth García-Romero, Rafael Galera-Martínez, Cristina Martín-Arriscado, Susana Redecillas-Ferreiro, José Manuel Moreno-Villares and Esther Ramos-Boluda
Nutrients 2025, 17(23), 3768; https://doi.org/10.3390/nu17233768 - 30 Nov 2025
Viewed by 273
Abstract
Background: The paucity of data on the epidemiology of chronic intestinal failure (CIF) in pediatric patients is a matter of particular concern. The objective of this article is to provide a comprehensive description of the epidemiology of CIF in Spain, encompassing its incidence, [...] Read more.
Background: The paucity of data on the epidemiology of chronic intestinal failure (CIF) in pediatric patients is a matter of particular concern. The objective of this article is to provide a comprehensive description of the epidemiology of CIF in Spain, encompassing its incidence, geographical distribution, underlying causes, and demographic and clinical characteristics. These findings are based on data collected from the multicentre REPAFI registry. Methods: This is a national, multicentre, ambispective cohort study including patients who initiated home parenteral nutrition (HPN) between January 2015 and January 2025. The data collected encompassed various demographic details, underlying diagnoses, the type of HPN utilized, and the nutritional status of the subjects at the commencement of HPN treatment. Results: The study included 163 patients (55.2% male) from 10 hospitals. The principal cause of CIF was short bowel syndrome (SBS) in 77.3% of cases, followed by severe motility disorders (12.9%), congenital enteropathies (CE) (5.5%), and other causes (4.3%). Among patients diagnosed with SBS, necrotizing enterocolitis was identified as the most prevalent underlying cause (32.5%). The most prevalent anatomical configuration was identified as type 2 (jejuno-colic anastomosis). A significant proportion, amounting to 62.7%, exhibited a lack of an ileocecal valve (ICV), while 23% demonstrated a residual bowel length (RBL) of less than 15 centimetres. The median RBL was 35 cm (IQR: 15.7–52.5). Patients diagnosed with SBS exhibited a lower gestational age and birthweight compared with the other groups (p < 0.05). Patients diagnosed with SBS and CE exhibited a lower mean age at the onset of HPN (p < 0.05). Furthermore, patients with CE exhibited the lowest weight-for-age Z-score at the initiation of HPN (p < 0.05). Conclusions: The present study provides the first epidemiological data on the state of pediatric CIF in Spain. The most prevalent cause of CIF was SBS, with a younger age at the initiation of HPN in comparison to other published studies. Patients with CE exhibited the most severe degree of malnutrition at the initiation of HPN. Full article
(This article belongs to the Section Nutrition Methodology & Assessment)
Show Figures

Graphical abstract

15 pages, 2769 KB  
Article
Temporal Dynamics of the Association Between Acute Kidney Injury and Mortality After Transcatheter Aortic Valve Implantation: Insights from Time-Varying and Landmark Survival Analyses
by Seda Elcim Yildirim, Bahadır Akar, Berkay Palac, Hakan Bozkurt, Tarik Yildirim, Tuncay Kiris and Eyüp Avci
J. Cardiovasc. Dev. Dis. 2025, 12(12), 470; https://doi.org/10.3390/jcdd12120470 - 30 Nov 2025
Viewed by 293
Abstract
Background: Acute kidney injury (AKI) is a frequent complication following transcatheter aortic valve implantation (TAVI) and has been linked to increased mortality. However, the temporal pattern of this association remains uncertain. This study aimed to evaluate the time-dependent impact of AKI on mortality [...] Read more.
Background: Acute kidney injury (AKI) is a frequent complication following transcatheter aortic valve implantation (TAVI) and has been linked to increased mortality. However, the temporal pattern of this association remains uncertain. This study aimed to evaluate the time-dependent impact of AKI on mortality after TAVI using advanced survival analyses. Methods: We retrospectively analyzed 381 consecutive patients who underwent transfemoral TAVI between December 2016 and October 2024 at two tertiary cardiovascular centers. AKI was defined according to the Acute Kidney Injury Network (AKIN) criteria. The primary outcome was all-cause mortality. Patients were categorized into AKI and non-AKI groups. Clinical outcomes, including 30-day, 1-year, and overall mortality, were evaluated. Results: Among 381 patients who underwent TAVI, 59 (15.5%) developed AKI according to the AKIN criteria. During a 33.9 months (18.0–59.2) median follow-up of overall mortality was significantly higher in the AKI group compared with those without AKI. In the multivariate Cox regression analysis, AKI was significantly associated with long-term mortality (HR: 2.07, 95% CI 1.32–3.25; p = 0.002). The time-varying hazard ratio curve demonstrated that the excess mortality risk associated with AKI was most pronounced in the early period and gradually declined thereafter. In time-interval–specific analyses, AKI was strongly associated with mortality within the first month (HR 6.30, 95% CI 3.03–13.08, p < 0.001) and remained significant up to 12 months (HR 2.18, 95% CI 1.32–3.59, p = 0.002). Beyond the first year, this association attenuated and lost statistical significance at 12–36 months (HR 0.90, p = 0.79), 36–60 months (HR 0.57, p = 0.24), and >60 months (HR 0.43, p = 0.13). Conclusions: AKI is an important predictor of early and mid-term mortality following TAVI, but its long-term prognostic impact is less pronounced. Preventive strategies and early management of AKI may improve outcomes in this high-risk population. Full article
Show Figures

Figure 1

38 pages, 5207 KB  
Article
A Deterministic Assurance Framework for Licensable Explainable AI Grid-Interactive Nuclear Control
by Ahmed Abdelrahman Ibrahim and Hak-Kyu Lim
Energies 2025, 18(23), 6268; https://doi.org/10.3390/en18236268 - 28 Nov 2025
Viewed by 288
Abstract
Deploying deep reinforcement learning (DRL) in safety-critical nuclear control is limited less by raw performance than by the absence of licensable, audit-ready evidence. We introduce a Deterministic Assurance Framework (DTAF) that converts controller behavior into licensing-grade proof by combining the following: (i) deterministic [...] Read more.
Deploying deep reinforcement learning (DRL) in safety-critical nuclear control is limited less by raw performance than by the absence of licensable, audit-ready evidence. We introduce a Deterministic Assurance Framework (DTAF) that converts controller behavior into licensing-grade proof by combining the following: (i) deterministic licensing gates tied to formal safety and performance limits (e.g., Total Time Unsafe (TTU) = 0; bounded Transient Severity Score (TSS); and minimum Grid Load-Following Index (GLFI)); (ii) a portfolio of adversarial stress tests representative of off-nominal operation; and (iii) a traceability and explainability package that renders every evaluated action auditable. The DTAF is demonstrated on a high-fidelity pressurized-water-reactor (PWR) simulation model used as a software-in-the-loop testbed. Three governor architectures are evaluated under identical, fixed scenarios: a curriculum-trained Soft Actor–Critic (SAC) agent, and Differential-Evolution-optimized Proportional–Integral–Derivative (PID-DE) and Fuzzy-Logic (FLC-DE) Controllers. Performance is assessed deterministically via gate-aligned metrics—TTU, TSS, GLFI, cumulative control effort (CE_sum), valve-reversal count (V_rev), and speed overshoot (OS_ω). Across the adversarial portfolio, the SAC controller meets the predeclared licensing gates in single-run evaluations, whereas the strong conventional baselines violate gates in specific high-severity cases; where all methods remain within the safe envelope, the SAC delivers a higher GLFI and lower CE_sum, with fewer reversals and reduced overshoot. All licensing conclusions derive from deterministic single-run tests; a small, fixed-seed check (three seeds with descriptive intervals) is reported separately as non-licensing supplementary analysis. By producing transparent, reproducible artifacts, the DTAF offers a regulator-oriented pathway for qualifying DRL controllers in grid-interactive nuclear operations. Full article
Show Figures

Figure 1

17 pages, 6956 KB  
Article
Fabrication of Stretchable Piezoelectric Sensor with a Kirigami Design for Heart Sound Monitoring
by Xudong Zhang, Xudong Ye, Xi Lei, Hong Hu, Hai Liu, Shaobo Jin, Guoyong Ye and Tingting Zhao
Sensors 2025, 25(23), 7253; https://doi.org/10.3390/s25237253 - 28 Nov 2025
Viewed by 440
Abstract
Heart sounds contain critical information about valve activity and hemodynamics, serving as an essential basis for cardiovascular disease diagnosis. However, traditional heart sound sensors are either rigid or flexible but non-stretchable, limiting their ability to accommodate chest deformation and leading to signal distortion. [...] Read more.
Heart sounds contain critical information about valve activity and hemodynamics, serving as an essential basis for cardiovascular disease diagnosis. However, traditional heart sound sensors are either rigid or flexible but non-stretchable, limiting their ability to accommodate chest deformation and leading to signal distortion. This study proposes an easy-to-fabricate, stretchable piezoelectric heart sound sensor with a Kirigami-inspired design, a five-layer “sandwich” structure. Periodic Kirigami cuts significantly enhance stretchability while maintaining piezoelectric conversion efficiency. Finite element simulations reveal the Kirigami structure is more sensitive to hinge length and thickness than to hinge width. Electrical tests demonstrate a linear response to sound pressure, with output voltage rising from 0.11 V to 0.42 V (70–94 dB), and voltage amplitude increasing from 9 mV to 0.35 V (60–160 Hz). The sensor exhibits excellent stability, with a maximum amplitude variation of approximately 11% under 0–30% strain, a 17% voltage decrease at 11 mm bending radius, and less than 9% output fluctuation during 1200 s continuous excitation. Seven-day monitoring confirms reliable detection of the first (S1) and second (S2) heart sounds, with signals highly consistent with ECG and a commercial sensor, verifying its potential for wearable long-term monitoring and early cardiovascular disease screening. Full article
Show Figures

Figure 1

16 pages, 14053 KB  
Article
An Enhanced Active Disturbance Rejection Control for Time-Delay Compensation in Altitude Test Facility
by Hongyu Lin, Guyue Wu, Xiang Xu, Bo Feng, Chao Zhai and Hehong Zhang
Aerospace 2025, 12(12), 1057; https://doi.org/10.3390/aerospace12121057 - 27 Nov 2025
Viewed by 185
Abstract
The accurate execution of aeroengine flight environment simulation tests relies on the electro-hydraulic servo valve control system in the altitude test facility. However, time delays arising from various factors, such as friction or sensor latency, impose significant constraints on system responsiveness and control [...] Read more.
The accurate execution of aeroengine flight environment simulation tests relies on the electro-hydraulic servo valve control system in the altitude test facility. However, time delays arising from various factors, such as friction or sensor latency, impose significant constraints on system responsiveness and control precision. To address this challenge, an enhanced active disturbance rejection control has been developed. The proposed method employs an improved output prediction constructed by tracking differentiator to mitigate delay effects, introduces the Taylor compensator to more accurately capture future signal trends, and incorporates a dynamic adjustment mechanism based on error variation to optimize the parameters of the extended state observer in real time, thereby enhancing robustness under varying operating conditions. The simulation results demonstrate that under fixed-delay conditions, the proposed algorithm exhibits fast response characteristics; under varying-delay conditions, unlike model-dependent approaches, it remains less affected by delay fluctuations and maintains superior response speed and stability, thereby ensuring the accuracy of flight environment simulation tests. Full article
(This article belongs to the Section Aeronautics)
Show Figures

Figure 1

19 pages, 4389 KB  
Article
Noise-Reducing Structure Optimization of Inverted Bucket Steam Valves Based on SVM-NOA
by Shuxun Li, Yiting Wang, Dan Liu, Wei Li, Yuhao Tian and Jianwei Wang
Acoustics 2025, 7(4), 74; https://doi.org/10.3390/acoustics7040074 - 13 Nov 2025
Viewed by 333
Abstract
The inverted bucket steam valve is a key piece of equipment in steam systems. Optimizing its noise reduction performance via intelligent algorithms is crucial for enhancing the stability of steam systems. In this study, the nutcracker optimization algorithm (NOA) was investigated and improved. [...] Read more.
The inverted bucket steam valve is a key piece of equipment in steam systems. Optimizing its noise reduction performance via intelligent algorithms is crucial for enhancing the stability of steam systems. In this study, the nutcracker optimization algorithm (NOA) was investigated and improved. A simulation method coupling computational fluid dynamics (CFD) with acoustic software was employed to characterize the acoustic properties of inverted bucket steam valves equipped with noise-reducing elements of different structures. Subsequently, the structural dimensions of the valve’s noise-reducing element were optimized using a support vector machine (SVM)-based surrogate model and the improved NOA. Concurrently, experimental tests were conducted on the inverted bucket steam valve before and after optimization to validate the simulation accuracy. The experimental results demonstrate that the SVM-NOA increases the maximum transmission loss (TL) of the valve’s noise-reducing element by 44.14 dB, with the error between experimental and simulation results being less than 3%. This verifies the accuracy of the acoustic simulation method and confirms the practicality and versatility of the SVM-NOA for solving real-world engineering problems. Full article
(This article belongs to the Special Issue Vibration and Noise (2nd Edition))
Show Figures

Figure 1

14 pages, 6106 KB  
Article
Development of a 140 MPa Deep In Situ Pressure-Preserved Coring Controller
by Cong Li, Xiaojun Shi, Le Zhao, Xin Fang, Xun Yang and Jianan Li
Appl. Sci. 2025, 15(21), 11792; https://doi.org/10.3390/app152111792 - 5 Nov 2025
Viewed by 308
Abstract
Deep in situ pressure coring provides an accurate means of determining oil and gas reserve parameters. The key to achieving pressure coring at depths exceeding 5000 m lies in the ultimate bearing strength and stability of the pressure controllers. Due to the limited [...] Read more.
Deep in situ pressure coring provides an accurate means of determining oil and gas reserve parameters. The key to achieving pressure coring at depths exceeding 5000 m lies in the ultimate bearing strength and stability of the pressure controllers. Due to the limited downhole space and the inherent technical demands of pressure coring, traditional pressure coring technology typically has an ultimate bearing pressure capacity of less than 70 MPa. The structural model of the pressure controller is designed. The stress–strain distribution of the pressure controller under external load is numerically simulated. A contact stress optimization scheme and critical sealing gap of pressure controllers are proposed. It was found that the saddle pressure controllers can ensure the fit clearance of the sealing surface and effectively control the deformation of the valve cover within 0.015 mm. The saddle pressure controllers have demonstrated an ultimate bearing strength exceeding 140 MPa, with minimal leakage. These findings have significant implications for accurate assessment of deep petroleum resources. Full article
Show Figures

Figure 1

14 pages, 480 KB  
Systematic Review
Mitral Valve Surgery with and Without Mitral Annular Disjunction: A Meta-Analysis
by Massimo Baudo, Francesco Cabrucci, Francesca Maria Di Muro, Dimitrios E. Magouliotis, Beatrice Bacchi, Arian Arjomandi Rad, Andrew Xanthopoulos, Tulio Caldonazo and Michele D’Alonzo
J. Cardiovasc. Dev. Dis. 2025, 12(11), 436; https://doi.org/10.3390/jcdd12110436 - 4 Nov 2025
Viewed by 848
Abstract
Background/Objectives: Despite growing awareness of mitral annular disjunction’s (MAD) clinical significance, robust data regarding the outcomes of surgical interventions on MAD remain sparse. This meta-analysis aims to systematically evaluate the current evidence on the efficacy and safety of mitral valve (MV) surgery in [...] Read more.
Background/Objectives: Despite growing awareness of mitral annular disjunction’s (MAD) clinical significance, robust data regarding the outcomes of surgical interventions on MAD remain sparse. This meta-analysis aims to systematically evaluate the current evidence on the efficacy and safety of mitral valve (MV) surgery in patients with MAD. Methods: A systematic review was conducted from inception until May 2025 for studies comparing patients undergoing MV surgery with and without MAD and was registered in PROSPERO: CRD42025649821. Results: Patients with MAD were generally younger (59.3 ± 5.0 vs. 63.4 ± 2.2 years, standardized mean difference: −0.3073), had fewer comorbidities but more complex valve lesions (41.0% vs. 13.7%, risk difference: 0.2627) compared to those without MAD. MV replacement was performed less frequently in the MAD group than in the No-MAD group (risk ratio, RR: 0.690 [95% confidence interval, CI: 0.508; 0.937], p = 0.017), probably related to the significant difference in age between the two groups. The MAD cohort demonstrated a higher incidence of ventricular arrhythmia both after surgery (RR: 7.255 [95%CI: 1.231; 42.763], p = 0.029) and during follow-up (incidence rate ratio, IRR: 2.750 [95%CI: 1.372; 5.512], p = 0.004). Although the MAD group experienced more arrhythmic events over time, this did not translate into a significant difference in overall mortality compared to patients without MAD (IRR: 0.573 [95%CI: 0.072; 4.555], p = 0.599). Conclusions: This meta-analysis revealed significant baseline differences between the populations. Our findings suggest that patients with MAD remained at significantly higher risk for both postoperative and long-term arrhythmias. These results highlight the need for close arrhythmic surveillance in this population. Full article
(This article belongs to the Special Issue State of the Art in Mitral Valve Disease)
Show Figures

Figure 1

Back to TopTop