Sign in to use this feature.

Years

Between: -

Subjects

remove_circle_outline
remove_circle_outline
remove_circle_outline
remove_circle_outline
remove_circle_outline
remove_circle_outline
remove_circle_outline
remove_circle_outline
remove_circle_outline

Journals

remove_circle_outline
remove_circle_outline
remove_circle_outline
remove_circle_outline
remove_circle_outline
remove_circle_outline
remove_circle_outline
remove_circle_outline
remove_circle_outline
remove_circle_outline
remove_circle_outline
remove_circle_outline
remove_circle_outline
remove_circle_outline
remove_circle_outline
remove_circle_outline
remove_circle_outline
remove_circle_outline
remove_circle_outline
remove_circle_outline
remove_circle_outline
remove_circle_outline
remove_circle_outline
remove_circle_outline
remove_circle_outline
remove_circle_outline
remove_circle_outline
remove_circle_outline
remove_circle_outline
remove_circle_outline
remove_circle_outline
remove_circle_outline
remove_circle_outline
remove_circle_outline

Article Types

Countries / Regions

remove_circle_outline
remove_circle_outline
remove_circle_outline
remove_circle_outline
remove_circle_outline
remove_circle_outline
remove_circle_outline
remove_circle_outline
remove_circle_outline

Search Results (6,380)

Search Parameters:
Keywords = valve

Order results
Result details
Results per page
Select all
Export citation of selected articles as:
27 pages, 18718 KB  
Article
Molecular Phylogeny of the Genus Cymbosellaphora (Bacillariophyceae, Cymbellales): Evolutionary Significance of Areolae Morphology vs. Structure of Pore Occlusions
by Andrei Mironov, Anton Glushchenko, Natalia Tseplik, Yevhen Maltsev, Sergei Genkal and Maxim Kulikovskiy
Phycology 2026, 6(2), 34; https://doi.org/10.3390/phycology6020034 (registering DOI) - 25 Mar 2026
Abstract
This is an investigation of molecular phylogeny and morphology of the genus Cymbosellaphora (Bacillariophyceae, Cymbellales). For this study, a strain of Cymbosellaphora geisslerae isolated from the Plotnikova River (Kamchatka Territory, Russia) was studied using light, scanning, and transmission electron microscopy, as well as [...] Read more.
This is an investigation of molecular phylogeny and morphology of the genus Cymbosellaphora (Bacillariophyceae, Cymbellales). For this study, a strain of Cymbosellaphora geisslerae isolated from the Plotnikova River (Kamchatka Territory, Russia) was studied using light, scanning, and transmission electron microscopy, as well as molecular methods. Phylogenetic analysis based on 18S rDNA and rbcL gene sequences revealed that Cymbosellaphora geisslerae belongs to the order Cymbellales and forms an alliance with representatives of genera Gomphonella and Reimeria. The results of molecular study are supported by morphology. In the course of molecular analysis, we discuss the diversity of valve morphology across Cymbosellaphora, Gomphonella, Reimeria and related genera. As a result, a new type of pore occlusions, typical for Cymbosellaphora, is proposed, the diagnoses of the genus Cymbosellaphora and the species Cymbosellaphora geisslerae are emended, and the epitypification of this species is made. Most importantly, our data indicates that the concepts of areolae morphology and pore occlusions structure in the order Cymbellales might require critical evaluation. Full article
17 pages, 840 KB  
Article
Estimated Pulse Wave Velocity as a Marker of Blood-Pressure-Dependent Arterial Load and Ventricular–Vascular Interaction in Severe Aortic Stenosis Before and After Transcatheter Aortic Valve Replacement
by Simina Mariana Moroz, Alina Gabriela Negru, Mirela Baba, Silvia Luca, Mihaela Valcovici, Alina Maria Lupu, Darius Buriman, Daniel-Dumitru Nișulescu, Ana Lascu, Daniel Florin Lighezan and Ioana Mozos
J. Cardiovasc. Dev. Dis. 2026, 13(4), 149; https://doi.org/10.3390/jcdd13040149 - 25 Mar 2026
Abstract
Background: Severe aortic stenosis (AS) increases left ventricular afterload and disrupts ventricular–vascular coupling. Transcatheter aortic valve replacement (TAVR) promptly relieves valvular obstruction, but its immediate effects on blood pressure-dependent arterial load and ventricular–vascular interactions are not fully clarified. Estimated pulse wave velocity (ePWV), [...] Read more.
Background: Severe aortic stenosis (AS) increases left ventricular afterload and disrupts ventricular–vascular coupling. Transcatheter aortic valve replacement (TAVR) promptly relieves valvular obstruction, but its immediate effects on blood pressure-dependent arterial load and ventricular–vascular interactions are not fully clarified. Estimated pulse wave velocity (ePWV), derived from age and mean arterial pressure, is a convenient surrogate of global arterial load. The study aimed to assess ePWV before and after TAVR and its relationship with ventricular function and inflammatory biomarkers. Methods: In this retrospective observational study, 100 elderly patients with severe AS undergoing TAVR underwent detailed clinical, laboratory, and echocardiographic assessments before and after the procedure. Arterial stiffness was quantified using ePWV, while left ventricular geometry and systolic function were evaluated by standard echocardiography. Post-procedural reassessment was performed at hospital discharge (median 8 days after TAVR). Results: TAVR led to a modest but significant reduction in ePWV (from 12.79 ± 1.54 to 12.39 ± 1.54 m/s, p < 0.01) and improvement in left ventricular ejection fraction (LVEF) (from 44.89 ± 9.2% to 46.7 ± 7.95%, p < 0.01). Higher baseline ePWV correlated with unfavorable left ventricular remodeling and systolic dysfunction, and post-procedural ePWV remained linked to right ventricular performance. Before TAVR, ePWV and LVEF were both associated with inflammatory biomarkers, relationships that disappeared after intervention. Conclusions: Overall, ePWV functioned as an integrated measure of ventricular–vascular interaction and global hemodynamic load, though its interpretation post-TAVR requires caution due to direct blood pressure dependence and confounding by acute procedural inflammation. Full article
Show Figures

Figure 1

40 pages, 3468 KB  
Article
Simulation-Guided Interpretable Fault Diagnosis of Hydraulic Directional Control Valves Under Limited Fault Data Conditions
by Yuxuan Xia, Aiping Xiao, Huafei Xiao, Xiangyi Zhao and Huijun Liu
Sensors 2026, 26(7), 2052; https://doi.org/10.3390/s26072052 - 25 Mar 2026
Abstract
Delayed switching faults in hydraulic directional control valves can significantly degrade system performance and reliability, yet their diagnosis remains challenging due to complex fault mechanisms and coupled sensor responses and limited fault samples in industrial applications. While data-driven approaches, including deep learning-based methods, [...] Read more.
Delayed switching faults in hydraulic directional control valves can significantly degrade system performance and reliability, yet their diagnosis remains challenging due to complex fault mechanisms and coupled sensor responses and limited fault samples in industrial applications. While data-driven approaches, including deep learning-based methods, have shown promising performance in fault diagnosis, their practical deployment in industrial quality inspection and condition monitoring is often constrained by limited fault data availability and insufficient physical interpretability of the diagnostic results. In this study, an interpretable fault diagnosis framework for delayed switching faults in hydraulic directional control valves is proposed based on a simulation-guided feature construction method and multi-pressure signal analysis. Instead of using simulation to generate synthetic training data, a physical simulation model is employed to analyze fault mechanisms and to guide the design of valve-level diagnostic features derived from inter-sensor pressure differences. These features are further evaluated using several classical machine learning classifiers, including RF, SVM, KNN, and LR under conditions of limited fault samples. Experimental results demonstrate that the proposed method effectively captures the structural imbalance caused by internal valve faults and achieves high diagnostic accuracy and robustness compared with conventional single-sensor approaches and purely data-driven black-box models. The proposed framework provides a practical and physically interpretable solution for hydraulic valve fault diagnosis under small-sample conditions and offers potential value for industrial quality inspection and maintenance applications. Full article
(This article belongs to the Section Physical Sensors)
14 pages, 16685 KB  
Article
Operability Implications of Speed Variability in Hybridised Vaneless Counter-Rotating Axial Compressor Concepts
by Jan Nittka and Dieter Peitsch
Aerospace 2026, 13(4), 304; https://doi.org/10.3390/aerospace13040304 - 25 Mar 2026
Abstract
The aviation sector faces the challenge of reducing emissions while meeting growing demand for passenger transport. Recent research has proposed a hybridised axial compressor concept using a vaneless, counter-rotating configuration with independently electrically driven rotors. Earlier work showed the aerodynamic feasibility of this [...] Read more.
The aviation sector faces the challenge of reducing emissions while meeting growing demand for passenger transport. Recent research has proposed a hybridised axial compressor concept using a vaneless, counter-rotating configuration with independently electrically driven rotors. Earlier work showed the aerodynamic feasibility of this approach and identified the need for extended compressor maps to capture performance variations with hybridisation degree and speed ratio. This study explores the operational potential of such compressors in greater depth, focusing on how variable rotor speeds can unlock aerodynamic benefits and expand the operating envelope for hybrid-electric propulsion in regional aircraft and rotorcraft. Using mean line analysis, it is shown that independently driven rotors can operate effectively across a wide range of speed ratios. This flexibility enables the compressor to maintain high efficiency over diverse operating conditions, including part-load scenarios, typical of hybrid-electric missions. Independent speed control also offers a means of actively managing compressor stability. Compared to the conventional design the operating range can be significantly increased without relying on traditional stability measures such as variable stator vanes or bleed valves, reducing system weight and complexity. In this way the operating range of the hybrid compressor could be increased by up to 50%, while the number of blade rows could be reduced by up to 30% and the mass flow range increased by up to 33%. Together with the potential efficiency gains of counter-rotating concepts, this underscores its promise for future low-emission propulsion systems. Full article
Show Figures

Figure 1

13 pages, 4551 KB  
Article
Response Scheme Design for Accidents Involving Total Opening of Heat Supply Control Valves in Large-Scale Pressurized Water Reactor Cogeneration Units
by Difen Wang, Xiangli Ma, Jinhong Mo and Ru Zhang
Energies 2026, 19(7), 1599; https://doi.org/10.3390/en19071599 - 24 Mar 2026
Abstract
Upon the challenges of climate change and the demand for energy sustainability, nuclear power (NP) units not only provide clean electricity but are also equipped for cogeneration to achieve energy cascade utilization; this represents a key avenue for improving the overall efficiency and [...] Read more.
Upon the challenges of climate change and the demand for energy sustainability, nuclear power (NP) units not only provide clean electricity but are also equipped for cogeneration to achieve energy cascade utilization; this represents a key avenue for improving the overall efficiency and achieving the comprehensive utilization of nuclear energy. However, following the heating retrofitting stage, there exists a risk that the supply control valve of the unit may accidentally open completely during operation, which increases the risk of over-powering. Therefore, this study designs response schemes for second-generation large pressurized water reactor NP plants (NPPs) under the accidental full-open condition of the heat-supply control valve. Specifically, an integrated model encompassing the nuclear steam supply system, secondary circuit system, thermal energy supply system (TESS), and related control systems was constructed using the optimal estimation program and 3KeyMaster simulation platform. Subsequently, two response schemes were designed for the accidental full-open valve scenario under two operation modes—namely, the “Reactor Follows Turbine + TESS” and “Turbine Follows TESS” modes. Finally, on the basis of the established simulation platform, the scenario of accidental full opening of the heat-supply control valve was simulated and verified. Ultimately, the results indicate that the response scheme implemented under the “Turbine Follows TESS” mode is more effective in suppressing nuclear overpower when the heat supply control valve accidentally opens fully. Thus, overall, this study provides a feasible accident response strategy and critical technical reference for NPPs involving cogeneration and energy cascade utilization. Full article
(This article belongs to the Special Issue Modeling and Simulation of Nuclear Power Plant and Reactor)
Show Figures

Figure 1

19 pages, 1844 KB  
Article
Physics-Informed Dynamic Resilience Assessment and Reconfiguration Strategy for Zonal Ship Central Cooling Systems
by Xin Wu, Ping Zhang, Pan Su, Jiechang Wu and Luo Yuchen
J. Mar. Sci. Eng. 2026, 14(7), 598; https://doi.org/10.3390/jmse14070598 (registering DOI) - 24 Mar 2026
Abstract
Zonal ship central cooling systems, which are primarily implemented in naval platforms and advanced specialized vessels to ensure high survivability, exhibit complex fluid–thermal interactions and multi-level valve networks, challenging conventional resilience analysis, especially under large-scale fault scenarios and dynamic topology reconfiguration. This paper [...] Read more.
Zonal ship central cooling systems, which are primarily implemented in naval platforms and advanced specialized vessels to ensure high survivability, exhibit complex fluid–thermal interactions and multi-level valve networks, challenging conventional resilience analysis, especially under large-scale fault scenarios and dynamic topology reconfiguration. This paper presents a physics-informed dynamic resilience assessment and reconfiguration optimization method tailored for such systems. To address the high-dimensional reconfiguration search space, a physics-informed pruning mechanism combining topological reachability filtering and nodal continuity-based feasible-flow verification is introduced, eliminating 42.6% of invalid topologies and reducing optimization time by approximately 38%. Additionally, a cumulative thermal severity (CTS) metric is developed to capture transient thermal shock risks, quantitatively assessing deviation from the 50 °C system safety boundary at the most critical node. Simulation results for a main seawater pump failure scenario demonstrate that the proposed reconfiguration strategy, which coordinates cross-zone tie valves and leverages healthy zones’ pressure margins, shortens recovery time by 47%, suppresses peak temperature from 51.5 °C to 50.2 °C, reduces maximum over-temperature from 1.5 °C to 0.2 °C, and decreases CTS from 8.5 °C·s to 0.1 °C·s (a 98.8% reduction). These findings demonstrate that physics-informed pruning substantially reduces the computational burden of high-dimensional reconfiguration, while the proposed CTS metric enables quantitative assessment of transient thermal-shock risk. Together, they offer robust methodological guidance for resilience-oriented decision support and fault-tolerant design in complex shipboard fluid–thermal systems. Full article
(This article belongs to the Section Ocean Engineering)
Show Figures

Figure 1

8 pages, 947 KB  
Case Report
Beyond the Usual Suspects: IgG4-Related Disease as a Rare Culprit in Cardiac Valvular Disorders
by Piera Costanzo, Savino Sciascia, Giacomo Quattrocchio, Pierluigi Sbarra, Antonella Barreca, Roberta Bracci, Irene Cecchi, Massimo Radin, Elisa Menegatti and Simone Baldovino
Life 2026, 16(4), 537; https://doi.org/10.3390/life16040537 - 24 Mar 2026
Abstract
Cardiologists consider degenerative or infectious causes when evaluating valvular heart disease. However, the role of autoimmune disorders, though less frequent, remains clinically significant. This report describes a young male patient presenting with persistent coronary disease and a suspected valvular cusp perforation initially attributed [...] Read more.
Cardiologists consider degenerative or infectious causes when evaluating valvular heart disease. However, the role of autoimmune disorders, though less frequent, remains clinically significant. This report describes a young male patient presenting with persistent coronary disease and a suspected valvular cusp perforation initially attributed to infective endocarditis, which ultimately proved to be a manifestation of IgG4-related disease. IgG4-related disease is a rare condition, more prevalent in Asian populations, that typically affects the pancreas, salivary glands, lacrimal glands, and the retroperitoneum. Cardiac involvement, although uncommon, can present in various ways, including pericarditis, pulmonary arterial hypertension, valve dysfunction, cardiac pseudotumor, and coronary disease. Diagnosing and managing IgG4-related cardiac involvement requires heightened clinical suspicion, serological and histopathological assessment, and prompt interdisciplinary collaboration. Notably, involving rheumatologists in the management of these rare yet impactful autoimmune cardiac diseases is essential. Full article
Show Figures

Figure 1

31 pages, 1355 KB  
Article
A Closed-Loop PX–ISO Framework for Staged Day-Ahead Energy and Ancillary Clearing in Power Markets
by Lei Yu, Lingling An, Xiaomei Lin, Kai-Hung Lu and Hongqing Zheng
Processes 2026, 14(6), 1027; https://doi.org/10.3390/pr14061027 - 23 Mar 2026
Abstract
As modern power markets integrate more renewable generation, day-ahead energy clearing remains the central procurement step, while flexibility products are procured to ensure that the cleared energy schedule can be operated securely. This paper proposes a closed-loop framework linking the Power Exchange (PX) [...] Read more.
As modern power markets integrate more renewable generation, day-ahead energy clearing remains the central procurement step, while flexibility products are procured to ensure that the cleared energy schedule can be operated securely. This paper proposes a closed-loop framework linking the Power Exchange (PX) and the Independent System Operator (ISO) to bridge energy-market settlement and network-feasible operation. The PX performs staged day-ahead clearing with energy settled first, followed by aAutomatic generation control (AGC) and spinning reserve (SR) procured from the residual headroom of committed (energy-awarded) units. The ISO then validates the cleared schedule using an equivalent current injection (ECI)-based screening. This paper uses a single-period (single-hour) IEEE 30-bus case setting; multi-period scheduling and intertemporal constraints are not modeled. When congestion is detected, power-flow tracing identifies the main contributors and guides a minimal-change redispatch. The ISO-feasible dispatch is then sent back to the PX for re-clearing, aligning prices and welfare with an executable operating point. The resulting nonconvex clearing problems with valve-point effects and prohibited operating zones are solved by Artificial Protozoa Optimizer with Social Learning (APO–SL) and evaluated against representative metaheuristic baselines. IEEE 30-bus studies show that off-peak and average-load cases pass ISO screening directly, whereas the peak case tightens reserve headroom (SR capped at 39.08 MW) and triggers congestion. After ISO feedback and energy re-clearing, line loadings return within limits. The ISO-feasible dispatch changes the marginal accepted offer and lifts the MCP (3.73 → 4.38 $/MWh). The welfare value reported here follows the paper’s settlement-based definition (purchase total minus accepted offer cost), and it increases accordingly (113.77 → 190.17 $/h). Full article
(This article belongs to the Section Energy Systems)
Show Figures

Figure 1

16 pages, 3358 KB  
Article
Mechanical Response of FDM-Fabricated PEEK and Glass Fiber-Reinforced PEEK Under Varying Process Conditions
by Anil Babu Puli, Mallaiah Manjaiah, Nagamuthu Selvaraj, Prashanth Konda Gokuldoss and Ajith Gopal Joshi
J. Manuf. Mater. Process. 2026, 10(3), 110; https://doi.org/10.3390/jmmp10030110 - 23 Mar 2026
Viewed by 5
Abstract
Polyether Ether Ketone (PEEK) is a high-performance polymer increasingly utilized in additive manufacturing due to its exceptional thermal, chemical, and mechanical properties. Thus, they are used to produce aerospace brackets, fuel system parts, seals, compressor valve plates, etc. This study investigates the mechanical [...] Read more.
Polyether Ether Ketone (PEEK) is a high-performance polymer increasingly utilized in additive manufacturing due to its exceptional thermal, chemical, and mechanical properties. Thus, they are used to produce aerospace brackets, fuel system parts, seals, compressor valve plates, etc. This study investigates the mechanical performance of both neat PEEK and glass fiber-reinforced PEEK (PEEK + GF) composites fabricated via fused deposition modeling (FDM). The effects of print speed, print orientation, and post-heat treatment were systematically evaluated. Among the tested orientations, the 0° print direction with post-heat treatment at 250 °C yielded highest tensile strength of ~80 MPa, outperforming the 45° and 90° orientations. Print speeds ranging from 5 to 20 mm/s and annealing temperatures between 250 °C and 300 °C significantly influenced material properties. For neat PEEK, both tensile strength and microhardness improved with increasing print speed and post-heat treatment, peaking at 20 mm/s and 250 °C. However, annealing at 300 °C led to performance degradation, attributing to gas-induced porosity within the material. The PEEK + GF composites achieved a maximum ultimate tensile strength (UTS) of approximately 83 MPa under the same optimal conditions (20 mm/s print speed and 250 °C post-treatment). This enhancement is attributed to improved fiber alignment along the print path, increased crystallinity, and superior interfacial bonding. Notably, the composites did not exhibit the microstructural damage observed in neat PEEK at the higher annealing temperature. Full article
Show Figures

Figure 1

13 pages, 1341 KB  
Article
Incidental Hepatic Findings in Cardiac Magnetic Resonance Imaging Examinations in Patients with Congenital Heart Disease: A Pilot Study
by Gretha Hecke, Bianca Haase, Nikolaus Clodi, Karolin Hauptvogel, David Plajer, Jakob Spogis, Anja Hanser, Jürgen F. Schäfer, Konstantin Nikolaou, Johannes Nordmeyer and Sarah Nordmeyer
J. Clin. Med. 2026, 15(6), 2453; https://doi.org/10.3390/jcm15062453 - 23 Mar 2026
Viewed by 35
Abstract
Objectives: During cardiac magnetic resonance imaging (cMRI) exams in patients with congenital heart disease (CHD), incidental liver abnormalities are increasingly found. However, no systematic data exist on the incidence of liver lesions in patients with different CHDs. In order to gain a [...] Read more.
Objectives: During cardiac magnetic resonance imaging (cMRI) exams in patients with congenital heart disease (CHD), incidental liver abnormalities are increasingly found. However, no systematic data exist on the incidence of liver lesions in patients with different CHDs. In order to gain a first overview, we retrospectively analyzed cMRI examinations from the last 10 years at our institution. Methods: CMRI examinations including T2-weighted images covering parts of the liver were performed on 899 patients with CHD at our institution between 2014 and 2024. The cMRI examinations were analyzed by a medical student, a pediatrician, a radiologist, and a pediatric cardiologist. Liver lesions were defined as atypical liver parenchyma, showing T2 hyper- or hypointensity compared to the surrounding liver tissue. Results: Liver lesions were found in 9.5% (85/899) of all cMRI studies; of these, 89% ((76/85) of cases) were unknown at time of cMRI, 96% (82/85) were T2 hyperintense, and 38% (32/85) were larger than 1 cm. The patients with liver lesions were older (29 years vs. 22 years, p < 0.0001). There were no sex differences in the incidence of liver lesions or differences in right or left ventricular function (LVEF: 57% vs. 58%, p = 0.78; RVEF: 55% vs. 54%, p = 0.35). The patients with univentricular hearts, transposition of great arteries after atrial switch operation, and atrial septal defects showed the highest incidence (18%, 17%, and 21%, respectively). However, 9% of patients with left heart-sided valve disease also showed liver lesions. Conclusions: Incidental findings of liver lesions in cMRI examinations of patients with CHD are reasonably high with almost 10%. In the growing population of adults with CHD, liver monitoring might be helpful to assure overall patient health. Full article
(This article belongs to the Section Cardiovascular Medicine)
Show Figures

Figure 1

12 pages, 702 KB  
Article
Add-Ons of Heart Disease from the Cardiosurgical Perspective: Gender, Blood Groups and Renal Function
by Madeline Günther, Dimitrij Zilakov, Ardawan J. Rastan and Sebastian Vogt
Med. Sci. 2026, 14(1), 158; https://doi.org/10.3390/medsci14010158 - 23 Mar 2026
Viewed by 48
Abstract
Background/Objectives: This retrospective exploratory study aimed to characterize sex-specific patterns of coronary artery disease (CAD) and valvular heart disease (VHD) in a cardiac surgical cohort. In clinical routine, men appear to be more commonly affected by obstructive CAD, whereas women more frequently present [...] Read more.
Background/Objectives: This retrospective exploratory study aimed to characterize sex-specific patterns of coronary artery disease (CAD) and valvular heart disease (VHD) in a cardiac surgical cohort. In clinical routine, men appear to be more commonly affected by obstructive CAD, whereas women more frequently present valvular heart disease requiring surgical intervention. It remains unclear whether these sex-specific patterns are related to ABO blood groups and selected clinical parameters. Methods: Here, we retrospectively analyzed 983 patients admitted between 2020 and 2024 to a single cardiac centre with CAD and/or VHD requiring valve replacement. Patients were stratified by sex and disease entity (CAD only, CAD + VHD, isolated VHD). ABO and Rhesus factor distributions, cardiovascular risk factors, body mass index (BMI), and renal function (estimated glomerular filtration rate, eGFR) were assessed. Group comparisons were performed using Chi-square and Welch’s t-tests. Associations were evaluated using multivariable logistic and linear regression models adjusted for age, BMI, diabetes mellitus, hypertension, smoking, and eGFR. Results: Men were predominantly represented in the CAD-only group, whereas women more frequently underwent valve replacement, either isolated or combined with CAD (p < 0.001). When comparing the overall study cohort, blood group O was less prevalent in women than in men (p = 0.031), whereas blood group A was more frequent among female patients, although this difference did not reach statistical significance. Moreover, patients with valve disease demonstrated lower eGFR compared with those without valve involvement (men: −6.3 mL/min/1.73 m2, p = 0.0036; women: −10.4 mL/min/1.73 m2, p = 0.0019). This effect remained independently associated with reduced eGFR, with women slightly more affected. Conclusions: Gender- specific diseases should be included as secondary diagnoses when considering cardiac surgery. Nephrological complications in the postoperative period can be an important factor in assessing the benefits of surgery. Blood group O was more common in male Patients, suggesting that cardiovascular diseases also exhibit blood group dependence. Full article
Show Figures

Figure 1

43 pages, 7597 KB  
Article
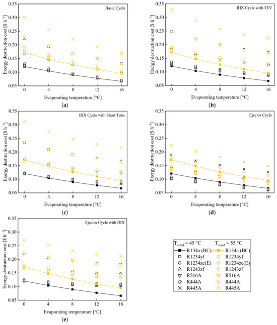
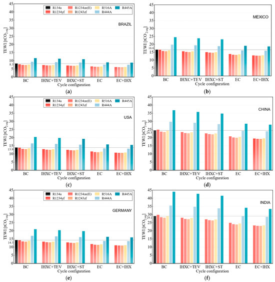
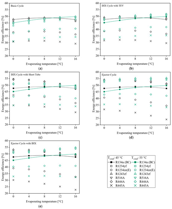
4E Analysis of Alternative Configurations in Mobile Air Conditioning Used in Electromobility and Conventional Vehicles
by D. Méndez-Méndez, J. F. Ituna-Yudonago, J. J. Ramírez-Minguela, J. M. Belman-Flores and V. Pérez-García
Appl. Sci. 2026, 16(6), 3071; https://doi.org/10.3390/app16063071 - 22 Mar 2026
Viewed by 98
Abstract
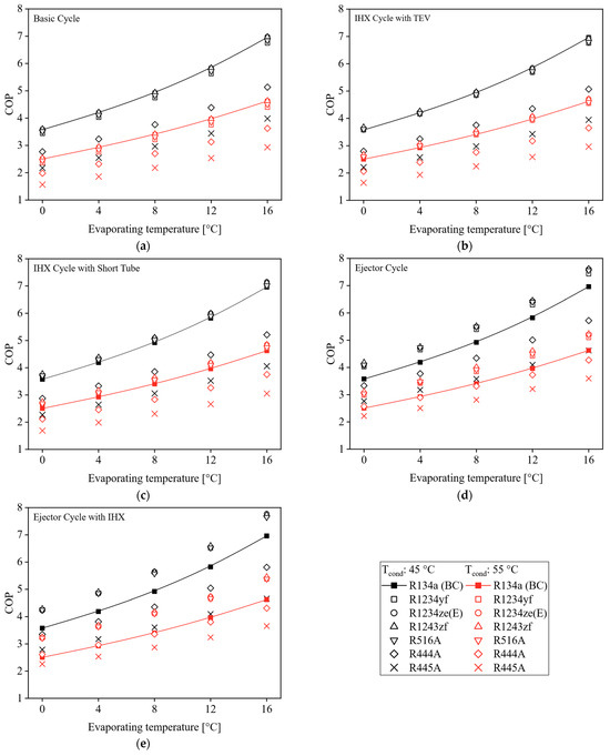
This study analyzes four alternative cycle configurations for the traditional vapor compression system used in conventional, hybrid, and electric vehicles, taking low-GWP alternatives for the substitution of R134a. These are cycle with an internal heat exchanger and thermostatic expansion valve (IHX + TEV); [...] Read more.
This study analyzes four alternative cycle configurations for the traditional vapor compression system used in conventional, hybrid, and electric vehicles, taking low-GWP alternatives for the substitution of R134a. These are cycle with an internal heat exchanger and thermostatic expansion valve (IHX + TEV); cycle with an internal heat exchanger and short tube (IHX + ST); cycle with an ejector (EC); and cycle with an ejector and internal heat exchanger (EC + IHX). Similarly, the energy, exergy, exergoeconomic, and environmental impact of these configurations were analyzed using synthetic refrigerants with a GWP of less than 150. The results indicate that, using the EC + IHX configuration, the COP for refrigerants R1234yf, R1234ze(E), R1243zf, and R516A is the highest, increasing by more than 20%. Using R1243zf in the EC configuration can reduce the total cost ratio compared to other refrigerants. On the other hand, the use of IHX cycle configurations with R444A and R445A decreases the exergy efficiency and increases the total cost ratio by up to 35% and 70%, respectively. Additionally, the Total Equivalent Warming Impact (TEWI) analysis showed reductions up to 20% for ejector cycle configurations using R1234ze(E), R1234yf, R1243zf, and R516A. Full article
(This article belongs to the Special Issue Novel Ecofriendly Refrigeration System: Technology and Application)
Show Figures

Figure 1

21 pages, 31208 KB  
Article
Simulation and Performance Analysis of a Plateau-Adapted Five-Bed Portable Vacuum Pressure Swing Adsorption Oxygen Production System
by Ping Wu and Jianjun Li
Processes 2026, 14(6), 1020; https://doi.org/10.3390/pr14061020 - 22 Mar 2026
Viewed by 123
Abstract
To address the decline in oxygen production capacity and the increase in specific energy consumption of portable vacuum pressure swing adsorption (VPSA) oxygen systems under high-altitude low-pressure conditions, a rotary-valve integrated VPSA numerical model based on a five-bed, ten-step cycle was established in [...] Read more.
To address the decline in oxygen production capacity and the increase in specific energy consumption of portable vacuum pressure swing adsorption (VPSA) oxygen systems under high-altitude low-pressure conditions, a rotary-valve integrated VPSA numerical model based on a five-bed, ten-step cycle was established in this study and analyzed on the Aspen Adsorption platform. The results show that, under a trade-off between oxygen purity and recovery, an oxygen purity of 93.1% and an oxygen recovery of 27.8% can be achieved when the purge-valve flow coefficient is 6.67×105kmol/(h·bar). When the product-valve flow coefficient is 0.028mol·s1·MPa1 and the altitude increases from 3000 m to 4500 m, the oxygen production rate decreases by about 22%, while the specific energy consumption increases by about 32.4%. This indicates that the reduction in oxygen partial pressure has a significant effect on the separation driving force. As the product-valve flow coefficient increases from 0.010 to 0.037mol·s1·MPa1, the oxygen production rate continuously increases and the specific energy consumption decreases at all altitude conditions. At an altitude of 3000 m, for example, the oxygen production rate increases from 0.12m3·h1 to 0.176m3·h1, while the specific energy consumption decreases from 3.58MJ·m3 to 2.93MJ·m3. The effect of feed flow rate on specific energy consumption shows a trend of first decreasing and then increasing. The minimum energy consumption is obtained in the range of 18–20L/min. These results provide a theoretical basis for parameter matching and energy-efficiency optimization of multi-bed rotary-valve VPSA systems under high-altitude conditions. Full article
(This article belongs to the Section Separation Processes)
Show Figures

Figure 1

11 pages, 694 KB  
Article
Prognostic Value of Red Blood Cell Distribution Width in Predicting Acute Kidney Injury After Cardiac Surgery: A Retrospective Cohort Study
by Daniele Marianello, Antonella Puddu, Cesare Biuzzi, Alberto Fogagnolo, Savino Spadaro, Lucrezia Galasso, Alessandra Cartocci, Francesco Lorenzo De Matteis, Sandro Sponga, Fabio Silvio Taccone, Sabino Scolletta and Federico Franchi
J. Clin. Med. 2026, 15(6), 2403; https://doi.org/10.3390/jcm15062403 - 21 Mar 2026
Viewed by 151
Abstract
Background/Objectives: Acute kidney injury (AKI) remains a significant complication following cardiac surgery, associated with increased morbidity and mortality. The early detection of AKI is limited by the cost, availability, and unclear clinical utility of the current biomarkers. This study aimed to evaluate [...] Read more.
Background/Objectives: Acute kidney injury (AKI) remains a significant complication following cardiac surgery, associated with increased morbidity and mortality. The early detection of AKI is limited by the cost, availability, and unclear clinical utility of the current biomarkers. This study aimed to evaluate the red cell distribution width (RDW) on ICU admission as a predictor of postoperative AKI. Methods: We conducted a retrospective analysis of adult patients undergoing isolated coronary artery bypass grafting (CABG) or combined CABG and aortic valve surgery at a tertiary cardiac surgery centre (University Hospital of Siena, Italy) between January 2015 and December 2020. AKI was defined according to the KDIGO criteria. The RDW was measured preoperatively (T0), at ICU admission (T1), and at 24 (T2) and 48 h (T3) postoperatively. Temporal RDW changes (ΔRDW) were also calculated. Multivariate logistic regression identified independent predictors of AKI, and receiver operating characteristic (ROC) analysis evaluated the predictive accuracy. Results: A total of 456 patients were included, with an overall AKI incidence of 31%. Patients developing AKI exhibited significantly higher RDW at all measured time points, especially at ICU admission. Multivariate analysis identified age, RDW (OR 1.19, 95% CI: 1.03–1.37, p = 0.016) and serum creatinine at ICU admission, and elevated lactate at T2 as independent AKI predictors. In subgroup analyses, RDW at ICU admission remained significantly associated with AKI in patients who were not transfused, but not in patients who were. Conclusions: In this study, a high RDW at ICU admission represented an early postoperative marker independently associated with AKI after cardiac surgery, particularly in patients who did not receive transfusion. Full article
(This article belongs to the Section Cardiovascular Medicine)
Show Figures

Figure 1

20 pages, 2843 KB  
Article
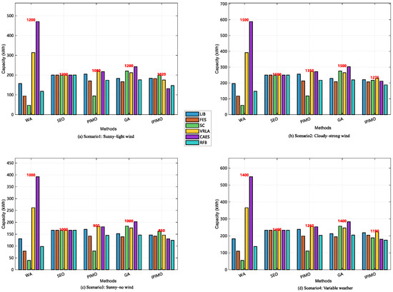
Optimization of Multi-Type Energy Storage Systems Capacity Configuration via an Improved Projection-Iterative Optimizer
by Sile Hu, Dandan Li, Yu Guo, Jiaqiang Yang, Bingqiang Liu and Xinyu Yang
Appl. Sci. 2026, 16(6), 3028; https://doi.org/10.3390/app16063028 - 20 Mar 2026
Viewed by 123
Abstract
An improved optimizer based on projection-iterative methods (IPIMO) is proposed to address the optimal configuration problem of multi-type energy storage systems (MT-ESS), with the objective of achieving synergistic minimization of comprehensive costs, including both investment and operational expenditures. A comprehensive energy system model [...] Read more.
An improved optimizer based on projection-iterative methods (IPIMO) is proposed to address the optimal configuration problem of multi-type energy storage systems (MT-ESS), with the objective of achieving synergistic minimization of comprehensive costs, including both investment and operational expenditures. A comprehensive energy system model is established, integrating photovoltaic power, wind power, and six typical energy storage technologies—lithium-ion battery, flywheel energy storage, supercapacitors, valve-regulated lead-acid battery, compressed air energy storage, and redox flow battery. Four typical operational scenarios are designed to validate the adaptability and robustness of the algorithm. A systematic evaluation of IPIMO’s comprehensive performance is conducted by comparing it with the weighted average method (WA), the single-energy storage optimization method (SEO), the projection-iterative-methods-based optimizer algorithm (PIMO), and the genetic algorithm (GA). Simulation results demonstrate that IPIMO exhibits superior convergence performance, achieving stable convergence rapidly and significantly outperforming PIMO and GA. Moreover, IPIMO achieves the lowest total cost across all four scenarios, with an average of $46,837, representing reductions of 6.54% compared to the benchmark weighted average method and 11.8% compared to the SEO. Additionally, IPIMO adaptively adjusts the allocation ratios of energy storage types based on scenario characteristics, prioritizing energy-type storage in stable scenarios while increasing the proportion of fast-response storage to 49.1% in fluctuating scenarios, thereby demonstrating its strong scenario adaptability. Full article
Show Figures

Figure 1

Back to TopTop