Sign in to use this feature.

Years

Between: -

Subjects

remove_circle_outline
remove_circle_outline
remove_circle_outline
remove_circle_outline
remove_circle_outline
remove_circle_outline
remove_circle_outline
remove_circle_outline
remove_circle_outline

Journals

Article Types

Countries / Regions

Search Results (17)

Search Parameters:
Keywords = vacancy attachment

Order results
Result details
Results per page
Select all
Export citation of selected articles as:
14 pages, 4341 KB  
Article
Fabricating Oxygen Vacancy-Rich Bi2WO6/Bi2S3 Z-Scheme Nano-Heterojunction on Carbon Fiber with Polydopamine for Enhanced Photocatalytic Activity
by Jiantao Niu, Jiaqi Pan, Jianfeng Qiu and Chaorong Li
Catalysts 2025, 15(4), 350; https://doi.org/10.3390/catal15040350 - 2 Apr 2025
Cited by 1 | Viewed by 911
Abstract
The use of fibers or fabrics as frameworks for loading photocatalysts is beneficial in solving the problems of photocatalytic nanomaterials, which tend to agglomerate and are difficult to recycle. In this study, Bi2WO6/CFb and Bi2WO6/Bi [...] Read more.
The use of fibers or fabrics as frameworks for loading photocatalysts is beneficial in solving the problems of photocatalytic nanomaterials, which tend to agglomerate and are difficult to recycle. In this study, Bi2WO6/CFb and Bi2WO6/Bi2S3/CFb photocatalytic fibers rich in oxygen vacancies were prepared using carbon fibers as the framework by the crystal seed attachment method and in situ growth method by using the self-polymerization and strong adhesion properties of dopamine. The results of SEM, TEM and XRD tests showed that Bi2WO6 and Bi2WO6/Bi2S3 nanosheets were uniformly and completely encapsulated on the surface of the carbon fibers. The results of XPS and EPR tests showed that Bi2WO6 nanosheets were rich in oxygen vacancies. The PL, transient photocurrent responses and EIS results showed that the introduction of Bi2S3 significantly improved the migration efficiency of the photogenerated carriers of Bi2WO6/Bi2S3/CFb, which effectively hindered the recombination of photogenerated electron–hole pairs. By conducting degradation experiments on p-nitrophenol and analyzing the bandgap structure, it was postulated that the heterojunction structure of Bi2WO6/Bi2S3/CFb in the Bi2WO6/Bi2S3 material was not Type-II but Z-scheme. As analyzed by the active species assay, the active species that played a major role in the degradation process were O2 and h+. The incorporation of a small amount of Bi2S3 resulted in enhanced photocatalytic degradation activity of Bi2WO6/Bi2S3/CFb toward tetracycline hydrochloride compared to Bi2WO6/CFb. The excellent photocatalytic performance of Bi2WO6/Bi2S3/CFb photocatalytic fibers can be attributed to the rapid transmission and separation performance and the high oxidation and reduction capacities of photogenerated electron–hole pairs formed by direct Z-scheme heterojunctions. Full article
(This article belongs to the Section Catalytic Materials)
Show Figures

Figure 1

13 pages, 2743 KB  
Article
Multilevel Multimodal Physical Unclonable Functions by Laser Writing of Silicon Carbide Color Centers
by Yuxing Ma, Yue Qin, Hao Guo, Ye Tian and Lishuang Liu
Micromachines 2025, 16(3), 329; https://doi.org/10.3390/mi16030329 - 12 Mar 2025
Viewed by 1440
Abstract
Information security serves as the cornerstone for ensuring the stable development of today’s highly digitized era. As cryptographic primitives with high security and robust encryption capabilities, physical unclonable functions (PUFs) are recognized as one of the critical solutions to address information leakage issues. [...] Read more.
Information security serves as the cornerstone for ensuring the stable development of today’s highly digitized era. As cryptographic primitives with high security and robust encryption capabilities, physical unclonable functions (PUFs) are recognized as one of the critical solutions to address information leakage issues. However, the encoding of PUFs often relies on the inherent properties of materials, which limits the potential for further enhancement of their encoding capacity (EC). In this study, we introduce a four-level encoding scheme by leveraging the stochastic characteristics of free radical chemical reactions and energy deposition in the fabrication process of silicon carbide (SiC) color centers. A multilevel multimodal PUF (MMPUF) encoding strategy (ES) for flexible substrates with high EC, low cost, and simple and fast readout was constructed. The spatially random distribution of SiC and silicon vacancy (Vsi) color-center concentrations as well as the offsets of the laser pyrolysis position along the X- and Y-axes are four independent physical properties that ensure the encoding performance of the PUF, achieving a high encoding capacity of 24×10×10 and secure, stable, and unclonable encoding. Furthermore, the integration of the PUF tags with the products through a doping manufacturing process, rather than simple attachment, enhances the security and practicality of the anti-counterfeiting system. The proposed encoding hierarchy based on the offsets provides a novel encoding solution for improving PUF EC. Full article
Show Figures

Figure 1

13 pages, 4258 KB  
Article
Graphene Supported NiFe-LDH and PbO2 Catalysts Prepared by Plasma Process for Oxygen Evolution Reaction
by Tingting Yang, Zheng Zhang, Fei Tan, Huayu Liu, Xingyu Li, Hongqi Wang and Qing Yang
Materials 2025, 18(1), 121; https://doi.org/10.3390/ma18010121 - 31 Dec 2024
Cited by 3 | Viewed by 1421
Abstract
The development of efficient catalysts for water electrolysis is crucial for advancing the low-carbon transition and addressing the energy crisis. This work involves the fabrication of graphene-based catalysts for the oxygen evolution reaction (OER) by integrating NiFe-LDH and PbO2 onto graphene using [...] Read more.
The development of efficient catalysts for water electrolysis is crucial for advancing the low-carbon transition and addressing the energy crisis. This work involves the fabrication of graphene-based catalysts for the oxygen evolution reaction (OER) by integrating NiFe-LDH and PbO2 onto graphene using plasma treatment. The plasma process takes only 30 min. Graphene’s two-dimensional structure increases the available reaction surface area and improves surface electron transport. Plasma treatment further improves catalyst performance by facilitating nanoparticle attachment and creating carbon defects and sulfur vacancies. Density functional theory (DFT) calculations at the PBE provide valuable insights into the role of vacancies in enhancing catalyst performance for OER. The catalyst’s conductivity and electronic structure are greatly impacted by vacancies. While modifications to the electronic structure increase the kinetics of charge transfer, the vacancy structure can produce more active sites and improve the adsorption and reactivity of OER intermediates. This optimization of intermediate adsorption and electronic properties leads to increased overall OER activity. The catalyst NiFe-PbO2/S/rGO-45, synthesized through plasma treatment, demonstrated an overpotential of 230 mV at 50 mA·cm−2 and a Tafel slope of 44.26 mV dec−1, exhibiting rapid reaction kinetics and surpassing the OER activity of commercial IrO2. With its excellent performance, the prepared catalyst has broad prospects in commercial applications such as water electrolysis and air batteries. Full article
Show Figures

Figure 1

12 pages, 1843 KB  
Article
Geometrical Stabilities and Electronic Structures of Ru3 Clusters on Rutile TiO2 for Green Hydrogen Production
by Moteb Alotaibi
Nanomaterials 2024, 14(5), 396; https://doi.org/10.3390/nano14050396 - 21 Feb 2024
Cited by 3 | Viewed by 1991
Abstract
In response to the vital requirement for renewable energy alternatives, this research delves into the complex interactions between ruthenium (Ru3) clusters and rutile titanium dioxide (TiO2) (110) interfaces, with the aim of enhancing photocatalytic water splitting processes to produce [...] Read more.
In response to the vital requirement for renewable energy alternatives, this research delves into the complex interactions between ruthenium (Ru3) clusters and rutile titanium dioxide (TiO2) (110) interfaces, with the aim of enhancing photocatalytic water splitting processes to produce environmentally friendly hydrogen. As the world shifts away from traditional fossil fuels, this study utilizes the density functional theory (DFT) and the HSE06 hybrid functional to thoroughly assess the geometric and electronic properties of Ru3 clusters on rutile TiO2 (110) surfaces. Given TiO2’s renown role as a photocatalyst and its limitations in visible light absorption, this research investigates the potential of metals like Ru to serve as additional catalysts. The results indicate that the triangular Ru3 cluster exhibits exceptional stability and charge transfer effectiveness when loaded on rutile TiO2 (110). Under ideal adsorption scenarios, the cluster undergoes oxidation, leading to subsequent changes in the electronic configuration of TiO2. Further exploration into TiO2 surfaces with defects shows that Ru3 clusters influence the creation of oxygen vacancies, resulting in a greater stabilization of TiO2 and an increase in the energy required for creating oxygen vacancies. Moreover, the attachment of the Ru3 cluster and the creation of oxygen vacancies lead to the emergence of polaronic and hybrid states centered on specific titanium atoms. These states are vital for enhancing the photocatalytic performance of the material within the visible light spectrum. This DFT study provides essential insights into the role of Ru3 clusters as potential supplementary catalysts in TiO2-based photocatalytic systems, setting the stage for practical experiments and the development of highly efficient photocatalysts for sustainable hydrogen generation. The observed effects on electronic structures and oxygen vacancy generation underscore the intricate relationship between Ru3 clusters and TiO2 interfaces, offering a valuable direction for future research in the pursuit of clean and sustainable energy solutions. Full article
(This article belongs to the Special Issue Photocatalytic Ability of Composite Nanomaterials)
Show Figures

Figure 1

51 pages, 2705 KB  
Article
Entropy of Charge Inversion in DNA including One-Loop Fluctuations
by Matthew D. Sievert, Marilyn F. Bishop and Tom McMullen
Entropy 2023, 25(10), 1373; https://doi.org/10.3390/e25101373 - 24 Sep 2023
Cited by 2 | Viewed by 2357
Abstract
The entropy and charge distributions have been calculated for a simple model of polyelectrolytes attached to the surface of DNA using a field-theoretic method that includes fluctuations to the lowest one-loop order beyond mean-field theory. Experiments have revealed correlation-driven behavior of DNA in [...] Read more.
The entropy and charge distributions have been calculated for a simple model of polyelectrolytes attached to the surface of DNA using a field-theoretic method that includes fluctuations to the lowest one-loop order beyond mean-field theory. Experiments have revealed correlation-driven behavior of DNA in charged solutions, including charge inversion and condensation. In our model, the condensed polyelectrolytes are taken to be doubly charged dimers of length comparable to the distance between sites along the phosphate chains. Within this lattice gas model, each adsorption site is assumed to have either a vacancy or a positively charged dimer attached with the dimer oriented either parallel or perpendicular to the double-helix DNA chain. We find that the inclusion of the fluctuation terms decreases the entropy by ∼50% in the weak-binding regime. There, the bound dimer concentration is low because the dimers are repelled from the DNA molecule, which competes with the chemical potential driving them from the solution to the DNA surface. Surprisingly, this decrease in entropy due to correlations is so significant that it overcompensates for the entropy increase at the mean-field level, so that the total entropy is even lower than in the absence of interactions between lattice sites. As a bonus, we present a transparent exposition of the methods used that could be useful to students and others wishing to use this formulation to extend this calculation to more realistic models. Full article
(This article belongs to the Special Issue Entropy in Biological Systems)
Show Figures

Figure 1

16 pages, 6077 KB  
Article
Advancement of Physical and Photoelectrochemical Properties of Nanostructured CdS Thin Films toward Optoelectronic Applications
by Walid Ismail, Ghada Ibrahim, Mohamed A. Habib, Omar K. Alduaij, Mahmoud Abdelfatah and Abdelhamid El-Shaer
Nanomaterials 2023, 13(11), 1764; https://doi.org/10.3390/nano13111764 - 30 May 2023
Cited by 27 | Viewed by 2988
Abstract
CdS thin films were grown on an FTO substrate at different temperatures, employing the low-cost hydrothermal method. All the fabricated CdS thin films were studied using XRD, Raman spectroscopy, SEM, PL spectroscopy, a UV–Vis spectrophotometer, photocurrent, Electrochemical Impedance Spectroscopy (EIS), and Mott–Schottky measurements. [...] Read more.
CdS thin films were grown on an FTO substrate at different temperatures, employing the low-cost hydrothermal method. All the fabricated CdS thin films were studied using XRD, Raman spectroscopy, SEM, PL spectroscopy, a UV–Vis spectrophotometer, photocurrent, Electrochemical Impedance Spectroscopy (EIS), and Mott–Schottky measurements. According to the XRD results, all the CdS thin films were formed in a cubic (zinc blende) structure with a favorable (111) orientation at various temperatures. The Scherrer equation was used to determine the crystal size of the CdS thin films, which varied from 25 to 40 nm. The SEM results indicated that the morphology of thin films seems to be dense, uniform, and tightly attached to the substrates. PL measurements showed the typical green and red emission peaks of CdS films at 520 nm and 705 nm, and these are attributable to free-carrier recombination and sulfur vacancies or cadmium vacancies, respectively. The optical absorption edge of the thin films was positioned between 500 and 517 nm which related to the CdS band gap. For the fabricated thin films, the estimated Eg was found to be between 2.50 and 2.39 eV. According to the photocurrent measurements, the CdS thin films grown were n-type semiconductors. As indicated by EIS, resistivity to charge transfer (RCT) decreased with temperature, reaching its lowest level at 250 °C. Flat band potential and donor density were found to fluctuate with temperature, from 0.39 to 0.76 V and 4.41 × 1018 to 15.86 × 1018 cm−3, respectively, according to Mott–Schottky measurements. Our results indicate that CdS thin films are promising candidates for optoelectronic applications. Full article
(This article belongs to the Special Issue Nanocomposites for Energy Harvesting)
Show Figures

Figure 1

17 pages, 10932 KB  
Article
Photoluminescence and Photocatalytic Properties of MWNTs Decorated with Fe-Doped ZnO Nanoparticles
by Adriana Popa, Maria Stefan, Sergiu Macavei, Laura Elena Muresan, Cristian Leostean, Cornelia Veronica Floare-Avram and Dana Toloman
Materials 2023, 16(7), 2858; https://doi.org/10.3390/ma16072858 - 3 Apr 2023
Cited by 8 | Viewed by 3224
Abstract
The present work reports the photoluminescence (PL) and photocatalytic properties of multi-walled carbon nanotubes (MWCNTs) decorated with Fe-doped ZnO nanoparticles. MWCNT:ZnO-Fe nanocomposite samples with weight ratios of 1:3, 1:5 and 1:10 were prepared using a facile synthesis method. The obtained crystalline phases were [...] Read more.
The present work reports the photoluminescence (PL) and photocatalytic properties of multi-walled carbon nanotubes (MWCNTs) decorated with Fe-doped ZnO nanoparticles. MWCNT:ZnO-Fe nanocomposite samples with weight ratios of 1:3, 1:5 and 1:10 were prepared using a facile synthesis method. The obtained crystalline phases were evidenced by X-ray diffraction (XRD). X-ray Photoelectron spectroscopy (XPS) revealed the presence of both 2+ and 3+ valence states of Fe ions in a ratio of approximately 0.5. The electron paramagnetic resonance EPR spectroscopy sustained the presence of Fe3+ ions in the ZnO lattice and evidenced oxygen vacancies. Transmission electron microscopy (TEM) images showed the attachment and distribution of Fe-doped ZnO nanoparticles along the nanotubes with a star-like shape. All of the samples exhibited absorption in the UV region, and the absorption edge was shifted toward a higher wavelength after the addition of MWCNT component. The photoluminescence emission spectra showed peaks in the UV and visible region. Visible emissions are a result of the presence of defects or impurity states in the material. All of the samples showed photocatalytic activity against the Rhodamine B (RhB) synthetic solution under UV irradiation. The best performance was obtained using the MWCNT:ZnO-Fe(1:5) nanocomposite samples, which exhibited a 96% degradation efficiency. The mechanism of photocatalytic activity was explained based on the reactive oxygen species generated by the nanocomposites under UV irradiation in correlation with the structural and optical information obtained in this study. Full article
(This article belongs to the Special Issue Advanced Luminescent Materials and Devices)
Show Figures

Figure 1

9 pages, 9269 KB  
Article
Nanoscale Vacancy-Mediated Aggregation, Dissociation, and Splitting of Nitrogen Centers in Natural Diamond Excited by Visible-Range Femtosecond Laser Pulses
by Sergey Kudryashov, Galina Kriulina, Pavel Danilov, Evgeny Kuzmin, Alexey Kirichenko, Nikolay Rodionov, Roman Khmelnitskii, Jiajun Chen, Elena Rimskaya and Vladimir Shur
Nanomaterials 2023, 13(2), 258; https://doi.org/10.3390/nano13020258 - 7 Jan 2023
Cited by 5 | Viewed by 2571
Abstract
Natural IaA+B diamonds were exposed in their bulk by multiple 0.3 ps, 515 nm laser pulses focused by a 0.25 NA micro-objective, producing in the prefocal region (depth of 20–50 μm) a bulk array of photoluminescent nanostructured microtracks at variable laser exposures and [...] Read more.
Natural IaA+B diamonds were exposed in their bulk by multiple 0.3 ps, 515 nm laser pulses focused by a 0.25 NA micro-objective, producing in the prefocal region (depth of 20–50 μm) a bulk array of photoluminescent nanostructured microtracks at variable laser exposures and pulse energies. These micromarks were characterized at room (25°) and liquid nitrogen cooling (−120 °C) temperatures through stationary 3D scanning confocal photoluminescence (PL) microspectroscopy at 405 and 532 nm excitation wavelengths. The acquired PL spectra exhibit a linearly increasing pulse-energy-dependent yield in the range of 575 to 750 nm (NV0, NV centers) at the expense of the simultaneous reductions in the blue–green (450–570 nm; N3a, H4, and H3 centers) and near-IR (741 nm; V0 center) PL yield. A detailed analysis indicates a low-energy rise in PL intensity for B2-related N3a, H4, and H3 centers, while at higher, above-threshold pulse energies it decreases for the H4, H3, and N3a centers, converting into NV centers, with the laser exposure effect demonstrating the same trend. The intrinsic and (especially) photo-generated vacancies were considered to drive their attachment as separate species to nitrogen centers at lower vacancy concentrations, while at high vacancy concentrations the concerted splitting of highly aggregated nitrogen centers by the surrounding vacancies could take place in favor of resulting NV centers. Full article
(This article belongs to the Special Issue Nanophotonics Enabled by Femtosecond Lasers)
Show Figures

Figure 1

21 pages, 5384 KB  
Article
Impact of TiO2 Reduction and Cu Doping on Bacteria Inactivation under Artificial Solar Light Irradiation
by Piotr Rychtowski, Oliwia Paszkiewicz, Maria Carmen Román-Martínez, Maria Ángeles Lillo-Ródenas, Agata Markowska-Szczupak and Beata Tryba
Molecules 2022, 27(24), 9032; https://doi.org/10.3390/molecules27249032 - 18 Dec 2022
Cited by 4 | Viewed by 2589
Abstract
Preparation of TiO2 using the hydrothermal treatment in NH4OH solution and subsequent thermal heating at 500–700 °C in Ar was performed in order to introduce some titania surface defects. The highest amount of oxygen vacancies and Ti3+ surface defects [...] Read more.
Preparation of TiO2 using the hydrothermal treatment in NH4OH solution and subsequent thermal heating at 500–700 °C in Ar was performed in order to introduce some titania surface defects. The highest amount of oxygen vacancies and Ti3+ surface defects were observed for a sample heat-treated at 500 °C. The presence of these surface defects enhanced photocatalytic properties of titania towards the deactivation of two bacteria species, E. coli and S. epidermidis, under artificial solar lamp irradiation. Further modification of TiO2 was targeted towards the doping of Cu species. Cu doping was realized through the impregnation of the titania surface by Cu species supplied from various copper salts in an aqueous solution and the subsequent heating at 500 °C in Ar. The following precursors were used as a source of Cu: CuSO4, CuNO3 or Cu(CH3COO)2. Cu doping was performed for raw TiO2 after a hydrothermal process with and without NH4OH addition. The obtained results indicate that Cu species were deposited on the titania surface defects in the case of reduced TiO2, but on the TiO2 without NH4OH modification, Cu species were attached through the titania adsorbed hydroxyl groups. Cu doping on TiO2 increased the absorption of light in the visible range. Rapid inactivation of E. coli within 30 min was obtained for the ammonia-reduced TiO2 heated at 500 °C and TiO2 doped with Cu from CuSO4 solution. Photocatalytic deactivation of S. epidermidis was greatly enhanced through Cu doping on TiO2. Impregnation of TiO2 with CuSO4 was the most effective for inactivation of both E. coli and S. epidermidis. Full article
(This article belongs to the Special Issue Porous Materials as Catalysts and Sorbents)
Show Figures

Graphical abstract

20 pages, 3103 KB  
Article
Computer-Aided Design and Synthesis of (Functionalized quinazoline)–(α-substituted coumarin)–arylsulfonate Conjugates against Chikungunya Virus
by Jih Ru Hwu, Animesh Roy, Shwu-Chen Tsay, Wen-Chieh Huang, Chun-Cheng Lin, Kuo Chu Hwang, Yu-Chen Hu, Fa-Kuen Shieh, Pieter Leyssen and Johan Neyts
Int. J. Mol. Sci. 2022, 23(14), 7646; https://doi.org/10.3390/ijms23147646 - 11 Jul 2022
Cited by 2 | Viewed by 2845
Abstract
Chikungunya virus (CHIKV) has repeatedly spread via the bite of an infected mosquito and affected more than 100 countries. The disease poses threats to public health and the economy in the infected locations. Many efforts have been devoted to identifying compounds that could [...] Read more.
Chikungunya virus (CHIKV) has repeatedly spread via the bite of an infected mosquito and affected more than 100 countries. The disease poses threats to public health and the economy in the infected locations. Many efforts have been devoted to identifying compounds that could inhibit CHIKV. Unfortunately, successful clinical candidates have not been found yet. Computations through the simulating recognition process were performed on complexation of the nsP3 protein of CHIKV with the structures of triply conjugated drug lead candidates. The outcomes provided the aid on rational design of functionalized quinazoline-(α-substituted coumarin)-arylsulfonate compounds to inhibit CHIKV in Vero cells. The molecular docking studies showed a void space around the β carbon atom of coumarin when a substituent was attached at the α position. The formed vacancy offered a good chance for a Michael addition to take place owing to steric and electronic effects. The best conjugate containing a quinazolinone moiety exhibited potency with EC50 = 6.46 μM, low toxicity with CC50 = 59.7 μM, and the selective index (SI) = 9.24. Furthermore, the corresponding 4-anilinoquinazoline derivative improved the anti-CHIKV potency to EC50 = 3.84 μM, CC50 = 72.3 μM, and SI = 18.8. The conjugate with 4-anilinoquinazoline exhibited stronger binding affinity towards the macro domain than that with quinazolinone via hydrophobic and hydrogen bond interactions. Full article
(This article belongs to the Collection Advances in Medicinal Chemistry)
Show Figures

Graphical abstract

11 pages, 3641 KB  
Article
Novel and Green Synthesis of Nitrogen-Doped Carbon Cohered Fe3O4 Nanoparticles with Rich Oxygen Vacancies and Its Application
by Xinxiang Cao, Huijie Zhu, Ben W.-L. Jang, Arash Mirjalili, Chunlai Yang, Luoqing Jiang, Siye Tang, Junjie Zhang, Juanjuan Qin and Long Zhang
Catalysts 2022, 12(6), 621; https://doi.org/10.3390/catal12060621 - 6 Jun 2022
Cited by 5 | Viewed by 2920
Abstract
A one-pot and green synthesis methodology was successfully designed to prepare nitrogen-doped carbon (NC) cohered Fe3O4 nanoparticles with rich oxygen vacancies (Fe3O4-OVs/NC). The preparation was achieved via cold-atmospheric-pressure air plasma using Fe2O3 nanoparticles [...] Read more.
A one-pot and green synthesis methodology was successfully designed to prepare nitrogen-doped carbon (NC) cohered Fe3O4 nanoparticles with rich oxygen vacancies (Fe3O4-OVs/NC). The preparation was achieved via cold-atmospheric-pressure air plasma using Fe2O3 nanoparticles as the only precursor, and pyridine as the carbon and nitrogen source. Systematic characterization results of the as-prepared Fe3O4-OVs/NC confirmed the transition from Fe2O3 to Fe3O4, along with the generation of oxygen vacancies, while preserving the original needle-like morphology of Fe2O3. Moreover, the results indicated the formation of the NC attaching to the surface of the formed Fe3O4 nanoparticles with a weight percent of ~13.6%. The synthesized nanocomposite was further employed as a heterogeneous Fenton catalyst to remove phenol from an aqueous solution. The material has shown excellent catalytic activity and stability, demonstrating a promising application for wastewater treatment. Full article
(This article belongs to the Special Issue Functional Materials for Application in Adsorption & Catalysis)
Show Figures

Figure 1

11 pages, 3523 KB  
Communication
Gradiometer Using Separated Diamond Quantum Magnetometers
by Yuta Masuyama, Katsumi Suzuki, Akira Hekizono, Mitsuyasu Iwanami, Mutsuko Hatano, Takayuki Iwasaki and Takeshi Ohshima
Sensors 2021, 21(3), 977; https://doi.org/10.3390/s21030977 - 2 Feb 2021
Cited by 14 | Viewed by 7129
Abstract
The negatively charged nitrogen-vacancy (NV) center in diamonds is known as the spin defect and using its electron spin, magnetometry can be realized even at room temperature with extremely high sensitivity as well as a high dynamic range. However, a magnetically shielded enclosure [...] Read more.
The negatively charged nitrogen-vacancy (NV) center in diamonds is known as the spin defect and using its electron spin, magnetometry can be realized even at room temperature with extremely high sensitivity as well as a high dynamic range. However, a magnetically shielded enclosure is usually required to sense weak magnetic fields because environmental magnetic field noises can disturb high sensitivity measurements. Here, we fabricated a gradiometer with variable sensor length that works at room temperature using a pair of diamond samples containing negatively charged NV centers. Each diamond is attached to an optical fiber to enable free sensor placement. Without any magnetically shielding, our gradiometer realizes a magnetic noise spectrum comparable to that of a three-layer magnetically shielded enclosure, reducing the noises at the low-frequency range below 1 Hz as well as at the frequency of 50 Hz (power line frequency) and its harmonics. These results indicate the potential of highly sensitive magnetic sensing by the gradiometer using the NV center for applications in noisy environments such as outdoor and in vehicles. Full article
(This article belongs to the Special Issue Magnetic Sensing/Functionalized Devices and Applications)
Show Figures

Figure 1

27 pages, 7226 KB  
Article
Physical Fundamentals of Biomaterials Surface Electrical Functionalization
by Karlis Baltacis, Vladimir Bystrov, Anna Bystrova, Yuri Dekhtyar, Talivaldis Freivalds, Jan Raines, Krista Rozenberga, Hermanis Sorokins and Martins Zeidaks
Materials 2020, 13(20), 4575; https://doi.org/10.3390/ma13204575 - 14 Oct 2020
Cited by 17 | Viewed by 2705
Abstract
This article is focusing on electrical functionalization of biomaterial’s surface to enhance its biocompatibility. It is an overview of previously unpublished results from a series of experiments concerning the effects surface electrical functionalization can have on biological systems. Saccharomyces cerevisiae cells were used [...] Read more.
This article is focusing on electrical functionalization of biomaterial’s surface to enhance its biocompatibility. It is an overview of previously unpublished results from a series of experiments concerning the effects surface electrical functionalization can have on biological systems. Saccharomyces cerevisiae cells were used for biological experiments. The hydroxyapatite (HAp) specimens were used to investigate influence of structural point defects on the surface electrical charge. Threshold photoelectron emission spectroscopy was used to measure the electron work function of HAp and biologic samples. The density functional theory and its different approximations were used for the calculation of HAp structures with defects. It was shown that the electrical charge deposition on the semiconductor or dielectric substrate can be delivered because of production of the point defects in HAp structure. The spatial arrangements of various atoms of the HAp lattice, i.e., PO4 and OH groups, oxygen vacancies, interstitial H atoms, etc., give the instruments to deposit the electrical charge on the substrate. Immobilization of the microorganisms can be achieved on the even surface of the substrate, characterized with a couple of nanometer roughness. This cells attachment can be controlled because of the surface electrical functionalization (deposition of the electrical charge). A protein layer as a shield for the accumulated surface charge was considered, and it was shown that the protein layer having a thickness below 1 µm is not crucial to shield the electrical charge deposited on the substrate surface. Moreover, the influence of surface charge on the attachment of microorganisms, when the surface roughness is excluded, and the influence of controlled surface roughness on the attachment of microorganisms, when surface charge is constant, were also considered. Full article
(This article belongs to the Special Issue Recent Advances in Biocoatings)
Show Figures

Figure 1

19 pages, 6569 KB  
Article
Picosecond Lifetime Hot Electrons in TiO2 Nanoparticles for High Catalytic Activity
by Bochao Li, Hao Li, Chang Yang, Boyu Ji, Jingquan Lin and Toshihisa Tomie
Catalysts 2020, 10(8), 916; https://doi.org/10.3390/catal10080916 - 10 Aug 2020
Cited by 7 | Viewed by 3630
Abstract
A large number of studies have examined the origins of high-catalytic activities of nanoparticles, but very few have discussed the lifetime of high-energy electrons in nanoparticles. The lifetime is one of the factors determining electron transfer and thus catalytic activity. Much of the [...] Read more.
A large number of studies have examined the origins of high-catalytic activities of nanoparticles, but very few have discussed the lifetime of high-energy electrons in nanoparticles. The lifetime is one of the factors determining electron transfer and thus catalytic activity. Much of the lifetime of electrons reported in the literature is too short for a high transfer-efficiency of photo-excited electrons from a catalyst to the attached molecules. We observed TiO2 nanoparticles using the femtosecond laser two-color pump-probe technique with photoemission electron microscopy having a 40 nm spatial resolution. A lifetime longer than 4 ps was observed together with a fast decay component of 100 fs time constant when excited by a 760 nm laser. The slow decay component was observed only when the electrons in an intermediate state pumped by the fundamental laser pulse were excited by the second harmonic pulse. The electronic structure for the asymmetry of the pump-probe signal and the origin of the two decay components are discussed based on the color center model of the oxygen vacancy. Full article
(This article belongs to the Special Issue Photo-Induced Electron Transfer Kinetics in Catalysis)
Show Figures

Graphical abstract

20 pages, 10957 KB  
Article
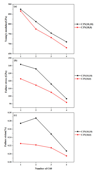
Mechanical Properties of C3N Nanotubes from Molecular Dynamics Simulation Studies
by Azam Salmankhani, Zohre Karami, Amin Hamed Mashhadzadeh, Mohammad Reza Saeb, Vanessa Fierro and Alain Celzard
Nanomaterials 2020, 10(5), 894; https://doi.org/10.3390/nano10050894 - 7 May 2020
Cited by 19 | Viewed by 3967
Abstract
Although the properties of carbon nanotubes (CNTs) are very well-known and are still extensively studied, a thorough understanding of other carbon-based nanomaterials such as C3N nanotubes (C3NNTs) is still missing. In this article, we used molecular dynamics simulation to [...] Read more.
Although the properties of carbon nanotubes (CNTs) are very well-known and are still extensively studied, a thorough understanding of other carbon-based nanomaterials such as C3N nanotubes (C3NNTs) is still missing. In this article, we used molecular dynamics simulation to investigate the effects of parameters such as chirality, diameter, number of walls, and temperature on the mechanical properties of C3N nanotubes, C3N nanobuds, and C3NNTs with various kinds of defects. We also modeled and tested the corresponding CNTs to validate the results and understand how replacing one C atom of CNT by one N atom affects the properties. Our results demonstrate that the Young’s modulus of single-walled C3NNTs (SWC3NNTs) increased with diameter, irrespective of the chirality, and was higher in armchair SWC3NNTs than in zigzag ones, unlike double-walled C3NNTs. Besides, adding a second and then a third wall to SWC3NNTs significantly improved their properties. In contrast, the properties of C3N nanobuds produced by attaching an increasing number of C60 fullerenes gradually decreased. Moreover, considering C3NNTs with different types of defects revealed that two-atom vacancies resulted in the greatest reduction of all the properties studied, while Stone–Wales defects had the lowest effect on them. Full article
Show Figures

Graphical abstract

Back to TopTop