Sign in to use this feature.

Years

Between: -

Subjects

remove_circle_outline
remove_circle_outline
remove_circle_outline
remove_circle_outline
remove_circle_outline
remove_circle_outline
remove_circle_outline

Journals

Article Types

Countries / Regions

Search Results (252)

Search Parameters:
Keywords = urologic-oncology

Order results
Result details
Results per page
Select all
Export citation of selected articles as:
11 pages, 1153 KB  
Case Report
Partial Androgen Insensitivity Syndrome and Congenital Adrenal Hyperplasia—A Case Report of the Coexistence of Two Rare Diseases in One Patient
by Mariola Krzyścin, Agnieszka Brodowska, Gabriela Furtak, Dominika Pietrzyk, Katarzyna Zając, Bartosz Oder, Adam Przepiera and Elżbieta Sowińska-Przepiera
Reports 2025, 8(4), 212; https://doi.org/10.3390/reports8040212 - 23 Oct 2025
Viewed by 317
Abstract
Background and Clinical Significance: In a single phenotypically female patient, we describe the rare co-occurrence of partial androgen insensitivity syndrome (PAIS) and congenital adrenal hyperplasia (CAH). Partial androgen insensitivity syndrome (PAIS) is one of disorder of sex development (DSD) with a 46 [...] Read more.
Background and Clinical Significance: In a single phenotypically female patient, we describe the rare co-occurrence of partial androgen insensitivity syndrome (PAIS) and congenital adrenal hyperplasia (CAH). Partial androgen insensitivity syndrome (PAIS) is one of disorder of sex development (DSD) with a 46 XY karyotype. Congenital adrenal hyperplasia (CAH) is a genetic defect in adrenal steroidogenesis. Case presentation: We present the case of a 26-year-old female patient who was observed to have abnormally formed external genitourinary organs. She was diagnosed at the neonatal period. Tests performed showed a 46 XY karyotype, an absence of sex chromatin with a weakly positive DNA test for the SRY gene, an absence of uterine primordium with the presence of male gonads in the perineal skin folds, and a urethral outlet at the base of an undeveloped genital process. The daily urinary steroid excretion profile was normal. The patient was diagnosed with partial androgen insensitivity syndrome (PAIS). As a 4-year-old child, she underwent a bilateral gonadectomy due to possible further virilization and also the risk of testicular malignancy. Despite treatment, progressive androgenization was observed, the cause of which turned out to be congenital adrenal hyperplasia (CAH) in the course of P450 oxidoreductase (POR) disorder. Conclusions: In this article, we highlight the exceptional rarity of the co-occurrence of PAIS and CAH, underscoring the need for a multidisciplinary and individualized approach in the absence of clear guidelines regarding surgical timing and gender identity. Careful clinical evaluation and ongoing observation are essential for accurate diagnosis and optimal patient care. Full article
Show Figures

Figure 1

13 pages, 339 KB  
Conference Report
Advancing Preventive Medicine: Highlights from the First International Congress of Preventive Medicine
by Roxana-Elena Bohîlțea, Bianca Tache, Lavinia Găină, Mădălina Mitroiu, Bianca Margareta Salmen, Ducu Ioniță and Cristiana-Elena Durdu
Rom. J. Prev. Med. 2025, 3(1), 3; https://doi.org/10.3390/rjpm3010003 - 21 Oct 2025
Viewed by 178
Abstract
This article presents the report of the First International Congress of Preventive Medicine, organized by the Romanian Society of Preventive Medicine (SRMP) in March 2025, in Bucharest, Romania. The congress featured 11 discussion panels and workshops, bringing together over 85 experts from a [...] Read more.
This article presents the report of the First International Congress of Preventive Medicine, organized by the Romanian Society of Preventive Medicine (SRMP) in March 2025, in Bucharest, Romania. The congress featured 11 discussion panels and workshops, bringing together over 85 experts from a wide range of medical disciplines, including oncology, vaccination, cardiology, endocrinology, gynecology, gastroenterology, surgery, family medicine, physical therapy, pulmonology, epidemiology, pediatrics, dentistry, pathology, ENT, genetics, pediatric cardiology, psychiatry, dermatology, plastic surgery, urology, infectious diseases, regenerative medicine, and other key stakeholders in preventive healthcare. The event served as a comprehensive platform for addressing critical public health challenges, with a focus on cancer prevention, anti-aging, oral health, genetics in preventive medicine, preventive cardiology and neurology, the correlation between craniofacial dysfunctions and posture, vaccination strategies, management of congenital malformations, neonatal screening, and the prevention of lifestyle-related diseases such as obesity and tobacco addiction. Furthermore, the congress highlighted the importance of interdisciplinary collaboration and evidence-based interventions in improving population health outcomes. It emphasized the urgent need for coordinated actions to address preventable diseases both at the national and international levels. Full article
14 pages, 2702 KB  
Article
Renal Decompression for Malignant Ureteric Obstruction: A Tertiary Hospital Cohort Analysis
by Alex Buckby, Rowan David and Arman Kahokehr
Soc. Int. Urol. J. 2025, 6(5), 62; https://doi.org/10.3390/siuj6050062 - 21 Oct 2025
Viewed by 377
Abstract
Background/Objectives: Malignant ureteric obstruction is an increasingly common problem; however, its treatment remains challenging due to associated poor survival and quality of life outcomes. There is a lack of consensus on how to best manage these patients. We provide a description of [...] Read more.
Background/Objectives: Malignant ureteric obstruction is an increasingly common problem; however, its treatment remains challenging due to associated poor survival and quality of life outcomes. There is a lack of consensus on how to best manage these patients. We provide a description of the survival outcomes, renal function outcomes, complications, and prognostic factors associated with the treatment of malignant ureteric obstruction in a cohort of patients at our tertiary Urology unit. Methods: A retrospective review of prospectively identified patients treated for malignant ureteric obstruction at our tertiary Urology unit was performed. Obstruction was relieved with either retrograde insertion of a ureteric stent or percutaneous nephrostomy between the 1st of January 2018, and 31st of December 2023. Renal function, complications, and survival data were recorded. Subgroup analysis and survival analysis were performed to determine prognostic factors. Results: Eighty-four patients underwent treatment for malignant ureteric obstruction with a median survival of 197 days (3–1549 days). A total of 51% percent of patients had a stent-related complication requiring hospitalisation, resulting in a total of 966 additional days in hospital. A total of 78% of patients had improved renal function at 12 months. Factors associated with worse survival included emergency treatment of malignant ureteric obstruction, having no further oncological treatment, receiving no oncological-specific treatment for malignancy, bilateral obstruction, female gender, and poor Primary site, Laterality, serum Creatinine level, and Treatment for primary site (PLaCT) prognosis group (p =< 0.01). Conclusions: Patients with malignant ureteric obstruction have a poor prognosis despite intervention. Treatment is often futile and associated with a significant burden of complications related to ureteric stents and percutaneous nephrostomies. Full article
Show Figures

Figure 1

19 pages, 1208 KB  
Article
Local Recurrence After Nephron Surgery: What to Do? An Italian Multicentric Registry
by Angelo Porreca, Filippo Marino, Davide De Marchi, Marco Giampaoli, Daniele D’Agostino, Francesca Simonetti, Antonio Amodeo, Paolo Corsi, Francesco Claps, Alessandro Crestani, Riccardo Bertolo, Alessandro Antonelli, Fabrizio Di Maida, Andrea Minervini, Paolo Parma, Roberto Falabella, Stefano Zaramella, Francesco Greco, Maria Chiara Sighinolfi, Bernardo Rocco, Carmine Sciorio, Antonio Celia, Francesca Romana Prusciano, Pier Paolo Prontera, Gian Maria Busetto and Luca Di Gianfrancescoadd Show full author list remove Hide full author list
Cancers 2025, 17(19), 3269; https://doi.org/10.3390/cancers17193269 - 9 Oct 2025
Viewed by 458
Abstract
Introduction and Objectives: Local recurrence (LR) in patients treated with surgery for renal cell carcinoma (RCC) remains a significant clinical challenge that requires thorough investigation. Our study aimed to identify the relative risk factors and explore the optimal clinical management of LR. Materials [...] Read more.
Introduction and Objectives: Local recurrence (LR) in patients treated with surgery for renal cell carcinoma (RCC) remains a significant clinical challenge that requires thorough investigation. Our study aimed to identify the relative risk factors and explore the optimal clinical management of LR. Materials and Methods: We conducted a non-randomized, observational, retrospective multicentric registry involving multiple Italian urological centers. We included patients treated with surgery (either nephron-sparing or radical nephrectomy) who later developed LR, defined as recurrence in the ipsilateral kidney or renal fossa. Patients with hereditary syndromes or metastatic disease at the time of LR diagnosis were excluded. Results: We reported 135 cases of LR with the following characteristics: most primary lesions were monofocal (85.7%), with a median size of 42 mm (23–53), the median R.E.N.A.L. score was 7 (6–8), and the median Padua score was 7 (6–9). Patients were treated with robot-assisted techniques in 59% of cases, laparoscopic surgery in 32.4%, and open surgery in 8.6%. Nephron-sparing surgery was performed in 75.2% of cases. Ischemia occurred in 61% of the cases, with a median ischemia time of 21 min (15.5–24). Intraoperative complications occurred in 3.8% of cases, while postoperative complications were reported in 13.8%, all of which were grade ≤3 according to the Clavien–Dindo classification. The primary tumors were pT1a in 43.5% of cases, pT1b in 26.3%, pT2 in 14.7% and pT3 in 15.5%. Histologically, 84% of cases were clear cell, 11.3% papillary type 1 or 2, and 3.7% chromophobe. Sarcomatoid/rhabdoid variants were present in 10.5% of cases. The median rate of LR was 1.3% (range 0.2–3.6), while the median time to LR was 18 months (12–39). LR occurred in the ipsilateral kidney in 70.5% of cases and in the ipsilateral renal fossa in 29.5%. The median rate of PSM in LR cases at initial surgery was 2.4% (range 0–4.3), while the median rate of negative surgical margin (NSM) in LR cases at initial surgery was 0.1 (0–0.3). Following LR diagnosis, most patients (49.2%) underwent surgery, 29.1% received cryoablation or radiotherapy, 17.1% received systemic treatment alone, and 4.6% followed a watchful waiting/active surveillance approach. At a median follow-up of 62 months, the highest oncological control in terms of 5-year cancer-specific survival and overall survival rates was achieved in surgically treated patients. The PSM, the histological variant, and their combination were found to be independent variables correlated with the occurrence of LR, with relative risks of 3.62, 2.71, and 8.12, respectively. Conclusions: LR after nephron-sparing or radical nephrectomy represents a significant clinical dilemma. Known risk factors are not always sufficient to predict recurrence, emphasizing the necessity of consistent radiological follow-up per guideline recommendations. Early detection of recurrence and a multidisciplinary approach involving expert centers are crucial for optimizing patient outcomes. Full article
(This article belongs to the Special Issue Optimizing Surgical Procedures and Outcomes in Renal Cancer)
Show Figures

Figure 1

13 pages, 1016 KB  
Article
Clinical Predictors and Prognostic Significance of Pathologic Disease Upstaging at Radical Cystectomy in Patients with Muscle-Invasive Bladder Cancer
by Salvador Jaime-Casas, Wesley Yip, Daniel J. Lama, Vitor Goes, Miguel Zugman, Koral Shah, Regina Barragan-Carrillo, Hedyeh Ebrahimi, Daniela V. Castro, Yu Jun Li, Benjamin Mercier, JoAnn Hsu, Xiaochen Li, Clayton S. Lau, Kevin G. Chan, Bertram E. Yuh, Alexander Chehrazi-Raffle, Sumanta K. Pal and Abhishek Tripathi
Cancers 2025, 17(19), 3265; https://doi.org/10.3390/cancers17193265 - 9 Oct 2025
Viewed by 395
Abstract
Introduction: Staging inaccuracies in muscle-invasive bladder cancer (MIBC) can lead to undertreatment or overtreatment. We evaluated clinical and pathological predictors of pathologic upstaging (pUS) stratifying by neoadjuvant chemotherapy (NAC) receipt among patients undergoing robot-assisted radical cystectomy (RARC). Methods: We included patients with MIBC [...] Read more.
Introduction: Staging inaccuracies in muscle-invasive bladder cancer (MIBC) can lead to undertreatment or overtreatment. We evaluated clinical and pathological predictors of pathologic upstaging (pUS) stratifying by neoadjuvant chemotherapy (NAC) receipt among patients undergoing robot-assisted radical cystectomy (RARC). Methods: We included patients with MIBC (≥cT2N0M0) who underwent RARC from February 2004 through October 2020. Patients were grouped as (1) pUS with NAC, (2) pUS without NAC, and (3) no pUS (reference). Baseline characteristics were summarized using descriptive statistics. Logistic regression assessed the association between baseline characteristics and odds for upstaging. Kaplan–Meier method estimated overall survival (OS) and recurrence-free survival (RFS), and log-rank test compared the survival distribution between groups. Univariable and multivariable Cox regression models identified variables associated with OS and RFS. Results: Among 277 patients, 38.6% (n = 107) were upstaged with NAC (n = 37) or without NAC (n = 70). Most were male (79%), white (72%), and had cT2 stage (85%). Median age at surgery was 72 yrs. Preoperative hydronephrosis showed higher odds of upstaging [OR 2.24 (95% CI, 1.31–3.81), p = 0.003]. pUS with NAC [HR 1.99 (95% CI, 1.23–3.22), p = 0.005] and without NAC [HR 3.18 (95% CI, 2.21–4.55), p < 0.001] predicted worse OS (33.5 vs. 18.8 mos) compared to patients without pUS (135.3 mos). pUS with NAC [HR 2.49 (95% CI, 1.58–3.94) p < 0.001] and without NAC [HR 3.02 (95% CI 2.11–4.31), p < 0.001] predicted worse RFS. Conclusions: Preoperative hydronephrosis was the strongest predictor for pUS, independent of other baseline covariates. This highlights the need for better pre-operative risk stratification strategies for patients with MIBC undergoing RARC. Full article
(This article belongs to the Section Cancer Causes, Screening and Diagnosis)
Show Figures

Figure 1

38 pages, 6947 KB  
Article
EfficientNet-B3-Based Automated Deep Learning Framework for Multiclass Endoscopic Bladder Tissue Classification
by A. A. Abd El-Aziz, Mahmood A. Mahmood and Sameh Abd El-Ghany
Diagnostics 2025, 15(19), 2515; https://doi.org/10.3390/diagnostics15192515 - 3 Oct 2025
Viewed by 525
Abstract
Background: Bladder cancer (BLCA) is a malignant growth that originates from the urothelial lining of the urinary bladder. Diagnosing BLCA is complex due to the variety of tumor features and its heterogeneous nature, which leads to significant morbidity and mortality. Understanding tumor histopathology [...] Read more.
Background: Bladder cancer (BLCA) is a malignant growth that originates from the urothelial lining of the urinary bladder. Diagnosing BLCA is complex due to the variety of tumor features and its heterogeneous nature, which leads to significant morbidity and mortality. Understanding tumor histopathology is crucial for developing tailored therapies and improving patient outcomes. Objectives: Early diagnosis and treatment are essential to lower the mortality rate associated with bladder cancer. Manual classification of muscular tissues by pathologists is labor-intensive and relies heavily on experience, which can result in interobserver variability due to the similarities in cancerous cell morphology. Traditional methods for analyzing endoscopic images are often time-consuming and resource-intensive, making it difficult to efficiently identify tissue types. Therefore, there is a strong demand for a fully automated and reliable system for classifying smooth muscle images. Methods: This paper proposes a deep learning (DL) technique utilizing the EfficientNet-B3 model and a five-fold cross-validation method to assist in the early detection of BLCA. This model enables timely intervention and improved patient outcomes while streamlining the diagnostic process, ultimately reducing both time and costs for patients. We conducted experiments using the Endoscopic Bladder Tissue Classification (EBTC) dataset for multiclass classification tasks. The dataset was preprocessed using resizing and normalization methods to ensure consistent input. In-depth experiments were carried out utilizing the EBTC dataset, along with ablation studies to evaluate the best hyperparameters. A thorough statistical analysis and comparisons with five leading DL models—ConvNeXtBase, DenseNet-169, MobileNet, ResNet-101, and VGG-16—showed that the proposed model outperformed the others. Conclusions: The EfficientNet-B3 model achieved impressive results: accuracy of 99.03%, specificity of 99.30%, precision of 97.95%, recall of 96.85%, and an F1-score of 97.36%. These findings indicate that the EfficientNet-B3 model demonstrates significant potential in accurately and efficiently diagnosing BLCA. Its high performance and ability to reduce diagnostic time and cost make it a valuable tool for clinicians in the field of oncology and urology. Full article
(This article belongs to the Special Issue AI and Big Data in Medical Diagnostics)
Show Figures

Figure 1

19 pages, 312 KB  
Review
Beyond Da Vinci: Comparative Review of Next-Generation Robotic Platforms in Urologic Surgery
by Stamatios Katsimperis, Lazaros Tzelves, Georgios Feretzakis, Themistoklis Bellos, Panagiotis Triantafyllou, Polyvios Arseniou and Andreas Skolarikos
J. Clin. Med. 2025, 14(19), 6775; https://doi.org/10.3390/jcm14196775 - 25 Sep 2025
Viewed by 1076
Abstract
Robotic surgery has become a cornerstone of modern urologic practice, with the da Vinci system maintaining dominance for over two decades. In recent years, however, a new generation of robotic platforms has emerged, introducing greater competition and innovation into the field. These systems [...] Read more.
Robotic surgery has become a cornerstone of modern urologic practice, with the da Vinci system maintaining dominance for over two decades. In recent years, however, a new generation of robotic platforms has emerged, introducing greater competition and innovation into the field. These systems aim to address unmet needs through features such as modular architectures, enhanced ergonomics, haptic feedback, and cost-containment strategies. Several platforms—including Hugo™ RAS, Versius™, Avatera™, REVO-I, Hinotori™, Senhance™, KangDuo, MicroHand S, Dexter™, and Toumai®—have entered clinical use with early results demonstrating perioperative and short-term oncologic outcomes broadly comparable to those of established systems, particularly in procedures such as radical prostatectomy, partial nephrectomy, and radical cystectomy. At the same time, they introduce unique advantages in workflow flexibility, portability, and economic feasibility. Nevertheless, important challenges remain, including the need for rigorous comparative trials, standardized training curricula, and long-term cost-effectiveness analyses. The integration of artificial intelligence, augmented reality, and telesurgery holds the potential to further expand the role of robotics in urology, offering opportunities to enhance precision, improve accessibility, and redefine perioperative care models. This review summarizes the evolving landscape of robotic platforms in urology, highlights their clinical applications and limitations, and outlines future directions for research, training, and global implementation. Full article
(This article belongs to the Special Issue The Current State of Robotic Surgery in Urology)
24 pages, 1138 KB  
Review
Emerging Biomarkers in Urological Cancers: Angiogenesis and Damage-Associated Molecular Pattern Signaling
by Kacper Robert Karpiuk, Grzegorz Młynarczyk, Joanna Matowicka-Karna and Barbara Darewicz
Int. J. Mol. Sci. 2025, 26(18), 9130; https://doi.org/10.3390/ijms26189130 - 18 Sep 2025
Viewed by 674
Abstract
The interaction between tumor cells and stroma in urological malignancies is governed by secreted and damage-associated factors that promote angiogenesis, immune modulation, and metastasis. This review synthesizes current evidence on six biomarkers—GDF15, VEGF, TGF-β1, HSP90, HMGB1, and S100A9—detailing their biological functions [...] Read more.
The interaction between tumor cells and stroma in urological malignancies is governed by secreted and damage-associated factors that promote angiogenesis, immune modulation, and metastasis. This review synthesizes current evidence on six biomarkers—GDF15, VEGF, TGF-β1, HSP90, HMGB1, and S100A9—detailing their biological functions and clinical implications. We discuss GDF15’s roles in metabolic stress and immune regulation, VEGF’s central role in neovascularization, and TGF-β1’s dualistic tumor-suppressive and promotive effects. We then examine damage-associated molecular patterns, highlighting HSP90’s extracellular immunomodulation, HMGB1’s signaling via pattern-recognition receptors, and S100A9’s pro-inflammatory activity through RAGE and Toll-like receptors. Comparative analyses across renal cell carcinoma and bladder cancer cohorts elucidate each marker’s diagnostic accuracy, prognostic value, and predictive capacity for targeted therapies. Notably, GDF15 and HSP90 correlate with ferroptosis susceptibility in RCC and urinary VEGF with HMGB1 increases the chances of non-invasive bladder cancer detection. We suggest that multiplexed biomarker panels could enhance early detection, risk stratification, and personalized treatment in urological oncology. We advocate for prospective studies to validate thresholds, clarify interactions, and improve clinical integration. Full article
(This article belongs to the Section Molecular Oncology)
Show Figures

Figure 1

13 pages, 2279 KB  
Article
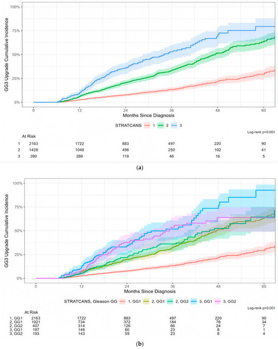
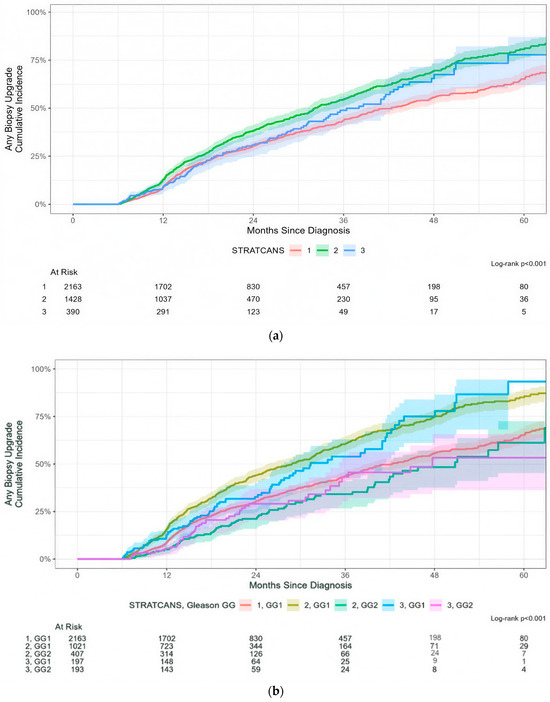
Application of the STRATCANS Criteria to the MUSIC Prostate Cancer Active Surveillance Cohort: A Step Towards Risk-Stratified Active Surveillance
by Ana M. Moser, Michael Wang, Ava Zamani, Sabir Meah, Stephanie Daignault-Newton, Corinne Labardee, Nicholas Dybas, Jacob Clapper, Brian R. Lane, Tudor Borza, Alice Semerjian, Vincent J. Gnanapragasam and Kevin B. Ginsburg
Cancers 2025, 17(18), 3032; https://doi.org/10.3390/cancers17183032 - 17 Sep 2025
Viewed by 509
Abstract
Background: The STRATified CANcer Surveillance (STRATCANS) model risk-stratifies patients with prostate cancer (PC) on active surveillance (AS) into three tiers based on their risk of disease progression. We applied STRATCANS to the Michigan Urological Surgery Improvement Collaborative (MUSIC) Prostate registry to assess its [...] Read more.
Background: The STRATified CANcer Surveillance (STRATCANS) model risk-stratifies patients with prostate cancer (PC) on active surveillance (AS) into three tiers based on their risk of disease progression. We applied STRATCANS to the Michigan Urological Surgery Improvement Collaborative (MUSIC) Prostate registry to assess its association with the risk of biopsy upgrading and time to definitive treatment in a diverse, real-world AS cohort. Methods: We retrospectively reviewed the MUSIC registry for PC patients on AS from 2016 to 2022 and classified patients by STRATCANS tier. Primary outcomes included biopsy upgrading to ≥Grade Group 3 (≥GG3), any biopsy upgrading, and time to definitive treatment. Results: Among 7578 men on AS, 4009, 2732, and 837 patients were in STRATCANS 1, 2, and 3, respectively. The risk of progression to ≥GG3 was 13%, 33%, and 53% for patients in STRATCANS 1, 2, and 3, respectively (p < 0.001). The rate of any biopsy upgrading was approximately 50% at 3 years across all STRATCANS tiers. STRATCANS tiers were also significantly associated with time to definitive treatment, with 16%, 28%, and 35% of men in STRATCANS 1, 2, and 3, respectively, receiving definitive treatment by 36 months. Limitations include confounding inherent to retrospective registry studies, a short 60-month follow-up period, and variability in biopsy method with no centralized pathology and radiology review. Conclusions: STRATCANS has a stepwise association with the risk of progression to ≥GG3 disease and time to definitive treatment among men on AS in the MUSIC cohort, supporting its use as a risk-based, follow-up approach in men on AS. Full article
Show Figures

Figure 1

24 pages, 3066 KB  
Article
miR-25-3p Modulates Tumor Aggressiveness and Ferroptosis Escape in T24 Bladder Cancer Cells In Vitro
by Andresa Hiromi Sakai, Érica Romão Pereira, Anna Gabriele Prado dos Santos, Débora Hipólito Quadreli, Luan Vitor Alves de Lima, Diego Luis Ribeiro, Samira Rahimirad, Carolina Mathias, Monyse de Nóbrega, Mário Sérgio Mantovani, Glaura Scantamburlo Alves Fernandes, Ilce Mara de Syllos Cólus and Juliana Mara Serpeloni
Pharmaceuticals 2025, 18(9), 1382; https://doi.org/10.3390/ph18091382 - 16 Sep 2025
Viewed by 690
Abstract
Background/Objectives: Urothelial bladder carcinoma (UBC) is one of the most prevalent malignancies worldwide, and efforts have intensified to identify molecular markers that improve the prognosis and reduce treatment costs. Among the regulators of tumor behavior, microRNAs (miRNAs) have emerged as promising biomarkers [...] Read more.
Background/Objectives: Urothelial bladder carcinoma (UBC) is one of the most prevalent malignancies worldwide, and efforts have intensified to identify molecular markers that improve the prognosis and reduce treatment costs. Among the regulators of tumor behavior, microRNAs (miRNAs) have emerged as promising biomarkers for cancer diagnoses and treatment. The modulation of miR-25-3p has been associated with pancreatic, colorectal, and lung cancers; its role in UBC remains poorly explored. In this study, we investigated the effects of miR-25-3p modulation in a high-grade and muscle-invasive bladder cancer (MIBC) cell line (T24), using in vitro functional assays and bioinformatics approaches. Results: Bioinformatics analyses using TCGA-BLCA datasets revealed that miR-25-3p is upregulated in tumor tissues compared to non-tumor tissues, prompting an investigation into its molecular targets and related pathways. The transfection of T24 cells with an miR-25-3p mimic and inhibitor led to respective overexpression (11.16-fold) and downregulation (-2.82-fold) compared to the negative control. Functionally, miR-25-3p overexpression increased cell proliferation, viability, and migration, while its inhibition decreased the cell migration capacity. A gene expression analysis revealed that miR-25-3p overexpression resulted in the downregulation of TP53, AIFM1, NFE2L2, TFRC, ACSL4, SLC7A11, and SLC3A2, whereas MMP9, MMP11, and GPX4 were upregulated, suggesting a role in both migration and ferroptosis regulation. In the inhibitor group, increased SLC3A2 and decreased MMP11 expression further supported this connection. Our results using an in vitro model for MIBC with the transfection of T24 cells suggest that miR-25-3p influences key pathways involved in oxidative stress and cell death, promoting a more aggressive tumor phenotype. Conclusions: The modulation of miR-25-3p impacts the behavior of T24 bladder cancer cells and may indicate its role in disease progression. Our results underscore the potential of miR-25-3p as a prognostic biomarker and support further studies considering its therapeutic relevance in managing high-grade and muscle-invasive bladder cancer. Full article
(This article belongs to the Special Issue Therapeutic Applications of Micro-RNA in Cancer Management)
Show Figures

Graphical abstract

11 pages, 4595 KB  
Article
Computed Tomography of Neoplastic Infiltrating Renal Masses in Patients Without a Previous History of Cancer
by Carlos Nicolau, Andreu Ivars, Carmen Sebastia, Clara Bassaganyas, María Fresno, Leonardo Rodríguez, Josep Puig, Marc Comas-Cufí and Blanca Paño
Cancers 2025, 17(17), 2936; https://doi.org/10.3390/cancers17172936 - 8 Sep 2025
Viewed by 658
Abstract
Background/Objectives: Infiltrative renal masses, characterized by ill-defined margins and parenchymal invasion without forming a discrete mass, present a diagnostic challenge, particularly in patients without a prior history of malignancy. Differentiating among the most common malignant etiologies—renal cell carcinoma (RCC), urothelial carcinoma (UC), and [...] Read more.
Background/Objectives: Infiltrative renal masses, characterized by ill-defined margins and parenchymal invasion without forming a discrete mass, present a diagnostic challenge, particularly in patients without a prior history of malignancy. Differentiating among the most common malignant etiologies—renal cell carcinoma (RCC), urothelial carcinoma (UC), and lymphoma—is essential for guiding appropriate treatment. This study aimed to evaluate whether specific computed tomography (CT) features can assist in the differential diagnosis of these lesions. Methods: A retrospective review was conducted on 68 patients with infiltrative renal masses presented at a tertiary hospital’s oncologic urology committee between 2018 and 2022. Patients with prior malignancy or signs of infection were excluded. All cases underwent contrast-enhanced CT within three months of diagnosis and had histopathological confirmation. Imaging features such as necrosis, collecting system involvement, lymphadenopathy, and others were assessed and statistically analyzed. Results: RCC was the most frequent diagnosis (68%), followed by UC (18%) and lymphoma (7.4%). Significant differences were observed in imaging features: necrosis was more common in RCC (87%) than in UC (25%) and lymphoma (20%), p < 0.001; collecting system involvement was universal in UC (100%) and less common in RCC (65%) and lymphoma (40%), p = 0.009; and lymphadenopathy was more frequent in lymphoma (80%) than in UC (67%) and RCC (35%), p = 0.038. Tumor size also varied significantly, with lymphomas presenting the largest median size (11 cm), followed by RCCs (8.2 cm) and UCs (5 cm), p < 0.001. Conclusions: CT imaging features, particularly necrosis, collecting system involvement, and lymphadenopathy, can aid in distinguishing among RCC, UC, and lymphoma in patients with infiltrative renal masses and no prior cancer history. These findings may support more accurate diagnoses and inform tailored therapeutic strategies. Full article
(This article belongs to the Section Methods and Technologies Development)
Show Figures

Figure 1

17 pages, 270 KB  
Review
Single-Port vs. Multi-Port Robotic Surgery in Urologic Oncology: A Comparative Analysis of Current Evidence and Future Directions
by Stamatios Katsimperis, Lazaros Tzelves, Georgios Feretzakis, Themistoklis Bellos, Konstantinos Douroumis, Nikolaos Kostakopoulos and Andreas Skolarikos
Cancers 2025, 17(17), 2847; https://doi.org/10.3390/cancers17172847 - 29 Aug 2025
Cited by 2 | Viewed by 1336
Abstract
The evolution of robotic surgery in urologic oncology has led to the emergence of single-port (SP) robotic systems as a potential alternative to the widely adopted multi-port (MP) platforms. This narrative review provides a comprehensive comparison between SP and MP robotic systems, the [...] Read more.
The evolution of robotic surgery in urologic oncology has led to the emergence of single-port (SP) robotic systems as a potential alternative to the widely adopted multi-port (MP) platforms. This narrative review provides a comprehensive comparison between SP and MP robotic systems, the former of which received FDA approval in 2018 and CE marking in 2024, focusing on their application across radical prostatectomy, partial and radical nephrectomy, and radical cystectomy. Drawing from the most current literature, we examine perioperative outcomes, oncologic efficacy, postoperative recovery, and complication rates. The review highlights the technical challenges unique to SP surgery, including restricted triangulation, limited instrumentation, and a defined learning curve, while also emphasizing innovations such as transvesical prostatectomy and the Supine Anterior Retroperitoneal Access (SARA) approach. Additionally, we explore the potential impact of emerging technologies—such as artificial intelligence, augmented reality, and telesurgery—on the future of SP platforms. Despite early limitations, SP systems have demonstrated comparable safety and effectiveness in selected cases and may offer unique advantages in specific anatomical scenarios. Continued innovation, structured training, and robust long-term outcome data will be essential for the broader adoption and integration of SP robotic surgery in clinical practice. Full article
(This article belongs to the Special Issue Robot-Assisted Surgery for Urologic Cancer)
19 pages, 1701 KB  
Review
Hybrid Surgical Guidance in Urologic Robotic Oncological Surgery
by Gijs H. KleinJan, Erik J. van Gennep, Arnoud W. Postema, Fijs W. B. van Leeuwen and Tessa Buckle
J. Clin. Med. 2025, 14(17), 6128; https://doi.org/10.3390/jcm14176128 - 29 Aug 2025
Viewed by 704
Abstract
Urologic oncological surgery increasingly makes use of robotic systems to realize precise and minimally invasive resections, convent to shorter hospital stays and faster recovery times. The dexterity gains enabled through procedures such as robot-assisted (RA) prostatectomy have helped realize significant advancements in recent [...] Read more.
Urologic oncological surgery increasingly makes use of robotic systems to realize precise and minimally invasive resections, convent to shorter hospital stays and faster recovery times. The dexterity gains enabled through procedures such as robot-assisted (RA) prostatectomy have helped realize significant advancements in recent years. Complementing these effects via the used of hybrid tracers that illuminate surgical targets, i.e., cancerous tissue, has helped advance the surgical decision making via enhanced visualization. A well-known example is Indocyanine green (ICG)-Technetium-99m (99mTc)-nanocolloid, a hybrid extension of the radiopharmaceutical 99mTc-nanocolloid. These hybrid tracers provide a direct link between preoperative imaging roadmaps and intraoperative target identification, and improve efficiency, accuracy, and confidence of the urologist in procedures such as sentinel lymph node biopsy (SLNB). Receptor-targeted hybrid tracer analogues, for e.g., prostate specific membrane antigen (PSMA), are also being explored as an extension of the ongoing efforts that use radiotracers such as 99mTc-PSMA-I&S. Together, these efforts jointly pave the way for novel techniques in intraoperative lesion localization in other urological malignancies. This narrative review discusses the potential use of hybrid tracers in robotic oncological urology, including different imaging techniques and their applications for tumor localization for prostate, bladder, and kidney cancer. Full article
(This article belongs to the Special Issue The Current State of Robotic Surgery in Urology)
Show Figures

Figure 1

9 pages, 489 KB  
Review
Early Clinical Outcomes of the Novel Hinotori Robotic System in Urological Surgery—A Review of Existing Literature
by Simone Meiqi Ong, Hong Min Peng, Wei Zheng So and Ho Yee Tiong
Soc. Int. Urol. J. 2025, 6(4), 56; https://doi.org/10.3390/siuj6040056 - 19 Aug 2025
Viewed by 1118
Abstract
Robotic-assisted surgery has gradually established its role in uro-oncological cases that demand a high level of precision, optimising surgeon ergonomics and decreasing fatigue whilst maintaining optimal clinical outcomes. With the novel Hinotori surgical robot (Medicaroid Corporation (Kobe, Hyogo, Japan)) launched in Japan back [...] Read more.
Robotic-assisted surgery has gradually established its role in uro-oncological cases that demand a high level of precision, optimising surgeon ergonomics and decreasing fatigue whilst maintaining optimal clinical outcomes. With the novel Hinotori surgical robot (Medicaroid Corporation (Kobe, Hyogo, Japan)) launched in Japan back in 2019, it has now demonstrated its use case across various clinical series of different surgeries. We sought to narratively synthesise the initial feasibility of the Hinotori robotic system in urology. A systematic, comprehensive literature search was conducted across various databases from September 2024 to October 2024. Relevant keywords within the scope of this study were generated for a more accurate search. After exclusion and removal of duplicates, a total of nine articles were included for review. Among the included studies, one study reported data solely on radical prostatectomy for prostate cancer, two studies reported on robotic-assisted nephroureterectomy for renal tumours, two studies reported on partial nephrectomy performed for renal masses, two studies reported on radical nephrectomy carried out for renal malignancies and one study reported on robotic-assisted adrenalectomy for adrenal cancer. Lastly, one study collectively reported on outcomes pertaining to partial nephrectomy, partial nephrectomy, vesicourethral anastomosis and pelvic lymph node dissection in a porcine model, as well as partial nephrectomy, radical prostatectomy and pelvic lymph node dissection in cadavers. The current literature supports its non-inferiority to the well-established Da Vinci system, with no major drawbacks or concerns identified when comparing parameters such as intraoperative time, estimated blood loss (EBL), perioperative events (transfusions, conversion to open surgery), length of hospital stay and major postoperative complications. Future studies involving larger cohorts and more complex surgical cases are essential to further evaluate the efficacy and safety of the Hinotori system. The new Hinotori robotic system offers unique three-dimensional features as a non-inferior robotic platform alternative that has proven clinically safe thus far in its use. Larger scale studies and randomised trials are eagerly awaited to assess and validate more holistically its clinical utility. Full article
Show Figures

Figure 1

17 pages, 1715 KB  
Article
Biochemical Changes in Prostate Cancer: FMNL1 and PAK1 in Plasma and Urine
by Elif Bilgin Doğru, Selçuk Erdem, Hilal Oğuz Soydinç, Ayça İribaş and Derya Duranyıldız
Curr. Issues Mol. Biol. 2025, 47(8), 648; https://doi.org/10.3390/cimb47080648 - 13 Aug 2025
Viewed by 509
Abstract
Prostate cancer is a clinically heterogeneous disease. Since PSA is not cancer-specific, and due to the bone metastases seen in the advanced stage and bone deformations caused by hormone therapy, it is necessary to use new biomarkers. Formin-like-protein 1 (FMNL1), a member of [...] Read more.
Prostate cancer is a clinically heterogeneous disease. Since PSA is not cancer-specific, and due to the bone metastases seen in the advanced stage and bone deformations caused by hormone therapy, it is necessary to use new biomarkers. Formin-like-protein 1 (FMNL1), a member of the formin protein family, is of great importance in actin polymerization, cell attachment, and migration processes. p21-activated kinase 1 (PAK1) proteins, members of the PAK protein kinases, play a role in cytoskeletal organization, as well as regulating other cellular activities such as cell survival, mitosis, and transcription. In our study, plasma and urine samples of 60 prostate cancer patients and 20 healthy controls were studied using RT-PCR and ELISA methods. No statistical difference was found between FMNL1 mRNA and protein expression levels of patients and controls in both plasma and urine samples (p > 0.05). There was no statistical difference between PAK1 mRNA expression levels of patients and controls in plasma and urine samples (p > 0.05). While no significant difference was found in PAK1 protein levels in plasma samples (p > 0.05), it was found to be lower in urine samples of patients compared to the control group (p = 0.00). Both marker molecules have low expression levels in early-stage PCa. Full article
(This article belongs to the Section Biochemistry, Molecular and Cellular Biology)
Show Figures

Figure 1

Back to TopTop