Sign in to use this feature.

Years

Between: -

Subjects

remove_circle_outline
remove_circle_outline
remove_circle_outline
remove_circle_outline

Journals

Article Types

Countries / Regions

Search Results (21)

Search Parameters:
Keywords = urban and rural settlements boundary

Order results
Result details
Results per page
Select all
Export citation of selected articles as:
29 pages, 4967 KB  
Article
Adaptive and Differentiated Land Governance for Sustainability: The Spatiotemporal Dynamics and Explainable Machine Learning Analysis of Land Use Intensity in the Guanzhong Plain Urban Agglomeration
by Xiaohui Ding, Yufang Wang, Heng Wang, Yu Jiang and Yuetao Wu
Land 2025, 14(9), 1883; https://doi.org/10.3390/land14091883 - 15 Sep 2025
Viewed by 775
Abstract
Urban agglomerations underpin regional economic growth and sustainability transitions, yet the spatial heterogeneity and drivers of land use intensity (LUI) remain insufficiently resolved in inland settings. This study develops a high-resolution framework—combining a 1 km hexagonal grid with XGBoost-SHAP—to (i) map subsystem-specific LUI [...] Read more.
Urban agglomerations underpin regional economic growth and sustainability transitions, yet the spatial heterogeneity and drivers of land use intensity (LUI) remain insufficiently resolved in inland settings. This study develops a high-resolution framework—combining a 1 km hexagonal grid with XGBoost-SHAP—to (i) map subsystem-specific LUI evolution, (ii) identify dominant drivers and nonlinear thresholds, and (iii) inform differentiated, sustainable land governance in the Guanzhong Plain Urban Agglomeration (GPUA) over 2000–2020. Composite LUI indices were constructed for human settlement (HS), cropland (CS), and forest (FS) subsystems; eleven natural, socioeconomic, urban–rural, and locational variables served as candidate drivers. The results show marked redistributions across subsystems. In HS, the share of low-intensity cells declined (86.54% to 83.18%) as that of medium- (12.10% to 14.26%) and high-intensity ones (1.22% to 2.56%) increased, forming a continuous high-intensity corridor between Xi’an and Xianyang by 2020. CS shifted toward medium-intensity (32.53% to 50.57%) with the contraction of high-intensity cells (26.62% to 14.53%), evidencing strong dynamism (55.1% net intensification; 38.5% net decline). FS transitioned to low-intensity dominance by 2020 (59.12%), with stability and delayed growth concentrated in conserved mountainous zones. Urban–rural gradients were distinct: HS rose by >20% (relative to 2000) in cores but remained low and stable in rural areas (mean < 0.20); CS peaked and stayed stable at fringes (mean ≈ 0.60); FS shifted from an inverse gradient (2000–2010) to core-area recovery by 2020. Explainable machine learning revealed inverted U-shaped relationships for HS (per capita GDP) and CS (population density) and a unimodal peak for FS with respect to distance to urban centers; model performance was strong (HS R2 up to 0.82) with robust validation. Policy recommendations are subsystem-specific: enforce growth boundaries and prioritize infill/polycentric networks (HS); pair farmland redlines with precision agriculture (CS); and maintain ecological redlines with differentiated conservation and afforestation (FS). The framework offers transferable, data-driven evidence for calibrating thresholds and sequencing interventions to reconcile land use intensification with ecological integrity in rapidly urbanizing contexts. Full article
(This article belongs to the Section Land Use, Impact Assessment and Sustainability)
Show Figures

Figure 1

24 pages, 9842 KB  
Article
Multi-Source and Multitemporal Urban and Rural Settlement Mapping Under Spatial Constraint: Qinghai–Tibetan Plateau Case Study
by Xiaopeng Li, Guangsheng Zhou, Li Zhou, Xiaomin Lv, Xiaohui He and Zhihui Tian
Remote Sens. 2025, 17(3), 401; https://doi.org/10.3390/rs17030401 - 24 Jan 2025
Cited by 1 | Viewed by 1167
Abstract
Accurately extracting long-term urban and rural settlement (URS) information is crucial for studying urbanization processes and their impacts on the ecological environment. However, existing remote sensing extraction methods often rely on independent classification strategies for each period, leading to error accumulation and increased [...] Read more.
Accurately extracting long-term urban and rural settlement (URS) information is crucial for studying urbanization processes and their impacts on the ecological environment. However, existing remote sensing extraction methods often rely on independent classification strategies for each period, leading to error accumulation and increased uncertainty in long-term sequence extraction. To address this, this study proposed a data/model-constrained dynamic extraction method for URS information and validated it using the Qinghai–Tibetan Plateau at five-year intervals from 1985 to 2020. The area of URS extracted by this method had a matching degree of 97.79% with the reference, with an average overall accuracy of 93.25% and a kappa of 0.89 for the 1985–2020 confusion matrix sample. The urban and rural settlement boundary (URSB) extracted by this method were more accurate than the Global Urban Boundary (GUB) dataset, particularly in spatial completeness and boundary detail. The results provide technical support for uncovering urban development patterns and their environmental impacts. Full article
(This article belongs to the Section Urban Remote Sensing)
Show Figures

Figure 1

20 pages, 43763 KB  
Article
The Application of Geospatial Analysis Methods for the Reconstruction of Lithuanian–Slavic Ethnolinguistic Boundaries in Southeastern Lithuania
by Aidas Gudaitis
Languages 2024, 9(12), 359; https://doi.org/10.3390/languages9120359 - 25 Nov 2024
Cited by 2 | Viewed by 3986
Abstract
(1) Background: The article addresses the issue of geospatial dynamics of Lithuanian–Slavic ethnolinguistic boundaries in Southeastern Lithuania (SEL) that were influenced by long-term Lithuanian–Slavic linguistic competition. The aim of the study was to reconstruct the Lithuanian–Slavic ethnolinguistic boundaries and reveal the intensive contact [...] Read more.
(1) Background: The article addresses the issue of geospatial dynamics of Lithuanian–Slavic ethnolinguistic boundaries in Southeastern Lithuania (SEL) that were influenced by long-term Lithuanian–Slavic linguistic competition. The aim of the study was to reconstruct the Lithuanian–Slavic ethnolinguistic boundaries and reveal the intensive contact zones in the late 19th century based on published data. Additionally, the study aimed to assess the geospatial changes in the ethnolinguistic situation in the research area during the period 1890–2021. (2) Methods: The ESRI ArcGIS technology geoprocessing tools were applied for boundary reconstruction and geospatial change detection. Cartographic materials, statistical data, and national census information were utilized in the process. (3) Results: The gained results provided a better understanding of Lithuanian–Slavic ethnolinguistic dynamics over space and time in the research area. The study reveals that the ethnolinguistic boundary in the Vilnius–Trakai urbanized area shifted in favor of the Lithuanian language, suggesting its potential influence on the metropolitan suburbs in the future. However, insufficient social infrastructure and weak economic development in rural settlements have led to a negative migration balance, a low birth rate, and rapid population aging. These challenges might have a negative effect on the future survival of the Lithuanian language in the multilingual rural area of SEL, especially considering the recent geopolitical realia in the region. (4) Conclusions: The study anticipates an increase in the influence of the Lithuanian language in the Vilnius–Trakai metropolitan area at the expense of further decline in the rural Lithuanian-speaking population in the next decade. Full article
(This article belongs to the Special Issue Dialectal Dynamics)
Show Figures

Figure 1

30 pages, 32487 KB  
Article
Fitness of Multi-Resolution Remotely Sensed Data for Cadastral Mapping in Ekiti State, Nigeria
by Israel Oluwaseun Taiwo, Matthew Olomolatan Ibitoye, Sunday Olukayode Oladejo and Mila Koeva
Remote Sens. 2024, 16(19), 3670; https://doi.org/10.3390/rs16193670 - 1 Oct 2024
Cited by 2 | Viewed by 3769
Abstract
In developing nations, such as Ekiti State, Nigeria, the utilization of remotely sensed data, particularly satellite and UAV imagery, remains significantly underexploited in land administration. This limits multi-resolution imagery’s potential in land governance and socio-economic development. This study examines factors influencing UAV adoption [...] Read more.
In developing nations, such as Ekiti State, Nigeria, the utilization of remotely sensed data, particularly satellite and UAV imagery, remains significantly underexploited in land administration. This limits multi-resolution imagery’s potential in land governance and socio-economic development. This study examines factors influencing UAV adoption for land administration in Nigeria, mapping seven rural, peri-urban, and urban sites with orthomosaics (2.2 cm to 3.39 cm resolution). Boundaries were manually delineated, and parcel areas were calculated. Using the 0.05 m orthomosaic as a reference, the Horizontal Radial Root Mean Square Error (RMSEr) and Normalized Parcel Area Error (NPAE) were computed. Results showed a consistent increase in error with increasing resolution (0.1 m to 1 m), with RMSEr ranging from 0.053 m (formal peri-urban) to 2.572 m (informal rural settlement). Formal settlements with physical demarcations exhibited more consistent values. A comparison with GNSS data revealed that RMSEr values conformed to the American Society for Photogrammetry and Remote Sensing (ASPRS) Class II and III standards. The research demonstrates physical demarcations’ role in facilitating cadastral mapping, with formal settlements showing the highest suitability. This study recommends context-specific imagery resolution to enhance land governance. Key implications include promoting settlement typology awareness and addressing UAV regulatory challenges. NPAE values can serve as a metric for assessing imagery resolution fitness for cadastral mapping. Full article
Show Figures

Figure 1

32 pages, 8636 KB  
Article
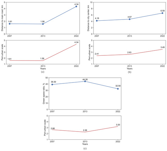
Quantitative Analysis of Peri-Urbanization: Developing a Peri-Urban Index for Medium-Sized Cities Using the Analytic Hierarchy Process—A Case Study of Yozgat, Turkey
by Begüm Demiroğlu İzgi
Sustainability 2024, 16(14), 6002; https://doi.org/10.3390/su16146002 - 14 Jul 2024
Cited by 1 | Viewed by 3175
Abstract
The rapid development of urbanization necessitates effective analytical methods to address its complexities. Peri-urbanization, the expansion of settlement boundaries and urban spread, is a critical aspect of this phenomenon. This study introduces a quantitative method to analyze peri-urbanization, providing a peri-urban index (PUI) [...] Read more.
The rapid development of urbanization necessitates effective analytical methods to address its complexities. Peri-urbanization, the expansion of settlement boundaries and urban spread, is a critical aspect of this phenomenon. This study introduces a quantitative method to analyze peri-urbanization, providing a peri-urban index (PUI) for medium-sized cities based on peri-urban dynamics. Utilizing the analytical hierarchy process (AHP), the weight values of influencing dynamics are calculated, establishing a peri-urban scale (PUS) ranging from one to five based on rural and urban characteristics. Applied to a medium-sized case study city, the method assesses the peri-urbanization from 2007 to 2022. Four main dynamics—socio-demographics, economic-employment, land use-accessibility, and building-texture patterns—and fourteen sub-dynamics were identified and weighted using AHP. The city’s PUI values over different years reveal a 41.6% increase, indicating significant peri-urbanization. This quantitative approach, which innovatively integrates multiple numerical analysis methods, not only highlights the peri-urbanization trends of the city but also provides a comparative analysis framework for other cities. The method’s ability to track changes over time and compare different urban areas supports the development of sustainable urbanization strategies, ensuring balanced growth and resource allocation. This method offers urban planners, policymakers, and architects a powerful tool to manage and guide future urban expansion effectively through interdisciplinary collaboration. Full article
(This article belongs to the Section Sustainable Urban and Rural Development)
Show Figures

Figure 1

17 pages, 6681 KB  
Article
Land Surface Temperature Changes in Different Urbanization Increments in China since 2000
by Sisi Yu, Zijuan Zhu, Zengxiang Zhang, Shangshu Cai, Fang Liu, Xiaoli Zhao, Xiao Wang and Shunguang Hu
Land 2024, 13(4), 417; https://doi.org/10.3390/land13040417 - 25 Mar 2024
Cited by 5 | Viewed by 2986
Abstract
In the rapidly urbanizing world, as one of the distinct anthropogenic alterations of global climate change, global warming has attracted rising concerns due to its negative effects on human well-being and biodiversity. However, existing studies mostly focused on the difference in temperature elevation [...] Read more.
In the rapidly urbanizing world, as one of the distinct anthropogenic alterations of global climate change, global warming has attracted rising concerns due to its negative effects on human well-being and biodiversity. However, existing studies mostly focused on the difference in temperature elevation among urbanized areas and non-urbanized areas, i.e., rural or suburban areas. The allometric urban warming at intra-urban scales was overlooked. This research aimed to expand our understanding of urbanization–temperature relationships by applying a concept of a “previous-new” dichotomy of urbanized areas. To quantify the land surface temperature (LST) dynamics of 340 cities in China, we analyzed the LST of different land use types through trend analysis and absolute change calculation models. The urban heat island (UHI) effect of two spatial units, i.e., newly expanded urbanized area (“new UA” hereinafter) during 2000–2015 and previously existing urbanized area (“previous UA” hereinafter) in 2000, were compared and discussed. Our findings reveal that urban growth in China coincided with an LST increase of approximately 0.68 °C across the entire administrative boundary, with higher increases observed in regions between the Yellow River and Yangtze River and lower increases in other areas. Moreover, the new UA exhibited significantly greater LST increases and urban heat island intensity (HUII) compared to the previous UA. The dynamics of LST corresponded to the speed and scale of urban growth, with cities experiencing higher growth rates and percentages exhibiting more pronounced LST increases. This study reveals the impact of the underlying surface on human settlements on a large scale. Full article
Show Figures

Figure 1

23 pages, 7072 KB  
Article
A New Technique for Urban and Rural Settlement Boundary Extraction Based on Spectral–Topographic–Radar Polarization Features and Its Application in Xining, China
by Xiaopeng Li, Guangsheng Zhou, Li Zhou, Xiaomin Lv, Xiaoyang Li, Xiaohui He and Zhihui Tian
Remote Sens. 2024, 16(6), 1091; https://doi.org/10.3390/rs16061091 - 20 Mar 2024
Cited by 2 | Viewed by 2519
Abstract
Highly accurate data on urban and rural settlement (URS) are essential for urban planning and decision-making in response to climate and environmental changes. This study developed an optimal random forest classification model for URSs based on spectral–topographic–radar polarization features using Landsat 8, NASA [...] Read more.
Highly accurate data on urban and rural settlement (URS) are essential for urban planning and decision-making in response to climate and environmental changes. This study developed an optimal random forest classification model for URSs based on spectral–topographic–radar polarization features using Landsat 8, NASA DEM, and Sentinel-1 SAR as the remote-sensing data sources. An optimal urban and rural settlement boundary (URSB) extraction technique based on morphological and pixel-level statistical methods was established to link discontinuous URSs and improve the accuracy of URSB extraction. An optimal random forest classification model for URSs was developed, as well as a technique to optimize URSB, using the Google Earth Engine (GEE) platform. The URSB of Xining, China, in 2020 was then extracted at a spatial resolution of 30 m, achieving an overall accuracy and Kappa coefficient of 96.21% and 0.92, respectively. Compared to using a single spectral feature, these corresponding metrics improved by 16.21% and 0.35, respectively. This research also demonstrated that the newly constructed Blue Roof Index (BRI), with enhanced blue roof features, is highly indicative of URSs and that the URSB was best extracted when the window size of the structural elements was 13 × 13. These results can be used to provide technical support for obtaining highly accurate information on URSs. Full article
(This article belongs to the Section Urban Remote Sensing)
Show Figures

Graphical abstract

26 pages, 10558 KB  
Article
The Spatial Pattern Evolution of Rural Settlements and Multi-Scenario Simulations since the Initiation of the Reform and Opening up Policy in China
by Shuangqing Sheng and Hua Lian
Land 2023, 12(9), 1763; https://doi.org/10.3390/land12091763 - 11 Sep 2023
Cited by 21 | Viewed by 3082
Abstract
Since the inception of China’s reform and opening-up policy, the rapidly advancing process of urbanization and the primacy accorded to urban development policies have imparted increasingly profound ramifications on rural domains. Nonetheless, antecedent research has predominantly fixated on urban sprawl, overlooking the spatial [...] Read more.
Since the inception of China’s reform and opening-up policy, the rapidly advancing process of urbanization and the primacy accorded to urban development policies have imparted increasingly profound ramifications on rural domains. Nonetheless, antecedent research has predominantly fixated on urban sprawl, overlooking the spatial metamorphosis of rural settlements and the prospective developmental trajectories within the policy paradigm. Consequently, this inquiry endeavors to scrutinize the evolution of the spatial configuration of rural settlements in She County from the advent of reform and opening-up (1980–2020) utilizing remote sensing data. In tandem, through scenario delineation and the utilization of the CLUE-S model, it aspires to prognosticate the evolving trends in the spatial arrangements of rural settlements in She County by 2035. The empirical findings divulge that (1) The temporal progression of rural settlement spatial configurations in She County over the preceding four decades can be delineated into two discernible phases. From 1980 to 2000, alterations in the number, extent, and spatial morphological attributes of rural settlements remained circumscribed. While the count of rural settlements registered a diminution (by 3), the aggregate extent experienced a marginal augmentation (by 8.45%), concomitant with a gradual gravitation towards regular boundaries, manifesting a stochastic distribution throughout the investigation expanse. Conversely, from 2000 to 2020, the quantity and extent of rural settlements in She County underwent a precipitous augmentation (92 and 36.37%, respectively), characterized by irregular peripheries. (2) The CLUE-S model achieved an overall precision of 0.929, underscoring its applicability in emulating fluctuations in rural settlements. (3) Within the new-type urbanization scenario, the cumulative expanse of rural settlements witnessed a decline of 35.36% compared to the natural development scenario, marked by substantial conversions into grassland and urban land usage. Furthermore, orchestrated planning and directive measures have propelled the consolidation of rural settlements in She County, engendering a more equitable and standardized layout. Under the aegis of the ecological conservation scenario, the total rural settlement area recorded a 0.38% reduction vis-à-vis the natural development scenario, primarily entailing competitive coexistence with arable land, grassland, and urban land usage in spatial terms. Full article
(This article belongs to the Special Issue Agricultural Land Use and Rural Development)
Show Figures

Figure 1

23 pages, 5804 KB  
Article
New Insights into Urbanization Based on Global Mapping and Analysis of Human Settlements in the Rural–Urban Continuum
by Xiyu Li, Le Yu and Xin Chen
Land 2023, 12(8), 1607; https://doi.org/10.3390/land12081607 - 15 Aug 2023
Cited by 10 | Viewed by 5885
Abstract
The clear boundary between urban and rural areas is gradually disappearing, and urban and rural areas are two poles of a gradient with many continuous human settlements in between, which is a concept known as the rural–urban continuum. Little is known about the [...] Read more.
The clear boundary between urban and rural areas is gradually disappearing, and urban and rural areas are two poles of a gradient with many continuous human settlements in between, which is a concept known as the rural–urban continuum. Little is known about the distribution and change trajectories of the various types in the rural–urban continuum across the globe. Therefore, using global land-cover data (FROM-GLC Plus) and global population data (Worldpop) based on the decision-making tree method, this study proposed a method and classification system for global rural–urban continuum mapping and produced the mapping results on a global scale in the Google Earth Engine platform. With the expansion of built-up areas and the increase in population, the global human settlements follow the pattern that develops from wildland to villages (isolated—sparse—dense), and then to towns (sparse—dense), and finally to urban areas (edge—center). From a regional perspective, there are some obvious differences: Africa is dominated by sparse villages; Asia has the highest proportion of densely clustered towns; the proportion of dense villages in Europe is high. Rural–urban continuum mapping and analysis provide a database and new insights into urbanization and differences between urban and rural areas around the world. Full article
(This article belongs to the Special Issue Feature Papers for Land Systems and Global Change Section)
Show Figures

Figure 1

24 pages, 8753 KB  
Article
Land Consumption Dynamics and Urban–Rural Continuum Mapping in Italy for SDG 11.3.1 Indicator Assessment
by Angela Cimini, Paolo De Fioravante, Nicola Riitano, Pasquale Dichicco, Annagrazia Calò, Giuseppe Scarascia Mugnozza, Marco Marchetti and Michele Munafò
Land 2023, 12(1), 155; https://doi.org/10.3390/land12010155 - 3 Jan 2023
Cited by 13 | Viewed by 5064
Abstract
For the first time in human history, over half of the world’s population lives in urban areas. This rapid growth makes cities more vulnerable, increasing the need to monitor urban dynamics and its sustainability. The aim of this work is to examine the [...] Read more.
For the first time in human history, over half of the world’s population lives in urban areas. This rapid growth makes cities more vulnerable, increasing the need to monitor urban dynamics and its sustainability. The aim of this work is to examine the spatial extent of urban areas, to identify the urban–rural continuum, to understand urbanization processes, and to monitor Sustainable Development Goal 11. In this paper, we apply the methodology developed by the European Commission-Joint Research Center for the classification of the degree of urbanization of the Italian territory, using the ISPRA land consumption map and the ISTAT population data. The analysis shows that the availability of detailed and updated spatialized population data is essential to calculate SDG indicator 11.3.1, which assesses the ratio of land consumption rate to population growth rate. Three new indicators are also proposed to describe the main trends in urban sprawl, analyzing the spatial distribution of land consumption in terms of infill and settlement dispersion. The research shows good results in identifying class boundaries and describing the Italian urbanized landscape, highlighting the need for more detailed spatialized demographic data. The classification obtained lends itself to a variety of applications, such as monitoring land consumption, settlement dynamics, or the urban heat islands, and assessing the presence and state of green infrastructures in the urban context, driving the development of policies in urban areas toward sustainable choices focused on urban regeneration. Full article
(This article belongs to the Special Issue Dynamics of Urbanization and Ecosystem Services Provision)
Show Figures

Figure 1

26 pages, 7021 KB  
Article
Tracking Spatiotemporal Patterns of Rwanda’s Electrification Using Multi-Temporal VIIRS Nighttime Light Imagery
by Yuanxi Ru, Xi Li and Wubetu Anley Belay
Remote Sens. 2022, 14(17), 4397; https://doi.org/10.3390/rs14174397 - 4 Sep 2022
Cited by 6 | Viewed by 3281
Abstract
After recovering from the Rwanda Genocide in the last century, Rwanda is experiencing rapid economic growth and urban expansion. With increasing demand for electricity and a strong desire to achieve the Sustainable Development Goals (SDGs), it is significant to further investigate the electrification [...] Read more.
After recovering from the Rwanda Genocide in the last century, Rwanda is experiencing rapid economic growth and urban expansion. With increasing demand for electricity and a strong desire to achieve the Sustainable Development Goals (SDGs), it is significant to further investigate the electrification progress in Rwanda. This study analyzes the characteristics of electrification in Rwanda from 2012 to 2020 using VIIRS nighttime light imagery. Firstly, by analysis of the nighttime light change patterns on a national scale, we find that the electrification in Rwanda is seriously unbalanced, as electrification progress in Kigali is much faster than that in the rest of the country. Secondly, there is a common phenomenon where power grid expansion in Rwanda fails to keep pace with rapid urbanization, especially in areas with an inadequate electricity infrastructure foundation. Quantitatively, original electricity infrastructure level shows a positive impact on the grid access of new settlements, with an R2 value of 0.695 in the linear regression. In addition, new settlements inside the urban boundary tend to achieve more extensive grid access compared to those outside the boundary. Finally, the grid access rates are calculated on multi-spatial scales. By comparing the calculated results with the official electricity access rate data, we analyze the development of off-grid access in Rwanda. The results imply that, since 2016, off-grid access has rapidly developed in Rwanda, especially in the rural areas, playing an important role in achieving the SDGs. Full article
Show Figures

Figure 1

17 pages, 3617 KB  
Article
Extracting Land Use Change Patterns of Rural Town Settlements with Sequence Alignment Method
by Senkai Xie, Wenjia Zhang, Yi Zhao and De Tong
Land 2022, 11(2), 313; https://doi.org/10.3390/land11020313 - 20 Feb 2022
Cited by 11 | Viewed by 3449
Abstract
Understanding land use change patterns of rural town settlements (RTSs) is crucial for rural and small-town planning; however, few studies have explored pattern mining approaches to RTS trajectory analysis. In this study, we adopted a novel method by building sequence alignment method (SAM) [...] Read more.
Understanding land use change patterns of rural town settlements (RTSs) is crucial for rural and small-town planning; however, few studies have explored pattern mining approaches to RTS trajectory analysis. In this study, we adopted a novel method by building sequence alignment method (SAM) to detect representative trajectory clusters of land use change of 1158 RTSs in seven waves from 1980 to 2015 in Guangdong, China. The results suggest that there are 10 clusters of RTSs with varying trajectories of land use change, implying their differences in the development processes and underlying socioeconomic, demographical, and institutional factors. A spatial distribution map of RTSs shows that stable cultivated ecological and stable ecologically dominant RTSs are distributed in the northern, eastern, and western parts of Guangdong, whereas stable rural construction and stable mixed construction RTSs are mostly located around the provincial boundary. Notably, 73% of the RTSs that have undergone changes in land use types are located in the Pearl River Delta (PRD), including urbanized and agricultural upgraded RTSs. The analysis presented here summarizes the driving forces of the spatial evolution of RTSs, including the location, landforms, industries, and policy factors. This study provides dynamic policy implications to understand longitudinal and sequential spatial restructuring and regional coordinated development in the fast-growing PRD area. Full article
(This article belongs to the Special Issue Sustainable Rural Transformation under Rapid Urbanization)
Show Figures

Figure 1

31 pages, 28098 KB  
Article
Satellite-Based Human Settlement Datasets Inadequately Detect Refugee Settlements: A Critical Assessment at Thirty Refugee Settlements in Uganda
by Jamon Van Den Hoek and Hannah K. Friedrich
Remote Sens. 2021, 13(18), 3574; https://doi.org/10.3390/rs13183574 - 8 Sep 2021
Cited by 22 | Viewed by 6882
Abstract
Satellite-based broad-scale (i.e., global and continental) human settlement data are essential for diverse applications spanning climate hazard mitigation, sustainable development monitoring, spatial epidemiology and demographic modeling. Many human settlement products report exceptional detection accuracies above 85%, but there is a substantial blind spot [...] Read more.
Satellite-based broad-scale (i.e., global and continental) human settlement data are essential for diverse applications spanning climate hazard mitigation, sustainable development monitoring, spatial epidemiology and demographic modeling. Many human settlement products report exceptional detection accuracies above 85%, but there is a substantial blind spot in that product validation typically focuses on large urban areas and excludes rural, small-scale settlements that are home to 3.4 billion people around the world. In this study, we make use of a data-rich sample of 30 refugee settlements in Uganda to assess the small-scale settlement detection by four human settlement products, namely, Geo-Referenced Infrastructure and Demographic Data for Development settlement extent data (GRID3-SE), Global Human Settlements Built-Up Sentinel-2 (GHS-BUILT-S2), High Resolution Settlement Layer (HRSL) and World Settlement Footprint (WSF). We measured each product’s areal coverage within refugee settlement boundaries, assessed detection of 317,416 building footprints and examined spatial agreement among products. For settlements established before 2016, products had low median probability of detection and F1-score of 0.26 and 0.24, respectively, a high median false alarm rate of 0.59 and tended to only agree in regions with the highest building density. Individually, GRID3-SE offered more than five-fold the coverage of other products, GHS-BUILT-S2 underestimated the building footprint area by a median 50% and HRSL slightly underestimated the footprint area by a median 7%, while WSF entirely overlooked 8 of the 30 study refugee settlements. The variable rates of coverage and detection partly result from GRID3-SE and HRSL being based on much higher resolution imagery, compared to GHS-BUILT-S2 and WSF. Earlier established settlements were generally better detected than recently established settlements, showing that the timing of satellite image acquisition with respect to refugee settlement establishment also influenced detection results. Nonetheless, settlements established in the 1960s and 1980s were inconsistently detected by settlement products. These findings show that human settlement products have far to go in capturing small-scale refugee settlements and would benefit from incorporating refugee settlements in training and validating human settlement detection approaches. Full article
Show Figures

Graphical abstract

24 pages, 4687 KB  
Article
Securing Land Rights for All through Fit-for-Purpose Land Administration Approach: The Case of Nepal
by Uma Shankar Panday, Raja Ram Chhatkuli, Janak Raj Joshi, Jagat Deuja, Danilo Antonio and Stig Enemark
Land 2021, 10(7), 744; https://doi.org/10.3390/land10070744 - 16 Jul 2021
Cited by 13 | Viewed by 10071
Abstract
After the political change in Nepal of 1951, leapfrog land policy improvements have been recorded, however, the land reform initiatives have been short of full success. Despite a land administration system based on cadaster and land registries in place, 25% of the arable [...] Read more.
After the political change in Nepal of 1951, leapfrog land policy improvements have been recorded, however, the land reform initiatives have been short of full success. Despite a land administration system based on cadaster and land registries in place, 25% of the arable land with an estimated 10 million spatial units on the ground are informally occupied and are off-register. Recently, a strong political will has emerged to ensure land rights for all. Providing tenure security to all these occupants using the conventional surveying and land administration approach demands a large amount of skilled human resources, a long timeframe and a huge budget. To assess the suitability of the fit-for-purpose land administration (FFPLA) approach for nationwide mapping and registration of informality in the Nepalese context, the identification, verification and recordation (IVR) of the people-to-land relationship was conducted through two pilot studies using a participatory approach covering around 1500 and 3400 parcels, respectively, in an urban and a rural setting. The pilot studies were based on the FFPLA National Strategy and utilized satellite imageries and smartphones for identification and verification of land boundaries. Data collection to verification tasks were completed within seven months in the urban settlements and for an average cost of 7.5 USD per parcel; within the rural setting, the pilot study was also completed within 7 months and for an average cost of just over 3 USD per parcel. The studies also informed the discussions on building the legislative and institutional frameworks, which are now in place. With locally trained ‘grassroots surveyors’, the studies have provided a promising alternative to the conventional surveying technologies by providing a fast, inexpensive and acceptable solution. The tested approach may fulfill the commitment to resolve the countrywide mapping of informality. The use of consistent data model and mapping standards are recommended. Full article
Show Figures

Figure 1

31 pages, 9866 KB  
Article
Automatic Delineation of Urban Growth Boundaries Based on Topographic Data Using Germany as a Case Study
by Oliver Harig, Robert Hecht, Dirk Burghardt and Gotthard Meinel
ISPRS Int. J. Geo-Inf. 2021, 10(5), 353; https://doi.org/10.3390/ijgi10050353 - 20 May 2021
Cited by 20 | Viewed by 8977
Abstract
Urban Growth Boundary (UGB) is a growth management policy that designates specific areas where growth should be concentrated in order to avoid urban sprawl. The objective of such a boundary is to protect agricultural land, open spaces and the natural environment, as well [...] Read more.
Urban Growth Boundary (UGB) is a growth management policy that designates specific areas where growth should be concentrated in order to avoid urban sprawl. The objective of such a boundary is to protect agricultural land, open spaces and the natural environment, as well as to use existing infrastructure and public services more efficiently. Due to the inherent heterogeneity and complexity of settlements, UGBs in Germany are currently created manually by experts. Therefore, every dataset is linked to a specific area, investigation period and dedicated use. Clearly, up-to-date, homogeneous, meaningful and cost-efficient delineations created automatically are needed to avoid this reliance on manually or semi-automatically generated delineations. Here, we present an aggregative method to produce UGBs using building footprints and generally available topographic data as inputs. It was applied to study areas in Frankfurt/Main, the Hanover region and rural Brandenburg while taking full account of Germany’s planning and legal framework for spatial development. Our method is able to compensate for most of the weaknesses of available UGB data and to significantly raise the accuracy of UGBs in Germany. Therefore, it represents a valuable tool for generating basic data for future studies. Application elsewhere is also conceivable by regionalising the employed parameters. Full article
(This article belongs to the Special Issue Geo-Information Science in Planning and Development of Smart Cities)
Show Figures

Figure 1

Back to TopTop