Sign in to use this feature.

Years

Between: -

Subjects

remove_circle_outline
remove_circle_outline
remove_circle_outline
remove_circle_outline
remove_circle_outline
remove_circle_outline

Journals

Article Types

Countries / Regions

Search Results (9)

Search Parameters:
Keywords = unresolved CFD-DEM

Order results
Result details
Results per page
Select all
Export citation of selected articles as:
19 pages, 1534 KB  
Review
State of the Art of CFD-DEM Coupled Modeling and Its Application in Turbulent Flow-Induced Soil Erosion
by Jun Xu, Fei Wang and Ruth Abegaz
Geosciences 2025, 15(1), 21; https://doi.org/10.3390/geosciences15010021 - 10 Jan 2025
Cited by 5 | Viewed by 3170
Abstract
Fluid–soil interaction plays a pivotal role in various geotechnical engineering applications, as it significantly influences processes such as erosion, sediment transport, and soil stability. Modeling fluid–soil particle interactions in these contexts presents substantial challenges due to the inherent complexity of the interactions occurring [...] Read more.
Fluid–soil interaction plays a pivotal role in various geotechnical engineering applications, as it significantly influences processes such as erosion, sediment transport, and soil stability. Modeling fluid–soil particle interactions in these contexts presents substantial challenges due to the inherent complexity of the interactions occurring across multiple characteristic scales. The primary challenge lies in the vast disparities in magnitude between these scales, which demand sophisticated modeling techniques to accurately capture the intricate dynamics involved. Coupled fluid–soil particle models have emerged as essential tools for understanding the mechanisms underlying fluid–soil interactions. Among these, the CFD-DEM (computational fluid dynamics–discrete element method) approach has gained significant attention. This method provides an effective compromise between high-resolution sub-particle fluid modeling and coarser mesh-based techniques for fluids and particles. By doing so, CFD-DEM facilitates large-scale simulations while maintaining computational efficiency, making it a promising solution for studying fluid–soil interactions in complex geotechnical scenarios. This review highlights the application of CFD-DEM models in geotechnical engineering, with a specific focus on soil erosion processes and the critical role of turbulent flow. It explores various fluid–soil particle interaction computational mechanisms and their implications for erosion dynamics, emphasizing several key aspects, including the following: laminar vs. turbulent flow models: understanding the distinctions between flow regimes is critical for accurately predicting fluid-induced soil particle movement. Shear stress effects: the influence of flow-induced shear stress on the detachment of soil particles is analyzed, particularly in erosion-prone environments. Sediment transport mechanisms: factors such as particle size, density, and water velocity are examined for their roles in governing sediment transport. Knowledge gaps and future directions: these involve identifying unresolved issues in current fluid–soil interaction models, with an emphasis on improving the accuracy and scalability of CFD-DEM simulations. By delving into these aspects, the review aims to advance the understanding of fluid–soil interactions and provide insights into optimizing modeling techniques for geotechnical engineering applications. It also outlines future research directions to bridge existing knowledge gaps, emphasizing the importance of integrating advanced turbulence modeling and computational strategies to enhance the predictive capabilities of fluid–soil interaction frameworks. Full article
(This article belongs to the Section Geomechanics)
Show Figures

Figure 1

20 pages, 8147 KB  
Article
Describing the Drying and Solidification Behavior of Single Suspension Droplets Using a Novel Unresolved CFD-DEM Simulation Approach
by Moritz Buchholz, Dominik Weis, Riccardo Togni, Christoph Goniva and Stefan Heinrich
Processes 2024, 12(3), 480; https://doi.org/10.3390/pr12030480 - 27 Feb 2024
Cited by 1 | Viewed by 2204
Abstract
With increasing computational capacities and advances in numerical methods, a simulation-based process and product design approach for spray dried products has become the focus of many researchers. In this context, a novel unresolved CFD-DEM simulation approach for single suspension droplets is presented, which [...] Read more.
With increasing computational capacities and advances in numerical methods, a simulation-based process and product design approach for spray dried products has become the focus of many researchers. In this context, a novel unresolved CFD-DEM simulation approach for single suspension droplets is presented, which models the drying and solidification process in a hot gas environment. The solidification process is described by the formation of bonds between the primary particles in the suspension droplet, showing a plausible solidification behavior, which starts when a critical solid concentration is reached at the droplet surface. The drying conditions for the single-droplet simulations are determined from a large-scale spray dryer simulation for different droplet size classes. The resulting solid particles from the CFD-DEM simulation show a higher tendency to form hollow particles at high drying rates when the locking point is reached at earlier stages of the drying process. Using these results, suitable operating conditions for the spray dryer can be determined, which favor the formation of particles with a targeted morphology. Full article
Show Figures

Figure 1

30 pages, 15059 KB  
Article
Numerical Investigation of the Impacts of Large Particles on the Turbulent Flow and Surface Wear in Series-Connected Bends
by Yuan-Hang Zhang, Xiao-Jie Wang, Xu-Zhen Zhang, Maoukouf Saad and Rui-Jie Zhao
J. Mar. Sci. Eng. 2024, 12(1), 164; https://doi.org/10.3390/jmse12010164 - 15 Jan 2024
Cited by 5 | Viewed by 1688
Abstract
The deep sea harbors abundant mineral, oil, and gas resources, making it highly valuable for commercial development, including the extraction of minerals. Due to the relatively large particle size of these minerals, how they interact with fluids is significantly different from that of [...] Read more.
The deep sea harbors abundant mineral, oil, and gas resources, making it highly valuable for commercial development, including the extraction of minerals. Due to the relatively large particle size of these minerals, how they interact with fluids is significantly different from that of small particles. However, there has been limited simulation research on the impacts of large particles (the diameter of particles is at the level of centimeters) on the flow and wear characteristics in bends, because the simulation of the particles at such a size is difficult. Additionally, in the field of deep-sea mining, multiple bends are simultaneously connected in series, and the wear in such bends has garnered increasing attention. Based on an improved CFD-DEM model, this article solved the issue that traditional unresolved CFD-DEM methods cannot accurately simulate large particles in a hydraulic conveying pipe and bend. After validating the accuracy of this model against classical experiments, the paper comprehensively analyzes the modulation effect of large particles on turbulence, and the effects of different particle diameters, particle transport concentrations, and transport velocities on the wear of bends connected serially. Finally, the bends connected serially in various configurations are simulated to study the wear on the bent interior surfaces. Results indicate a pronounced modulation effect of large particles on turbulence at higher transport concentrations; the wear rate in the combined bends does not exhibit a linear correlation with the collision frequency of particles on the wall surface. Furthermore, different configurations of serially connected bends exhibit significant differences in the wear morphology of the second bend. Full article
(This article belongs to the Special Issue Advances in Marine Applications of Computational Fluid Dynamics)
Show Figures

Figure 1

26 pages, 5886 KB  
Article
Evaluation of RANS-DEM and LES-DEM Methods in OpenFOAM for Simulation of Particle-Laden Turbulent Flows
by Atul Jaiswal, Minh Duc Bui and Peter Rutschmann
Fluids 2022, 7(10), 337; https://doi.org/10.3390/fluids7100337 - 21 Oct 2022
Cited by 16 | Viewed by 5902
Abstract
CFD-DEM modelling of particle-laden turbulent flow is challenging in terms of the required and obtained CFD resolution, heavy DEM computations, and the limitations of the method. Here, we assess the efficiency of a particle-tracking solver in OpenFOAM with RANS-DEM and LES-DEM approaches under [...] Read more.
CFD-DEM modelling of particle-laden turbulent flow is challenging in terms of the required and obtained CFD resolution, heavy DEM computations, and the limitations of the method. Here, we assess the efficiency of a particle-tracking solver in OpenFOAM with RANS-DEM and LES-DEM approaches under the unresolved CFD-DEM framework. Furthermore, we investigate aspects of the unresolved CFD-DEM method with regard to the coupling regime, particle boundary condition and turbulence modelling. Applying one-way and two-way coupling to our RANS-DEM simulations demonstrates that it is sufficient to include one-way coupling when the particle concentration is small (O ~ 105). Moreover, our study suggests an approach to estimate the particle boundary condition for cases when data is unavailable. In contrast to what has been previously reported for the adopted case, our RANS-DEM results demonstrate that simple dispersion models considerably underpredict particle dispersion and previously observed reasonable particle dispersion were due to an error in the numerical setup rather than the used dispersion model claiming to include turbulence effects on particle trajectories. LES-DEM may restrict extreme mesh refinement, and, under such scenarios, dynamic LES turbulence models seem to overcome the poor performance of static LES turbulence models. Sub-grade scale effects cannot be neglected when using coarse mesh resolution in LES-DEM and must be recovered with efficient modelling approaches to predict accurate particle dispersion. Full article
(This article belongs to the Section Flow of Multi-Phase Fluids and Granular Materials)
Show Figures

Figure 1

14 pages, 2644 KB  
Article
Research on a New Drag Force Model for Cylindrical Particles in Fixed Bed Reactors
by Linbo Yan, Luchao Wang, Ziliang Wang, Cong Geng, Boshu He and Baizeng Fang
Catalysts 2022, 12(10), 1120; https://doi.org/10.3390/catal12101120 - 27 Sep 2022
Cited by 2 | Viewed by 2890
Abstract
Fixed bed reactors play an important role in converting solid wastes to high-quality products. The solid wastes, as well as the corresponding catalysts, are often made into cylindrical particles. However, research on the drag force for cylindrical particles is still rarely reported. In [...] Read more.
Fixed bed reactors play an important role in converting solid wastes to high-quality products. The solid wastes, as well as the corresponding catalysts, are often made into cylindrical particles. However, research on the drag force for cylindrical particles is still rarely reported. In this work, the fixed bed porosity was firstly predicted with the unresolved CFD-DEM method and validated against experimental data. Then, the Ergun model, Di Felice model, and Ganser model were evaluated against the reported pressure drop data for both the spherical and cylindrical particles, so that a more solid drag force theory could be selected as a candidate for cylindrical particles. Finally, a new Ganser model was proposed for cylindrical particle drag force prediction based on the reported experimental results and validated by other experimental data. It was found that, for the spherical particle bed, the relative prediction errors of the Di Felice model are approximately 10%, while those of the Ergun model are approximately 15%. For the cylindrical particle bed, the relative prediction errors of the Ganser model are approximately 10%, while those of the Di Felice model are much higher than 10%. With the new Ganser model proposed in this work, the maximum error between the predicted pressure drop and the experimental data can be lowered to approximately 5%. The research is of reference value for drag force model selection when simulating similar FBRs with cylindrical particles. Full article
(This article belongs to the Special Issue Catalysts: Reactor Modeling Using Computational Fluid Dynamics)
Show Figures

Graphical abstract

20 pages, 5149 KB  
Article
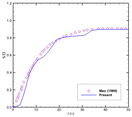
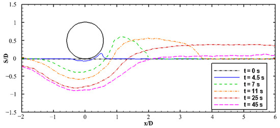
Unresolved CFD and DEM Coupled Simulations on Scour around a Subsea Pipeline
by Seongjin Song and Sunho Park
J. Mar. Sci. Eng. 2022, 10(5), 556; https://doi.org/10.3390/jmse10050556 - 19 Apr 2022
Cited by 15 | Viewed by 3734
Abstract
In this paper, numerical studies were carried out on scour around a subsea pipeline. A coupled solver between computational fluid dynamics (CFD) and discrete element method (DEM) was selected to simulate fluid flow and particle interactions. To select and validate the numerical model [...] Read more.
In this paper, numerical studies were carried out on scour around a subsea pipeline. A coupled solver between computational fluid dynamics (CFD) and discrete element method (DEM) was selected to simulate fluid flow and particle interactions. To select and validate the numerical model parameters in the solver, angles of repose and incipient motion were simulated. From the validation studies, the selected coefficient of rolling friction with spherical particles could predict the behavior of non-spherical particles. The fluid flow around the subsea pipeline was simulated, and the motion of individual soil particles was tracked. Particle motions were generated by the drag force, due to a high velocity. Three scour development process, such as onset of scour, tunnel erosion, and lee-wake erosion, were studied and discussed. The scour depth evolution showed good agreement with the experimental data. It was confirmed that the selected solver, with numerical model parameters, predicted the scour process around a subsea pipeline well. Full article
(This article belongs to the Section Ocean Engineering)
Show Figures

Figure 1

17 pages, 7330 KB  
Article
CFD-DEM Modeling of Dense Sub-Aerial and Submerged Granular Collapses
by Maryam Shademani, Bruno Blais and Ahmad Shakibaeinia
Water 2021, 13(21), 2969; https://doi.org/10.3390/w13212969 - 21 Oct 2021
Cited by 10 | Viewed by 3885
Abstract
Sub-aerial (dry) and submerged dense granular collapses are studied by means of a three-phase unresolved computational fluid dynamics-discrete element method (CFD-DEM) numerical model. Physical experiments are also performed to provide data for validation and further analysis. Validations show good compatibility between the numerical [...] Read more.
Sub-aerial (dry) and submerged dense granular collapses are studied by means of a three-phase unresolved computational fluid dynamics-discrete element method (CFD-DEM) numerical model. Physical experiments are also performed to provide data for validation and further analysis. Validations show good compatibility between the numerical and experimental results. Collapse mechanism as well as post-collapse morphological parameters, such as granular surface profile and runout distance, are analyzed. The spatiotemporal variation of solid volume fraction is also investigated. The effect granular column aspect ratio is studied and found to be a key factor in granular morphology for both submerged and dry conditions. The volume fraction analysis evolution shows an expansion and re-compaction trend, correlated with the granular movement. Full article
(This article belongs to the Special Issue Computational Fluid Mechanics and Hydraulics)
Show Figures

Figure 1

23 pages, 4200 KB  
Hypothesis
CFD–DEM Simulation of Sand-Retention Mechanisms in Slurry Flow
by Fatemeh Razavi, Alexandra Komrakova and Carlos F. Lange
Energies 2021, 14(13), 3797; https://doi.org/10.3390/en14133797 - 24 Jun 2021
Cited by 27 | Viewed by 4521
Abstract
The primary motivation of this paper is to investigate the sand-retention mechanisms that occur at the opening of sand filters. Various retention mechanisms under various conditions are explored that have a particulate flow with a low concentration of sand particles (called slurry flow) [...] Read more.
The primary motivation of this paper is to investigate the sand-retention mechanisms that occur at the opening of sand filters. Various retention mechanisms under various conditions are explored that have a particulate flow with a low concentration of sand particles (called slurry flow) such as particle shape, size, and concentration. The computational fluid dynamic (CFD)–discrete element method (DEM) model is applied to predict the retention mechanisms under steady flow conditions of the well-bore. By using coupled CFD–DEM (CFD to model the fluid flow, and DEM to model the particle flow), the physics involved in the retention mechanisms is studied. The coarse grid unresolved and the smoothed unresolved (refined grid unresolved) coupling approaches implemented in STAR-CCM+ (SIEMENS PLM) are used to transfer data between the fluid and solid phases and calculate the forces. The filter slots under investigation have different geometries: straight, keystone, wire-wrapped screen (WWS) and seamed slot and the particles are considered with different shapes and different aspect ratios and size distributions. The flow regime is laminar in all simulations conducted. The CFD–DEM model is validated from the perspectives of particle–fluid, particle–particle, and particle–wall interactions. Verification of the CFD–DEM model is conducted by mesh sensitivity analysis to investigate the coupling resolution between the CFD and DEM. By simulation of numerous slurry flow scenarios, three retention mechanisms including surface deposition, size exclusion, and sequential arching of particles are observed. However, the concentration of particles is too diluted to result in multiparticle arch formation. In the simulations, various conditions are tested to give us an insight into the parameters and conditions that could affect the occurrence of the retention mechanisms. As an example, the importance of the gravity force and interaction forces on retention mechanisms are confirmed at the microscale in comparison with others forces involved in retention mechanisms such as the drag force, lift force, cohesive force, buoyancy force, and virtual mass force. Full article
Show Figures

Graphical abstract

21 pages, 7171 KB  
Article
Unresolved CFD and DEM Coupled Solver for Particle-Laden Flow and Its Application to Single Particle Settlement
by Seongjin Song and Sunho Park
J. Mar. Sci. Eng. 2020, 8(12), 983; https://doi.org/10.3390/jmse8120983 - 2 Dec 2020
Cited by 9 | Viewed by 4335
Abstract
In the present study, a single particle settlement was studied using a developed unresolved computational fluid dynamics (CFD) and discrete element method (DEM) coupling solver. The solver was implemented by coupling OpenFOAM, the open-source computational fluid dynamics libraries, with LIGGGHTS, the open-source discrete [...] Read more.
In the present study, a single particle settlement was studied using a developed unresolved computational fluid dynamics (CFD) and discrete element method (DEM) coupling solver. The solver was implemented by coupling OpenFOAM, the open-source computational fluid dynamics libraries, with LIGGGHTS, the open-source discrete element method libraries. An averaging method using a kernel function was considered to decrease the grid dependency. For the drag model of a single particle, a revised volume fraction with a particle volume expansion coefficient was applied. Falling particles in a water tank were simulated and compared with the empirical correlation. A parametric study using several integrated added mass coefficients and volume expansion coefficients from low to high Reynolds numbers was carried out. The simulations which used the developed numerical methods showed significantly improved predictions of particle settlement. Full article
(This article belongs to the Special Issue Advances in Marine Pollution and Disaster)
Show Figures

Figure 1

Back to TopTop