Unresolved CFD and DEM Coupled Simulations on Scour around a Subsea Pipeline
Abstract
:1. Introduction
2. Computational Methods
2.1. Discrete Element Method
2.2. Computational Fluid Dynamics
2.3. Numerical Methods
3. Problem Description
4. Numerical Model Parameters
4.1. Angle of Repose for Glass Beads
4.2. Angle of Repose for Sand Particles
4.3. Incipient Motion of Sand Particles
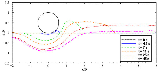
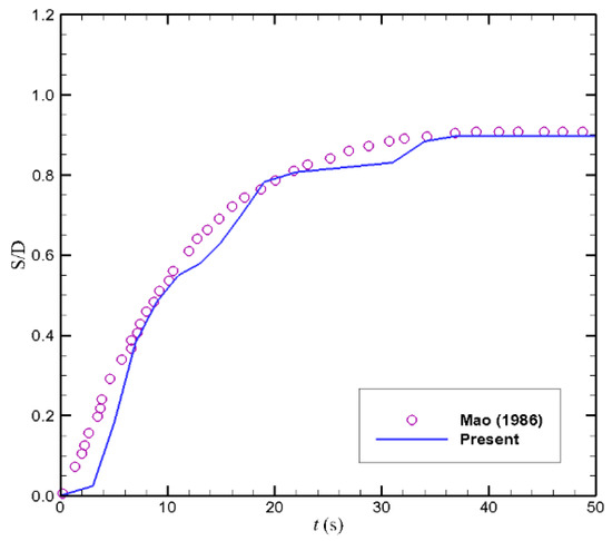
5. Results and Discussion
6. Conclusions
Author Contributions
Funding
Institutional Review Board Statement
Informed Consent Statement
Data Availability Statement
Conflicts of Interest
References
- Whitehouse, R. Scour at Marine Structures: A Manual for Practical Applications; Thomas Telford: London, UK, 1998. [Google Scholar]
- Fredsøe, J. Pipeline–Seabed interaction. J. Waterw. Port Coast. Ocean Eng. 2016, 142, 1–20. [Google Scholar] [CrossRef] [Green Version]
- Mao, Y. The Interaction between a Pipeline and Erodible Bed; Technical University of Denmark: Kongens Lyngby, Denmark, 1986. [Google Scholar]
- Dargahi, B. The turbulent flow field around a circular cylinder. Exp. Fluids 1989, 8, 1–12. [Google Scholar] [CrossRef]
- Chiew, Y.M. Prediction of maximum scour depth at submarine pipelines. J. Hydraul. Eng. 1991, 117, 452–466. [Google Scholar] [CrossRef]
- Guan, D.; Hsieh, S.-C.; Chiew, Y.-M.; Low, Y.M.; Wei, M. Local scour and flow characteristics around pipeline subjected to vortex-induced vibrations. J. Hydraul. Eng. 2020, 146, 04019048. [Google Scholar] [CrossRef]
- Chiew, Y.M. Mechanics of local scour around submarine pipelines. J. Hydraul. Eng. 1990, 116, 515–529. [Google Scholar] [CrossRef]
- Sumer, B.M.; Fredsøe, J.; Christiansen, N. Scour around vertical pile in waves. J. Waterw. Port Coast. Ocean Eng. 1992, 118, 15–31. [Google Scholar] [CrossRef]
- Sumer, B.M.; Fredsøe, J. The Mechanics of Scour in the Marine Environment; World Scientific Publishing Company: Singapore, 2002. [Google Scholar]
- Trygsland, E. Numerical Study of Seabed Boundary Layer Flow around Monopile and Gravity-Based Wind Turbine Foundations. Master’s Thesis, Norwegian University of Science and Technology, Trondheim, Norway, 2015. [Google Scholar]
- Park, S.; Song, S.; Wang, H.; Joung, T.; Shin, Y. Parametric study on scouring around suction bucket foundation. J. Ocean Eng. Technol. 2017, 31, 281–287. [Google Scholar] [CrossRef] [Green Version]
- Roulund, A.; Sumer, B.M.; Fredsøe, J.; Michelsen, J. Numerical and experimental investigation of flow and scour around a circular pile. J. Fluid Mech. 2005, 534, 351. [Google Scholar] [CrossRef]
- Liang, D.; Cheng, L.; Li, F. Numerical modeling of flow and scour below a pipeline in currents: Part II. Scour simulation. Coast. Eng. 2005, 52, 43–62. [Google Scholar] [CrossRef]
- Liu, M.M.; Lu, L.; Teng, B.; Zhao, M.; Tang, G.Q. Numerical modeling of local scour and forces for submarine pipeline under surface waves. Coast. Eng. 2016, 116, 275–288. [Google Scholar] [CrossRef]
- Engelund, F.; Fredsøe, J. A sediment transport model for straight alluvial channels. Hydrol. Res. 1976, 7, 293–306. [Google Scholar] [CrossRef] [Green Version]
- Paola, C.; Voller, V.R. A generalized Exner equation for sediment mass balance. J. Geophys. Res. Earth Surf. 2005, 110, F04014. [Google Scholar] [CrossRef]
- Zhao, E.; Dong, Y.; Tang, Y.; Sun, J. Numerical investigation of hydrodynamic characteristics and local scour mechanism around submarine pipelines under joint effect of solitary waves and currents. Ocean Eng. 2021, 222, 108553. [Google Scholar] [CrossRef]
- Liang, D.; Huang, J.; Zhang, J.; Shi, S.; Zhu, N.; Chen, J. Three-Dimensional Simulations of Scour around Pipelines of Finite Lengths. J. Mar. Sci. Eng. 2022, 10, 106. [Google Scholar] [CrossRef]
- Yeganeh-Bakhtiary, A.; Kazeminezhad, M.H.; Etemad-Shahidi, A.; Baas, J.H.; Cheng, L. Euler–Euler two-phase flow simulation of tunnel erosion beneath marine pipelines. Appl. Ocean Res. 2011, 33, 137–146. [Google Scholar] [CrossRef]
- Fraga, V.S.; Yin, G.; Ong, M.C.; Myrhaug, D. CFD investigation on scour beneath different configurations of piggyback pipelines under steady current flow. Coast. Eng. 2022, 172, 104060. [Google Scholar] [CrossRef]
- Li, J.; Tao, J. CFD-DEM Two-Way Coupled Numerical Simulation of Bridge Local Scour Behavior under Clear-Water Conditions. Transp. Res. Rec. 2018, 2672, 107–117. [Google Scholar] [CrossRef]
- Zhu, H.P.; Yu, A.B. Steady-state granular flow in a three-dimensional cylindrical hopper with flat bottom: Microscopic analysis. J. Phys. D Appl. Phys. 2004, 37, 1497. [Google Scholar] [CrossRef]
- Kloss, C.; Goniva, C.; Hager, A.; Amberger, S.; Pirker, S. Models, algorithms and validation for opensource DEM and CFD–DEM. Prog. Comput. Fluid Dyn. 2012, 12, 140–152. [Google Scholar] [CrossRef]
- Hager, A.; Kloss, C.; Pirker, S.; Goniva, C. Parallel resolved open source CFD-DEM: Method, validation and application. J. Comput. Multiph. Flows 2014, 6, 13–27. [Google Scholar] [CrossRef] [Green Version]
- Uhlmann, M. An immersed boundary method with direct forcing for the simulation of particulate flows. J. Comput. Phys. 2005, 209, 448–476. [Google Scholar] [CrossRef] [Green Version]
- Tsuji, T.; Higashida, K.; Okuyama, Y.; Tanaka, T. Fictitious particle method: A numerical model for flows including dense solids with large size difference. AlChE J. 2014, 60, 1606–1620. [Google Scholar] [CrossRef]
- Askarishahi, M.; Salehi, M.S.; Radl, S. Voidage correction algorithm for unresolved Euler–Lagrange simulations. Comput. Part. Mech. 2018, 5, 607–625. [Google Scholar] [CrossRef] [Green Version]
- Peng, Z.; Doroodchi, E.; Luo, C.; Moghtaderi, B. Influence of void fraction calculation on fidelity of CFD-DEM simulation of gas-solid bubbling fluidized beds. AlChE J. 2014, 60, 2000–2018. [Google Scholar] [CrossRef]
- Zhu, H.P.; Yu, A.B. Averaging method of granular materials. Phys. Rev. E 2002, 66, 021302. [Google Scholar] [CrossRef]
- Wu, C.L.; Zhan, J.M.; Li, Y.S.; Lam, K.S.; Berrouk, A.S. Accurate void fraction calculation for three-dimensional discrete particle model on unstructured mesh. Chem. Eng. Sci. 2009, 64, 1260–1266. [Google Scholar] [CrossRef]
- Jing, L.; Kwok, C.Y.; Leung, Y.F.; Sobral, Y.D. Extended CFD–DEM for free-surface flow with multi-size granules. Int. J. Numer. Anal. Methods Geomech. 2016, 40, 62–79. [Google Scholar] [CrossRef]
- Wang, L.; Ouyang, J.; Jiang, C. Direct calculation of voidage in the fine-grid CFD–DEM simulation of fluidized beds with large particles. Particuology 2018, 40, 23–33. [Google Scholar] [CrossRef]
- Song, S.; Park, S. Unresolved CFD and DEM Coupled Solver for Particle-Laden Flow and Its Application to Single Particle Settlement. J. Mar. Sci. Eng. 2020, 8, 983. [Google Scholar] [CrossRef]
- Zhao, J.; Shan, T. Coupled CFD–DEM simulation of fluid–particle interaction in geomechanics. Powder Technol. 2013, 239, 248–258. [Google Scholar] [CrossRef]
- Schmeeckle, M.W. Numerical simulation of turbulence and sediment transport of medium sand. J. Geophys. Res. Earth Surf. 2014, 119, 1240–1262. [Google Scholar] [CrossRef]
- Sun, R.; Xiao, H. CFD–DEM simulations of current-induced dune formation and morphological evolution. Adv. Water Resour. 2016, 92, 228–239. [Google Scholar] [CrossRef] [Green Version]
- Zhang, Y.; Zhao, M.K.C.S.; Kwok, K.C.; Liu, M.M. Computational fluid dynamics–discrete element method analysis of the onset of scour around subsea pipelines. Appl. Math. Modell. 2015, 39, 7611–7619. [Google Scholar] [CrossRef]
- Yang, J.; Low, Y.M.; Lee, C.H.; Chiew, Y.M. Numerical simulation of scour around a submarine pipeline using computational fluid dynamics and discrete element method. Appl. Math. Model. 2018, 55, 400–416. [Google Scholar] [CrossRef]
- Hu, D.; Tang, W.; Sun, L.; Li, F.; Ji, X.; Duan, Z. Numerical simulation of local scour around two pipelines in tandem using CFD–DEM method. Appl. Ocean Res. 2019, 93, 101968. [Google Scholar] [CrossRef]
- Yazdanfar, Z.; Lester, D.; Robert, D.; Setunge, S. A novel CFD-DEM upscaling method for prediction of scour under live-bed conditions. Ocean Eng. 2021, 220, 108442. [Google Scholar] [CrossRef]
- Cundall, P.A.; Strack, O.D. A discrete numerical model for granular assemblies. Geotechnique 1979, 29, 47–65. [Google Scholar] [CrossRef]
- Zhou, Y.C.; Wright, B.D.; Yang, R.Y.; Xu, B.H.; Yu, A.B. Rolling friction in the dynamic simulation of sandpile formation. Phys. A 1999, 269, 536–553. [Google Scholar] [CrossRef]
- Roessler, T.; Katterfeld, A. Scaling of the angle of repose test and its influence on the calibration of DEM parameters using upscaled particles. Powder Technol. 2018, 330, 58–66. [Google Scholar] [CrossRef]
- Ai, J.; Chen, J.F.; Rotter, J.M.; Ooi, J.Y. Assessment of rolling resistance models in discrete element simulations. Powder Technol. 2011, 206, 269–282. [Google Scholar] [CrossRef]
- Sweby, P.K. High Resolution Schemes Using Flux Limiters for Hyperbolic Conservation Laws. SIAM J. Numer. Anal. 1984, 21, 995–1011. [Google Scholar] [CrossRef]
- Lee, C.H.; Low, Y.M.; Chiew, Y.M. Multi-dimensional rheology-based two-phase model for sediment transport and applications to sheet flow and pipeline scour. Phys. Fluids 2016, 28, 053305. [Google Scholar] [CrossRef]
- Chen, H.; Liu, Y.L.; Zhao, X.Q.; Xiao, Y.G.; Liu, Y. Numerical investigation on angle of repose and force network from granular pile in variable gravitational environments. Powder Technol. 2015, 283, 607–617. [Google Scholar] [CrossRef]
- Nakashima, H.; Shioji, Y.; Kobayashi, T.; Aoki, S.; Shimizu, H.; Miyasaka, J.; Ohdoi, K. Determining the angle of repose of sand under low-gravity conditions using discrete element method. J. Terramech. 2011, 48, 17–26. [Google Scholar] [CrossRef]
- Li, F.; Cheng, L. Numerical model for local scour under offshore pipelines. J. Hydraul. Eng. 1999, 125, 400–406. [Google Scholar] [CrossRef]
- Kramer, H. Sand mixtures and sand movement in fluvial model. Trans. Am. Soc. Civ. Eng. 1935, 100, 798–838. [Google Scholar] [CrossRef]
- Buffington, J.M. The legend of AF Shields. J. Hydraul. Eng. 1999, 125, 376–387. [Google Scholar] [CrossRef]
- Hjulstrom, F. Studies of the Morphological Activity of Rivers as Illustrated by the River Fyris; Bulletin of the Geological Institution of the University of Upsala: Upsala, Sweden, 1935; pp. 221–527. [Google Scholar]
- Plenker, D.; Grabe, J. Simulation of sand particle transport by coupled CFD-DEM: First investigations. In Proceedings of the 8 International Conference on Scour and Erosion, Oxford, UK, 12–15 September 2016; Harris, J., Whitehouse, R., Moxon, S., Eds.; pp. 109–118. [Google Scholar]
- Celik, I.B.; Ghia, U.; Roache, P.J.; Freitas, C.J. Procedure for estimation and reporting of uncertainty due to discretization in CFD applications. J. Fluids Eng. 2008, 130, 078001. [Google Scholar]
- Pang, A.L.J.; Skote, M.; Lim, S.Y.; Gullman-Strand, J.; Morgan, N. A numerical approach for determining equilibrium scour depth around a mono-pile due to steady currents. Appl. Ocean Res. 2016, 57, 114–124. [Google Scholar] [CrossRef]
















| Description | Value |
|---|---|
| Pipeline diameter (D) | 0.05 m |
| Water depth (H) | 0.25 m |
| Seabed depth (h) | 0.05 m |
| Mean flow velocity | 1.21 m/s |
| 1.71 | |
| ) | 1 mm |
| 0.33 |
| Particles | |
| Number of particles | 134,285 |
| 2600 kg/m3 | |
| 0.45 | |
| Pa | |
| Coefficient of restitution (e) | 0.05 |
| 0.6 | |
| 0.125 | |
| Computation Condition | |
| s | |
| s | |
| 40 | |
| Properties | Value |
|---|---|
| ) | 10 mm |
| 2500 kg/m3 | |
| 0.24 | |
| Pa | |
| Coefficient of restitution (e) | 0.97 |
| 0.142 | |
| 0.01 | |
| Number of particles filled in hopper | 13,000 |
| Present | Chen et al. [48] | Difference | |
|---|---|---|---|
| 22.49° | 22.7° | −0.9% | |
| 11,587 | 11,413 | 1.52% |
| 0.01 | 27.47° | |
| 0.04 | 28.53° | |
| 0.08 | 29.63° | |
| 0.1 | 31.61° | |
| 0.125 | 32.02° |
| Case 1 | Case 2 | Case 3 | |
|---|---|---|---|
| The number of grids | 43,392 | 86,488 | 173,159 |
| 2.48 | 1.75 | 1.24 | |
| 0.849 | 0.885 | 0.891 | |
| S/D | 0.847 | 0.897 | 0.933 |
Publisher’s Note: MDPI stays neutral with regard to jurisdictional claims in published maps and institutional affiliations. |
© 2022 by the authors. Licensee MDPI, Basel, Switzerland. This article is an open access article distributed under the terms and conditions of the Creative Commons Attribution (CC BY) license (https://creativecommons.org/licenses/by/4.0/).
Share and Cite
Song, S.; Park, S. Unresolved CFD and DEM Coupled Simulations on Scour around a Subsea Pipeline. J. Mar. Sci. Eng. 2022, 10, 556. https://doi.org/10.3390/jmse10050556
Song S, Park S. Unresolved CFD and DEM Coupled Simulations on Scour around a Subsea Pipeline. Journal of Marine Science and Engineering. 2022; 10(5):556. https://doi.org/10.3390/jmse10050556
Chicago/Turabian StyleSong, Seongjin, and Sunho Park. 2022. "Unresolved CFD and DEM Coupled Simulations on Scour around a Subsea Pipeline" Journal of Marine Science and Engineering 10, no. 5: 556. https://doi.org/10.3390/jmse10050556
APA StyleSong, S., & Park, S. (2022). Unresolved CFD and DEM Coupled Simulations on Scour around a Subsea Pipeline. Journal of Marine Science and Engineering, 10(5), 556. https://doi.org/10.3390/jmse10050556
