Sign in to use this feature.

Years

Between: -

Subjects

remove_circle_outline
remove_circle_outline
remove_circle_outline
remove_circle_outline
remove_circle_outline
remove_circle_outline
remove_circle_outline

Journals

Article Types

Countries / Regions

Search Results (21)

Search Parameters:
Keywords = unloading valve

Order results
Result details
Results per page
Select all
Export citation of selected articles as:
26 pages, 1952 KB  
Review
Beyond Standard Parameters: Precision Hemodynamic Monitoring in Patients on Veno-Arterial ECMO
by Debora Emanuela Torre and Carmelo Pirri
J. Pers. Med. 2025, 15(11), 541; https://doi.org/10.3390/jpm15110541 - 7 Nov 2025
Viewed by 1868
Abstract
Background: Hemodynamic management in veno-arterial extracorporeal membrane oxygenation (V-A ECMO) is inherently complex, as extracorporeal circulation profoundly alters preload, afterload, ventriculo-arterial coupling and tissue perfusion. This review summarizes current and emerging monitoring strategies to guide initiation, maintenance and weaning. Methods: A [...] Read more.
Background: Hemodynamic management in veno-arterial extracorporeal membrane oxygenation (V-A ECMO) is inherently complex, as extracorporeal circulation profoundly alters preload, afterload, ventriculo-arterial coupling and tissue perfusion. This review summarizes current and emerging monitoring strategies to guide initiation, maintenance and weaning. Methods: A structured literature search was performed in PubMed and Scopus (1990–2025), including clinical studies, consensus statement and expert reviews addressing hemodynamic monitoring in V-A ECMO. Results: A multiparametric framework is required. Echocardiography remains central for assessing biventricular performance, aortic valve dynamics and ventricular unloading. Pulmonary artery catheterization provides complementary data on filling pressures, cardiac output and global oxygen balance. Metabolic indices such as lactate clearance and veno-arterial CO2 gap, together with regional oximetry (NIRS), inform the adequacy of systemic and tissue perfusion. Microcirculatory monitoring, though technically demanding, has shown prognostic value, particularly during weaning. Additional adjuncts include arterial pulse pressure, end-tidal CO2 and waveform analysis. Phenotype oriented priorities, such as detection of differential hypoxemia, prevention of left ventricular distension or surveillance for limb ischemia, require tailored monitoring strategies. Artificial intelligence and machine learning represent future avenues for integrating multiparametric data into predictive models. Conclusions: No single modality can capture the hemodynamic complexity of V-A ECMO. Precision monitoring demands a dynamic, phenotype-specific and time-dependent approach that integrates systemic, cardiac, metabolic and microcirculatory variables. Such individualized strategies hold promise to optimize outcomes, reduce complications and align V-A ECMO management with the principles of precision medicine. Full article
(This article belongs to the Special Issue Emergency and Critical Care in the Context of Personalized Medicine)
Show Figures

Graphical abstract

18 pages, 2313 KB  
Article
In Silico and In Vitro Comparison of Seven Closed and Semi-Closed Leaflet Designs for Transcatheter Heart Valve Replacements
by Alexander Breitenstein-Attach, Marvin Steitz, Jordi Modolell, Sugat Ratna Tuladhar, Boris Warnack, Peter Kramer, Frank Edelmann, Felix Berger and Boris Schmitt
Bioengineering 2025, 12(10), 1044; https://doi.org/10.3390/bioengineering12101044 - 28 Sep 2025
Viewed by 977
Abstract
Purpose: Transcatheter heart valve replacements (TVR) are typically designed in a closed shape with initial leaflet coaptation. However, recent studies suggest a semi-closed geometry without a predefined coaptation zone, relying on diastolic pressure and clinical oversizing of 10–20 % for closure. This approach [...] Read more.
Purpose: Transcatheter heart valve replacements (TVR) are typically designed in a closed shape with initial leaflet coaptation. However, recent studies suggest a semi-closed geometry without a predefined coaptation zone, relying on diastolic pressure and clinical oversizing of 10–20 % for closure. This approach may minimize pinwheeling, a phenomenon linked to early valve degeneration. Method: Seven valve geometries were assessed: one closed design (G0) and six semi-closed variations (G1–G6). The semi-closed designs differed in free edge shape (linear, concave, convex) and opening degree, defined as the relative distance from the leaflet to the valve center in the unloaded state. The opening degree was systematically increased across G1–G6, with G6 exhibiting the highest value. 30 mm valves were fabricated using porcine pericardium and self-expanding nitinol stents. Performance was assessed in a pulse duplicator system, evaluating transvalvular pressure gradient (TPG), effective orifice area (EOA), regurgitation fraction (RF) and a novel pinwheeling index (PI) which was validated by finite element simulations. Results: Finite element simulations demonstrated that semi-closed geometries achieve valve closure at a diameter reduction of >5%. In vitro tests confirmed these findings with more homogeneous coaptation and reduced pinwheeling. With increased opening degree the RF reduced significantly (RFG0 = 18.54 ± 8.05%; RFG6 = 8.22 ± 1.27%; p < 0.0001), while valve opening remained comparable (p = 0.4519). Conclusions: A semi-closed leaflet geometry enhances valve closure, reducing regurgitation and pinwheeling while preserving effective opening. With clinical oversizing, a higher opening degree improves coaptation and may enhance durability by mitigating structural deterioration, ultimately improving the long-term performance and lifespan of transcatheter valve replacements. Full article
(This article belongs to the Special Issue Recent Advances in Cardiothoracic Assist Devices)
Show Figures

Graphical abstract

8 pages, 1371 KB  
Proceeding Paper
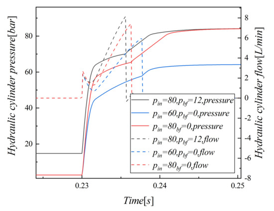
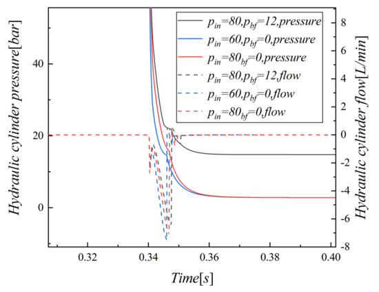
Design of a Forklift Hydraulic System with Unloading Valves for Load Handling
by Yordan Stoyanov, Atanasi Tashev and Penko Mitev
Eng. Proc. 2025, 104(1), 85; https://doi.org/10.3390/engproc2025104085 - 6 Sep 2025
Viewed by 1796
Abstract
This paper presents the design and analysis of a forklift hydraulic system utilizing an open-center configuration equipped with unloading (safety-overflow) valves and an emergency lowering mechanism. The hydraulic system includes an external gear pump, double-acting power cylinders, hydraulic distributors, and control valves. A [...] Read more.
This paper presents the design and analysis of a forklift hydraulic system utilizing an open-center configuration equipped with unloading (safety-overflow) valves and an emergency lowering mechanism. The hydraulic system includes an external gear pump, double-acting power cylinders, hydraulic distributors, and control valves. A comprehensive approach is undertaken to select system components based on catalog data and to model the flow rate, required torque, and power characteristics of the pump, along with load handling performance as a function of cylinder dimensions and hydraulic pressure. System behavior under various operating conditions is simulated using Automation Studio, enabling performance optimization and fault response assessment. The inclusion of unloading valves and an emergency button enhances system safety by enabling controlled pressure relief and emergency actuation. The impact of thermal effects, filter efficiency, and reservoir design on hydraulic fluid integrity is also addressed. This study aims to improve reliability, efficiency, and safety in hydraulic forklift systems while supporting informed design decisions using simulation-driven methodologies. Full article
Show Figures

Figure 1

18 pages, 333 KB  
Review
Molecular Mechanisms of Cardiac Adaptation After Device Deployment
by Letizia Rosa Romano, Paola Plutino, Giovanni Lopes, Rossella Quarta, Pierangelo Calvelli, Ciro Indolfi, Alberto Polimeni and Antonio Curcio
J. Cardiovasc. Dev. Dis. 2025, 12(8), 291; https://doi.org/10.3390/jcdd12080291 - 30 Jul 2025
Viewed by 1062
Abstract
Cardiac devices have transformed the management of heart failure, ventricular arrhythmias, ischemic cardiomyopathy, and valvular heart disease. Technologies such as cardiac resynchronization therapy (CRT), conduction system pacing, left ventricular assist devices (LVADs), and implantable cardioverter-defibrillators have contributed to abated global cardiovascular risk through [...] Read more.
Cardiac devices have transformed the management of heart failure, ventricular arrhythmias, ischemic cardiomyopathy, and valvular heart disease. Technologies such as cardiac resynchronization therapy (CRT), conduction system pacing, left ventricular assist devices (LVADs), and implantable cardioverter-defibrillators have contributed to abated global cardiovascular risk through action onto pathophysiological processes such as mechanical unloading, electrical resynchronization, or hemodynamic optimization, respectively. While their clinical benefits are well established, their long-term molecular and structural effects on the myocardium remain under investigation. Cardiac devices dynamically interact with myocardial and vascular biology, inducing molecular and extracellular matrix adaptations that vary by pathology. CRT enhances calcium cycling and reduces fibrosis, but chronic pacing may lead to pacing-induced cardiomyopathy. LVADs and Impella relieve ventricular workload yet alter sarcomeric integrity and mitochondrial function. Transcatheter valve therapies influence ventricular remodeling, conduction, and coronary flow. Understanding these remodeling processes is crucial for optimizing patient selection, device programming, and therapeutic strategies. This narrative review integrates the current knowledge on the molecular and structural effects of cardiac devices, highlighting their impact across different disease settings. Full article
(This article belongs to the Section Electrophysiology and Cardiovascular Physiology)
Show Figures

Graphical abstract

18 pages, 5366 KB  
Article
Regenerative Structural Fatigue Testing with Digital Displacement Pump/Motors
by Win Rampen, Marek J. Munko, Sergio Lopez Dubon and Fergus Cuthill
Actuators 2025, 14(3), 103; https://doi.org/10.3390/act14030103 - 20 Feb 2025
Cited by 2 | Viewed by 1475
Abstract
Historically, a large fraction of fatigue testing of both components and structures has been performed using hydraulic actuators. These are typically driven by servo-valves, which are in themselves very inefficient. But, as most tests involve elastically stressing mechanical components, a lot of stored [...] Read more.
Historically, a large fraction of fatigue testing of both components and structures has been performed using hydraulic actuators. These are typically driven by servo-valves, which are in themselves very inefficient. But, as most tests involve elastically stressing mechanical components, a lot of stored energy could be recovered. Unfortunately, servo-valves are not regenerative—simply metering out fluid in order to relax the system prior to the start of the next cycle. There is much to be gained with a more intelligently controlled system. The FastBlade facility in Scotland uses a new type of regenerative test hydraulics. Digital displacement pump/motors (DDPMs), originated by Artemis Intelligent Power, now Danfoss Scotland, are used to load and unload the test structure directly via hydraulic rams. The DDPMs are driven by induction motors supplied by three-phase frequency converters, each with a very loose speed correction target, such that they can speed up or slow down according to the instantaneous torque exerted by the load. The rotating assembly of the induction motor and DDPM is designed to have sufficient inertia so as to function as a kinetic energy storage flywheel. The loading energy is then cyclically transferred between the rotating inertia of the motor/DDPM and the spring energy in the test structure. The electric motor provides sufficient energy to maintain the target average cyclical shaft speed of the DDPM whilst the bulk of the system energy oscillates between the two storage mechanisms. Initial tests (at low load) suggest that this technique requires only 30% of the energy previously needed. FastBlade is a unique facility built by the University of Edinburgh and Babcock, with support from the UK EPSRC, conceived as a means of testing and certifying turbine blades for marine current turbines. However, this approach can be used in any cyclical application where elastic energy is stored. Full article
(This article belongs to the Special Issue Actuation and Control in Digital Fluid Power)
Show Figures

Figure 1

19 pages, 4798 KB  
Article
Investigating the Symmetric Control of a Hydraulic System Based on Status Feedback
by Yuebing Wen, Shuhua Teng, Qiang Li, Jianping Tan, Yuwei Song and Shiyuan Sun
Symmetry 2025, 17(2), 246; https://doi.org/10.3390/sym17020246 - 7 Feb 2025
Cited by 1 | Viewed by 1505
Abstract
Valve-controlled hydraulic systems are widely used in various hydraulic equipment, but their asymmetric characteristics are the most critical factor restricting further improvements in system performance. This paper takes large asymmetric complex hydraulic equipment as the industrial background, and proposes a state feedback-based symmetric [...] Read more.
Valve-controlled hydraulic systems are widely used in various hydraulic equipment, but their asymmetric characteristics are the most critical factor restricting further improvements in system performance. This paper takes large asymmetric complex hydraulic equipment as the industrial background, and proposes a state feedback-based symmetric switching control method to address the complex control strategy and difficult control accuracy caused by input–output asymmetry and the inconsistent response of asymmetric valve-controlled hydraulic systems. A system state space model is established, and the parameterized expression that satisfies the state space switching-based symmetric control law is solved. Feedback and feedforward links based on state space symmetric switching are designed to transform the asymmetric system into a state space symmetric system. And the research results will be applied to the experimental setup of the 300 MN forging hydraulic press control system. Through simulation verification, under asymmetric PID control conditions, due to the influence of the asymmetric characteristics of the system structure, load, and their coupling relationship, the forward response time is shorter than the unloaded response time, and the overshoot is larger than the unloaded response time. The reverse response time is longer than the unloaded response time, and the overshoot is smaller than the unloaded response time. After symmetric control, the forward and reverse dynamic system characteristic curves completely overlap, proving that the system has achieved symmetric transformation; through experimental verification, under asymmetric PID control conditions, when the proportional valve opening remains constant, changes in the load pressure will cause changes in the load speed. For every 1 MPa increase in the load pressure, the load speed will slow down by about 0.0033 m/s. The load speed of the system after symmetrical control replacement will be much less affected by changes in the load pressure. The simulation and experimental results have shown that this method is expected to solve the key problem of inconsistent dynamic characteristics of complex equipment hydraulic systems in both the forward and reverse directions due to asymmetry, and the inability to ensure control accuracy in both directions using symmetric control strategies. This paper has developed a set of control theories and methods applicable to hydraulic systems with complex asymmetry. Full article
(This article belongs to the Section Engineering and Materials)
Show Figures

Figure 1

26 pages, 6319 KB  
Article
A Multi-Mode Pressure Stabilization Control Method for Pump–Valve Cooperation in Liquid Supply System
by Peng Xu and Ziming Kou
Electronics 2024, 13(22), 4512; https://doi.org/10.3390/electronics13224512 - 17 Nov 2024
Cited by 2 | Viewed by 1584
Abstract
In order to solve the problems of frequent pressure fluctuations caused by frequent action of the unloading valve of the pump station and serious hydraulic shock due to the variable amount of fluid used in the hydraulic support system of the coal mining [...] Read more.
In order to solve the problems of frequent pressure fluctuations caused by frequent action of the unloading valve of the pump station and serious hydraulic shock due to the variable amount of fluid used in the hydraulic support system of the coal mining face and the irregularity of the load suffered by the system, a pump–valve cooperative multi-mode stabilizing control method based on a digital unloading valve was proposed. Firstly, a prototype of a digital unloading valve under high-pressure and high water-based conditions was developed, and a digital control scheme was proposed to control the pilot valve by a servo motor to adjust the system pressure in real time. Then, an experimental platform for simulating the hydraulic bracket and a co-simulation model was constructed, and the validity of the co-simulation model was verified through experiments. Secondly, a collaborative multi-mode pressure stabilization control method for the pump valve based on a GRNN (General Regression Neural Network) was established to control the flow and pressure output of the emulsion pumping station according to the actual working conditions. Finally, numerical research and experimental verification were carried out for different working conditions to prove the effectiveness of this method. The results showed that the proposed pressure stabilization control method could adaptively adjust the working state of the digital unloading valve and the liquid supply flow of the emulsion pump station according to the working condition of the hydraulic support, effectively reducing the frequency and amplitude of the system pressure fluctuations and making the system pressure more stable. Full article
Show Figures

Figure 1

21 pages, 7081 KB  
Article
Research on the Dual-Objective Scheduling of the Pipeline Path of Liquid Terminal Resources Based on a Hybrid Algorithm
by Lingxin Kong, Hanbin Xiao, Chaoyu Wang, Xinjie Yuan and Min Liu
Appl. Sci. 2024, 14(14), 6195; https://doi.org/10.3390/app14146195 - 16 Jul 2024
Cited by 2 | Viewed by 1620
Abstract
With the daily use of liquid cargoes such as crude oil and their derivatives, the global transportation of liquid cargoes has developed rapidly. Liquid cargoes are mainly transported via tankers and pipelines. In the liquid terminal, the handling operations and internal transportation operations [...] Read more.
With the daily use of liquid cargoes such as crude oil and their derivatives, the global transportation of liquid cargoes has developed rapidly. Liquid cargoes are mainly transported via tankers and pipelines. In the liquid terminal, the handling operations and internal transportation operations are conducted using oil transfer arms and pipelines, and the pipeline path of the cargo is selected using valves. The number of times a valve opens and closes and the length of pipeline paths are the main factors that affect handling time and cost. In addition, different types of valves have different operating costs and levels of operating energy consumption. At this stage, most of the valve selection work is still manually completed, which consumes a lot of time and generates high labor costs, and the actual operation efficiency is low. In this paper, the cargo unloading pipeline path is the main research object, the problem of oil transfer arms–valves–pipeline (PAVP) is proposed, and a dual-objective model is established, accounting for total time in port and the unloading cost of the vessel. An NSGA-II-Dijkstra hybrid algorithm is employed to solve the PAVP, and the improved algorithm (INIIDA) is designed to improve the solution speed via an adaptive dynamic probability based on the Pareto level and heaps in the shortest path. The results show that the INIIDA could better address the PAVP than the NSGA-II-Dijkstra hybrid algorithm. Innovative fusion algorithms are employed to improve the efficiency of port operations. Full article
Show Figures

Figure 1

20 pages, 6897 KB  
Article
Extraction and Application of Hydraulic Support Safety Valve Characteristic Parameters Based on Roof Pressure Data
by Keke Xing, Jingyi Cheng, Zhijun Wan, Xin Sun, Wanzi Yan, Jiakun Lv and Minti Xue
Sensors 2023, 23(21), 8853; https://doi.org/10.3390/s23218853 - 31 Oct 2023
Cited by 4 | Viewed by 1951
Abstract
The safety valves of powered supports control the maximum working resistance, and their statuses must be known to ensure the safety of both the support and the overlying strata. However, the inspection of powered support valves involves manual or semiautomated operations, the costs [...] Read more.
The safety valves of powered supports control the maximum working resistance, and their statuses must be known to ensure the safety of both the support and the overlying strata. However, the inspection of powered support valves involves manual or semiautomated operations, the costs of which are high. In this study, an extreme point extraction method was developed for the determination of the characteristic parameters of safety valves using roof pressure data, and a safety valve state monitoring module was constructed. Using the longwall face of 0116306 with top coal caving in the Mindong Mine as an example, the characteristic parameters of the safety valves were extracted, including the peak, reseating, and blowdown pressures, as well as the recovery and unloading durations. The results of the field tests showed the following: (1) The amplitude threshold method based on extreme points can be used to accurately extract characteristic parameters, and the distribution of the characteristic parameters of the safety valves follows either a Gaussian or an exponential distribution. (2) The mining pressure analysis results, derived from the characteristic parameters, closely align with the in situ mining pressure observations. This method can be used for the online monitoring of safety valve conditions, increasing the operational efficiency and quality of safety valve inspections. Full article
(This article belongs to the Special Issue Recent Advances in Optical Sensor for Mining)
Show Figures

Figure 1

10 pages, 2845 KB  
Article
Observation and Analysis of Ejector Hysteresis Phenomena in the Hydrogen Recirculation Subsystem of PEMFCs
by Mingyang Li, Mingxing Lin, Lei Wang, Yanbo Wang, Fengwen Pan and Xiaojun Zhao
Entropy 2023, 25(3), 426; https://doi.org/10.3390/e25030426 - 27 Feb 2023
Cited by 3 | Viewed by 2598
Abstract
The optimization control and efficiency improvement of proton exchange membrane fuel cells (PEMFCs) are being paid more attention. Ejectors have been applied in PEMFC hydrogen recirculation subsystems due to the advantages of a simple structure and no power consumption. However, the hysteresis deviation [...] Read more.
The optimization control and efficiency improvement of proton exchange membrane fuel cells (PEMFCs) are being paid more attention. Ejectors have been applied in PEMFC hydrogen recirculation subsystems due to the advantages of a simple structure and no power consumption. However, the hysteresis deviation of a proportional valve ejector is found in the loading and unloading processes such that the hysteresis phenomena can cause deviations in fuel cell control process and affect the power dynamic output stability of PEMFCs. This paper analyzes the causes and effects of proportional valve hysteresis phenomena through experiments and simulations. The results show that the resultant force of proportional valve armature is different in loading and unloading processes because of the hysteresis phenomena, and the maximum flow deviation is up to 0.42 g/s. The hysteresis phenomena of flow rate further cause a deviation of 68.7–89.3 kW in PEMFC power output. Finally, a control compensation model is proposed to effectively reduce the deviation. This study provides a reference for the control and optimization of PEMFC with ejector technology. Full article
(This article belongs to the Special Issue Entropy and Exergy Analysis in Ejector-Based Systems)
Show Figures

Figure 1

12 pages, 6920 KB  
Article
Failure Analysis of Cracking of Cast Aluminum Alloy Manhole Cover
by Facai Ren and Hezong Li
Materials 2023, 16(4), 1561; https://doi.org/10.3390/ma16041561 - 13 Feb 2023
Viewed by 3750
Abstract
In this paper, the abnormal fracture failure of a ZL104 aluminum alloy quick-opening manhole cover of a cement tank truck is systematically studied to discover the root cause of an accident. The unloading operation procedures of cement tank trucks, the effectiveness of safety [...] Read more.
In this paper, the abnormal fracture failure of a ZL104 aluminum alloy quick-opening manhole cover of a cement tank truck is systematically studied to discover the root cause of an accident. The unloading operation procedures of cement tank trucks, the effectiveness of safety valves, the chemical composition, mechanical properties and material quality of aluminum alloy manhole covers, and the macroscopic and microscopic morphology of fractures were comprehensively analyzed. The results show that although the Mg content in the chemical composition of an aluminum alloy manhole cover exceeds the standard, it is not the root cause of the accident. The root cause of the failure is that, during the unloading operation, the operator did not strictly follow the unloading procedures. One of the buckles was in the released state, which led to uplift cracking, resulting in the successive cracking and slipping of adjacent buckles, and the manhole cover finally cracked and flew out. Based on the failure causes, suggestions are put forward to prevent the manhole cover from failing during the unloading operation of cement tank trucks in the future. Full article
(This article belongs to the Special Issue Commemorating the Launch of the Section 'Metals and Alloys')
Show Figures

Figure 1

24 pages, 12320 KB  
Article
Turbine Fast Valving Setting Method Based on the Hybrid Simulation Approach
by Nikolay Ruban, Anton Kievets, Mikhail Andreev and Aleksey Suvorov
Energies 2023, 16(4), 1745; https://doi.org/10.3390/en16041745 - 9 Feb 2023
Cited by 1 | Viewed by 2116
Abstract
Turbine fast valving is one way to preserve the stability of power systems in case of emergency excess power. The determination of optimal setting parameters of turbine fast valving is a rather complicated task. It is connected with the necessity to determine the [...] Read more.
Turbine fast valving is one way to preserve the stability of power systems in case of emergency excess power. The determination of optimal setting parameters of turbine fast valving is a rather complicated task. It is connected with the necessity to determine the parameters of an electrical signal, which controls by means of an amplifier the position of control valves and, accordingly, the value of the output turbine power. The amplitude, duration, as well as the form of the electric signal influence the speed and depth of turbine unloading; they also determine the character of transient process development, including in the post-emergency mode. The proposed approach differs from the currently used one in that the optimal electrical signal shape is selected by multiple detailed modelling in power system simulators, rather than one of three to five initial settings determined at the turbine manufacturer without taking into account the response of the power system. Thus, when using complete and reliable information regarding the processes in the turbine and generator equipment, its control systems, and the power system as a whole, it becomes possible to form the necessary shape of an electrical signal in the event of losing stability in a place of interest in the power system due to the occurrence of an emergency excess of generated active power of various values. The developed approach was tested, and the results of the study were verified by the field data. Full article
(This article belongs to the Special Issue Smart Solutions and Devices for the Power Industry)
Show Figures

Figure 1

13 pages, 6361 KB  
Article
Effects of Hysteresis on the Dynamic Deformation of Artificial Polymeric Heart Valve
by Shahrul Hisyam Marwan and Mitsugu Todo
Prosthesis 2022, 4(4), 511-523; https://doi.org/10.3390/prosthesis4040042 - 21 Sep 2022
Cited by 2 | Viewed by 2911
Abstract
The deformation behavior of an artificial heart valve was analyzed using the explicit dynamic finite element method. Time variations of the left ventricle and the aortic pressure were considered as the mechanical boundary conditions in order to reproduce the opening and closing movements [...] Read more.
The deformation behavior of an artificial heart valve was analyzed using the explicit dynamic finite element method. Time variations of the left ventricle and the aortic pressure were considered as the mechanical boundary conditions in order to reproduce the opening and closing movements of the valve under the full cardiac cycle. The valve was assumed to be made from a medical polymer and hence, a hyperelastic Mooney–Rivlin model was assigned as the material model. A simple formula of the damage mechanics was also introduced into the theoretical material model to express the hysteresis response under the unloading state. Effects of the hysteresis on the valve deformation were characterized by the delay of response and the enlargement of displacement. Most importantly, the elastic vibration observed in the pure elastic response under the full close state was dramatically reduced by the conversion of a part of elastic energy to the dissipated energy due to hysteresis. Full article
(This article belongs to the Section Bioengineering and Biomaterials)
Show Figures

Figure 1

30 pages, 9248 KB  
Article
Multi-Objective Optimization Design of Key Parameters of a Stepless Flow Control System with Multi-System Coupling Characteristics
by Xu Sun, Yao Wang, Jinjie Zhang, Fuchang Lei, Degeng Zhao and Huaibin Hong
Appl. Sci. 2022, 12(3), 1301; https://doi.org/10.3390/app12031301 - 26 Jan 2022
Cited by 9 | Viewed by 3541
Abstract
The stepless flow control system offers important energy-saving technology for reciprocating compressors in the petrochemical and oil refining industries. Optimizing the movement characteristics of the unloader and suction valve is vital to improving the energy-saving level of the system and reducing the overall [...] Read more.
The stepless flow control system offers important energy-saving technology for reciprocating compressors in the petrochemical and oil refining industries. Optimizing the movement characteristics of the unloader and suction valve is vital to improving the energy-saving level of the system and reducing the overall operating cost. However, the system has many of the characteristics of multi-system coupling and multi-parameter crossover; thus, it is difficult to optimize the key control parameters. In this study, to optimize the system inlet pressure, return pressure, and return spring stiffness parameters, a working model of the flow control system based on multi-system coupling was established. Using the ejection and withdrawal speeds of the unloader, the flow displacement deviation, and the gas work deviation of the control system as the optimization parameters, we used the response surface method to establish an optimization proxy model between the objective function and key parameters. Additionally, verification of the model’s accuracy and sensitivity analyses were completed. Finally, a double optimization scheme based on a non-dominated genetic algorithm (NSGA-II) was proposed. Simulation and experimental results show that with optimization of the return spring, oil inlet pressure, and oil return pressure, the unloader’s kinematic characteristics were also optimized at full load. The impact energy of the ejector and withdrawal speed of the unloader were reduced, and the compressor flow control error was less than 5%, which effectively improved the comprehensive working performance of the stepless flow control system. Full article
Show Figures

Figure 1

15 pages, 2361 KB  
Article
Energy-Efficiency Improvement and Processing Performance Optimization of Forging Hydraulic Presses Based on an Energy-Saving Buffer System
by Xiaopeng Yan and Baijin Chen
Appl. Sci. 2020, 10(17), 6020; https://doi.org/10.3390/app10176020 - 31 Aug 2020
Cited by 8 | Viewed by 5535
Abstract
This paper proposes an energy-saving system based on a prefill system and a buffer system to improve the energy efficiency and the processing performance of hydraulic presses. Saving energy by integrating such systems into the cooling system of a hydraulic press has not [...] Read more.
This paper proposes an energy-saving system based on a prefill system and a buffer system to improve the energy efficiency and the processing performance of hydraulic presses. Saving energy by integrating such systems into the cooling system of a hydraulic press has not been previously reported. A prefill system, powered by the power unit of the cooling system, is used to supply power simultaneously with the traditional power unit during the pressurization stage, thus reducing the usage of pumps and installed power of the hydraulic press. In contrast to the traditional prefill system, the proposed energy-saving system is controlled by a servo valve to adjust flow according to the load profile. In addition, a buffer system is employed to the cooling system to absorb the hydraulic shock generated at the unloading stage, store those shares of hydraulic energy as a recovery accumulator, and then release this energy to power the prefill system and the hydraulic actuator in the subsequent productive process. Finally, through a series of comparative experiments, it was preliminarily validated that the proposed system could reduce the installed power and pressure shock by up to 22.85% and 41%, respectively, increase energy efficiency by up to 26.71%, and provide the same processing characteristics and properties as the traditional hydraulic press. Full article
(This article belongs to the Special Issue Modelling and Control of Mechatronic and Robotic Systems)
Show Figures

Figure 1

Back to TopTop