Sign in to use this feature.

Years

Between: -

Subjects

remove_circle_outline
remove_circle_outline
remove_circle_outline
remove_circle_outline
remove_circle_outline
remove_circle_outline
remove_circle_outline
remove_circle_outline
remove_circle_outline

Journals

Article Types

Countries / Regions

Search Results (121)

Search Parameters:
Keywords = underwater velocity measurement

Order results
Result details
Results per page
Select all
Export citation of selected articles as:
12 pages, 991 KB  
Article
Associations Between Swimmers’ Dry-Land Lower- and Upper-Limb Measures and Butterfly Sprint Performance
by Maciej Hołub, Wojciech Głyk, Arkadiusz Stanula, Katja Weiss, Thomas Rosemann and Beat Knechtle
Sports 2025, 13(10), 346; https://doi.org/10.3390/sports13100346 - 3 Oct 2025
Viewed by 254
Abstract
The aim of the study was to determine correlations between performance of vertical jumps and dolphin kick sprints, and between the results of a dry-land butterfly arm pull test and butterfly arms-only swimming. The study recruited competitive junior male swimmers (15.9 (0.7) years, [...] Read more.
The aim of the study was to determine correlations between performance of vertical jumps and dolphin kick sprints, and between the results of a dry-land butterfly arm pull test and butterfly arms-only swimming. The study recruited competitive junior male swimmers (15.9 (0.7) years, 179.3 (5.3) cm body height, 64.6 (4.3) kg body mass). On dry land, we measured jump height, lower-limb work and power, as well as peak velocity, power, and force in the butterfly arm pull test. In swimming tests, time, velocity, power, force, and work were assessed during the dolphin kick and butterfly arms-only trials. Pearson’s correlation coefficients and the coefficients of determination were calculated between measurements. The findings showed correlations between swimming velocity and power recorded during the dolphin kick test with jump height, work and power measured in the jump tests (maximum r = 0.90, r2 = 0,81, p < 0.05). The best correlations between the results of the jump tests and swim variables were determined for the CJ30s test. The butterfly arm pull test was not associated with all parameters measured by the butterfly arms-only test. Our study demonstrates that targeted dry-land training programmes using exercises like vertical jumps can enhance competitive swimmers’ performance and offer coaches an accessible means of tracking athlete progress. Moreover, such simple drills may serve as a cost-effective approach for early evaluation of strength and power potential and for preventing musculoskeletal injuries, all without requiring pool access or specialized underwater equipment. However, the small and homogeneous sample (n = 12, junior males only) and the absence of reliability analyses limit the generalizability of the results. Full article
Show Figures

Figure 1

20 pages, 1907 KB  
Article
Multi-Innovation-Based Parameter Identification for Vertical Dynamic Modeling of AUV Under High Maneuverability and Large Attitude Variations
by Jianping Yuan, Zhixun Luo, Lei Wan, Cenan Wang, Chi Zhang and Qingdong Chen
J. Mar. Sci. Eng. 2025, 13(8), 1489; https://doi.org/10.3390/jmse13081489 - 1 Aug 2025
Viewed by 489
Abstract
The parameter identification of Autonomous Underwater Vehicles (AUVs) serves as a fundamental basis for achieving high-precision motion control, state monitoring, and system development. Currently, AUV parameter identification typically relies on the complete motion information obtained from onboard sensors. However, in practical applications, it [...] Read more.
The parameter identification of Autonomous Underwater Vehicles (AUVs) serves as a fundamental basis for achieving high-precision motion control, state monitoring, and system development. Currently, AUV parameter identification typically relies on the complete motion information obtained from onboard sensors. However, in practical applications, it is often challenging to accurately measure key state variables such as velocity and angular velocity, resulting in incomplete measurement data that compromises identification accuracy and model reliability. This issue is particularly pronounced in vertical motion tasks involving low-speed, large pitch angles, and highly maneuverable conditions, where the strong coupling and nonlinear characteristics of underwater vehicles become more significant. Traditional hydrodynamic models based on full-state measurements often suffer from limited descriptive capability and difficulties in parameter estimation under such conditions. To address these challenges, this study investigates a parameter identification method for AUVs operating under vertical, large-amplitude maneuvers with constrained measurement information. A control autoregressive (CAR) model-based identification approach is derived, which requires only pitch angle, vertical velocity, and vertical position data, thereby reducing the dependence on complete state observations. To overcome the limitations of the conventional Recursive Least Squares (RLS) algorithm—namely, its slow convergence and low accuracy under rapidly changing conditions—a Multi-Innovation Least Squares (MILS) algorithm is proposed to enable the efficient estimation of nonlinear hydrodynamic characteristics in complex dynamic environments. The simulation and experimental results validate the effectiveness of the proposed method, demonstrating high identification accuracy and robustness in scenarios involving large pitch angles and rapid maneuvering. The results confirm that the combined use of the CAR model and MILS algorithm significantly enhances model adaptability and accuracy, providing a solid data foundation and theoretical support for the design of AUV control systems in complex operational environments. Full article
(This article belongs to the Section Ocean Engineering)
Show Figures

Figure 1

25 pages, 5841 KB  
Article
Creating Micro-Habitat in a Pool-Weir Fish Pass with Flexible Hydraulic Elements: Insights from Field Experiments
by Mehmet Salih Turker and Serhat Kucukali
Water 2025, 17(15), 2294; https://doi.org/10.3390/w17152294 - 1 Aug 2025
Viewed by 547
Abstract
The placement of hydraulic elements in existing pool-type fishways to make them more suitable for Cyprinid fish is an issue of increasing interest in fishway research. Hydrodynamic characteristics and fish behavior at the representative pool of the fishway with bottom orifices and notches [...] Read more.
The placement of hydraulic elements in existing pool-type fishways to make them more suitable for Cyprinid fish is an issue of increasing interest in fishway research. Hydrodynamic characteristics and fish behavior at the representative pool of the fishway with bottom orifices and notches were assessed at the Dagdelen hydropower plant in the Ceyhan River Basin, Türkiye. Three-dimensional velocity measurements were taken in the pool of the fishway using an Acoustic Doppler velocimeter. The measurements were taken with and without a brush block at two different vertical distances from the bottom, which were below and above the level of bristles tips. A computational fluid dynamics (CFD) analysis was conducted for the studied fishway. The numerical model utilized Large Eddy Simulation (LES) combined with the Darcy–Forchheimer law, wherein brush blocks were represented as homogenous porous media. Our results revealed that the relative submergence of bristles in the brush block plays a very important role in velocity and Reynolds shear stress (RSS) distributions. After the placement of the submerged brush block, flow velocity and the lateral RSS component were reduced, and a resting area was created behind the brush block below the bristles’ tips. Fish movements in the pool were recorded by underwater cameras under real-time operation conditions. The heatmap analysis, which is a 2-dimensional fish spatial presence visualization technique for a specific time period, showed that Capoeta damascina avoided the areas with high turbulent fluctuations during the tests, and 61.5% of the fish presence intensity was found to be in the low Reynolds shear regions in the pool. This provides a clear case for the real-world ecological benefits of retrofitting existing pool-weir fishways with such flexible hydraulic elements. Full article
(This article belongs to the Section Hydraulics and Hydrodynamics)
Show Figures

Figure 1

18 pages, 9419 KB  
Article
STNet: Prediction of Underwater Sound Speed Profiles with an Advanced Semi-Transformer Neural Network
by Wei Huang, Junpeng Lu, Jiajun Lu, Yanan Wu, Hao Zhang and Tianhe Xu
J. Mar. Sci. Eng. 2025, 13(7), 1370; https://doi.org/10.3390/jmse13071370 - 18 Jul 2025
Viewed by 519
Abstract
The real-time acquisition of an accurate underwater sound velocity profile (SSP) is crucial for tracking the propagation trajectory of underwater acoustic signals, making it play a key role in ocean communication positioning. SSPs can be directly measured by instruments or inverted leveraging sound [...] Read more.
The real-time acquisition of an accurate underwater sound velocity profile (SSP) is crucial for tracking the propagation trajectory of underwater acoustic signals, making it play a key role in ocean communication positioning. SSPs can be directly measured by instruments or inverted leveraging sound field data. Although measurement techniques provide a good accuracy, they are constrained by limited spatial coverage and require a substantial time investment. The inversion method based on the real-time measurement of acoustic field data improves operational efficiency but loses the accuracy of SSP estimation and suffers from limited spatial applicability due to its stringent requirements for ocean observation infrastructures. To achieve accurate long-term ocean SSP estimation independent of real-time underwater data measurements, we propose a semi-transformer neural network (STNet) specifically designed for simulating sound velocity distribution patterns from the perspective of time series prediction. The proposed network architecture incorporates an optimized self-attention mechanism to effectively capture long-range temporal dependencies within historical sound velocity time-series data, facilitating an accurate estimation of current SSPs or prediction of future SSPs. Through the architectural optimization of the transformer framework and integration of a time encoding mechanism, STNet could effectively improve computational efficiency. For long-term forecasting (using the Pacific Ocean as a case study), STNet achieved an annual average RMSE of 0.5811 m/s, outperforming the best baseline model, H-LSTM, by 26%. In short-term forecasting for the South China Sea, STNet further reduced the RMSE to 0.1385 m/s, demonstrating a 51% improvement over H-LSTM. Comparative experimental results revealed that STNet outperformed state-of-the-art models in predictive accuracy and maintained good computational efficiency, demonstrating its potential for enabling accurate long-term full-depth ocean SSP forecasting. Full article
Show Figures

Figure 1

22 pages, 1336 KB  
Article
Linear Pseudo-Measurements Filtering for Tracking a Moving Underwater Target by Observations with Random Delays
by Alexey Bosov
Sensors 2025, 25(12), 3757; https://doi.org/10.3390/s25123757 - 16 Jun 2025
Viewed by 476
Abstract
The linear pseudo-measurements filter is adapted for use in a stochastic observation system with random time delays between the arrival of observations and the actual state of a moving object. The observation model is characterized by limited prior knowledge of the measurement errors [...] Read more.
The linear pseudo-measurements filter is adapted for use in a stochastic observation system with random time delays between the arrival of observations and the actual state of a moving object. The observation model is characterized by limited prior knowledge of the measurement errors distribution, specified only by its first two moments. Furthermore, the proposed model allows for a multiplicative dependence of errors on the state of the moving object. The filter incorporates direction angles and range measurements generated by several independent measurement complexes. As a practical application, the method is used for tracking an autonomous underwater vehicle moving toward a stationary target. The vehicle’s velocity is influenced by continuous random disturbances and periodic abrupt changes. Observations are performed by two stationary acoustic beacons. Full article
Show Figures

Figure 1

22 pages, 1347 KB  
Article
Multiple Mobile Target Detection and Tracking in Small Active Sonar Array
by Avi Abu, Nikola Mišković, Neven Cukrov and Roee Diamant
Remote Sens. 2025, 17(11), 1925; https://doi.org/10.3390/rs17111925 - 1 Jun 2025
Cited by 1 | Viewed by 1211
Abstract
Biodiversity monitoring requires the discovery of multi-target tracking. The main requirement is not to reduce the localization error but the continuity of the tracks: a high ratio between the duration of the track and the lifetime of the target. To this end, we [...] Read more.
Biodiversity monitoring requires the discovery of multi-target tracking. The main requirement is not to reduce the localization error but the continuity of the tracks: a high ratio between the duration of the track and the lifetime of the target. To this end, we present an algorithm for detecting and tracking mobile underwater targets that utilizes reflections from active acoustic emission of broadband signals received by a rigid hydrophone array. The method overcomes the problem of a high false alarm rate by applying a tracking approach to the sequence of received reflections. A 2D time–distance matrix is created for the reflections received from each transmitted probe signal by performing delay and sum beamforming and pulse compression. The result is filtered by a 2D constant false alarm rate (CFAR) detector to identify reflection patterns that correspond to potential targets. Closely spaced signals for multiple probe transmissions are combined into blobs to avoid multiple detections of a single target. The position and velocity are estimated using the debiased converted measurement Kalman filter. The results are analyzed for simulated scenarios and for experiments in the Adriatic Sea, where six Global Positioning System (GPS)-tagged gilt-head seabream fish were released and tracked by a dedicated autonomous float system. Compared to four recent benchmark methods, the results show favorable tracking continuity and accuracy that is robust to the choice of detection threshold. Full article
Show Figures

Figure 1

10 pages, 3221 KB  
Article
Research on a Miniature Underwater Vehicle Based on a Multi-Unit Underwater Coupled Jet Drive
by Dong Zhang, Xingming Ma, Xue Zhang, Peng Gao and Kai Li
Actuators 2025, 14(5), 244; https://doi.org/10.3390/act14050244 - 13 May 2025
Viewed by 619
Abstract
The underwater unstructured environment poses new challenges for the miniaturization and flexibility of underwater vehicles. This paper proposes a method of using micrometer-scale vibrations of piezoelectric vibrators to drive macroscopic jets. Then, we use two coupled piezoelectric jet driving units to construct a [...] Read more.
The underwater unstructured environment poses new challenges for the miniaturization and flexibility of underwater vehicles. This paper proposes a method of using micrometer-scale vibrations of piezoelectric vibrators to drive macroscopic jets. Then, we use two coupled piezoelectric jet driving units to construct a miniature underwater vehicle. Numerical simulation is used to investigate the flow field characteristics of coupled jets. Finally, the impact of the angle between the two piezoelectric jet drive units on the propulsion force is analyzed. The miniature underwater vehicle measures 77.8 mm in length and 87 mm in width. While achieving miniaturization, it maintains high flexibility, maneuverability, and controllability. By adjusting the input signals to the two piezoelectric jet drive units, the miniature underwater vehicle can move in a straight line, turn, and rotate. Its maximum linear velocity reaches 54.23 mm/s. Its outstanding motion ability and environmental adaptability allow it to perform various tasks in unknown and complex environments. It also has broad application prospects. Full article
(This article belongs to the Special Issue Piezoelectric Ultrasonic Actuators and Motors)
Show Figures

Figure 1

18 pages, 6291 KB  
Article
Multi-Sensor Collaborative Positioning in Range-Only Single-Beacon Systems: A Differential Chan–Gauss–Newton Algorithm with Sequential Data Fusion
by Yun Ye, Hongyang He, Enfan Lin and Hongqiong Tang
Sensors 2025, 25(8), 2577; https://doi.org/10.3390/s25082577 - 18 Apr 2025
Cited by 1 | Viewed by 728
Abstract
The development of underwater high-precision navigation technology is of great significance for the application of autonomous underwater vehicles (AUVs). Traditional long baseline (LBL) positioning systems require pre-deployment and the calibration of multiple beacons, which consumes valuable time and manpower. In contrast, the range-only [...] Read more.
The development of underwater high-precision navigation technology is of great significance for the application of autonomous underwater vehicles (AUVs). Traditional long baseline (LBL) positioning systems require pre-deployment and the calibration of multiple beacons, which consumes valuable time and manpower. In contrast, the range-only single-beacon (ROSB) positioning technology can help autonomous underwater vehicles (AUVs) obtain accurate position information by deploying only one beacon. This method greatly reduces the time and workload of deploying beacons, showing high application potential and cost ratio. Given the operational constraints of AUV open-ocean navigation with single-beacon weak observations and absence of valid a priori positioning data in calibration zones, a multi-sensor underwater virtual beacon localization framework was established, proposing a differential Chan–Gauss–Newton (DCGN) methodology for submerged vehicles. Based on inertial navigation, the method uses the distance measurement information from a single beacon and observations from multiple sensors, such as the Doppler velocity log (DVL) and pressure sensor, to obtain accurate position estimates by discriminating the initial position of multiple hypotheses. A simulation experiment and lake test show that the proposed method not only significantly improves the positioning accuracy and convergence speed, but also shows high reliability. Full article
(This article belongs to the Section Navigation and Positioning)
Show Figures

Figure 1

22 pages, 8270 KB  
Article
Event-Triggered State Filter Estimation for INS/DVL Integrated Navigation with Correlated Noise and Outliers
by Xiaolei Ma, Zhengrong Wei, Weicheng Liu and Shengli Wang
Sensors 2025, 25(5), 1545; https://doi.org/10.3390/s25051545 - 2 Mar 2025
Cited by 2 | Viewed by 1305
Abstract
The Inertial Navigation System (INS) and Doppler Velocity Log (DVL) combination navigation system has been widely used in Autonomous Underwater Vehicles (AUVs) due to its independence, stealth, and high accuracy. Compared to the standalone INS or DVL, the integrated system provides continuous and [...] Read more.
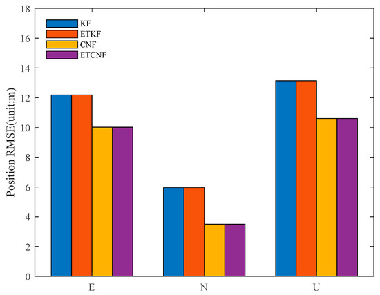
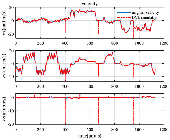
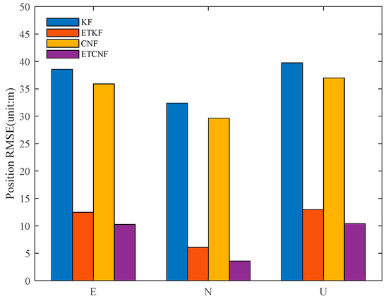
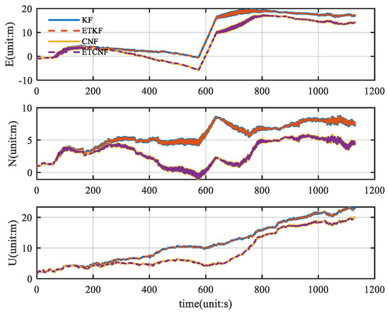
The Inertial Navigation System (INS) and Doppler Velocity Log (DVL) combination navigation system has been widely used in Autonomous Underwater Vehicles (AUVs) due to its independence, stealth, and high accuracy. Compared to the standalone INS or DVL, the integrated system provides continuous and accurate navigation information. However, the underwater environment is complex, and system noise and observation noise may not satisfy the condition of mutual independence. In addition, the DVL may produce abnormal measurement values during operation. In this study, an Event-Triggered Correlation Noise Filter (ETCNF) method was designed for fusing INS and DVL data. An auxiliary matrix was introduced to decouple the correlated noise, allowing novel state estimation. Moreover, the event-triggered mechanism detected and eliminated abnormal values in DVL measurements, which improved the positioning accuracy and robustness of the INS/DVL integrated system. Finally, simulation experiments were conducted to verify the effectiveness and superiority of the proposed algorithm. Full article
(This article belongs to the Section Remote Sensors)
Show Figures

Figure 1

19 pages, 8537 KB  
Article
Data-Driven Cooperative Localization Algorithm for Deep-Sea Landing Vehicles Under Track Slippage
by Zhenzhuo Wei, Wei Guo, Yanjun Lan, Ben Liu, Yu Sun and Sen Gao
Remote Sens. 2025, 17(5), 755; https://doi.org/10.3390/rs17050755 - 22 Feb 2025
Cited by 2 | Viewed by 844
Abstract
The deep-sea landing vehicle (DSLV) swarm exploration system is a novel platform for the detection of marine mineral resources. A high-precision cooperative localization system with Ultra-Short Baseline (USBL), Doppler Velocity Log (DVL), and electronic compass (EC) plays a vital role in the DSLV [...] Read more.
The deep-sea landing vehicle (DSLV) swarm exploration system is a novel platform for the detection of marine mineral resources. A high-precision cooperative localization system with Ultra-Short Baseline (USBL), Doppler Velocity Log (DVL), and electronic compass (EC) plays a vital role in the DSLV swarm exploration system. However, DVL measurements can be seriously interrupted due to the complex operational underwater environment, leading to unstable localization performance. The accuracy of the cooperative localization system could be further degraded by the persistent rubber track slippage during the vehicle’s movement over the soft seabed. In this study, a data-driven cooperative localization algorithm with a velocity prediction model is proposed to improve the positioning accuracy of DSLV under track slippage. First, a velocity prediction model for DVL measurements is constructed using multi-output least squares support vector regression (MLSSVR), and a genetic algorithm (GA) is further employed to optimize the model’s hyperparameters in order to enhance the robustness of the framework. Furthermore, the outputs of MLSSVR are fed into a DSLV position estimation framework based on the Unscented Kalman Filter (UKF) to improve localization accuracy in the presence of DVL failures. To validate the proposed method, the RecurDyn multibody dynamics simulation platform is applied for data synthesis, accounting for both the impact of the soft seabed and real-world motion simulation. The experimental results indicate that during DVL failure, the proposed algorithm can effectively compensate for the cooperative localization errors caused by track slippage, thereby significantly improving the accuracy and reliability of the DSLV cooperative localization system. Full article
Show Figures

Figure 1

55 pages, 11197 KB  
Review
State-of-the-Art Navigation Systems and Sensors for Unmanned Underwater Vehicles (UUVs)
by Md Mainuddin Sagar, Menaka Konara, Nate Picard and Kihan Park
Appl. Mech. 2025, 6(1), 10; https://doi.org/10.3390/applmech6010010 - 2 Feb 2025
Viewed by 5428
Abstract
Researchers are currently conducting several studies in the field of navigation systems and sensors. Even in the past, there was a lot of research regarding the field of velocity sensors for unmanned underwater vehicles (UUVs). UUVs have various services and significance in the [...] Read more.
Researchers are currently conducting several studies in the field of navigation systems and sensors. Even in the past, there was a lot of research regarding the field of velocity sensors for unmanned underwater vehicles (UUVs). UUVs have various services and significance in the military, scientific research, and many commercial applications due to their autonomy mechanism. So, it’s very crucial for the proper maintenance of the navigation system. Reliable navigation of unmanned underwater vehicles depends on the quality of their state determination. There are so many navigation systems available, like position determination, depth information, etc. Among them, velocity determination is now one of the most important navigational criteria for UUVs. The key source of navigational aids for different deep-sea research projects is water currents. These days, many different sensors are available to monitor the UUV’s velocity. In recent times, there have been five primary types of sensors utilized for UUV velocity forecasts. These include Doppler Velocity Logger sensors, paddlewheel sensors, optical sensors, electromagnetic sensors, and ultrasonic sensors. The most popular sensing sensor for estimating velocity at the moment is the Doppler Velocity Logger (DVL) sensor. DVL sensor is the most fully developed sensor for UUVs in recent years. In this work, we offer an overview of the field of navigation systems and sensors (especially velocity) developed for UUVs with respect to their use with tidal current sensing in the UUV setting, including their history, evolution, current research initiatives, and anticipated future. Full article
Show Figures

Figure 1

19 pages, 1682 KB  
Article
Underwater DVL Optimization Network (UDON): A Learning-Based DVL Velocity Optimizing Method for Underwater Navigation
by Feihu Zhang, Shaoping Zhao, Lu Li and Chun Cao
Drones 2025, 9(1), 56; https://doi.org/10.3390/drones9010056 - 15 Jan 2025
Viewed by 1696
Abstract
As the exploration of marine resources continues to deepen, the utilization of Autonomous Underwater Vehicles (AUVs) for conducting marine resource surveys and underwater environmental mapping has become a common practice. In order to successfully accomplish exploration missions, AUVs require high-precision underwater navigation information [...] Read more.
As the exploration of marine resources continues to deepen, the utilization of Autonomous Underwater Vehicles (AUVs) for conducting marine resource surveys and underwater environmental mapping has become a common practice. In order to successfully accomplish exploration missions, AUVs require high-precision underwater navigation information as support. A Strapdown Inertial Navigation System (SINS) can provide AUVs with accurate attitude and heading information, while a Doppler Velocity Log (DVL) is capable of measuring the velocity vector of the AUVs. Therefore, the integrated SINS/DVL navigation system can furnish the necessary navigational information required by an AUV. In response to the issue of DVL being susceptible to external environmental interference, leading to reduced measurement accuracy, this paper proposes an end-to-end deep-learning approach to enhance the accuracy of DVL velocity vector measurements. The utilization of the raw measurement data from an Inertial Measurement Unit (IMU), which includes gyroscopes and accelerometers, to assist the DVL in velocity vector estimation and to refine it towards the Global Positioning System (GPS) velocity vector, compensates for the external environmental interference affecting the DVL, therefore enhancing the navigation accuracy. To evaluate the proposed method, we conducted lake experiments using SINS and DVL equipment, from which the collected data were organized into a dataset for training and assessing the model. The research results show that the DVL vector predicted by our model can achieve a maximum improvement of 69.26% in terms of root mean square error and a maximum improvement of 78.62% in terms of relative trajectory error. Full article
(This article belongs to the Special Issue Advances in Autonomous Underwater Drones)
Show Figures

Figure 1

21 pages, 3337 KB  
Article
Combining UAS LiDAR, Sonar, and Radar Altimetry for River Hydraulic Characterization
by Monica Coppo Frias, Alexander Rietz Vesterhauge, Daniel Haugård Olesen, Filippo Bandini, Henrik Grosen, Sune Yde Nielsen and Peter Bauer-Gottwein
Drones 2025, 9(1), 31; https://doi.org/10.3390/drones9010031 - 6 Jan 2025
Cited by 1 | Viewed by 2030
Abstract
Accurate river hydraulic characterization is fundamental to assess flood risk, parametrize flood forecasting models, and develop river maintenance workflows. River hydraulic roughness and riverbed/floodplain geometry are the main factors controlling inundation extent and water levels. However, gauging stations providing hydrometric observations are declining [...] Read more.
Accurate river hydraulic characterization is fundamental to assess flood risk, parametrize flood forecasting models, and develop river maintenance workflows. River hydraulic roughness and riverbed/floodplain geometry are the main factors controlling inundation extent and water levels. However, gauging stations providing hydrometric observations are declining worldwide, and they provide point measurements only. To describe hydraulic processes, spatially distributed data are required. In situ surveys are costly and time-consuming, and they are sometimes limited by local accessibility conditions. Satellite earth observation (EO) techniques can be used to measure spatially distributed hydrometric variables, reducing the time and cost of traditional surveys. Satellite EO provides high temporal and spatial frequency, but it can only measure large rivers (wider than ca. 50 m) and only provides water surface elevation (WSE), water surface slope (WSS), and surface water width data. UAS hydrometry can provide WSE, WSS, water surface velocity and riverbed geometry at a high spatial resolution, making it suitable for rivers of all sizes. The use of UAS hydrometry can enhance river management, with cost-effective surveys offering large coverage and high-resolution data, which are fundamental in flood risk assessment, especially in areas that difficult to access. In this study, we proposed a combination of UAS hydrometry techniques to fully characterize the hydraulic parameters of a river. The land elevation adjacent to the river channel was measured with LiDAR, the riverbed elevation was measured with a sonar payload, and the WSE was measured with a UAS radar altimetry payload. The survey provided 57 river cross-sections with riverbed elevation, and 8 km of WSE and land elevation and took around 2 days of survey work in the field. Simulated WSE values were compared to radar altimetry observations to fit hydraulic roughness, which cannot be directly observed. The riverbed elevation cross-sections have an average error of 32 cm relative to RTK GNSS ground-truth measurements. This error was a consequence of the dense vegetation on land that prevents the LiDAR signal from reaching the ground and underwater vegetation, which has an impact on the quality of the sonar measurements and could be mitigated by performing surveys during winter, when submerged vegetation is less prevalent. Despite the error of the riverbed elevation cross-sections, the hydraulic model gave good estimates of the WSE, with an RMSE below 3 cm. The estimated roughness is also in good agreement with the values measured at a gauging station, with a Gauckler–Manning–Strickler coefficient of M = 16–17 m1/3/s. Hydraulic modeling results demonstrate that both bathymetry and roughness measurements are necessary to obtain a unique and robust hydraulic characterization of the river. Full article
Show Figures

Figure 1

21 pages, 11340 KB  
Article
Wake Detection and Positioning for Autonomous Underwater Vehicles Based on Cilium-Inspired Wake Sensor
by Xuanye Hu, Yi Yang, Zhiyu Liao, Xinghua Zhu, Renxin Wang, Peng Zhang and Zhiqiang Hu
Sensors 2025, 25(1), 41; https://doi.org/10.3390/s25010041 - 25 Dec 2024
Viewed by 1101
Abstract
This paper proposes a method for passive detection of autonomous underwater vehicle (AUV) wakes using a cilium-inspired wake sensor (CIWS), which can be used for the detection and tracking of AUVs. First, the characteristics of the CIWS and its working principle for detecting [...] Read more.
This paper proposes a method for passive detection of autonomous underwater vehicle (AUV) wakes using a cilium-inspired wake sensor (CIWS), which can be used for the detection and tracking of AUVs. First, the characteristics of the CIWS and its working principle for detecting underwater flow fields are introduced. Then, a flow velocity sensor is used to measure the flow velocities of the “TS MINI” AUV’s wake at different positions, and a velocity field model of the “TS MINI” AUV’s wake is established. Finally, the wake field of the “TS MINI” AUV was measured at various positions using the CIWS. By analyzing the data, the characteristic frequency of the AUV’s propeller is identified, which is correlated with the AUV’s rotation speed and the number of blades. Through further analysis, a mapping model is established between the spectral amplitude of the characteristic frequency at different positions and the corresponding wake velocity. By substituting this mapping model into the AUV’s wake velocity field model, the possible position range of the sensor relative to the AUV propeller can be estimated. The research provides a technical foundation for underwater detection and tracking missions based on wake detection. Full article
Show Figures

Figure 1

22 pages, 2630 KB  
Review
Underwater SSP Measurement and Estimation: A Survey
by Wei Huang, Pengfei Wu, Jiajun Lu, Junpeng Lu, Zhengyang Xiu, Zhenpeng Xu, Sijia Li and Tianhe Xu
J. Mar. Sci. Eng. 2024, 12(12), 2356; https://doi.org/10.3390/jmse12122356 - 21 Dec 2024
Cited by 6 | Viewed by 1373
Abstract
Real-time and accurate construction of regional sound speed profiles (SSPs) is important for building underwater positioning, navigation, and timing (PNT) systems as it greatly affects signal propagation modes. In this paper, we summarize and analyze the current research status in the field of [...] Read more.
Real-time and accurate construction of regional sound speed profiles (SSPs) is important for building underwater positioning, navigation, and timing (PNT) systems as it greatly affects signal propagation modes. In this paper, we summarize and analyze the current research status in the field of underwater SSP construction, where the mainstream methods include direct SSP measurement and SSP inversion. For the direct measurement method, we compare the performance of popular international and commercial brands of temperature, conductivity, and depth profilers (CTDs). For the inversion methods, the framework and basic principles of matched field processing (MFP), compressive sensing (CS), and deep learning (DL) are introduced, and their advantages and disadvantages are compared. Presently, SSP inversion relies on sonar observation data, limiting its applicability to areas that can only be reached by underwater observation systems. Furthermore, these methods are unable to predict the distribution of sound velocity in future time. Therefore, the mainstream trend in future research on SSP construction will involve comprehensive utilization of multi-source data to offer elastic sound velocity distribution estimation services for underwater users without the need for sonar observation data. Full article
(This article belongs to the Section Ocean Engineering)
Show Figures

Figure 1

Back to TopTop