Sign in to use this feature.

Years

Between: -

Subjects

remove_circle_outline
remove_circle_outline
remove_circle_outline
remove_circle_outline
remove_circle_outline
remove_circle_outline
remove_circle_outline
remove_circle_outline
remove_circle_outline

Journals

remove_circle_outline
remove_circle_outline
remove_circle_outline
remove_circle_outline
remove_circle_outline
remove_circle_outline
remove_circle_outline
remove_circle_outline
remove_circle_outline
remove_circle_outline
remove_circle_outline
remove_circle_outline
remove_circle_outline
remove_circle_outline
remove_circle_outline
remove_circle_outline

Article Types

Countries / Regions

remove_circle_outline
remove_circle_outline
remove_circle_outline
remove_circle_outline
remove_circle_outline

Search Results (886)

Search Parameters:
Keywords = triangulated study

Order results
Result details
Results per page
Select all
Export citation of selected articles as:
28 pages, 1493 KB  
Article
Life Cycle Participation in Urban Regeneration: A Policy Design–Implementation–Evaluation Assessment of Guangzhou
by Chengwang Yang, Changdong Ye, Yin Ding, Jiyang Mi, Yingsheng Liu and Long Zhou
Land 2026, 15(3), 402; https://doi.org/10.3390/land15030402 (registering DOI) - 28 Feb 2026
Abstract
Public participation in Global South urban regeneration often exhibits a “high-commitment—low-conversion” gap between institutional intent and effective citizen influence. Taking Guangzhou, China, as a case, this study develops a Policy design–Implementation–Evaluation (P–I–E) framework to examine participation across the policy life cycle. We review [...] Read more.
Public participation in Global South urban regeneration often exhibits a “high-commitment—low-conversion” gap between institutional intent and effective citizen influence. Taking Guangzhou, China, as a case, this study develops a Policy design–Implementation–Evaluation (P–I–E) framework to examine participation across the policy life cycle. We review 48 municipal policy documents (2009–2024) to code 34 participation elements, link them to implementation rates of 798 projects across 11 districts, and triangulate outcomes using a survey of 1000 residents. By operationalizing Arnstein’s ladder into an index and introducing an expert-scored Design Completeness (DC) measure, we identify a participation gradient in which refined, enforceable provisions cluster in ex post compliance, while early-stage agenda-setting remains weak. The persistent conversion gap is explained by contrasting governance mechanisms: procedural participation is administratively legible and low-cost to implement, whereas empowerment requires enforceable decision interfaces, multi-actor coordination, and closed-loop accountability. Empirically, symbolic instruments achieve high implementation, while power-sharing elements are rarely enacted; substantive co-creation bundled with early empowerment and feedback mechanisms is associated with higher resident satisfaction and greater uptake of citizen input. Strengthening legally binding decision interfaces and accountability infrastructures is therefore critical for advancing substantive participation. Full article
(This article belongs to the Section Land Planning and Landscape Architecture)
27 pages, 1101 KB  
Article
Authentic Intelligence in Digital Strategy Systems: A Socio-Technical Analysis of Human-Accountable Decision Governance
by Imo Enang, Patrick Mukala and Ubong Nkereuwem
Systems 2026, 14(3), 259; https://doi.org/10.3390/systems14030259 (registering DOI) - 28 Feb 2026
Abstract
Background: Digital strategy increasingly relies on algorithmic decision systems, yet the mechanisms by which human judgement remains embedded within these systems are poorly theorised. Existing frameworks treat digital tools as either neutral instruments or autonomous agents, overlooking the systems-level conditions under which human [...] Read more.
Background: Digital strategy increasingly relies on algorithmic decision systems, yet the mechanisms by which human judgement remains embedded within these systems are poorly theorised. Existing frameworks treat digital tools as either neutral instruments or autonomous agents, overlooking the systems-level conditions under which human accountability is maintained. Methods: This study employs a novel three-stage system-oriented analytical protocol: (1) mechanism-revealing thematic analysis of 50 semi-structured interviews with senior managers across multinational organisations; (2) configurational cross-case mapping against 685 cases from the European Commission’s JRC AI implementation catalogue; and (3) failure mode triangulation comparing interview-reported barriers with 37 documented implementation discontinuations. Results: We introduce Authentic Intelligence as a systems-level construct and develop a socio-technical architecture specifying six primary system functions, three decision loci, four governance mechanisms, and twelve empirically derived failure modes. Triangulation reveals high correspondence (≥20% JRC citation rate) for six failure modes and moderate correspondence for six additional modes. Conclusions: The contribution is a reusable systems architecture and diagnostic framework for maintaining human-accountable decision governance in digital strategy implementation, with direct application to EU AI Act Article 14 compliance requirements. Full article
Show Figures

Figure 1

21 pages, 2353 KB  
Article
Fusion of Physical Mechanism and Data-Driven Methods for Online Thickness Measurement and Error Compensation in SiC CMP
by Junjie Lin, Taotao Chen, Yicheng Ren, Zhilong Song, Binghai Lyu, Julong Yuan and Wenhong Zhao
Micromachines 2026, 17(3), 313; https://doi.org/10.3390/mi17030313 (registering DOI) - 28 Feb 2026
Abstract
The thickness of silicon carbide (SiC) wafers is a crucial parameter that significantly affects the performance of devices, and its high-precision online measurement during chemical mechanical polishing (CMP) faces challenges from complex process-induced errors. To address this issue, this study develops a non-contact [...] Read more.
The thickness of silicon carbide (SiC) wafers is a crucial parameter that significantly affects the performance of devices, and its high-precision online measurement during chemical mechanical polishing (CMP) faces challenges from complex process-induced errors. To address this issue, this study develops a non-contact online thickness measurement system based on oblique-incidence laser triangulation and proposes a hierarchical hybrid error compensation method. Deterministic systematic errors caused by optical interference from polishing slurry are first compensated by combining an optical propagation physical model with experimental calibration. Subsequently, a Long Short-Term Memory (LSTM) network model is introduced to compensate for nonlinear, time-series-related dynamic random errors, primarily induced by temperature drift and associated thermal effects. Experimental results indicate that, after applying the proposed compensation method, the root mean square error (RMSE) of the online thickness measurement is 0.47471 μm, and the mean absolute percentage error (MAPE) is 0.1102%. The deviation from reference thickness values is maintained within ±1 μm. The proposed method provides an effective solution for high-precision online thickness measurement and error compensation in the SiC CMP process. Full article
19 pages, 988 KB  
Article
A Psychoanalytically Informed Pilot Study of Moral Competence in German Young Adults Linked to Personality Structure and Parenting Experiences
by Aslı Akın, Holger von der Lippe, Jonathan Henssler, Inge Seiffge-Krenke, Stephan Doering and Stefan Gutwinski
Behav. Sci. 2026, 16(3), 341; https://doi.org/10.3390/bs16030341 (registering DOI) - 28 Feb 2026
Abstract
The present pilot study explored associations between moral competence, personality structure and perceived parenting experiences. While previous research on moral competence has mainly emphasized educational and cognitive determinants, this work represents a novel psychoanalytically informed investigation of this ability. A sample of 88 [...] Read more.
The present pilot study explored associations between moral competence, personality structure and perceived parenting experiences. While previous research on moral competence has mainly emphasized educational and cognitive determinants, this work represents a novel psychoanalytically informed investigation of this ability. A sample of 88 young adults aged 18 to 21 completed an online survey including the Moral Competence-Test, OPD-Structure-Questionnaire, and Zurich Brief Questionnaire for the Assessment of Parental Behaviors. Exploratory analyses revealed a positive association between moral competence and overall integration of personality structure. Perceived parenting behaviors showed observable relationships with both constructs: warm and supportive parenting was associated with higher structural integration and greater moral competence, whereas parental control, particularly psychological control, was linked to lower personality structural and moral abilities. An exploratory mediation analysis further suggested that paternal warmth may indirectly affect moral competence via personality structure. This finding aligns with psychoanalytic theory proposing that father–child experiences, conceptualized as triangulation, create a cognitive and emotional space that fosters reflection and the development of moral competence. Overall, these exploratory findings underscore the need for longitudinal research examining the interplay between parenting experiences, personality structure, and moral development. Full article
Show Figures

Figure 1

12 pages, 338 KB  
Article
Studying Health Inequalities in Colombia: Diverse Perspectives on Their Causes and Next Steps for Action
by Lucinda Cash-Gibson
Int. J. Environ. Res. Public Health 2026, 23(3), 297; https://doi.org/10.3390/ijerph23030297 - 27 Feb 2026
Abstract
The historical and global study of health inequalities includes diverse philosophical, conceptual and methodological debates on their causes, how best to study them, and how and where to intervene. However, not all the perspectives in the field are widely recognized or known worldwide; [...] Read more.
The historical and global study of health inequalities includes diverse philosophical, conceptual and methodological debates on their causes, how best to study them, and how and where to intervene. However, not all the perspectives in the field are widely recognized or known worldwide; for instance, Latin America’s long-standing intellectual tradition on Social Medicine and Collective Health. Also, evidence suggests that not all countries have had the same socio-politics and institutional conditions to enable them to produce this type of research, and a few scholars have called for more in-depth understanding of the health inequalities research field in different global settings. This study aims to assess these issues in Colombia, where the Latin America Social Medicine and Collective Health tradition remains strong, yet the volume of scientific output has not been consistent over time. In total, 12 semi-structured interviews were conducted with key informants who have worked on health inequalities in Colombia over the past five decades to understand their perspectives on these issues and the national health inequalities research field. Data was triangulated with gray and scientific literature. The findings provide valuable context-specific empirical insights into the causes of health inequalities in Colombia, the main perspectives used to study them in the country, including the associated tensions around causality, as well as ideas on how to create meaningful change towards building a fairer society. Full article
22 pages, 16145 KB  
Article
The Influence Mechanism and Spatial Heterogeneity of Urban Spatial Structure on the Thermal Environment: A Case Study of the Central Urban Area of Jinan
by Junning Wang, Xiaoqing Zhang, Qing Li and Yuhan Chen
Sustainability 2026, 18(5), 2283; https://doi.org/10.3390/su18052283 - 27 Feb 2026
Abstract
Urban expansion and spatial restructuring significantly influence the urban thermal environment. This study investigates the central urban area of Jinan, developing a multi-dimensional spatial structure index system that integrates terrain, 2D/3D morphology, and layout based on multi-source data. Land surface temperature (LST) was [...] Read more.
Urban expansion and spatial restructuring significantly influence the urban thermal environment. This study investigates the central urban area of Jinan, developing a multi-dimensional spatial structure index system that integrates terrain, 2D/3D morphology, and layout based on multi-source data. Land surface temperature (LST) was derived from remote sensing imagery. Using road networks and triangulated irregular networks (TINs) generated from a digital elevation model (DEM), hybrid analysis units were created. Pearson correlation and bivariate global/local spatial autocorrelation analyses were applied to examine the mechanisms and spatial heterogeneity of how urban spatial structure affects LST. The results showed that (1) LST was strongly associated with urban spatial structure. Among the 12 significantly correlated indicators, building density showed the strongest positive correlation with LST (r = 0.5883), while DEM mean had the strongest negative correlation (r = −0.7444), indicating that compact built-up areas intensified heating, whereas terrain most strongly moderated surface temperature. (2) LST and indicator correlations varied with elevation. LST showed a negative correlation with the standard deviation of DEM, suggesting that greater terrain variability enhances cooling effects. This spatial variation in the dominant drivers of the thermal environment reflects a clear divergence of influencing factors across different elevational zones. The thermal environment exhibits a pronounced north–south split: cooling effects prevail in the south due to terrain, while warming effects dominate in the north due to building forms. (3) Bivariate spatial autocorrelation revealed clear spatial heterogeneity. High–high clustering of LST and spatial structure indicators in the northern plain denoted heat-aggregated zones. Low–low clustering in the topographically complex, sparsely built south formed cold-source zones, and transitional areas showed mixed high–low and low–high clustering. (4) Based on these findings, a zonal governance framework was advocated, prioritizing terrain assessment followed by spatial structure optimization. This promoted a shift from uniform to precise, zone-based thermal environment management, laying a scientific foundation for sustainable spatial planning. Full article
Show Figures

Figure 1

18 pages, 708 KB  
Article
Writing Assessment and Linguistic Patterns in University Student Narratives
by Nali Borrego Ramírez, Daniel Desiderio Borrego Gómez, Marcia Leticia Ruiz Cansino and Cipatli Anaya Campos
Educ. Sci. 2026, 16(3), 365; https://doi.org/10.3390/educsci16030365 - 26 Feb 2026
Viewed by 93
Abstract
This study examines the relationship between writing performance, assessed with the Early Writing Alert System (SISAT), and linguistic patterns in student narratives from one public and one private university in northeastern Mexico. Variables such as lexical density and richness, text volume, and thematic [...] Read more.
This study examines the relationship between writing performance, assessed with the Early Writing Alert System (SISAT), and linguistic patterns in student narratives from one public and one private university in northeastern Mexico. Variables such as lexical density and richness, text volume, and thematic progression were analyzed to explore how institutional context influences narrative writing and its assessment. A non-experimental, descriptive–comparative design with interpretive triangulation was employed. The corpus comprised 148 narratives produced over three academic periods, analyzed using automated linguistic tools alongside SISAT scores. Descriptive statistics, Spearman correlations, and Kruskal–Wallis tests were applied to examine differences between the two institutions and across periods. The results indicate intermediate performance at both universities, with differentiated patterns: at the public university, lexical richness and density positively correlated with SISAT scores, while greater text volume was negatively associated; at the private university, both text length and diversity were positively related, though excessive lexical density appeared counterproductive. No statistically significant differences were observed between periods or between the two universities. Our findings highlight that quantitative linguistic indicators complement normative assessment and underscore the role of institutional context in writing development. The study also emphasizes the formative and expressive functions of narrative writing, supporting pedagogical strategies that integrate automated assessment with qualitative analysis to foster self-regulation, symbolic expression, and ethical reflection. Full article
Show Figures

Figure A1

13 pages, 2621 KB  
Article
Enhanced Optical Triangulation Method for Piezoelectric Stack
by Sinan Köksu and Sedat Nazlıbilek
Instruments 2026, 10(1), 13; https://doi.org/10.3390/instruments10010013 - 26 Feb 2026
Viewed by 32
Abstract
The precise control of piezoelectric actuators is limited by inherent hysteresis, creep, and nonlinear behavior, which necessitate high-resolution displacement sensing for effective closed-loop operation. Although optical interferometers can achieve nanometer and sub-nanometer resolution, their practical implementation is often constrained by complex optical alignment, [...] Read more.
The precise control of piezoelectric actuators is limited by inherent hysteresis, creep, and nonlinear behavior, which necessitate high-resolution displacement sensing for effective closed-loop operation. Although optical interferometers can achieve nanometer and sub-nanometer resolution, their practical implementation is often constrained by complex optical alignment, sensitivity to environmental disturbances, and limited robustness in high-speed measurements. Optical triangulation sensors offer a more robust and straightforward alternative; however, their resolution is typically insufficient for nanometer-scale displacement measurements. In this study, a novel optical triangulation sensor based on a two-stage geometric optical amplification scheme is proposed for measuring the expansion of piezoelectric stacks. The method relies purely on geometric optical amplification and does not require interferometric techniques or complex signal processing. Using off-the-shelf optical components and an industrial imaging sensor, the proposed system achieves a displacement resolution of 109.6 nm, a repeatability of 74.62 nm, and an accuracy of 98.81% with a maximum error of 207.14 nm under hysteresis measurements. The achieved resolution is primarily limited by the spatial resolution of the camera sensor, indicating that further improvements are possible through optimization of the optical configuration or the use of higher-resolution imaging devices. Owing to its simplicity and robustness, the proposed sensor is well suited for real-time closed-loop control of piezoelectric actuators. Full article
(This article belongs to the Section Sensing Technologies and Precision Measurement)
Show Figures

Figure 1

13 pages, 259 KB  
Article
Results of Applying a Formative and Shared Assessment Protocol in the Preparation of Final Year Projects in Teacher Education
by José Luis Aparicio-Herguedas, Teresa Fuentes-Nieto, Miriam Molina-Soria and Víctor Manuel López-Pastor
Educ. Sci. 2026, 16(2), 351; https://doi.org/10.3390/educsci16020351 - 23 Feb 2026
Viewed by 164
Abstract
(1) Background: Formative and Shared Assessment (F&SA) in teacher education (TE) is a formative model that has shown good results in developing both transversal and teaching competencies. Nevertheless, there seems to be a gap in its use for guiding final year projects (FYP). [...] Read more.
(1) Background: Formative and Shared Assessment (F&SA) in teacher education (TE) is a formative model that has shown good results in developing both transversal and teaching competencies. Nevertheless, there seems to be a gap in its use for guiding final year projects (FYP). Therefore, in this study, we asked the following research question: what results are obtained after applying an F&SA protocol during FYP supervision in TE? (2) Methods: a mixed-method research design was used through a concurrent triangulation model; (3) Results: all five aspects assessed with the scale received high ratings. The most notable results include clear evidence of students’ acquisition and development of transversal competencies; a positive overall evaluation of the F&SA protocol; and improvements in students’ interest, initiative, and commitment; (4) conclusions: the protocol developed enabled continuity in assessment, enhanced visibility of the competencies needed to complete final projects, and reduced discrepancies between teachers and students. Autonomy and problem solving stand out as the most developed competencies. Full article
25 pages, 1551 KB  
Article
Bridging Standards and Practice: A Multidimensional Case Study of a Dual-Language Teacher Preparation Program
by Marialuisa Di Stefano, Daniel Toro González and Amnerys Cuevas Doñé
Educ. Sci. 2026, 16(2), 344; https://doi.org/10.3390/educsci16020344 - 21 Feb 2026
Viewed by 136
Abstract
This mixed-methods study examines one public university’s dual-language bilingual education (DLBE) teacher preparation program through the lens of the National Dual Language Education Teacher Preparation Standards (NDLETPSs). Data sources include course syllabi, classroom observations, and participant surveys, providing a comprehensive overview of program [...] Read more.
This mixed-methods study examines one public university’s dual-language bilingual education (DLBE) teacher preparation program through the lens of the National Dual Language Education Teacher Preparation Standards (NDLETPSs). Data sources include course syllabi, classroom observations, and participant surveys, providing a comprehensive overview of program design and implementation. The analysis highlights clear and robust alignment in bilingualism and biliteracy, sociocultural competence, and instructional practices. Alignment with assessment and professionalism is also reflected in the program, though it is conveyed in a less visible or less explicit manner in the documents reviewed. Quantitative comparisons of stated versus observed NDLETPS alignment are triangulated with qualitative coding and participant perspectives. While grounded in a U.S. context, the study offers insights that are relevant to global bilingual education efforts by highlighting transferable themes such as teacher agency, critical consciousness, and collaboration. These findings contribute to this Education Sciences Special Issue’s goal of advancing bilingual education as a transformative tool for linguistic, cognitive, and sociocultural development in diverse educational landscapes. Full article
(This article belongs to the Special Issue Research, Innovation, and Practice in Bilingual Education)
Show Figures

Figure 1

23 pages, 7631 KB  
Article
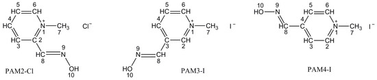
Structure–Reactivity Relationships in N-Methylpyridinium Aldoxime Isomers: Comparative Experimental and Computational Studies
by Danijela Musija, Igor Picek, Robert Vianello, Dubravka Matković-Čalogović, Blaženka Foretić and Vladimir Damjanović
Int. J. Mol. Sci. 2026, 27(4), 2015; https://doi.org/10.3390/ijms27042015 - 20 Feb 2026
Viewed by 194
Abstract
The relative position of the oxime group within pharmaceutically relevant pyridinium oximes is a pivotal factor that governs their intrinsic physicochemical properties and their biological reactivity. However, studies providing in-depth, molecular-level insight into these structure–reactivity relationships are still limited. In this work, we [...] Read more.
The relative position of the oxime group within pharmaceutically relevant pyridinium oximes is a pivotal factor that governs their intrinsic physicochemical properties and their biological reactivity. However, studies providing in-depth, molecular-level insight into these structure–reactivity relationships are still limited. In this work, we present an integrated experimental and computational study of N-methylpyridinium-2-aldoxime chloride (PAM2-Cl), N-methylpyridinium-3-aldoxime iodide (PAM3-I), and N-methylpyridinium-4-aldoxime iodide (PAM4-I), aimed at elucidating discrete differences in their ionization behavior, electronic structure, σ-donor properties, and nucleophilicity. The crystal structure of PAM3-I was determined by X-ray diffraction. Comparative structural and spectroscopic (UV–Vis, NMR, IR) analyses elucidated the structural and electronic effects arising from the position of the oxime group. Kinetic studies of substitution reactions with aquapentacyanoferrate(II) in aqueous solution enabled the determination of pentacyano(PAM)ferrate(II) formation and dissociation rate constants, coordination modes, pKa values of the coordinated ligands, complex stability constants, and σ-donating capabilities. The DFT-based analysis of atomic charge distribution transcended experimental limitations, offering a new perspective on electronic structure-related properties. This study presents the first side-by-side, internally consistent structure–reactivity map across PAM2, PAM3, and PAM4 isomers that triangulates crystallography, UV–Vis-derived pKa values, substitution kinetics, and DFT descriptors in a single framework. Full article
(This article belongs to the Special Issue Thermodynamic and Spectral Studies of Complexes)
Show Figures

Graphical abstract

23 pages, 24859 KB  
Article
Deformation Detection of the Centroid Axes for Beams with Variable Cross-Sections Based on Point Cloud Data
by Jia Zou, Yang Li, Yaojun Zhou, Xiongyao Xie, Genji Tang and Xiaoming Xu
Appl. Sci. 2026, 16(4), 2008; https://doi.org/10.3390/app16042008 - 18 Feb 2026
Viewed by 128
Abstract
Accurate extraction of the centroid axes of beams with variable cross-sections is critical for infrastructure health monitoring. While 3D laser scanning provides dense point clouds, existing methods face challenges due to fixed slicing directions, sparse or incomplete boundaries, and inaccurate centroid calculations for [...] Read more.
Accurate extraction of the centroid axes of beams with variable cross-sections is critical for infrastructure health monitoring. While 3D laser scanning provides dense point clouds, existing methods face challenges due to fixed slicing directions, sparse or incomplete boundaries, and inaccurate centroid calculations for concave sections. This study proposes a robust framework to overcome these issues. An improved k-d tree ordering algorithm enhances boundary extraction through starting point constraint strategy and dynamic isolated noise point removal mechanism. A ray casting-based boundary-constrained Delaunay triangulation centroid calculation algorithm accurately computes centroids for arbitrary shapes, including concave profiles. An innovative convex hull centroid-driven adaptive normal iterative slicing method dynamically adjusts orientation using historical centroid data, aligning with the local member axis to minimize errors in variable or deformed regions. Experimental validation shows the method outperforms traditional fixed-direction slicing in effectiveness, parameter sensitivity, and deformation robustness, achieving sub-millimeter accuracy. Applied to monitor ultra-high-performance concrete cantilever beams at the Shanghai Grand Opera House, it produced centroid axis data consistent with total station measurements (differences within ±1.2 mm), supporting phased deformation warnings and safety assessments. This work provides a systematic, high-precision solution for extracting geometric axes from complex structural point clouds. Full article
(This article belongs to the Section Civil Engineering)
Show Figures

Figure 1

17 pages, 1618 KB  
Protocol
Developing an Integrated Municipal Environmental Health Framework for Communicable Disease Surveillance and Prevention in South Africa: A Mixed-Methods Study Protocol
by Ledile Francina Malebana, Maasago Mercy Sepadi and Matlou Ingrid Mokgobu
Trop. Med. Infect. Dis. 2026, 11(2), 56; https://doi.org/10.3390/tropicalmed11020056 - 17 Feb 2026
Viewed by 181
Abstract
Communicable diseases remain a significant public health burden in South Africa, particularly where environmental determinants of health intersect with fragmented surveillance systems. Environmental Health Practitioners (EHPs) are legally mandated to implement the surveillance and prevention of communicable disease services at the municipal level. [...] Read more.
Communicable diseases remain a significant public health burden in South Africa, particularly where environmental determinants of health intersect with fragmented surveillance systems. Environmental Health Practitioners (EHPs) are legally mandated to implement the surveillance and prevention of communicable disease services at the municipal level. However, this function is inconsistently operationalised and often remains reactive (outbreak-driven), with limited integration into broader national surveillance systems. This study protocol outlines a mixed-methods investigation to develop a practical framework to strengthen the communicable disease surveillance and prevention function within Environmental Health Services in South Africa. The study will assess existing guiding tools, operational practices, and intersectoral collaboration mechanisms supporting surveillance across metropolitan and district municipalities. Quantitative data will be collected through a national survey of EHPs, while qualitative data will be generated through key informant interviews with national stakeholders, focus group discussions with municipal health managers, and a targeted review of municipal documents. Quantitative data will be analysed using descriptive and inferential statistics, while qualitative data will be thematically analysed and triangulated across data sources. The expected outcome is an integrated framework that clarifies roles, strengthens data flow, and promotes proactive, coordinated surveillance and prevention of communicable diseases within environmental health. The developed framework is anticipated to inform policy discussions and may contribute to efforts aligned with Sustainable Development Goal 3, Target 3.3, on reducing communicable disease burdens, by strengthening municipal communicable disease surveillance and prevention. Full article
Show Figures

Figure 1

27 pages, 2265 KB  
Article
Digital Transformation and Sustainable Education: A Framework for Integrating Multimodal VR into TVET
by Lucheng Li, Chen Kim Lim, Zi Yan and Ridzwan Che Rus
Sustainability 2026, 18(4), 2007; https://doi.org/10.3390/su18042007 - 15 Feb 2026
Viewed by 170
Abstract
In the current era of educational digitalization, Learning Management Systems (LMS) serve as the critical backbone of online learning for content delivery, administration, and communication. This study addresses key limitations in delivering hands-on training for online Technical and Vocational Education and Training (TVET), [...] Read more.
In the current era of educational digitalization, Learning Management Systems (LMS) serve as the critical backbone of online learning for content delivery, administration, and communication. This study addresses key limitations in delivering hands-on training for online Technical and Vocational Education and Training (TVET), using Malaysian automotive programs as a case. It develops and provides an initial validation for a sustainable Virtual Reality-LMS (VR-LMS) framework to explore its potential to enhance immersive learning, engagement, and skill assessment. This study firstly triangulated literature, stakeholder interviews, and national data to define the problem and quantitatively evaluated a VR intervention with 100 automotive engineering students using an extended Unified Theory of Acceptance and Use of Technology (UTAUT) model; further designed a validated multimodal VR-LMS conceptual model; and finally developed a sustainable implementation strategy. Results show high training performance (M = 92.55) and examination achievement (M = 89.78). Structural Equation Modeling indicated that Performance Expectancy (β = 0.78), Hedonic Motivation (β = 0.25), and Effort Expectancy (β = 0.45) are significant predictors, with the model explaining 66.3% of the variance in learning outcomes (R2 = 0.663). The findings provide integrated empirical evidence that embedding multimodal VR into an LMS can contribute to creating a more sustainable and effective educational model by fostering engagement, practical competence, and instructional effectiveness, which offers a promising sustainable solution framework for TVET institutions, educators, and policymakers, aligning with Malaysia’s digital transformation and workforce development agendas. Full article
Show Figures

Figure 1

34 pages, 39528 KB  
Article
Geospatial–Temporal Quantification of Tectonically Constrained Marble Resources Within the Wadi El Shati Extensional Regime via Multi-Sensor Sentinel and DEM Data Fusion
by Mahmood Salem Dhabaa, Ahmed Gaber and Adel Kamel Mohammed
Geosciences 2026, 16(2), 81; https://doi.org/10.3390/geosciences16020081 - 14 Feb 2026
Viewed by 250
Abstract
This study addresses a critical knowledge gap in quantifying strategic mineral resources within hyper-arid, tectonically complex terrains by establishing a recursive framework that reconciles deterministic resource estimation with the nonlinear dynamics of tectonically mediated metamorphic systems. Using Libya’s Wadi El Shati as a [...] Read more.
This study addresses a critical knowledge gap in quantifying strategic mineral resources within hyper-arid, tectonically complex terrains by establishing a recursive framework that reconciles deterministic resource estimation with the nonlinear dynamics of tectonically mediated metamorphic systems. Using Libya’s Wadi El Shati as a case study, legacy lithological misclassifications are rectified through the fusion of Sentinel-1 Synthetic Aperture Radar, Sentinel-2 multispectral imagery, and Digital Elevation Model analytics within a unified geospatial workflow. The methodology synergizes atmospherically corrected optical data, processed via supervised Maximum Likelihood Classification, with calibrated radar-derived structural lineaments. Classified marble-bearing zones within the Al Mahruqah Formation are integrated with DEM data and field-validated thickness measurements using Triangulated Irregular Network models to resolve surface–subsurface dependencies and compute volumes. The results demonstrate a 91% lithological classification accuracy, rectifying a 22% error in legacy maps. Structural analysis of 1213 lineaments confirms a dominant NE–SW extensional regime (σ3) that facilitated fluid conduits. The quantified marble-bearing horizon spans ~334 km2 with a volume of 6.0 km3 (±9%). Spatial analysis reveals a causal link between high-grade marble clusters, basaltic intrusions, and NE–SW fault systems, refining models of contact metamorphism in rift-related settings. Full article
Show Figures

Figure 1

Back to TopTop