Sign in to use this feature.

Years

Between: -

Subjects

remove_circle_outline
remove_circle_outline
remove_circle_outline
remove_circle_outline
remove_circle_outline
remove_circle_outline

Journals

Article Types

Countries / Regions

Search Results (34)

Search Parameters:
Keywords = trap distribution manipulation

Order results
Result details
Results per page
Select all
Export citation of selected articles as:
20 pages, 2804 KB  
Article
Towards a Global Scale Quantum Information Network: A Study Applied to Satellite-Enabled Distributed Quantum Computing
by Laurent de Forges de Parny, Luca Paccard, Mathieu Bertrand, Luca Lazzarini, Valentin Leloup, Raphael Aymeric, Agathe Blaise, Stéphanie Molin, Pierre Besancenot, Cyrille Laborde and Mathias van den Bossche
Entropy 2025, 27(11), 1166; https://doi.org/10.3390/e27111166 - 18 Nov 2025
Viewed by 1094
Abstract
Recent developments have reported on the feasibility of interconnecting small quantum registers in a quantum information network of a few meter-scale for distributed quantum computing purposes. Small quantum processors in a network represent a promising solution to the scalability problem of manipulating more [...] Read more.
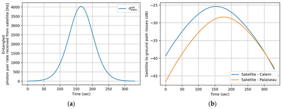
Recent developments have reported on the feasibility of interconnecting small quantum registers in a quantum information network of a few meter-scale for distributed quantum computing purposes. Small quantum processors in a network represent a promising solution to the scalability problem of manipulating more than thousands of noise-free qubits. Here, we propose and assess a satellite-enabled distributed quantum computing system at the French national scale based on existing infrastructures in Paris and Nice. We consider a system composed of both a ground and a Space segment, allowing for the distribution of end-to-end entanglement between Alice in Paris and Bob in Nice, each owning a few-qubit processor composed of trapped ions. In the context of quantum computing, this entanglement resource can be used for the teleportation of a qubit state or for gate teleportation. After having developed a model, we numerically assess the entanglement distribution rate and fidelity generated by this space-based quantum information network and discuss concrete use cases and service performance levels in the framework of distributed quantum computing. We obtain 90 end-to-end entangled photon pairs distributed over a satellite pass of 331 s that can perform a teleportation-based controlled-Z operation with a fidelity of at most 82%. Full article
(This article belongs to the Section Quantum Information)
Show Figures

Figure 1

27 pages, 4412 KB  
Review
Coupling Agents in Acoustofluidics: Mechanisms, Materials, and Applications
by Shenhao Deng, Yiting Yang, Menghui Huang, Cheyu Wang, Enze Guo, Jingui Qian and Joshua E.-Y. Lee
Micromachines 2025, 16(7), 823; https://doi.org/10.3390/mi16070823 - 19 Jul 2025
Cited by 2 | Viewed by 3674
Abstract
Acoustic coupling agents serve as critical interfacial materials connecting piezoelectric transducers with microfluidic chips in acoustofluidic systems. Their performance directly impacts acoustic wave transmission efficiency, device reusability, and reliability in biomedical applications. Considering the rapidly growing body of research in the field of [...] Read more.
Acoustic coupling agents serve as critical interfacial materials connecting piezoelectric transducers with microfluidic chips in acoustofluidic systems. Their performance directly impacts acoustic wave transmission efficiency, device reusability, and reliability in biomedical applications. Considering the rapidly growing body of research in the field of acoustic microfluidics, this review aims to serve as an all-in-one reference on the role of acoustic coupling agents and relevant considerations pertinent to acoustofluidic devices for anyone working in or seeking to enter the field of disposable acoustofluidic devices. To this end, this review seeks to summarize and categorize key aspects of acoustic couplants in the implementation of acoustofluidic devices by examining their underlying physical mechanisms, material classifications, and core applications of coupling agents in acoustofluidics. Gel-based coupling agents are particularly favored for their long-term stability, high coupling efficiency, and ease of preparation, making them integral to acoustic flow control applications. In practice, coupling agents facilitate microparticle trapping, droplet manipulation, and biosample sorting through acoustic impedance matching and wave mode conversion (e.g., Rayleigh-to-Lamb waves). Their thickness and acoustic properties (sound velocity, attenuation coefficient) further modulate sound field distribution to optimize acoustic radiation forces and thermal effects. However, challenges remain regarding stability (evaporation, thermal degradation) and chip compatibility. Further aspects of research into gel-based agents requiring attention include multilayer coupled designs, dynamic thickness control, and enhancing biocompatibility to advance acoustofluidic technologies in point-of-care diagnostics and high-throughput analysis. Full article
(This article belongs to the Special Issue Recent Development of Micro/Nanofluidic Devices, 2nd Edition)
Show Figures

Figure 1

25 pages, 4903 KB  
Article
Intelligent Joint Space Path Planning: Enhancing Motion Feasibility with Goal-Driven and Potential Field Strategies
by Yuzhou Li, Yefeng Yang, Kang Liu and Chih-Yung Wen
Sensors 2025, 25(14), 4370; https://doi.org/10.3390/s25144370 - 12 Jul 2025
Viewed by 1073
Abstract
Traditional path-planning algorithms for robotic manipulators typically focus on end-effector planning, often neglecting complete collision avoidance for the entire manipulator. Additionally, many existing approaches suffer from high time complexity and are easily trapped in local extremes. To address these challenges, this paper proposes [...] Read more.
Traditional path-planning algorithms for robotic manipulators typically focus on end-effector planning, often neglecting complete collision avoidance for the entire manipulator. Additionally, many existing approaches suffer from high time complexity and are easily trapped in local extremes. To address these challenges, this paper proposes a goal-biased bidirectional artificial potential field-based rapidly-exploring random tree* (GBAPF-RRT*) algorithm, which enhances both target guidance and obstacle avoidance capabilities of the manipulator. Firstly, we utilize a Gaussian distribution to add heuristic guidance into the exploration of the robotic manipulator, thereby accelerating the search speed of the RRT*. Then, we combine the modified repulsion function to prevent the random tree from trapping in a local extreme. Finally, sufficient numerical simulations and physical experiments are conducted in the joint space to verify the effectiveness and superiority of the proposed algorithm. Comparative results indicate that our proposed method achieves a faster search speed and a shorter path in complex planning scenarios. Full article
(This article belongs to the Section Sensors and Robotics)
Show Figures

Figure 1

12 pages, 6768 KB  
Article
Study on the Evolutionary Characteristics of Airyprime Beams in Gaussian-Type PT Symmetric Optical Lattices
by Depeng Chen, Dongchu Jiang and Zhewen Xiao
Photonics 2025, 12(6), 566; https://doi.org/10.3390/photonics12060566 - 4 Jun 2025
Cited by 1 | Viewed by 564
Abstract
The Airyprime beam, due to its adjustable focusing ability and controllable orbital angular momentum, has attracted significant attention in fields such as free-space optical communication and particle trapping. However, systematic studies on the propagation behavior of oscillating solitons in PT-symmetric optical lattices remain [...] Read more.
The Airyprime beam, due to its adjustable focusing ability and controllable orbital angular momentum, has attracted significant attention in fields such as free-space optical communication and particle trapping. However, systematic studies on the propagation behavior of oscillating solitons in PT-symmetric optical lattices remain scarce, particularly regarding their formation mechanisms and self-accelerating characteristics. In this study, the propagation characteristics of Airyprime beams in PT symmetric optical lattices are numerically studied using the split-step Fourier method, and the generation mechanism and control factors of oscillating solitons are analyzed. The influence of lattice parameters (such as the modulation depth P, modulation frequency w, and gain/loss distribution coefficient W0) and beam initial characteristics (such as the truncation coefficient a) on the dynamic behavior of the beam is revealed. The results show that the initial parameters determine the propagation characteristics of the beam and the stability of the soliton. This research provides theoretical support for beam shaping, optical path design, and nonlinear optical manipulation and has important application value. Full article
Show Figures

Figure 1

29 pages, 7044 KB  
Article
Improved Bald Eagle Search Optimization Algorithm for the Inverse Kinematics of Robotic Manipulators
by Guojun Zhao, Bo Tao, Du Jiang, Juntong Yun and Hanwen Fan
Biomimetics 2024, 9(10), 627; https://doi.org/10.3390/biomimetics9100627 - 15 Oct 2024
Cited by 4 | Viewed by 1757
Abstract
The inverse kinematics of robotic manipulators involves determining an appropriate joint configuration to achieve a specified end-effector position. This problem is challenging because the inverse kinematics of manipulators are highly nonlinear and complexly coupled. To address this challenge, the bald eagle search optimization [...] Read more.
The inverse kinematics of robotic manipulators involves determining an appropriate joint configuration to achieve a specified end-effector position. This problem is challenging because the inverse kinematics of manipulators are highly nonlinear and complexly coupled. To address this challenge, the bald eagle search optimization algorithm is introduced. This algorithm combines the advantages of evolutionary and swarm techniques, making it more effective at solving nonlinear problems and improving search efficiency. Due to the tendency of the algorithm to fall into local optima, the Lévy flight strategy is introduced to enhance its performance. This strategy adopts a heavy-tailed distribution to generate long-distance jumps, thereby preventing the algorithm from becoming trapped in local optima and enhancing its global search efficiency. The experiments first evaluated the accuracy and robustness of the proposed algorithm based on the inverse kinematics problem of manipulators, achieving a solution accuracy of up to 1018 m. Subsequently, the proposed algorithm was compared with other algorithms using the CEC2017 test functions. The results showed that the improved algorithm significantly outperformed the original in accuracy, convergence speed, and stability. Specifically, it achieved over 70% improvement in both standard deviation and mean for several test functions, demonstrating the effectiveness of the Lévy flight strategy in enhancing global search capabilities. Furthermore, the practicality of the proposed algorithm was verified through two real engineering optimization problems. Full article
Show Figures

Figure 1

14 pages, 2879 KB  
Article
Modulating Near-Infrared Persistent Luminescence via Diverse Preparation Approaches
by Xiaomeng Wang, Hengli Zhu, Yan Liu, Jingyuan Li, Lejia Cao, Jiaren Du and Hengwei Lin
Nanomaterials 2024, 14(19), 1613; https://doi.org/10.3390/nano14191613 - 9 Oct 2024
Cited by 1 | Viewed by 2144
Abstract
Near-infrared (NIR) persistent luminescence (PersL) materials have attracted extensive attention due to their great promise in medical diagnostics, bio-imaging, night vision surveillance, multi-level anticounterfeiting, and information encryption. To achieve NIR PersL (micro/nano-) materials with the desired properties, a variety of synthesis methods have [...] Read more.
Near-infrared (NIR) persistent luminescence (PersL) materials have attracted extensive attention due to their great promise in medical diagnostics, bio-imaging, night vision surveillance, multi-level anticounterfeiting, and information encryption. To achieve NIR PersL (micro/nano-) materials with the desired properties, a variety of synthesis methods have been employed, including solid-phase reaction and liquid-phase synthesis. Different synthesis methods have different but important effects on the micro/nano-structure, luminescence, and PersL properties of the materials. Moreover, the influence of various synthesis methods on the properties of NIR PersL materials determines the selection of preparation approaches for other new material systems. Taking the representative NIR PersL ZnGa2O4:Cr3+ material as an example, four synthesis procedures are applied, namely, high-temperature solid-state reaction (SSR), high-temperature molten salt method (MSM), hydrothermal method (HM), and microwave-assisted solid-state (MASS) method. The structural and luminescent properties of samples made by SSR, MSM, HM, and MASS are compared. Notably, it is revealed that the MASS method can create additional trapping energy levels, which is of great significance for emerging applications. This work demonstrates the different effects of synthesis methods on PersL performance and provides a good guideline for the rapid and reasonable selection of preparation methods for diverse applications. Full article
Show Figures

Figure 1

12 pages, 8570 KB  
Article
Quantized Microcavity Polariton Lasing Based on InGaN Localized Excitons
by Huying Zheng, Runchen Wang, Xuebing Gong, Junxing Dong, Lisheng Wang, Jingzhuo Wang, Yifan Zhang, Yan Shen, Huanjun Chen, Baijun Zhang and Hai Zhu
Nanomaterials 2024, 14(14), 1197; https://doi.org/10.3390/nano14141197 - 14 Jul 2024
Viewed by 2270
Abstract
Exciton–polaritons, which are bosonic quasiparticles with an extremely low mass, play a key role in understanding macroscopic quantum effects related to Bose–Einstein condensation (BEC) in solid-state systems. The study of trapped polaritons in a potential well provides an ideal platform for manipulating polariton [...] Read more.
Exciton–polaritons, which are bosonic quasiparticles with an extremely low mass, play a key role in understanding macroscopic quantum effects related to Bose–Einstein condensation (BEC) in solid-state systems. The study of trapped polaritons in a potential well provides an ideal platform for manipulating polariton condensates, enabling polariton lasing with specific formation in k-space. Here, we realize quantized microcavity polariton lasing in simple harmonic oscillator (SHO) states based on spatial localized excitons in InGaN/GaN quantum wells (QWs). Benefiting from the high exciton binding energy (90 meV) and large oscillator strength of the localized exciton, room-temperature (RT) polaritons with large Rabi splitting (61 meV) are obtained in a strongly coupled microcavity. The manipulation of polariton condensates is performed through a parabolic potential well created by optical pump control. Under the confinement situation, trapped polaritons are controlled to be distributed in the selected quantized energy sublevels of the SHO state. The maximum energy spacing of 11.3 meV is observed in the SHO sublevels, indicating the robust polariton trapping of the parabolic potential well. Coherent quantized polariton lasing is achieved in the ground state of the SHO state and the coherence property of the lasing is analyzed through the measurements of spatial interference patterns and g(2)(τ). Our results offer a feasible route to explore the manipulation of macroscopic quantum coherent states and to fabricate novel polariton devices towards room-temperature operations. Full article
(This article belongs to the Special Issue Nanoscale Materials and Their Photonic Devices)
Show Figures

Figure 1

12 pages, 9274 KB  
Article
Optical Force Effects of Rayleigh Particles by Cylindrical Vector Beams
by Yuting Zhao, Liqiang Zhou, Xiaotong Jiang, Linwei Zhu and Qiang Shi
Nanomaterials 2024, 14(8), 691; https://doi.org/10.3390/nano14080691 - 17 Apr 2024
Cited by 10 | Viewed by 1779
Abstract
High-order cylindrical vector beams possess flexible spatial polarization and exhibit new effects and phenomena that can expand the functionality and enhance the capability of optical systems. However, building a general analytical model for highly focused beams with different polarization orders remains a challenge. [...] Read more.
High-order cylindrical vector beams possess flexible spatial polarization and exhibit new effects and phenomena that can expand the functionality and enhance the capability of optical systems. However, building a general analytical model for highly focused beams with different polarization orders remains a challenge. Here, we elaborately develop the vector theory of high-order cylindrical vector beams in a high numerical aperture focusing system and achieve the vectorial diffraction integrals for describing the tight focusing field with the space-variant distribution of polarization orders within the framework of Richards–Wolf diffraction theory. The analytical formulae include the exact three Cartesian components of electric and magnetic distributions in the tightly focused region. Additionally, utilizing the analytical formulae, we can achieve the gradient force, scattering force, and curl-spin force exerted on Rayleigh particles trapped by high-order cylindrical vector beams. These results are crucial for improving the design and engineering of the tightly focused field by modulating the polarization orders of high-order cylindrical vector beams, particularly for applications such as optical tweezers and optical manipulation. This theoretical analysis also extends to the calculation of complicated optical vortex vector fields and the design of diffractive optical elements with high diffraction efficiency and resolution. Full article
(This article belongs to the Special Issue Advances in Optical Nanomanipulation)
Show Figures

Figure 1

11 pages, 3240 KB  
Communication
Hematite (α-Fe2O3) with Oxygen Defects: The Effect of Heating Rate for Photocatalytic Performance
by Masanori Sakamoto, Ryoga Fujita, Masami Nishikawa, Hideyuki Hirazawa, Yuichi Ueno, Manami Yamamoto and Suzu Takaoka
Materials 2024, 17(2), 395; https://doi.org/10.3390/ma17020395 - 12 Jan 2024
Cited by 10 | Viewed by 3909
Abstract
Hematite (α-Fe2O3) emerges as an enticing material for visible-light-driven photocatalysis owing to its remarkable stability, low toxicity, and abundance. However, its inherent shortcomings, such as a short hole diffusion length and high recombination rate, hinder its practical [...] Read more.
Hematite (α-Fe2O3) emerges as an enticing material for visible-light-driven photocatalysis owing to its remarkable stability, low toxicity, and abundance. However, its inherent shortcomings, such as a short hole diffusion length and high recombination rate, hinder its practical application. Recently, oxygen vacancies (Vo) within hematite have been demonstrated to modulate its photocatalytic attributes. The effects of Vo can be broadly categorized into two opposing aspects: (1) acting as electron donors, enhancing carrier conductivity, and improving photocatalytic performance and (2) acting as surface carrier traps, accelerating excited carrier recombination, and deteriorating performance. Critically, the generation rate, distribution, role, and behavior of Vo significantly differ for synthesis methods due to differences in formation mechanisms and oxygen diffusion. This complexity hampers simplified discussions of Vo, necessitating careful investigation and nuanced discussion tailored to the specific method and conditions employed. Among various approaches, hydrothermal synthesis offers a simple and cost-effective route. Here, we demonstrate a hydrothermal synthesis method for Vo introduction to hematite using a carbon source, where variations in the heating rate have not been previously explored in terms of their influence on Vo generation. The analyses revealed that the concentration of Vo was maximized at a heating rate of 16 °C/min, indicative of a high density of surface defects. With regard to photocatalytic performance, elevated heating rates (16 °C/min) fostered the formation of Vo primarily on the hematite surface. The photocatalytic activity was 7.1 times greater than that of the sample prepared at a low heating rate (2 °C/min). These findings highlight the crucial role of surface defects, as opposed to bulk defects, in promoting hematite photocatalysis. Furthermore, the facile control over Vo concentration achievable via manipulating the heating rate underscores the promising potential of this approach for optimizing hematite photocatalysts. Full article
Show Figures

Figure 1

13 pages, 6033 KB  
Article
Trapping of Rayleigh Spheroidal Particles Using Tightly Focused Higher-Order Vector Vortex Beams
by Dong Li, Hongxu Zhang, Chengquan Wei, Yundi Zhang, Xize Gao, Dandan Wen, Peng Li and Jianlin Zhao
Photonics 2023, 10(7), 785; https://doi.org/10.3390/photonics10070785 - 6 Jul 2023
Cited by 1 | Viewed by 1870
Abstract
Considering the advantages of higher-order vector vortex beams (HOVVBs) with their diverse intensity distribution of the focal field and adjustable longitudinal field component, we investigated the optical forces and torques on Rayleigh spheroidal particles induced by tightly focused HOVVBs based on the Rayleigh [...] Read more.
Considering the advantages of higher-order vector vortex beams (HOVVBs) with their diverse intensity distribution of the focal field and adjustable longitudinal field component, we investigated the optical forces and torques on Rayleigh spheroidal particles induced by tightly focused HOVVBs based on the Rayleigh scattering model and dipole approximation. It was found that the maximal optical forces were obtained when the major axis of the Rayleigh spheroidal particles was parallel to the xy plane. We achieved the three-dimensional stable trapping of Rayleigh spheroidal particles at the focus by using an HOVVB. Further analysis showed that the optical torque caused the major axis of the spheroidal particle to rotate towards the xy plane, which is conducive to the large-scale stable trapping of Rayleigh spheroidal particles in the two-dimensional plane. Moreover, the optical torque Γx could achieve a maximum of 0.869 pN·nm at φ0 = 90° and 270°, while Γy could achieve a maximum of 0.869 pN·nm at φ0 = 0° and 180° for the case of θ0 = 30°. Our findings provide a clear strategy for extending the degrees of freedom in the control of the beam. We envision a significant role for these results in optical micro-manipulation. Full article
(This article belongs to the Special Issue Advances and Application of Structured Light)
Show Figures

Figure 1

12 pages, 3374 KB  
Communication
Tunable Multiple Surface Plasmonic Bending Beams into Single One by Changing Incident Light Wavelength
by Hang Zhang, Liang Wang, Xueli Li, Xiaoming Li and Hui Li
Photonics 2023, 10(7), 758; https://doi.org/10.3390/photonics10070758 - 30 Jun 2023
Cited by 1 | Viewed by 1723
Abstract
Controllable surface plasmonic bending beams (SPBs) with propagating along bending curves have a wide range of applications in the fields of fiber sensors, optical trapping, and micro-nano manipulations. In terms of designing and optimizing controllable SPB generators, there is great significance in realizing [...] Read more.
Controllable surface plasmonic bending beams (SPBs) with propagating along bending curves have a wide range of applications in the fields of fiber sensors, optical trapping, and micro-nano manipulations. In terms of designing and optimizing controllable SPB generators, there is great significance in realizing conversion between multiple SPBs and single SPB without rebuilding metasurface structures. In this study, a SPB generator, composed of an X-shaped nanohole array, is proposed to realize conversion between multiple SPBs and a single one by changing the incident light wavelength. The Fabry–Pérot (F–P) resonance effect of SPPs in nanoholes and localized surface plasmonic (LSP) resonance of the nanohole are utilized to explain this conversion. It turns out that the relationship between the electric field intensities of SPBs and the polarization angle of incident light satisfies the sine distribution, which is consistent with dipole radiation theory. In addition, we also find that the electric field intensities of SPBs rely on the width, length, and angle of the X-shaped nanohole. These findings could help in designing and optimizing controllable and multi-functions SPBs converters. Full article
Show Figures

Figure 1

14 pages, 14674 KB  
Communication
Fabrication of Silver Nanobowl Arrays on Patterned Sapphire Substrate for Surface-Enhanced Raman Scattering
by Yanzhao Pang and Mingliang Jin
Micromachines 2023, 14(6), 1197; https://doi.org/10.3390/mi14061197 - 5 Jun 2023
Cited by 3 | Viewed by 2829
Abstract
The current article discusses surface-enhanced Raman spectroscopy (SERS) as a powerful technique for detecting molecules or ions by analyzing their molecular vibration signals for fingerprint peak recognition. We utilized a patterned sapphire substrate (PSS) featuring periodic micron cone arrays. Subsequently, we prepared a [...] Read more.
The current article discusses surface-enhanced Raman spectroscopy (SERS) as a powerful technique for detecting molecules or ions by analyzing their molecular vibration signals for fingerprint peak recognition. We utilized a patterned sapphire substrate (PSS) featuring periodic micron cone arrays. Subsequently, we prepared a three-dimensional (3D) PSS-loaded regular Ag nanobowls (AgNBs) array using self-assembly and surface galvanic displacement reactions based on polystyrene (PS) nanospheres. The SERS performance and structure of the nanobowl arrays were optimized by manipulating the reaction time. We discovered that the PSS substrates featuring periodic patterns exhibited superior light-trapping effects compared to the planar substrates. The SERS performance of the prepared AgNBs-PSS substrates was tested under the optimized experimental parameters with 4-mercaptobenzoic acid (4-MBA) as the probe molecule, and the enhancement factor (EF) was calculated to be 8.96 × 104. Finite-difference time-domain (FDTD) simulations were conducted to explain that the AgNBs arrays’ hot spots were distributed at the bowl wall locations. Overall, the current research offers a potential route for developing high-performance, low-cost 3D SERS substrates. Full article
(This article belongs to the Special Issue Advances in Optoelectronic Devices, 2nd Edition)
Show Figures

Figure 1

10 pages, 2544 KB  
Communication
Particle Trapping Properties of Metal Annular Slits under Vector Field Excitation
by Chunyan Bai, Jiqing Lian, Xiangcai Ma, Peizhen Qiu, Dileep Kumar and Saima Kanwal
Photonics 2023, 10(4), 445; https://doi.org/10.3390/photonics10040445 - 13 Apr 2023
Cited by 2 | Viewed by 2107
Abstract
This article presents the particle capture performance of annular slits, which offer a simple alternative to complex micro/nano structures used to excite and focus surface plasmon polaritons (SPPs). Additionally, the annular slits are compatible with a variety of vector light fields, generating diverse [...] Read more.
This article presents the particle capture performance of annular slits, which offer a simple alternative to complex micro/nano structures used to excite and focus surface plasmon polaritons (SPPs). Additionally, the annular slits are compatible with a variety of vector light fields, generating diverse SPP field distributions under their excitation. These SPP fields can be regulated by varying the vector light field parameters, thereby offering the annular slit structure the ability to flexibly capture and manipulate particles. The rotation and movement of captured objects can be achieved by changing the position and phase difference of the incident beams with linear polarization. Different material and sized metallic particles can be stably captured with a radially polarized beam excitation due to the strong convergence. These capabilities are demonstrated by evaluating the optical force and trapping potential based on the finite difference time domain (FDTD) simulation. This study provides valuable insights into the practical application of annular slits for particle capture and manipulation. Full article
(This article belongs to the Special Issue Light Control and Particle Manipulation)
Show Figures

Figure 1

9 pages, 3038 KB  
Communication
Simulation Study of Phase-Driven Multichannel Nano-Optical Conveyor Belt Using Rectangular Gratings
by Chunyan Bai, Xiangcai Ma, Qian Cao, Saima Kanwal and Peizhen Qiu
Photonics 2023, 10(2), 201; https://doi.org/10.3390/photonics10020201 - 13 Feb 2023
Viewed by 2200
Abstract
A nano-optical conveyor belt is a unique type of near-field optical tweezer, capable not only of capturing nanoparticles, but also transporting them. In this study, we propose a multichannel nano-optical conveyer, based on a simple rectangular distributed grating array. The design was optimized [...] Read more.
A nano-optical conveyor belt is a unique type of near-field optical tweezer, capable not only of capturing nanoparticles, but also transporting them. In this study, we propose a multichannel nano-optical conveyer, based on a simple rectangular distributed grating array. The design was optimized by varying the number of slits in the gratings, and particle transport was achieved by adjusting the phase difference of the excitation beams. Simulation and calculation results indicate that multiple optical traps and parallel transport channels can be generated by exciting the gratings with four incident beams. The optical force and trapping potential were used to confirm that 20 nm metallic nanoparticles can be stably attracted to the traps and dynamically transported along channels by adjusting the phase of the excitation beams. Compared to existing nano-photon conveyors, this design boasts a straightforward structure and exceptional performance, offering a promising new approach to particle manipulation. Full article
Show Figures

Figure 1

11 pages, 2764 KB  
Article
Manipulating Transverse Spin Angular Momentum with Symmetrically Modulated Hybridly Polarized Vector Optical Field
by Xue-Feng Sun, Yue Pan, Guang-Bo Zhang, Zhong-Xiao Man and Xu-Zhen Gao
Photonics 2022, 9(11), 817; https://doi.org/10.3390/photonics9110817 - 29 Oct 2022
Cited by 2 | Viewed by 2554
Abstract
Transverse spin angular momentum (SAM) of photon, also known as ‘photonic wheel’, has attracted much attention, owing to its extraordinary properties and broad application prospect. Thus, it is essential to flexibly manipulate the transverse SAM in order to satisfy different needs. In this [...] Read more.
Transverse spin angular momentum (SAM) of photon, also known as ‘photonic wheel’, has attracted much attention, owing to its extraordinary properties and broad application prospect. Thus, it is essential to flexibly manipulate the transverse SAM in order to satisfy different needs. In this article, we design and generate a new kind of symmetrically modulated hybridly polarized vector optical field (SM-HP-VOF), and pure transverse SAM can be achieved based on the tightly focused SM-HP-VOF. Through adjusting the parameters of the SM-HP-VOF, the shape, intensity, and symmetry of the transverse SAM can be modulated. Moreover, by adding a segmented vortex phase distribution to the SM-HP-VOF, the transverse SAM becomes more concentrated and stronger, indicating that the orbital angular momentum can be a catalyst in modulating transverse SAM. Such results can provide a new avenue in studying and modulating transverse SAM, which would have potential applications in various areas including chip optical circuitry, optical quantum computing, and optical trapping and manipulation. Full article
(This article belongs to the Special Issue Advances and Application of Optical Manipulation)
Show Figures

Figure 1

Back to TopTop