Sign in to use this feature.

Years

Between: -

Subjects

remove_circle_outline
remove_circle_outline
remove_circle_outline
remove_circle_outline
remove_circle_outline
remove_circle_outline
remove_circle_outline
remove_circle_outline
remove_circle_outline

Journals

remove_circle_outline
remove_circle_outline
remove_circle_outline
remove_circle_outline
remove_circle_outline

Article Types

Countries / Regions

remove_circle_outline
remove_circle_outline
remove_circle_outline
remove_circle_outline
remove_circle_outline
remove_circle_outline

Search Results (1,147)

Search Parameters:
Keywords = translocation in plants

Order results
Result details
Results per page
Select all
Export citation of selected articles as:
13 pages, 790 KB  
Communication
Direct Biochar–Root Interactions May Alter Cadmium Sequestration at the Interface: A Hydroponic Study
by Cidong Jiang, Lihui Xiang, Yu Cheng, Qiang Liu, Jackson Nkoh Nkoh and Hailong Lu
Agronomy 2026, 16(1), 62; https://doi.org/10.3390/agronomy16010062 - 25 Dec 2025
Viewed by 133
Abstract
Biochar is widely recognized for its ability to immobilize heavy metals in soil, yet its direct effect on plant physiological metal-sequestration capacity remains poorly understood. This study explores a critical distinction between two mechanisms: direct, concurrent metal immobilization by biochar versus its capacity [...] Read more.
Biochar is widely recognized for its ability to immobilize heavy metals in soil, yet its direct effect on plant physiological metal-sequestration capacity remains poorly understood. This study explores a critical distinction between two mechanisms: direct, concurrent metal immobilization by biochar versus its capacity to physiologically precondition plants, altering their inherent metal uptake and distribution. Using a hydroponic design with pH-matched controls, the latter was isolated by preconditioning rice plants with peanut straw biochar (PSB) or corn straw biochar (CSB) and subsequently removing amendments before cadmium (Cd) exposure. Our results reveal that biochar (PSB) preconditioning may modify root architecture and surface chemistry, enhancing negative zeta potential and functional group density. This modification increased root Cd adsorption capacity by 50.1% and 142.7% within 2 h or 2.2% and 52.6% within 48 h compared to the normal and pH-adjusted controls, respectively, with shifted metal speciation toward stable complexes. However, this enhanced root sequestration coincided with an increased translocation factor, elevating shoot Cd content by 78% compared to the normal control. In contrast, CSB preconditioning showed negligible effects. Our findings suggest that biochar’s net impact on metal distribution is probably the product of two temporally distinct processes: chemical immobilization in growth media versus physiological preconditioning effects. This dual mechanism framework may explain the variability in literature reports on the effect of biochar on heavy metal uptake by plants. It also highlights the need for holistic biochar risk assessment that considers both chemical and plant physiological pathways in both soil and hydroponic systems. Full article
(This article belongs to the Section Agricultural Biosystem and Biological Engineering)
Show Figures

Figure 1

20 pages, 8968 KB  
Article
Methyl Protodioscin Promotes Ferroptosis of Prostate Cancer Cells by Facilitating Dissociation of RB1CC1 from the Detergent-Resistant Membranes and Its Nuclear Translocation
by Ruonan Wang, Chaoyu Hu, Yi Zhao, Shuhan Wu, Shujuan Cao, Leiming Xu, Dengke Yin and Song Tan
Biomolecules 2026, 16(1), 38; https://doi.org/10.3390/biom16010038 - 25 Dec 2025
Viewed by 121
Abstract
Methyl protodioscin (MPD), a furostanol saponin found in the rhizomes of Dioscorea plants, has been shown to effectively inhibit proliferation of prostate cancer cells in vitro and in vivo. However, the mechanism underlying this inhibitory action remains unclear. To elucidate the mechanism, we [...] Read more.
Methyl protodioscin (MPD), a furostanol saponin found in the rhizomes of Dioscorea plants, has been shown to effectively inhibit proliferation of prostate cancer cells in vitro and in vivo. However, the mechanism underlying this inhibitory action remains unclear. To elucidate the mechanism, we used mass spectrometry to analyze protein rearrangements in detergent-resistant membranes (DRMs). Ferroptosis-related factors were identified in cells in vitro and in vivo. MPD induced the expression of acyl-CoA synthetase long chain family member 4 and reduced expression levels of glutathione peroxidase 4 and solute carrier family 7 member 11. Following MPD treatment, RB1-inducible coiled-coil 1 (RB1CC1) dissociated from DRMs and translocated from the cytoplasm to the nucleus. This translocation induced the expression of ferroptosis-related protein coiled-coil-helix-coiled-coil-helix domain containing 3, promoting ferroptosis in prostate cancer cells. As the nuclear translocation of RB1CC1 was promoted by the JNK signaling pathway, SP600125, a JNK inhibitor, prevented the MPD-induced RB1CC1 nuclear translocation. In summary, MPD induced the dissociation of RB1CC1 from DRMs and its subsequent nuclear translocation, contributing to ferroptosis of prostate cancer cells. Full article
(This article belongs to the Special Issue Cellular Signaling in Cancer)
Show Figures

Figure 1

13 pages, 4310 KB  
Article
Resveratrol Prevents Breast Cancer Metastasis by Inhibiting Wnt/β-Catenin Pathway-Mediated Epithelial–Mesenchymal Transition
by Xue Fang, En Ma, Runshu Wang, Jingwei Zhang, Yirong Tang, Jinxiao Chen, Weidong Zhu, Da Wo and Dan-ni Ren
Pharmaceuticals 2026, 19(1), 41; https://doi.org/10.3390/ph19010041 - 23 Dec 2025
Viewed by 205
Abstract
Background: Breast cancer is the most prevalent cancer in women, and metastatic breast cancer remains a major cause of cancer-related deaths. Resveratrol (RSV) is a natural compound found in various plants and is known to exhibit various anti-cancer effects. The present study aims [...] Read more.
Background: Breast cancer is the most prevalent cancer in women, and metastatic breast cancer remains a major cause of cancer-related deaths. Resveratrol (RSV) is a natural compound found in various plants and is known to exhibit various anti-cancer effects. The present study aims to investigate the therapeutic effects and mechanisms of RSV in inhibiting breast cancer metastasis in a murine model of 4T1 breast tumor that shares close molecular features with human triple negative breast cancer. Methods: Murine breast cancer 4T1 cells were used to examine the effects of RSV on breast cancer metastasis and epithelial–mesenchymal transition (EMT). In vitro cell proliferation and Transwell migration assays and in vivo 4T1 tumor transplantation models were established in female Balb/c mice to determine the anti-metastatic effects of RSV and its mechanism of action. Results: RSV significantly inhibited 4T1 tumor cell migration and significantly decreased expression levels of EMT markers Snail and Vimentin, as well as the nuclear translocation of β-catenin both in vitro and in vivo. Knockdown of β-catenin similarly reduced the expression levels of EMT markers. RSV significantly decreased the number of lung metastases in 4T1-implanted mice by inhibiting Wnt/β-catenin signaling pathway activation. RSV (150 mg/kg/day) reduced the number of visible tumor metastatic nodules and the histological count of metastatic lung carcinomas by 51.82% and 62.58%, respectively, compared to vehicle administration. Conclusions: Our study provides important new mechanistic insight into the strong anti-cancer effects of RSV in inhibiting 4T1 breast cancer metastasis by preventing Wnt/β-catenin signaling pathway-mediated epithelial–mesenchymal transition. These findings suggest the therapeutic potential of RSV as a promising drug in the treatment of metastatic breast cancer. Full article
(This article belongs to the Section Medicinal Chemistry)
Show Figures

Graphical abstract

17 pages, 2379 KB  
Article
Exogenous Paclobutrazol Promotes Tiller Initiation in Rice Seedlings by Enhancing Sucrose Translocation
by Hui Li, Tianming Lan, Jingqing Wang, Huizhou Liang, Zhigang Wang, Jing Xiang, Yikai Zhang, Huizhe Chen, Yiwen Xu, Yuping Zhang and Yaliang Wang
Agronomy 2026, 16(1), 25; https://doi.org/10.3390/agronomy16010025 - 22 Dec 2025
Viewed by 185
Abstract
The inhibition of low-position tillering in machine-transplanted seedlings affects rice yields. Paclobutrazol (PBZ) is a plant growth regulator that can improve seedling quality and promote low-position tillering in machine-transplanted seedlings. However, the physiological mechanisms underlying the promotion of tiller bud formation induced by [...] Read more.
The inhibition of low-position tillering in machine-transplanted seedlings affects rice yields. Paclobutrazol (PBZ) is a plant growth regulator that can improve seedling quality and promote low-position tillering in machine-transplanted seedlings. However, the physiological mechanisms underlying the promotion of tiller bud formation induced by exogenous PBZ via sucrose transport remain unclear. Thus, rice cultivar ‘Yongyou 12’ was used to analyze the effects of different seeding rates and the application of exogenous PBZ, gibberellin (GA3), and water (control) on sucrose transport and metabolism as well as tiller bud development. Exogenous PBZ application combined with a low seeding rate significantly increased the number of tillers as well as seedling fullness (by 42.35%). Increases were also detected for the seedling cytokinin content, chlorophyll content (by 10.55%), and sucrose transport from leaves to the stem base. These changes were associated with the upregulated expression of sucrose transporter genes in leaves and the stem base, as well as increased activities of key sucrose-metabolizing enzymes in the stem base. Notably, the opposite trend was observed after exogenous GA3 was applied or a high seeding rate was used. Hence, a low seeding rate combined with exogenous PBZ application is useful for controlling seedling height, promoting the formation of low-position tillering, facilitate sucrose translocation from leaves to the stem base, and increasing sucrose metabolism in the basal part of rice plants. These findings provide a theoretical basis for optimizing low-position tillering in machine-transplanted seedlings. Full article
(This article belongs to the Section Innovative Cropping Systems)
Show Figures

Figure 1

14 pages, 1859 KB  
Article
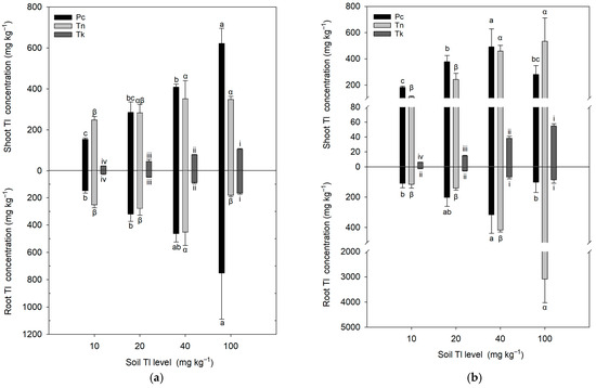
Thallium(I) Uptake and Accumulation by Wheat and Rice Plants
by Puu-Tai Yang, Hsin-Fang Chang, Liang-Sin Huang, Tsung-Ju Chuang and Shan-Li Wang
Agronomy 2025, 15(12), 2918; https://doi.org/10.3390/agronomy15122918 - 18 Dec 2025
Viewed by 207
Abstract
Thallium (Tl) is a highly toxic trace metal of increasing concern in agricultural soils. This study investigated the uptake, accumulation, and tissue-level distribution of Tl(I) in rice (Oryza sativa L.) and wheat (Triticum aestivum L.) grown in three agricultural soils differing [...] Read more.
Thallium (Tl) is a highly toxic trace metal of increasing concern in agricultural soils. This study investigated the uptake, accumulation, and tissue-level distribution of Tl(I) in rice (Oryza sativa L.) and wheat (Triticum aestivum L.) grown in three agricultural soils differing in soil pH and texture. In the seedling pot experiment (0–100 mg kg−1 soil Tl), plant Tl concentrations increased dose-dependently, and were at least an order of magnitude lower in the alkaline soil than in the acidic soils. Bioaccumulation factors of roots and shoots generally exceeded unity and declined with increasing Tl dose in acidic soils, consistent with uptake saturation and physiological stress at high exposure. To elucidate how soil Tl speciation and pH regulate Tl availability, X-ray absorption spectroscopy (XAS) was used; it showed that Tl(I)—sorbed on illite was the predominant species in all soils (89–95%), with a minor fraction (5–11%) associated with non-specific adsorption. In maturity pots (5 mg kg−1 soil Tl), both crops grown in the moderately acidic, coarse-textured soil translocated a small fraction of absorbed Tl to grains, with wheat and rice containing 0.24 and 0.10 mg kg−1 Tl, respectively. Comparatively, plants in the more acidic soil failed to reach maturity, and grain Tl was not detected in the alkaline soil. LA-ICP-MS mapping revealed Tl enrichment in the bran and embryo of rice and in the crease, bran, and embryo of wheat, indicating that unpolished grains may pose higher dietary exposure risks than polished products. Overall, these findings demonstrate the key roles of soil pH and mineral composition in governing soil Tl availability and plant Tl uptake, whereas plant transport processes regulate grain Tl loading. In the absence of food-safety standards for Tl, the results of this study underscore the need to better understand and mitigate Tl transfer from contaminated soils into human food chains via cereal crops. Full article
(This article belongs to the Special Issue Soil Pollution and Remediation in Sustainable Agriculture)
Show Figures

Figure 1

26 pages, 2127 KB  
Review
Plant Responses to Heavy Metal Stresses: Mechanisms, Defense Strategies, and Nanoparticle-Assisted Remediation
by Aysha Siddika Jarin, Md Arifur Rahman Khan, Tasfiqure Amin Apon, Md Ashraful Islam, Al Rahat, Munny Akter, Touhidur Rahman Anik, Huong Mai Nguyen, Thuong Thi Nguyen, Chien Van Ha and Lam-Son Phan Tran
Plants 2025, 14(24), 3834; https://doi.org/10.3390/plants14243834 - 16 Dec 2025
Viewed by 599
Abstract
Heavy metal (HM) contamination threatens environmental sustainability, food safety, and agricultural productivity worldwide. HM toxicity adversely affects plant growth, reducing germination rates by 20–50%, impairing seedling establishment, and inhibiting shoot and root development by 30–60% in various crops. HM disrupts key physiological processes, [...] Read more.
Heavy metal (HM) contamination threatens environmental sustainability, food safety, and agricultural productivity worldwide. HM toxicity adversely affects plant growth, reducing germination rates by 20–50%, impairing seedling establishment, and inhibiting shoot and root development by 30–60% in various crops. HM disrupts key physiological processes, including photosynthesis, stomatal regulation, membrane integrity, nutrient uptake, and enzymatic and nonenzymatic antioxidant activities. These disruptions largely result from oxidative stress, caused by the excessive accumulation of reactive oxygen species, which damage cellular components. To counteract HM toxicity, plants deploy a complex defense network involving antioxidant enzymes, metal chelation by phytochelatins and metallothioneins, vacuolar sequestration, and symbiotic interactions with arbuscular mycorrhizal fungi, which can retain 40–70% of metals in roots and reduce translocation to shoots. At the molecular level, MAPK (Mitogen-Activated Protein Kinase) signaling pathways, transcription factors (e.g., WRKY, MYB, bZIP, and NAC), and phytohormonal crosstalk regulate the expression of stress-responsive genes expression to enhance HM stress tolerance. Advances in nanotechnology offer promising strategies for the remediation of HM-contaminated soils and water sources (HM remediation); engineered and biogenic nanoparticles (e.g., ZnO, Fe3O4) improve metal immobilization, reduce bioavailability, and enhance plant growth by 15–35% under HM stresses, although excessive doses may induce phytotoxicity. Future applications of nanotechnology in HM remediation should consider nanoparticle transformation (e.g., dissolution and agglomeration) and environmentally relevant concentrations to ensure efficacy and minimize phytotoxicity. Integrating phytoremediation with nanoparticle-enabled strategies provides a sustainable approach for HM remediation. This review emphasizes the need for a multidisciplinary framework linking plant science, biotechnology, and nanoscience to advance HM remediation and safeguard agricultural productivity. Full article
Show Figures

Figure 1

20 pages, 1635 KB  
Article
Influence of Long-Term Fertilization on Carbon, Nitrogen, and Phosphorus Allocation and Homeostasis in Cotton Under the Regulation of Phosphorus Availability
by Xihe Wang, Jinyu Yang, Hua Liu, Xiaohui Qu and Wanli Xu
Agronomy 2025, 15(12), 2886; https://doi.org/10.3390/agronomy15122886 - 16 Dec 2025
Viewed by 175
Abstract
Ecological stoichiometry offers critical insights into nutrient dynamics and soil–plant interactions in agroecosystems. To explore the effects of long-term fertilization on soil–cotton C, N, P stoichiometry and stoichiometric homeostasis in arid gray desert soils, this study was conducted at a national gray desert [...] Read more.
Ecological stoichiometry offers critical insights into nutrient dynamics and soil–plant interactions in agroecosystems. To explore the effects of long-term fertilization on soil–cotton C, N, P stoichiometry and stoichiometric homeostasis in arid gray desert soils, this study was conducted at a national gray desert soil monitoring station in Xinjiang (87°28′27″ E, 43°56′32″ N, elevation: 595 m a.s.l.)—an arid and semi-arid region with an annual mean temperature of 5–8 °C and annual precipitation of 100–200 mm. Established in 1989, the 31-year experiment adopted a wheat–maize–cotton annual rotation system with six treatments: CK (control, no fertilizer), N (nitrogen fertilizer alone), NK (nitrogen + potassium fertilizer), NP (nitrogen + phosphorus fertilizer), PK (phosphorus + potassium fertilizer), and NPK (nitrogen + phosphorus + potassium fertilizer). Key results showed that balanced NPK fertilization significantly increased soil organic carbon (SOC) by 22.7% and soil total phosphorus (STP) by 48.6% compared to CK, while the N-only treatment elevated soil N:P to 3.2 (a 68.4% increase vs. CK), indicating severe phosphorus limitation. For cotton, NPK increased seed phosphorus content by 68.2% (vs. N treatment) but reduced straw carbon content by 10.2% (vs. PK treatment), reflecting a carbon allocation trade-off from vegetative to reproductive organs under nutrient sufficiency. Stoichiometric homeostasis differed between organs: seeds maintained stricter carbon regulation (1/H = −0.40) than straw (1/H = −0.64), while straw exhibited more plastic N:P ratios (1/H = 1.95), highlighting organ-specific adaptive strategies to nutrient supply. Redundancy analysis confirmed that soil available phosphorus (AP) was the primary driver of cotton P uptake and yield formation. The seed cotton yield of NPK (5796.9 kg ha−1) was 111.7% higher than CK, with NP (N-P co-application) achieving a 94.7% yield increase vs. CK—only 7.9% lower than NPK, whereas single N application showed the lowest straw yield (5995.0 kg ha−1) and limited yield improvement. These findings demonstrate that long-term balanced NPK fertilization optimizes soil C-N-P stoichiometric balance by enhancing SOC sequestration and phosphorus retention, regulating cotton organ-specific stoichiometric homeostasis, and promoting efficient nutrient uptake and assimilate translocation. The study confirms that phosphorus is the key limiting factor in arid gray desert soil cotton systems, and balanced NPK supply is essential to mitigate stoichiometric imbalances and sustain soil fertility and productivity. This provides targeted practical guidance for rational fertilization management in arid agroecosystems, emphasizing the need to prioritize phosphorus supply and avoid single-nutrient application to maximize resource use efficiency. Full article
Show Figures

Figure 1

18 pages, 3642 KB  
Article
Accumulation and Distribution Characteristics of Cd in the Soil-Lilium System and the Remediation Mechanism by Soil Amendments
by Yimin Zhou, Yulang Yan, Jiaxiang Wang, Yayuan Huang, Xinqi Wang, Bingyu Li and Ming Lei
Plants 2025, 14(24), 3798; https://doi.org/10.3390/plants14243798 - 13 Dec 2025
Viewed by 192
Abstract
This study investigated the accumulation and distribution of cadmium (Cd) in the Soil-Lilium system and researched the effects and mechanisms of applying oyster shell powder (OSP) and organic fertilizer (OF) on reducing Cd accumulation and enhancing Lilium yield. The results showed that [...] Read more.
This study investigated the accumulation and distribution of cadmium (Cd) in the Soil-Lilium system and researched the effects and mechanisms of applying oyster shell powder (OSP) and organic fertilizer (OF) on reducing Cd accumulation and enhancing Lilium yield. The results showed that the total Cd content in soils across different planting regions was below 0.3 mg·kg−1, while the Cd content in Lilium bulbs ranged from 0.44 mg·kg−1 to 1.35 mg·kg−1, indicating a consistent trend of Cd accumulation in Lilium bulbs. Cd contents were highest in the leaves and lowest in the bulbs, suggesting a strong translocation of Cd from the roots to the aerial parts. Both OSP and OF treatments improved Lilium growth and reduced Cd accumulation in the bulbs. OF significantly increased bulb yield by 62.5%, while OSP effectively reduced Cd content in the bulbs to 0.30 mg·kg−1, below the regulatory safety threshold. OSP mitigated Cd accumulation by decreasing the availability of Cd in the soil and by competing with Cd for root uptake via its abundant Ca2+ ions. OF reduced Cd accumulation in the bulb by enhancing Cd sequestration in the fibrous roots and promoting its translocation away from the bulb. This study provides new insights into Cd dynamics in the Soil-Lilium system and offers practical strategies for producing Lilium safely. Full article
(This article belongs to the Special Issue Plant Ecotoxicology and Remediation Under Heavy Metal Stress)
Show Figures

Figure 1

22 pages, 2836 KB  
Article
Phytoremediation Efficiency of Hemp and Sorghum Grown in Contaminated Sediment: The Role of Organic Acids
by Nina Đukanović, Jelena Beljin, Tijana Zeremski, Nadežda Stojanov, Stanko Milić, Marijana Kragulj Isakovski and Snežana Maletić
Agronomy 2025, 15(12), 2863; https://doi.org/10.3390/agronomy15122863 - 12 Dec 2025
Viewed by 306
Abstract
The sustainable management of dredged sediments contaminated with heavy metals represents a major environmental challenge. This study evaluated the phytoremediation potential of hemp (Cannabis sativa L.) and sorghum (Sorghum bicolor L.) cultivated in metal-enriched sediment from the Bega Canal (Cu = [...] Read more.
The sustainable management of dredged sediments contaminated with heavy metals represents a major environmental challenge. This study evaluated the phytoremediation potential of hemp (Cannabis sativa L.) and sorghum (Sorghum bicolor L.) cultivated in metal-enriched sediment from the Bega Canal (Cu = 204 mg kg−1, Pb = 171 mg kg−1, Cr = 281 mg kg−1, Ni = 56 mg kg−1, Cd = 6.8 mg kg−1) and examined the effects of glutamic (GA) and tartaric (TA) acids (20 mmol kg−1) on sediment properties and metal uptake. Pot experiments under natural conditions (n = 3, 6–8 weeks) showed that GA treatment resulted in cation exchange capacity (CEC) values ranging from 31.0 to 58.5 cmolc kg−1, which were lower than in the initial sediment (60.7 cmolc kg−1) but still higher than in the corresponding controls and TA treatments. GA also increased electrical conductivity from 435 to 1189 µS cm−1, which may indicate enhanced ion mobility and be consistent with redox-related processes, whereas TA maintained near-neutral pH (8.0–8.2) and caused only minor changes in CEC and EC, preserving overall structural stability. Hemp produced up to 40% more biomass than sorghum and allocated a relatively larger share of Cu, Pb and Cd to shoots, whereas sorghum retained up to 80% of total Cr and Ni in roots. Bioaccumulation factors ranged from 4.3 for Cu in hemp (GA) to 20.8 for Cu in sorghum (GA), while translocation factors remained <1.0 in both species, indicating that root-based phytostabilization was the dominant mechanism. The results demonstrate that combining low-molecular-weight organic acids with energy crops can effectively enhance metal mobility and plant uptake, offering a viable route for sediment remediation and biomass valorization within circular economy strategies. Full article
(This article belongs to the Section Agricultural Biosystem and Biological Engineering)
Show Figures

Figure 1

14 pages, 1139 KB  
Article
Phytoremediation of Nickel-Contamination Using Helianthus annuus L. in Mediterranean Conditions
by Ada Cristina Ranieri, Luigi Lopopolo, Gianfranco D’Onghia, José Alberto Herrera Melián, Francesca Ranieri, Sarah Gregorio and Ezio Ranieri
Environments 2025, 12(12), 487; https://doi.org/10.3390/environments12120487 - 11 Dec 2025
Viewed by 312
Abstract
Nickel contamination poses a serious risk to ecosystems and human health. Phytoremediation provides a sustainable solution. This study evaluates the ability of Helinathus annuus L. to tolerate and accumulate nickel under simulated Mediterranean and semi-arid conditions, representing a short-term contamination event with nickel-enriched [...] Read more.
Nickel contamination poses a serious risk to ecosystems and human health. Phytoremediation provides a sustainable solution. This study evaluates the ability of Helinathus annuus L. to tolerate and accumulate nickel under simulated Mediterranean and semi-arid conditions, representing a short-term contamination event with nickel-enriched irrigation. Laboratory experiments assessed growth, tolerance, and Ni distribution within plant tissues. Results showed that Ni uptake increased with concentration, mainly in roots, while translocation to aerial parts remained limited. The bioconcentration factors ranged from 1.32 to 2.55, and the translocation factors from 0.46 to 0.60, indicating efficient uptake but restricted metal mobility. Higher water availability enhanced Ni absorption, suggesting that soil moisture facilitates metal transport and root activity. Helinathus annuus L. demonstrated good tolerance at moderate Ni levels but reduced growth and accumulation efficiency at higher concentrations, confirming its potential for phytostabilization in Mediterranean soils affected by metal contamination. Full article
Show Figures

Figure 1

16 pages, 2122 KB  
Article
Synergistic Toxicity Reduction of Cadmium in Rice Grains by Foliar Co-Application of Nano-Silica and Surfactants
by Jihao Kang, Pengyue Yu, Zhi Huang, Zhenglong Tong, Ruimin Chang, Zhiyan Xie, Shiyu Gui and Ying Huang
Toxics 2025, 13(12), 1047; https://doi.org/10.3390/toxics13121047 - 2 Dec 2025
Viewed by 435
Abstract
Cadmium (Cd) accumulation in rice poses a serious threat to global food safety and human health. Foliar application of nano-silica (Si) offers a promising remediation strategy, but its efficacy is often limited by poor droplet retention on hydrophobic leaf surfaces. This study hypothesized [...] Read more.
Cadmium (Cd) accumulation in rice poses a serious threat to global food safety and human health. Foliar application of nano-silica (Si) offers a promising remediation strategy, but its efficacy is often limited by poor droplet retention on hydrophobic leaf surfaces. This study hypothesized that surfactants could overcome this barrier by enhancing the foliar performance of nano-Si. Through field experiments, we evaluated the synergistic effects of five surfactants (Polyvinylpyrrolidone (PVP) powder, Aerosol OT (AOT), Rhamnolipid (RH), Didecyldimethylammonium bromide (DDAB), and Alkyl Polyglycoside (APG)) when combined with nano-silica. The results demonstrated that all surfactants significantly improved wetting and retention, with alkyl polyglycoside (APG) and polyvinylpyrrolidone (PVP) being the most effective. These improvements translated into a remarkable suppression of Cd translocation within rice plants. The PVP–nano-Si combination emerged as the most potent treatment, reducing grain Cd content by 50% and achieving the lowest levels of As and Cr among all treatments. Furthermore, this synergistic effect was linked to a significant increase in grain concentrations of manganese (Mn) and zinc (Zn), which exhibit a competitive relationship with Cd. The findings reveal that surfactant co-application not only optimizes the physical application of nano-Si but also triggers beneficial nutrient–Cd interactions, providing a novel and efficient strategy for mitigating Cd contamination in rice. This study provides critical theoretical support for developing efficient and environmentally friendly foliar barrier technologies and supports safe production of rice in lightly to moderately contaminated paddy fields. Full article
(This article belongs to the Special Issue Heavy Metals and Pesticide Residue Remediation in Farmland)
Show Figures

Graphical abstract

21 pages, 4280 KB  
Article
Functional Insights into SlNPF, SlNRT2, and SlAMT Gene Families in Tomato: Leaf Metabolic Performance Controls Root-to-Shoot Nitrogen Partitioning
by Juan Pablo Ledesma-Valladolid, Mayra Isabel Niño-González, Guadalupe Xóchitl Malda-Barrera, Ángel Ramón Flores-Sosa, Juan Ramiro Pacheco-Aguilar, Gerardo Manuel Nava-Morales and Edmundo Mateo Mercado-Silva
Plants 2025, 14(23), 3642; https://doi.org/10.3390/plants14233642 - 29 Nov 2025
Viewed by 352
Abstract
Low Nitrogen Use Efficiency (NUE) remains a critical agricultural challenge, as an estimated 50–70% of applied nitrogen (N) is lost, resulting in negative environmental impacts and reduced crop production. To elucidate molecular mechanism controlling NUE in tomato (Solanum lycopersicum), we conducted [...] Read more.
Low Nitrogen Use Efficiency (NUE) remains a critical agricultural challenge, as an estimated 50–70% of applied nitrogen (N) is lost, resulting in negative environmental impacts and reduced crop production. To elucidate molecular mechanism controlling NUE in tomato (Solanum lycopersicum), we conducted a comprehensive genomic, transcriptomic, and functional analysis of the NPF, NRT2, and AMT transporter families under high-N commercial supply conditions. Our integrated analysis identified a shoot-to-root signaling mechanism where the plant’s metabolic performance systematically regulates N transport capacity. Under N sufficiency, the shoot exhibited reduced N assimilation, evidenced by NO3 accumulation (increased by 55.7%) and reduced Nitrate Reductase (NR) and Glutamine Synthetase (GS) activities (54.0% and 43.2% reduction, respectively), which correlated with a 42.3% reduction in chlorophyll synthesis capacity. This reduction in metabolic demand systematically triggered the downregulation of the key long-distance SlNPF transporters, SlNPF2.13 and SlNPF7.3, restricting N translocation and promoting significant root N accumulation (increased by 41.8%). Our data established that the leaf metabolic state is the systemic regulator of N transport and identified SlNPF2.13 and SlNPF7.3 as pivotal molecular checkpoints. These findings indicate that the manipulation of these transporters could serve as a valuable tool in molecular breeding programs to significantly enhance NUE in commercial tomato varieties. Full article
(This article belongs to the Section Plant Physiology and Metabolism)
Show Figures

Figure 1

18 pages, 3324 KB  
Article
Phytoremediation of Heavy Metal-Contaminated Soil Using Drought-Adapted Sweet Sorghum (Sorghum bicolor L.) in Arid Regions of Kazakhstan
by Aigerim M. Sagimbayeva, Nasya B. Tomlekova, Galymzhan A. Saparov, Yergali O. Abduraimov, Aslan A. Kerimbayev, Sergazy Sh. Nurabayev, Nurika N. Assanzhanova, Nurlan Zh. Akmyrzayev, Konirsha M. Iskakova, Aiman Sh. Omarova and Bakytzhan B. Anapiyayev
Plants 2025, 14(23), 3627; https://doi.org/10.3390/plants14233627 - 28 Nov 2025
Viewed by 420
Abstract
Soil contamination with heavy metals is a persistent challenge in the arid regions of Kazakhstan. This study evaluates the phytoremediation potential of sweet sorghum (Sorghum bicolor L.), a drought-tolerant crop with a well-developed root system, using a combination of in vitro and [...] Read more.
Soil contamination with heavy metals is a persistent challenge in the arid regions of Kazakhstan. This study evaluates the phytoremediation potential of sweet sorghum (Sorghum bicolor L.), a drought-tolerant crop with a well-developed root system, using a combination of in vitro and analytical approaches. In vitro culture of somatic cells revealed clear genotype-dependent differences in callus induction and morphogenesis, with Hybrid-2 and SAB-3 exhibiting the highest regenerative capacity and thus the greatest suitability for further biotechnological improvement and stress-tolerance selection. Analysis of metal distribution, based on atomic absorption spectroscopy (AAS), demonstrated that S. bicolor predominantly retained Pb, Cd, and Co in the root system. Cobalt accumulated to 12.7 ± 1.32 mg/kg under 1 MAC and 16.87 ± 2.78 mg/kg under 2 MAC, accounting for more than half of the metal absorbed by plants. Cadmium showed a similar root-dominant pattern, whereas lead exhibited the lowest mobility and remained almost entirely sequestered in roots, with translocation factors consistently below unity (TF < 1). Overall, these findings confirm the suitability of sweet sorghum as an environmentally sustainable species for the phytostabilization of Pb-, Cd-, and Co-contaminated soils in arid environments and highlight the value of genotype pre-selection under stress conditions for optimizing phytoremediation performance. Full article
(This article belongs to the Topic Effect of Heavy Metals on Plants, 2nd Volume)
Show Figures

Figure 1

17 pages, 2576 KB  
Article
Iron–Zinc Synergy Blocks Cadmium Translocation in Rice: Minimizing Grain Contamination
by Shaohui Sun, Yunhe Xie, Shengying Ji, Jiamei Wu, Feiying Zhu, Xionghui Ji and Di Guan
Agronomy 2025, 15(12), 2740; https://doi.org/10.3390/agronomy15122740 - 27 Nov 2025
Viewed by 495
Abstract
Cadmium (Cd) pollution severely constrains safe rice production and threatens food security. Leveraging Fe–Zn competitive antagonism to mitigate crop Cd accumulation is a green, sustainable remediation strategy. Based on our hypothesis, we proposed that combined Fe–Zn pretreatment in seedlings and foliar spraying during [...] Read more.
Cadmium (Cd) pollution severely constrains safe rice production and threatens food security. Leveraging Fe–Zn competitive antagonism to mitigate crop Cd accumulation is a green, sustainable remediation strategy. Based on our hypothesis, we proposed that combined Fe–Zn pretreatment in seedlings and foliar spraying during the reproductive period would reduce Cd accumulation in brown rice by inhibiting root uptake, impeding translocation, and enhancing vacuolar sequestration in flag leaves. A two-year, three-season field experiment was conducted in the Cd-contaminated double-cropping rice planting area in Hunan Province. Three treatments were applied: conventional (CK), Fe–Zn pretreatment at seedling stage (FZ), and Fe–Zn pretreatment + tillering and heading spraying (FZS). This study demonstrated that FZS reduced brown rice Cd by 25%, primarily by enhancing root retention (root Cd reduced by 17–19%) and flag leaf vacuolar sequestration (flag leaf Cd 31% higher than old leaves). FZS further decreased stem–leaf Cd by 47–54% and lowered the husk-to-grain transfer coefficient from 0.22 to 0.17. Multivariate analysis identified flag leaf interception (β = −0.25) as the dominant factor regulating grain Cd, followed by panicle accumulation (β = 0.122) and Fe–Zn dosage (β = −0.061). Integrated Fe–Zn treatment blocked soil-to-grain Cd transfer via physiological barriers and flag leaf sequestration. Full article
(This article belongs to the Section Soil and Plant Nutrition)
Show Figures

Graphical abstract

18 pages, 1580 KB  
Article
Beyond Conventional Fertilizer: Tannin–Chlorella vulgaris Blends as Biostimulants for Growth and Yield Enhancement of Strawberry (Fragaria x ananassa Duch)
by Cristiana Giordano, Francesca Ugolini, Cecilia Faraloni, Aldo Dal Prà, Francesco Sabatini, Francesco Meneguzzo and Raffaella Petruccelli
Agriculture 2025, 15(23), 2459; https://doi.org/10.3390/agriculture15232459 - 27 Nov 2025
Viewed by 335
Abstract
The increasing demand for sustainable agricultural practices has led to the exploration of natural biostimulants. This study investigates the effects of tannin extracts obtained via hydrodynamic cavitation and Chlorella vulgaris microalgae on the growth and physiological performance of strawberry (Fragaria x ananassa [...] Read more.
The increasing demand for sustainable agricultural practices has led to the exploration of natural biostimulants. This study investigates the effects of tannin extracts obtained via hydrodynamic cavitation and Chlorella vulgaris microalgae on the growth and physiological performance of strawberry (Fragaria x ananassa Duch) plants. A preliminary phytotoxicity test using Lepidium sativum L. confirmed the safety of the tannin water extract. Subsequently, two main experiments were conducted: the first identified the optimal tannin concentration, while the second assessed the individual and combined effects of tannins and C. vulgaris on strawberry plants. The results show that tannin water extract at double concentration of the commercial tannin (54% T.E.) significantly increased leaf dry biomass by 75% and doubled the number of main roots compared to the control. In the second experiment, C. vulgaris at 50% concentration (C1) enhanced fresh leaf biomass by 14% and fresh roots by 20%, while tannin extract (T) showed a declining effect on plant biomass as compared to the control. Positive effects were also observed for root growth in the combined treatment T+C1, with 32% fresh root biomass more than in the control. Regarding fruit, C1 maintained high fruit yield from the beginning of the experiment until September, while T+C1 showed a marked rising trend, reaching a comparable number of fruits to C1, about twofold more than the control. A chemical analysis of the main micro- and macro-elements in roots and leaves resulted in T+C1 having the highest content of Zn and Fe and C1 having the highest content of Fe and K (the latter only in the leaves) as compared to other treatments. In contrast, T+C1 showed about 50% less P and K in the leaves than in C. vulgaris treatments. In addition, in the tannin treatment, microelements such as Fe and Zn accumulated in the roots, evidencing absorption from the soil, but low translocation to the leaves. However, all treatments showed similar photosynthetic performance in terms of leaf gas exchange and chlorophyll fluorescence. These findings suggest that extracts of C. vulgaris and tannins or their blends represent a promising strategy for improving crop productivity and resilience in a sustainable manner. Full article
(This article belongs to the Topic Biostimulants in Agriculture—2nd Edition)
Show Figures

Figure 1

Back to TopTop