Sign in to use this feature.

Years

Between: -

Subjects

remove_circle_outline
remove_circle_outline
remove_circle_outline

Journals

Article Types

Countries / Regions

Search Results (23)

Search Parameters:
Keywords = traction bronchiectasis

Order results
Result details
Results per page
Select all
Export citation of selected articles as:
10 pages, 237 KB  
Article
Characterizing Race-Based Differences in Antisynthetase Syndrome Interstitial Lung Disease
by Faye Pais, Caroline M. Cook, Stephen Simeone, Jessica A. Peterson, Kristina Akopyan, Maya Shamash, Christopher Harden, Bruno Hochhegger, Raju Reddy and Diana C. Gomez-Manjarres
Biomedicines 2026, 14(3), 543; https://doi.org/10.3390/biomedicines14030543 - 27 Feb 2026
Viewed by 307
Abstract
Background: Interstitial lung disease (ILD) is the most serious manifestation of antisynthetase syndrome (ASyS). Limited research has explored racial differences in the clinical presentation and outcomes of ASyS-ILD. This study compared clinical manifestations, pulmonary function, and outcomes between Black and White patients [...] Read more.
Background: Interstitial lung disease (ILD) is the most serious manifestation of antisynthetase syndrome (ASyS). Limited research has explored racial differences in the clinical presentation and outcomes of ASyS-ILD. This study compared clinical manifestations, pulmonary function, and outcomes between Black and White patients with ASyS-ILD. Methods: A retrospective analysis was conducted using electronic health records from 2010 to 2020. Patients diagnosed with ILD and positive antisynthetase antibodies were included (N = 66; 34 Black and 32 White). Demographics, comorbidities, clinical features, pulmonary function tests, chest imaging, and clinical outcomes were compared between races. Results: Black patients were younger at diagnosis (49.1 ± 10.8 vs. 55.1 ± 12.9 years, p = 0.043) and had reduced pulmonary function (p < 0.01). Black patients also had a higher prevalence of traction bronchiectasis (96.6% vs. 73.1%, p = 0.012) and obstructive sleep apnea (p = 0.025). There were no differences in the frequency of hospitalizations, intensive care unit admissions, or deaths between groups. Myositis was common in both groups, and the distribution of antisynthetase antibodies did not differ by race (p = 0.333). Conclusions: Black patients are younger at diagnosis, have reduced lung function, and have increased traction bronchiectasis compared to White patients with ASyS-ILD. There is a higher prevalence of obstructive sleep apnea amongst Black patients without differences in body mass index. There was no difference in mortality and the need for lung transplantation. This study highlights several key differences between Black and White patients with ASyS-ILD. Longitudinal prospective studies are crucial to rigorously investigate race-based differences in morbidity, mortality, and long-term outcomes among patients with ASyS-ILD. Full article
(This article belongs to the Section Molecular and Translational Medicine)
10 pages, 1836 KB  
Article
The Role of High-Resolution Lung Computed Tomography to Distinguish Between Fibrosing Hypersensitivity Pneumonitis and Usual Interstitial Pneumonia
by Dmitry A. Kuleshov, Svetlana Yu. Chikina, Galina V. Nekludova, Igor E. Tyurin and Sergey N. Avdeev
Life 2025, 15(12), 1867; https://doi.org/10.3390/life15121867 - 5 Dec 2025
Viewed by 809
Abstract
Background: Hypersensitivity pneumonitis (HP) is an interstitial lung disease (ILD) caused by repeated exposure to inhaled antigens in susceptible subjects. High-resolution computed tomography (HRCT) of the lungs is the leading diagnostic method for ILDs, but in some cases HRCT findings are not [...] Read more.
Background: Hypersensitivity pneumonitis (HP) is an interstitial lung disease (ILD) caused by repeated exposure to inhaled antigens in susceptible subjects. High-resolution computed tomography (HRCT) of the lungs is the leading diagnostic method for ILDs, but in some cases HRCT findings are not sufficient to distinguish HP and other ILDs, particularly, fibrotic HP (fHP) and usual interstitial pneumonia (UIP). Objective: The aim of this study was to develop HRCT criteria to diagnose fHP in patients with a UIP-like pattern. Methods: In this retrospective study, we analyzed HRCT scans of patients with fHP and a UIP-like pattern who underwent lung biopsy, and patients with idiopathic pulmonary fibrosis (IPF) and a UIP pattern in HRCT. Results: We included 51 patients with confirmed fHP and 24 patients with IPF/UIP in the analysis. IPF/UIP patients were older, were prevalently males, and did not have any systemic autoimmune diseases or risk factors for other ILDs. fHP patients were younger, with an equal number of males and females, and were more likely to be exposed to environmental antigens. HRCT abnormalities in the fHP group predominated in the lower lung areas or were diffuse in axial scans, whereas IPF/UIP patients mostly demonstrated a diffuse craniocaudal distribution and subpleural axial predominance. Centrilobular nodules and mosaic attenuation were present significantly more often in the fHP group; honeycombing, traction bronchiectasis, and emphysema prevailed in IPF/UIP patients. In the logistic regression analysis, patients with fHP and IPF/UIP differed in the presence of centrilobular nodules, honeycombing, and in both craniocaudal and axial distributions of HRCT abnormalities. In the ROC analysis, the combination of centrilobular nodules, honeycombing, and diffuse axial and craniocaudal distributions can predict the diagnosis of fHP (AUC, 0.953 ± 0.022; 95%CI, 0.910–0.995; p < 0.001). Mosaic attenuation and reticulation did not change the probability of fHP. Conclusions: The most significant HRCT features of fHP compared to the UIP pattern were centrilobular nodules, honeycombing, and a diffuse axial and craniocaudal distribution of abnormal findings. Reticulation, mosaic attenuation, and GGO do not increase the probability of fHP. Full article
(This article belongs to the Section Medical Research)
Show Figures

Figure 1

14 pages, 476 KB  
Article
Assessment of the Abnormalities in Chest Computed Tomography and Pulmonary Function Test in Convalescents Six Months After COVID-19
by Katarzyna Guziejko, Anna Moniuszko-Malinowska, Robert Flisiak, Piotr Czupryna, Sebastian Sołomacha, Paweł Sowa, Marlena Dubatówka, Magda Łapińska, Łukasz Kiszkiel, Łukasz Szczerbiński, Piotr Paweł Laskowski, Maciej Alimowski, Gabriela Trojan and Karol Adam Kamiński
Medicina 2025, 61(5), 823; https://doi.org/10.3390/medicina61050823 - 29 Apr 2025
Viewed by 1178
Abstract
Background: Despite the multiple waves of the COVID-19 pandemic, follow-up strategies for recovered patients remain inconclusive. This study aimed to evaluate chest computed tomography (CT) and pulmonary function test (PFT) abnormalities in convalescents six months after COVID-19 and to compare these findings with [...] Read more.
Background: Despite the multiple waves of the COVID-19 pandemic, follow-up strategies for recovered patients remain inconclusive. This study aimed to evaluate chest computed tomography (CT) and pulmonary function test (PFT) abnormalities in convalescents six months after COVID-19 and to compare these findings with those from a representative population cohort. The goal was to support more individualized pulmonary management of post-COVID-19 sequelae. Methods: This study population consisted of 2 groups: I—232 post-COVID-19 patients and II—543 patients from a population cohort. Chest CT was performed during the acute phase of COVID-19 and six months after. The PFTs were conducted six months after COVID-19. Results: There were no significant differences in FEV1, FVC, TLC, and DLCO in the two study groups. A singular GGO in 24 patients (20%), a crazy paving pattern in 1 patient (0.8%), thickening of interlobular septa in 4 patients (3.5%), consolidations in 4 patients (3.5%), traction bronchiectasis in 6 patients (5%), fibrosis in 6 patients (5%), and singular nodular densities in 68 patients (58%) were observed in chest CT 6 months after COVID-19. Most radiological abnormalities were clinically insignificant and did not require further diagnostic evaluation. No significant differences in chest CT and PFT six months after infection were observed between patients differing in the severity of inflammation during the acute disease or SARS-CoV-2 variant. Conclusions: The majority of chest CT abnormalities resolved within six months of recovery, regardless of SARS-CoV-2 variant or initial disease severity. Pulmonary function tests should be prioritized in post-COVID-19 follow-up, as PFT results in convalescents were comparable to those observed in the general population. Full article
Show Figures

Figure 1

11 pages, 2823 KB  
Article
Long-Term Effects of COVID-19: Analysis of Imaging Findings in Patients Evaluated by Computed Tomography from 2020 to 2024
by Zeynep Keskin, Mihrican Yeşildağ, Ömer Özberk, Kemal Ödev, Fatih Ateş, Bengü Özkan Bakdık and Şehriban Çağlak Kardaş
Tomography 2025, 11(5), 49; https://doi.org/10.3390/tomography11050049 - 24 Apr 2025
Cited by 5 | Viewed by 1723
Abstract
Background: This study aims to systematically evaluate the findings from computed tomography (CT) examinations conducted at least three months post-diagnosis of COVID-19 in patients diagnosed between 2020 and 2024. Objective: To determine the frequency and characteristics of CT findings in the post-COVID-19 period, [...] Read more.
Background: This study aims to systematically evaluate the findings from computed tomography (CT) examinations conducted at least three months post-diagnosis of COVID-19 in patients diagnosed between 2020 and 2024. Objective: To determine the frequency and characteristics of CT findings in the post-COVID-19 period, analyze long-term effects on lung parenchyma, and contribute to the development of clinical follow-up and treatment strategies based on the collected data. Materials and Methods: Ethical approval was obtained for this retrospective study, and individual consent was waived. A total of 76 patients were included in the study, aged 18 and older, diagnosed with COVID-19 between March 2020 and November 2024, who underwent follow-up chest CT scans at 3–6 months, 6–12 months, and/or 12 months post-diagnosis. CT images were obtained in the supine position without contrast and evaluated by two experienced radiologists using a CT severity score (CT-SS) system, which quantifies lung involvement. Statistical analyses were performed using IBM SPSS 23.0, with significance set at p < 0.05. Results: The results indicated a mean CT-SS of 10.58 ± 0.659. Significant associations were found between age, CT scores, and the necessity for intensive care or mechanical ventilation. The most common CT findings included ground-glass opacities, reticular patterns, and traction bronchiectasis, particularly increasing with age and over time. Conclusion: This study emphasizes the persistent alterations in lung parenchyma following COVID-19, highlighting the importance of continuous monitoring and tailored treatment strategies for affected patients to improve long-term outcomes. Full article
Show Figures

Figure 1

14 pages, 3278 KB  
Article
Comparison of Chest High-Resolution Computed Tomography Findings in Patients with Anti-Melanoma Differentiation-Associated Gene 5 Antibody-Positive and Antibody-Negative Progressive Pulmonary Fibrosis with Polymyositis/Dermatomyositis
by Noboro Sato, Takuya Kotani, Mitsuhiro Koyama, Shogo Matsuda, Aya Sakamoto, Yoshihiro Shou, Katsumasa Oe, Tohru Takeuchi and Keigo Osuga
J. Clin. Med. 2025, 14(5), 1601; https://doi.org/10.3390/jcm14051601 - 27 Feb 2025
Cited by 3 | Viewed by 1210
Abstract
Background/Objectives: This study compared chest high-resolution computed tomography (HRCT) findings between patients with anti-melanoma differentiation-associated gene 5 (MDA5) antibody-positive and antibody-negative progressive pulmonary fibrosis (PPF) with polymyositis/dermatomyositis (PM/DM). Methods: Of the 85 patients with PM/DM-interstitial lung disease (ILD), 17 were anti-MDA5 [...] Read more.
Background/Objectives: This study compared chest high-resolution computed tomography (HRCT) findings between patients with anti-melanoma differentiation-associated gene 5 (MDA5) antibody-positive and antibody-negative progressive pulmonary fibrosis (PPF) with polymyositis/dermatomyositis (PM/DM). Methods: Of the 85 patients with PM/DM-interstitial lung disease (ILD), 17 were anti-MDA5 antibody-positive, and 68 were antibody-negative. Among these, 5 anti-MDA5 antibody-positive and 9 antibody-negative cases met the criteria for PPF and were enrolled in the study. The chest HRCT findings and the duration from treatment initiation to the appearance of key fibrotic changes were analyzed. Results: In the anti-MDA5-positive group, all patients were diagnosed with PPF within 6 months of treatment initiation, compared to only 22.2% in the anti-MDA5-negative group. While there was no difference between the anti-MDA5 antibody-positive and antibody-negative groups in terms of chest HRCT findings associated with PPF, the duration to the appearance of increased traction bronchiectasis and bronchiolectasis, and new ground-glass opacity with traction bronchiectasis was significantly shorter in the anti-MDA5-positive group (p = 0.016 and p = 0.023, respectively). The appearance of new fine reticulations and increased coarseness of reticular abnormalities tended to be shorter in the anti-MDA5 antibody-positive group than in the antibody-negative group. Conclusions: Pulmonary fibrosis in patients with anti-MDA5 antibody-positive ILD can rapidly progress within 6 months, despite immunosuppressive therapy. Frequent HRCT monitoring and early combination therapy with antifibrotic agents are crucial for managing the progression of fibrosis. Full article
(This article belongs to the Section Respiratory Medicine)
Show Figures

Figure 1

9 pages, 1883 KB  
Article
Comparison of the Effects of Nintedanib and Pirfenidone on Pulmonary Function Test Parameters and Radiological Findings in Patients with Idiopathic Pulmonary Fibrosis: A Real-Life Study
by Olcay Aycicek, Serra Keskin, Muhammed Haciosmanoglu, Funda Oztuna, Yilmaz Bulbul and Tevfik Ozlu
Medicina 2025, 61(2), 283; https://doi.org/10.3390/medicina61020283 - 6 Feb 2025
Cited by 2 | Viewed by 5662
Abstract
Background and Objectives: The aim of our study is to compare the effects of pirfenidone and nintedanib on lung function and radiologic findings in Idiopathic Pulmonary Fibrosis and to identify which drug is more appropriate for which patient group. Materials and Methods: The [...] Read more.
Background and Objectives: The aim of our study is to compare the effects of pirfenidone and nintedanib on lung function and radiologic findings in Idiopathic Pulmonary Fibrosis and to identify which drug is more appropriate for which patient group. Materials and Methods: The data of patients who were treated in our department for at least one year between 1 January 2010 and 31 December 2022 and who were started on pirfenidone or nintedanib treatment with the diagnosis of Idiopathic Pulmonary Fibrosis were retrospectively reviewed. The patients were divided into two groups—the nintedanib and pirfenidone groups—and both groups were compared in terms of progression in lung function tests (changes in FEV1, FVC, 6 MWT and DLCO values at the 3rd, 6th, 9th and 12th months compared to baseline values) and radiological findings (the presence of progression in findings such as ground-glass opacity, reticulation, honeycomb and traction bronchiectasis) within 1 year after diagnosis. Results: The study included 109 patients. The number of patients treated with pirfenidone (IPF patients) was 82 (75.2%) and the number of patients treated with nintedanib was 27 (24.8%). When the PFT values at 3, 6, 9 and 12 months were compared with the baseline values in both groups, there was no statistically significant difference in any parameter between the two groups. No significant difference was found in terms of radiological progression at the end of 1 year in both groups. Conclusions: The results of our study show that pirfenidone and nintedanib are equivalent in their effectiveness in preventing disease progression in patients with IPF. Full article
(This article belongs to the Special Issue Diagnosis and Treatment of Interstitial Lung Disease)
Show Figures

Figure 1

14 pages, 1953 KB  
Article
Artificial Intelligence Unveils the Unseen: Mapping Novel Lung Patterns in Bronchiectasis via Texture Analysis
by Athira Nair, Rakesh Mohan, Mandya Venkateshmurthy Greeshma, Deepak Benny, Vikram Patil, SubbaRao V. Madhunapantula, Biligere Siddaiah Jayaraj, Sindaghatta Krishnarao Chaya, Suhail Azam Khan, Komarla Sundararaja Lokesh, Muhlisa Muhammaed Ali Laila, Vadde Vijayalakshmi, Sivasubramaniam Karunakaran, Shreya Sathish and Padukudru Anand Mahesh
Diagnostics 2024, 14(24), 2883; https://doi.org/10.3390/diagnostics14242883 - 21 Dec 2024
Cited by 2 | Viewed by 2422
Abstract
Background and Objectives: Thin-section CT (TSCT) is currently the most sensitive imaging modality for detecting bronchiectasis. However, conventional TSCT or HRCT may overlook subtle lung involvement such as alveolar and interstitial changes. Artificial Intelligence (AI)-based analysis offers the potential to identify novel information [...] Read more.
Background and Objectives: Thin-section CT (TSCT) is currently the most sensitive imaging modality for detecting bronchiectasis. However, conventional TSCT or HRCT may overlook subtle lung involvement such as alveolar and interstitial changes. Artificial Intelligence (AI)-based analysis offers the potential to identify novel information on lung parenchymal involvement that is not easily detectable with traditional imaging techniques. This study aimed to assess lung involvement in patients with bronchiectasis using the Bronchiectasis Radiologically Indexed CT Score (BRICS) and AI-based quantitative lung texture analysis software (IMBIO, Version 2.2.0). Methods: A cross-sectional study was conducted on 45 subjects diagnosed with bronchiectasis. The BRICS severity score was used to classify the severity of bronchiectasis into four categories: Mild, Moderate, Severe, and tractional bronchiectasis. Lung texture mapping using the IMBIO AI software tool was performed to identify abnormal lung textures, specifically focusing on detecting alveolar and interstitial involvement. Results: Based on the Bronchiectasis Radiologically Indexed CT Score (BRICS), the severity of bronchiectasis was classified as Mild in 4 (8.9%) participants, Moderate in 14 (31.1%), Severe in 11 (24.4%), and tractional in 16 (35.6%). AI-based lung texture analysis using IMBIO identified significant alveolar and interstitial abnormalities, offering insights beyond conventional HRCT findings. This study revealed trends in lung hyperlucency, ground-glass opacity, reticular changes, and honeycombing across severity levels, with advanced disease stages showing more pronounced structural and vascular alterations. Elevated pulmonary vascular volume (PVV) was noted in cases with higher BRICSs, suggesting increased vascular remodeling in severe and tractional types. Conclusions: AI-based lung texture analysis provides valuable insights into lung parenchymal involvement in bronchiectasis that may not be detectable through conventional HRCT. Identifying significant alveolar and interstitial abnormalities underscores the potential impact of AI on improving the understanding of disease pathology and disease progression, and guiding future therapeutic strategies. Full article
Show Figures

Figure 1

13 pages, 596 KB  
Article
Prognostic Implications of Initial Radiological Findings of Pulmonary Fibrosis in Patients with Acute SARS-CoV-2 Infection: A Prospective Multicentric Study
by Roxana-Elena Cîrjaliu, Sri Vidhya Gurrala, Balaji Nallapati, Vamsi Krishna, Cristian Oancea, Emanuela Tudorache, Monica Marc, Felix Bratosin, Iulia Bogdan, Ovidiu Rosca, Paula Irina Barata, Laurentiu Tony Hangan, Sergiu Ioachim Chirilă and Ariadna-Petronela Fildan
Diseases 2024, 12(11), 285; https://doi.org/10.3390/diseases12110285 - 8 Nov 2024
Cited by 2 | Viewed by 1694
Abstract
Pulmonary fibrosis detected during the acute phase of SARS-CoV-2 infection may significantly influence patient prognosis. This study aimed to evaluate the prognostic value of initial high-resolution computed tomography (HRCT) findings of pulmonary fibrosis in hospitalized COVID-19 patients and to examine how these findings [...] Read more.
Pulmonary fibrosis detected during the acute phase of SARS-CoV-2 infection may significantly influence patient prognosis. This study aimed to evaluate the prognostic value of initial high-resolution computed tomography (HRCT) findings of pulmonary fibrosis in hospitalized COVID-19 patients and to examine how these findings relate to disease severity and clinical outcomes, with a particular focus on the development and validation of predictive scoring systems. In this multicentric prospective cohort study from January 2023 to January 2024, 120 adult patients with confirmed SARS-CoV-2 infection requiring hospitalization were enrolled from two Romanian university hospitals. Patients were categorized based on the presence (n = 60) or absence (n = 60) of pulmonary fibrosis signs on admission HRCT scans, identified by reticular opacities, traction bronchiectasis, honeycombing, and architectural distortion. Biochemical analyses, severity scores (SOFA, APACHE II, NEWS 2), and novel compound scores combining clinical and radiological data were assessed. Patients with HRCT evidence of pulmonary fibrosis had significantly higher severity scores and worse clinical outcomes. The HRCT score alone was a strong predictor of severe COVID-19 (area under the ROC curve [AUC] = 0.885), with a best cutoff value of 9.72, yielding 85.7% sensitivity and 79.8% specificity. Compound Score 1, integrating SOFA, APACHE II, and HRCT scores, demonstrated excellent predictive performance with an AUC of 0.947, sensitivity of 92.5%, and specificity of 88.9%. Compound Score 2, combining systemic inflammation markers (SIRI, SII) and NEWS 2, also showed a strong predictive capability (AUC = 0.913), with 89.2% sensitivity and 85.7% specificity at the optimal cutoff. Regression analysis revealed that Compound Score 1 had the highest hazard ratio for severe COVID-19 outcomes (HR = 4.89; 95% CI: 3.40–7.05), indicating its superior prognostic value over individual markers and traditional severity scores. Initial HRCT findings of pulmonary fibrosis are significantly associated with increased disease severity in hospitalized COVID-19 patients. The HRCT score is a valuable prognostic tool, and, when combined with clinical severity scores into Compound Score 1, it enhances the prediction of severe COVID-19 outcomes with high sensitivity and specificity. These compound scores facilitate the early identification of high-risk patients, guiding clinical decision-making and optimizing patient management to improve outcomes. Full article
Show Figures

Figure 1

8 pages, 709 KB  
Article
Application of Forced Oscillation Technique in Assessing Pulmonary Fibrosis in Hermansky–Pudlak Syndrome
by Wilfredo De Jesús-Rojas, Luis Reyes-Peña, José Muñiz-Hernandez, Rolando Mena-Ventura, Gabriel Camareno-Soto, Gabriel Rosario-Ortiz, Marcos J. Ramos-Benitez, Monica Egozcue-Dionisi, Enid Rivera-Jimenez and Rosa Román-Carlo
Adv. Respir. Med. 2024, 92(6), 444-451; https://doi.org/10.3390/arm92060040 - 24 Oct 2024
Viewed by 2823
Abstract
Hermansky–Pudlak syndrome (HPS) is a rare autosomal recessive disorder characterized by defects in lysosome-related organelles. Given the high mortality rate associated with HPS pulmonary fibrosis (PF) and the significant risks tied to lung transplantation, it is essential to explore new tools for the [...] Read more.
Hermansky–Pudlak syndrome (HPS) is a rare autosomal recessive disorder characterized by defects in lysosome-related organelles. Given the high mortality rate associated with HPS pulmonary fibrosis (PF) and the significant risks tied to lung transplantation, it is essential to explore new tools for the early surveillance of PF to monitor its progression before clinical symptoms become apparent. This study evaluates the forced oscillation technique (FOT) for assessing PF in five adult patients with HPS, all homozygous for the HPS-1 (c.1472_1487dup p.His497Glnfs*90) founder mutation. Using the Resmon™ Pro V3 device, the FOT measured resistance (Rrs) and reactance (Xrs) at 5, 11, and 19 Hertz (Hz). High-resolution computed tomography (HRCT) scans of the chest were reviewed for radiographic findings. The cohort (n = 5) had a median age of 43 years. All patients exhibited HPS clinical features, including oculocutaneous albinism and respiratory symptoms such as dry cough and dyspnea. Radiographic analysis revealed PF in four patients (80%), with traction bronchiectasis, reticular patterns, honeycombing, and ground-glass opacities. The FOT detected progressive changes in pulmonary resistance and reactance correlating with fibrosis severity. These findings suggest that the FOT is a valuable non-invasive tool for monitoring PF in patients with HPS-1, potentially improving early diagnosis and management. Full article
Show Figures

Figure 1

12 pages, 607 KB  
Article
Functional Improvement at One Year in Fibrotic Interstitial Lung Diseases—Prognostic Value of Baseline Biomarkers and Anti-Inflammatory Therapies
by Guangyu Shao, Paul Thöne, Bernhard Kaiser, Bernd Lamprecht and David Lang
Diagnostics 2024, 14(14), 1544; https://doi.org/10.3390/diagnostics14141544 - 17 Jul 2024
Cited by 3 | Viewed by 1883
Abstract
Background: The clinical spectrum of fibrotic interstitial lung diseases (ILDs) is highly heterogeneous. We aimed to evaluate the prognostic value of widely available baseline biomarkers for the improvement of lung function in patients with fibrotic ILDs. Methods: This registry-based study included 142 patients [...] Read more.
Background: The clinical spectrum of fibrotic interstitial lung diseases (ILDs) is highly heterogeneous. We aimed to evaluate the prognostic value of widely available baseline biomarkers for the improvement of lung function in patients with fibrotic ILDs. Methods: This registry-based study included 142 patients with fibrotic ILDs as defined by the presence of reticulation, traction bronchiectasis or honeycombing on initial high-resolution computed tomography (HRCT). Functional improvement at 1 year was defined as a relative increase of 5% in forced vital capacity (FVC) or of 10% in diffusion capacity for carbon monoxide (DLCO). The prognostic value of baseline biomarkers was evaluated for all patients and the subgroup with anti-inflammatory treatment. Results: At one year, 44 patients showed improvement while 73 showed disease progression. Multivariate analyses found prognostic significance for age < 60 years (OR 5.4; 95%CI 1.9–15.4; p = 0.002), lactate dehydrogenase (LDH) >250 U/L (OR 2.5; 95%CI 1.1–5.8; p = 0.043) and blood monocyte count < 0.8 G/L (OR 3.5; 95%CI 1.1–11.3; p = 0.034). In 84 patients undergoing anti-inflammatory treatment, multivariate analysis revealed age < 60 years (OR 8.5 (95%CI 2.1–33.4; p = 0.002) as the only significant variable. Conclusion: Younger age, a higher LDH and lower blood monocyte count predicted functional improvement in fibrotic ILD patients, while in those treated with anti-inflammatory drugs, only age had significant implications. Full article
(This article belongs to the Special Issue Respiratory Diseases: Diagnosis and Management)
Show Figures

Figure 1

14 pages, 2040 KB  
Article
Lung Ultrasonography in the Evaluation of Late Sequelae of COVID-19 Pneumonia—A Comparison with Chest Computed Tomography: A Prospective Study
by Katarzyna Zimna, Małgorzata Sobiecka, Jacek Wakuliński, Dorota Wyrostkiewicz, Ewa Jankowska, Monika Szturmowicz and Witold Z. Tomkowski
Viruses 2024, 16(6), 905; https://doi.org/10.3390/v16060905 - 3 Jun 2024
Cited by 2 | Viewed by 1633
Abstract
The onset of the COVID-19 pandemic allowed physicians to gain experience in lung ultrasound (LUS) during the acute phase of the disease. However, limited data are available on LUS findings during the recovery phase. The aim of this study was to evaluate the [...] Read more.
The onset of the COVID-19 pandemic allowed physicians to gain experience in lung ultrasound (LUS) during the acute phase of the disease. However, limited data are available on LUS findings during the recovery phase. The aim of this study was to evaluate the utility of LUS to assess lung involvement in patients with post-COVID-19 syndrome. This study prospectively enrolled 72 patients who underwent paired LUS and chest CT scans (112 pairs including follow-up). The most frequent CT findings were ground glass opacities (83.3%), subpleural lines (72.2%), traction bronchiectasis (37.5%), and consolidations (31.9%). LUS revealed irregular pleural lines as a common abnormality initially (56.9%), along with subpleural consolidation >2.5 mm ≤10 mm (26.5%) and B-lines (26.5%). A strong correlation was found between LUS score, calculated by artificial intelligence percentage involvement in ground glass opacities described in CT (r = 0.702, p < 0.05). LUS score was significantly higher in the group with fibrotic changes compared to the non-fibrotic group with a mean value of 19.4 ± 5.7 to 11 ± 6.6, respectively (p < 0.0001). LUS might be considered valuable for examining patients with persistent symptoms after recovering from COVID-19 pneumonia. Abnormalities identified through LUS align with CT scan findings; thus, LUS might potentially reduce the need for frequent chest CT examinations. Full article
(This article belongs to the Special Issue COVID-19 and Pneumonia, 3rd Edition)
Show Figures

Figure 1

14 pages, 1498 KB  
Article
Periostin Is a Biomarker of Rheumatoid Arthritis-Associated Interstitial Lung Disease
by Goushi Matama, Masaki Okamoto, Kiminori Fujimoto, Takeshi Johkoh, Masaki Tominaga, Hiroshi Mukae, Noriho Sakamoto, Kosaku Komiya, Kenji Umeki, Masamichi Komatsu, Yasuo Shimizu, Koichiro Takahashi, Saeko Tokisawa, Yoshiaki Zaizen, Norikazu Matsuo, Takashi Nouno, Shinjiro Kaieda, Hiroaki Ida, Kenji Izuhara and Tomoaki Hoshino
J. Clin. Med. 2023, 12(22), 7100; https://doi.org/10.3390/jcm12227100 - 15 Nov 2023
Cited by 8 | Viewed by 3052
Abstract
Periostin was investigated as a biomarker for rheumatoid arthritis-associated interstitial lung disease (RA-ILD). This prospective study measured serum monomeric and total periostin, Klebs von den Lungen-6 (KL-6), surfactant protein D (SP-D), and lactate dehydrogenase (LDH) in 19 patients with RA-ILD, 20 RA without [...] Read more.
Periostin was investigated as a biomarker for rheumatoid arthritis-associated interstitial lung disease (RA-ILD). This prospective study measured serum monomeric and total periostin, Klebs von den Lungen-6 (KL-6), surfactant protein D (SP-D), and lactate dehydrogenase (LDH) in 19 patients with RA-ILD, 20 RA without ILD, and 137 healthy controls (HC). All biomarkers were higher in RA-ILD than HC or RA without ILD. KL-6 accurately detected ILD in RA patients (area under curve [AUC] = 0.939) and moderately detected SP-D and monomeric and total periostin (AUC = 0.803, =0.767, =0.767, respectively). Monomeric and total periostin were negatively correlated with normal lung area and positively correlated with honeycombing, reticulation, fibrosis score, and the traction bronchiectasis grade but not inflammatory areas. Serum levels of SP-D, KL-6, and LDH did not correlate with the extent of those fibrotic areas on high-resolution CT. Serum monomeric and total periostin were higher in patients with RA-ILD with definite usual interstitial pneumonia pattern compared with other ILD patterns. Immunohistochemical analyses of biopsy or autopsy lung tissues from RA-ILD during the chronic phase and acute exacerbation showed that periostin was expressed in fibroblastic foci but not inflammatory or dense fibrosis lesions. Periostin is a potential biomarker for diagnosis, evaluating fibrosis, and deciding therapeutic strategies for patients with RA-ILD. Full article
(This article belongs to the Special Issue Clinical Advances in Interstitial Lung Diseases)
Show Figures

Graphical abstract

8 pages, 917 KB  
Case Report
Successful Treatment of a Patient with Drug-Refractory Rheumatoid Arthritis-Associated Interstitial Lung Disease with Upadacitinib: A Case Report
by Yuuya Nishii, Masaki Okamoto, Yoshiaki Zaizen, Takashi Kojima, Takashi Nouno, Yoshiko Naitou-Nishida, Norikazu Matsuo, Hiroaki Takeoka, Motoko Ishida, Masataka Nakamura, Toru Masuda, Takafumi Tanaka, Tomoya Miyamura and Tomoaki Hoshino
Medicina 2023, 59(11), 1960; https://doi.org/10.3390/medicina59111960 - 6 Nov 2023
Cited by 8 | Viewed by 4047
Abstract
Insufficient evidence exists regarding the efficacy of Janus kinase inhibitors (JAKis), a class of targeted synthetic disease-modifying anti-rheumatic drugs (tsDMARDs), in the treatment of rheumatoid arthritis (RA)-associated interstitial lung disease (ILD). Herein, we present a case of RA-ILD refractory to previous treatments that [...] Read more.
Insufficient evidence exists regarding the efficacy of Janus kinase inhibitors (JAKis), a class of targeted synthetic disease-modifying anti-rheumatic drugs (tsDMARDs), in the treatment of rheumatoid arthritis (RA)-associated interstitial lung disease (ILD). Herein, we present a case of RA-ILD refractory to previous treatments that exhibited favorable response to upadacitinib. A 69-year-old man, former smoker, was diagnosed with RA-ILD based on persistent symmetric polyarthritis, elevated C-reactive protein levels and erythrocyte sedimentation rate, reduced diffusing capacity for carbon monoxide/alveolar volume (DLCO 69.9%), and bilateral ground-glass attenuation with traction bronchiectasis, predominantly in the lower lung lobe. Initial treatment with oral prednisolone and methotrexate was started; however, the patient showed worsening dyspnea, chest high-resolution computed tomography abnormalities, and decreased pulmonary function. The dose of prednisolone was increased, and methotrexate was shifted to tacrolimus; however, tacrolimus was eventually discontinued because of renal dysfunction. Subsequent treatment changes included abatacept followed by intravenous cyclophosphamide, but ILD activity continued to worsen and met the criteria of progressive pulmonary fibrosis. Approximately 4.5 years after the RA diagnosis, dyspnea, radiological abnormalities, and DLCO improved following treatment switch to upadacitinib, one of JAKis. JAKi therapy may have potential as a treatment option for refractory RA-ILD. Full article
(This article belongs to the Special Issue Recent Advances in Autoimmune Rheumatic Diseases)
Show Figures

Figure 1

14 pages, 3540 KB  
Article
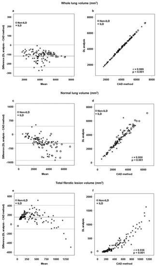
Effects of Automatic Deep-Learning-Based Lung Analysis on Quantification of Interstitial Lung Disease: Correlation with Pulmonary Function Test Results and Prognosis
by Ryo Aoki, Tae Iwasawa, Tomoki Saka, Tsuneo Yamashiro, Daisuke Utsunomiya, Toshihiro Misumi, Tomohisa Baba and Takashi Ogura
Diagnostics 2022, 12(12), 3038; https://doi.org/10.3390/diagnostics12123038 - 4 Dec 2022
Cited by 20 | Viewed by 3469
Abstract
We investigated the feasibility of a new deep-learning (DL)-based lung analysis method for the evaluation of interstitial lung disease (ILD) by comparing it with evaluation using the traditional computer-aided diagnosis (CAD) system and patients’ clinical outcomes. We prospectively included 104 patients (84 with [...] Read more.
We investigated the feasibility of a new deep-learning (DL)-based lung analysis method for the evaluation of interstitial lung disease (ILD) by comparing it with evaluation using the traditional computer-aided diagnosis (CAD) system and patients’ clinical outcomes. We prospectively included 104 patients (84 with and 20 without ILD). An expert radiologist defined regions of interest in the typical areas of normal, ground-glass opacity, consolidation, consolidation with fibrosis (traction bronchiectasis), honeycombing, reticulation, traction bronchiectasis, and emphysema, and compared them with the CAD and DL-based analysis results. Next, we measured the extent of ILD lesions with the CAD and DL-based analysis and compared them. Finally, we compared the lesion extent on computed tomography (CT) images, as measured with the DL-based analysis, with pulmonary function tests results and patients’ overall survival. Pearson’s correlation analysis revealed a significant correlation between DL-based analysis and CAD results. Forced vital capacity was significantly correlated with DL-based analysis (r = 0.789, p < 0.001 for normal lung volume and r = −0.316, p = 0.001 for consolidation with fibrosis volume). Consolidation with fibrosis measured using DL-based analysis was independently associated with poor survival. The lesion extent measured using DL-based analysis showed a negative correlation with the pulmonary function test results and prognosis. Full article
(This article belongs to the Section Machine Learning and Artificial Intelligence in Diagnostics)
Show Figures

Figure 1

21 pages, 14164 KB  
Review
Clinical and Radiological Features of Interstitial Lung Diseases Associated with Polymyositis and Dermatomyositis
by Stefano Palmucci, Alessia Di Mari, Giovanna Cancemi, Isabella Pennisi, Letizia Antonella Mauro, Gianluca Sambataro, Domenico Sambataro, Federica Galioto, Giulia Fazio, Agata Ferlito, Fabio Pino, Antonio Basile and Carlo Vancheri
Medicina 2022, 58(12), 1757; https://doi.org/10.3390/medicina58121757 - 30 Nov 2022
Cited by 20 | Viewed by 8702
Abstract
Polymyositis and dermatomyositis are autoimmune idiopathic systemic inflammatory diseases, characterized by various degrees of muscle inflammation and typical cutaneous lesions—the latter found in dermatomyositis. The underlying pathogenesis is characterized by a high level of uncertainty, and recent studies suggest diseases may have different [...] Read more.
Polymyositis and dermatomyositis are autoimmune idiopathic systemic inflammatory diseases, characterized by various degrees of muscle inflammation and typical cutaneous lesions—the latter found in dermatomyositis. The underlying pathogenesis is characterized by a high level of uncertainty, and recent studies suggest diseases may have different immunopathological mechanisms. In polymyositis, components of the cellular immune system are involved, whereas in dermatomyositis, the pathogenesis is mainly mediated by the humoral immune response. The interstitial lung disease occurs in one-third of polymyositis and dermatomyositis patients associated with worse outcomes, showing an estimated excess mortality rate of around 40%. Lung involvement may also appear, such as a complication of muscle weakness, mainly represented by aspiration pneumonia or respiratory insufficiency. The clinical picture is characterized, in most cases, by progressive dyspnea and non-productive cough. In some cases, hemoptysis and chest pain are found. Onset can be acute, sub-acute, or chronic. Pulmonary involvement could be assessed by High Resolution Computed Tomography (HRCT), which may identify early manifestations of diseases. Moreover, Computed Tomography (CT) appearances can be highly variable depending on the positivity of myositis-specific autoantibodies. The most common pathological patterns include fibrotic and cellular nonspecific interstitial pneumonia or organizing pneumonia; major findings observed on HRCT images are represented by consolidations, ground-glass opacities, and reticulations. Other findings include honeycombing, subpleural bands, and traction bronchiectasis. In patients having Anti-ARS Abs, HRCT features may develop with consolidations, ground glass opacities (GGOs), and reticular opacities in the peripheral portions; nonspecific interstitial pneumonia or nonspecific interstitial pneumonia mixed with organizing pneumonia have been reported as the most frequently encountered patterns. In patients with anti-MDA5 Abs, mixed or unclassifiable patterns are frequently observed at imaging. HRCT is a sensitive method that allows one not only to identify disease, but also to monitor the effectiveness of treatment and detect disease progression and/or complications; however, radiological findings are not specific. Therefore, aim of this pictorial essay is to describe clinical and radiological features of interstitial lung diseases associated with polymyositis and dermatomyositis, emphasizing the concept that gold standard for diagnosis and classification–should be based on a multidisciplinary approach. Full article
(This article belongs to the Special Issue Pulmonary Involvement Correlated with Rheumatic Diseases)
Show Figures

Figure 1

Back to TopTop