Sign in to use this feature.

Years

Between: -

Subjects

remove_circle_outline
remove_circle_outline
remove_circle_outline
remove_circle_outline
remove_circle_outline
remove_circle_outline
remove_circle_outline
remove_circle_outline
remove_circle_outline

Journals

remove_circle_outline
remove_circle_outline
remove_circle_outline

Article Types

Countries / Regions

remove_circle_outline
remove_circle_outline
remove_circle_outline
remove_circle_outline

Search Results (408)

Search Parameters:
Keywords = time domain electromagnetic method

Order results
Result details
Results per page
Select all
Export citation of selected articles as:
17 pages, 2213 KB  
Article
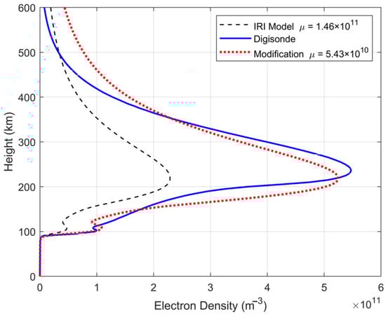
Reconstruction of Ionospheric Electron Density Using Lightning-Generated Whistlers Based on Simulation and Observations
by Tian Xiang, Chen Zhou and Moran Liu
Remote Sens. 2026, 18(8), 1244; https://doi.org/10.3390/rs18081244 - 20 Apr 2026
Abstract
Electron density is a fundamental parameter characterizing the ionosphere. Multiple ground-based and space-based detection technologies are applied to detect ionospheric electron density using artificial electromagnetic waves, based on the ionospheric effects of reflection, refraction, incoherent scattering, and doppler shift on radio waves. Lightning-generated [...] Read more.
Electron density is a fundamental parameter characterizing the ionosphere. Multiple ground-based and space-based detection technologies are applied to detect ionospheric electron density using artificial electromagnetic waves, based on the ionospheric effects of reflection, refraction, incoherent scattering, and doppler shift on radio waves. Lightning-generated whistlers (LGWs) constitute a natural signal with a wide spatiotemporal distribution that can substitute for these artificial transmissions, achieving global ionospheric detection. This paper proposes a method for reconstructing ionospheric electron density profiles by comparing simulated and observed dispersion of LGWs. We develop an LGW propagation model based on the finite-difference time-domain (FDTD) algorithm, where the background electron density is derived from the International Reference Ionosphere (IRI) model. The dispersion of simulated whistlers is compared with satellite observations, and a modification factor is introduced to modify the background electron density based on the relationship between dispersion and electron density. The approach is applied to two events, and the electron density modification effect is assessed with independent data sources. The results show that the errors between the modified electron density and the true value in two events are reduced by 62.81% and 69.29%, respectively, confirming the efficacy of the proposed method. Full article
Show Figures

Figure 1

21 pages, 2138 KB  
Article
TDR Inversion for Water Localization and Uncertainty Evaluation
by Marco Scarpetta, Maurizio Spadavecchia, Francesco Adamo, Gregorio Andria and Nicola Giaquinto
Sensors 2026, 26(8), 2432; https://doi.org/10.3390/s26082432 - 15 Apr 2026
Viewed by 193
Abstract
This work presents the application of a Time-Domain Reflectometry (TDR) inversion algorithm for localizing water along a bi-wire cable acting as a distributed sensing element (SE), and for evaluating the uncertainty of the water position measurement. The TDR inversion relies on a simplified [...] Read more.
This work presents the application of a Time-Domain Reflectometry (TDR) inversion algorithm for localizing water along a bi-wire cable acting as a distributed sensing element (SE), and for evaluating the uncertainty of the water position measurement. The TDR inversion relies on a simplified yet effective gray-box circuital model of the measurement system that, without attempting a full-wave electromagnetic (EM) simulation, reproduces with good accuracy any actually observed reflectograms. The model parameters are estimated from a single acquired reflectogram so as to reproduce the measured signal, without a prior EM characterization of the system components. The model provides the water localization and enables extensive simulation campaigns under realistic variations in water position, stimulus pulse duration, and disturbance effects. A specific measurement setup, designed to perform repeated measurements in controlled laboratory conditions, is analyzed in detail as a case study. The water localization error of the measurement system is statistically evaluated in terms of confidence intervals, bias, and standard deviation, by means of simulated measurements of the model, with different water positions and TDR pulse durations. Then, the uncertainty evaluation is validated through 45 actual measurements, using multiple SEs, and the same water positions and pulse durations. The work proves the viability and the performance of the presented TDR inversion method for both localization measurements and for their uncertainty evaluation under different experimental conditions. More generally, it establishes a general framework for TDR measurements and uncertainty evaluation combining physical modeling, simulation-based uncertainty evaluation, and experimental verification. Full article
(This article belongs to the Section Intelligent Sensors)
23 pages, 21803 KB  
Article
Efficient 3D Inversion of the Marine Electrical-Source Time Domain Electromagnetic Method Based on the Footprint Technique
by Xianxiang Wang, Shanmei Li, Zefan Hu and Qing Sun
Geosciences 2026, 16(4), 142; https://doi.org/10.3390/geosciences16040142 - 1 Apr 2026
Viewed by 320
Abstract
Marine electric-source time domain electromagnetic (TDEM) surveys typically involve the simultaneous movement of transmitters and receivers, which generates a large number of transmitter–receiver pairs. This acquisition geometry creates notable challenges for 3D inversion, mainly because of the large data volume and high computational [...] Read more.
Marine electric-source time domain electromagnetic (TDEM) surveys typically involve the simultaneous movement of transmitters and receivers, which generates a large number of transmitter–receiver pairs. This acquisition geometry creates notable challenges for 3D inversion, mainly because of the large data volume and high computational cost. However, the electromagnetic “sensitive region” for each transmitter–receiver pair is much smaller than the full survey area. Based on this feature, we propose an efficient 3D inversion approach using the footprint technique. By clearly defining the sensitivity region, referred to as the footprint domain, for each pair, the method builds the sensitivity matrix only within localized subsurface regions that significantly affect the observed response. This approach greatly reduces both forward modeling cost and memory requirements. The forward modeling adopts an integral equation method combined with cosine transforms for fast 3D field computation, while the inversion framework uses a regularized conjugate-gradient algorithm, further accelerated by parallel computing under footprint domain constraints. Numerical simulations also examine the effects of offset, time channel, seawater thickness, and resistivity on the footprint domain, helping clarify the spatiotemporal diffusion behavior of TDEM fields in shallow marine environments. Tests on representative models show that the proposed method remains stable and accurate under complex geological conditions while significantly improving computational efficiency. In particular, the footprint domain technique improves inversion speed by about 55% compared with full domain inversion. These results indicate that the proposed approach provides a reliable and scalable option for large-scale 3D inversion of marine TDEM data. Full article
(This article belongs to the Section Geophysics)
Show Figures

Figure 1

24 pages, 1545 KB  
Article
PMSDA: Progressive Multi-Strategy Domain Alignment for Cross-Scene Vibration Recognition in Distributed Optical Fiber Sensing
by Yuxiang Ni, Jing Cheng, Di Wu, Qianqian Duan, Linhua Jiang, Xing Hu and Dawei Zhang
Photonics 2026, 13(4), 334; https://doi.org/10.3390/photonics13040334 - 29 Mar 2026
Viewed by 491
Abstract
Distributed optical fiber vibration sensing (DVS) has shown strong potential in perimeter security, pipeline leakage monitoring, transportation safety, and structural health diagnostics owing to its high sensitivity, long-range coverage, and immunity to electromagnetic interference. However, severe cross-scene distribution mismatch is often encountered in [...] Read more.
Distributed optical fiber vibration sensing (DVS) has shown strong potential in perimeter security, pipeline leakage monitoring, transportation safety, and structural health diagnostics owing to its high sensitivity, long-range coverage, and immunity to electromagnetic interference. However, severe cross-scene distribution mismatch is often encountered in real-world deployments: indoor, outdoor, and pipeline environments exhibit markedly different noise patterns and time–frequency characteristics, thereby degrading the generalization ability of models trained in a single scene. To address this challenge, we propose a Progressive Multi-Strategy Domain Alignment (PMSDA) framework for label-disjoint cross-scene vibration recognition. PMSDA uses a compact expansion–compression encoder together with complementary alignment mechanisms—maximum mean discrepancy (MMD), correlation alignment (CORAL), and adversarial domain discrimination—to learn a scene-robust latent space from a labeled indoor source and two unlabeled target domains (outdoor and pipeline) within a single alternating-training model. Because the fine-grained source and target label spaces are disjoint, PMSDA is formulated as a representation-transfer framework rather than a standard label-shared unsupervised domain adaptation method; target-domain recognition is therefore performed through domain-specific prototype clustering in the aligned latent space. On three representative scenes with nine event classes in total, PMSDA achieved 89.5% accuracy, 86.7% macro-F1, and 0.93 AUC for Indoor→Outdoor, and 85.8%, 84.7%, and 0.87, respectively, for Indoor→Pipeline, outperforming traditional feature+SVM/RF pipelines, CNN/ResNet baselines, and representation-transfer baselines adapted from DANN/CDAN/SHOT under the same evaluation protocol. These results indicate that PMSDA is a promising and effective framework for offline cross-scene DVS evaluation under disjoint target event sets. Full article
(This article belongs to the Special Issue Machine Learning and Artificial Intelligence for Optical Networks)
Show Figures

Figure 1

23 pages, 3226 KB  
Article
A Detection and Recognition Method for Interference Signals Based on Radio Frequency Fingerprint Characteristics
by Yang Guo and Yuan Gao
Electronics 2026, 15(7), 1393; https://doi.org/10.3390/electronics15071393 - 27 Mar 2026
Viewed by 368
Abstract
With the advancement of 5G and the Internet of Things (IoT), traditional upper-layer authentication mechanisms are vulnerable to attacks, while quantum computing threatens cryptographic security. Radio frequency fingerprint identification (RFFI) offers a physical-layer solution by exploiting inherent hardware imperfections. However, in complex electromagnetic [...] Read more.
With the advancement of 5G and the Internet of Things (IoT), traditional upper-layer authentication mechanisms are vulnerable to attacks, while quantum computing threatens cryptographic security. Radio frequency fingerprint identification (RFFI) offers a physical-layer solution by exploiting inherent hardware imperfections. However, in complex electromagnetic environments, narrowband and especially agile interference (characterized by low power and narrow bandwidth) can severely distort fingerprint features, rendering conventional detection algorithms ineffective. To address this challenge, this paper proposes a novel interference detection framework tailored for Orthogonal Frequency Division Multiplexing (OFDM) systems. First, a signal transmission model incorporating non-ideal hardware characteristics (e.g., DC offset, I/Q imbalance) is established. Based on this model, we design an agile interference detection algorithm comprising two key components: (1) a time-series anomaly detection method that fuses multi-domain expert features (fractal, complexity, and high-order statistics) with machine learning, demonstrating superior performance over the traditional CME algorithm under narrowband interference, and (2) a progressive search segmental detection algorithm that, combined with reconstruction error features extracted by an autoencoder, effectively identifies low-power agile interference by appropriately trading-off computation time for detection sensitivity. Finally, an OFDM simulation platform is developed to validate the proposed methods. The results show that the segmental detection algorithm achieves reliable detection at a jammer-to-signal ratio (JSR) as low as −10 dB, significantly outperforming existing approaches and enhancing the robustness of RFFI in challenging interference environments. Full article
Show Figures

Figure 1

26 pages, 6238 KB  
Article
Development of an NB-IoT-Based Measurement and Control System for Frequency Division Multiplexing Electrical Resistivity Tomography (FDM-ERT) Instruments
by Kai Yu, Rujun Chen, Chunming Liu, Shaoheng Chun, Donghai Yu and Zhitong Liu
Appl. Sci. 2026, 16(6), 2774; https://doi.org/10.3390/app16062774 - 13 Mar 2026
Viewed by 347
Abstract
Urban geophysical exploration faces significant hurdles due to strong electromagnetic interference and limited operational space, which restrict the efficiency and depth of traditional Electrical Resistivity Tomography (ERT). To overcome these limitations, this paper presents a novel ERT measurement and control system based on [...] Read more.
Urban geophysical exploration faces significant hurdles due to strong electromagnetic interference and limited operational space, which restrict the efficiency and depth of traditional Electrical Resistivity Tomography (ERT). To overcome these limitations, this paper presents a novel ERT measurement and control system based on the Frequency Division Multiplexing (FDM) principle. Unlike conventional time-domain methods, this instrument synchronously transmits three independent AC signals at distinct frequencies. The acquisition station utilizes Fast Fourier Transform (FFT) to isolate specific frequency responses, enabling the simultaneous retrieval of apparent resistivity data for three different electrode spacings from a single transmission. The system architecture integrates low-power STM32 microcontrollers with an Android-based control terminal via Bluetooth, Wi-Fi, and NB-IoT technologies. This wireless design supports real-time current monitoring and cloud-based data synchronization. Experimental results demonstrate that the FDM operating mode significantly enhances data acquisition efficiency and anti-interference capability through frequency-domain separation. Controlled indoor and preliminary field tests indicate that FDM mode substantially improves acquisition efficiency through concurrent multi-channel measurement while effectively resolving target signals from noise. This study demonstrates the system’s technical feasibility and provides a practical foundation for future geophysical detection in time-constrained urban environments. Full article
Show Figures

Figure 1

15 pages, 1663 KB  
Communication
A Simulation-Based Computational Study on the Dielectric Response of Human Hand Tissues to Radiofrequency Radiation from Mobile Devices
by Agaku Raymond Msughter, Jonathan Terseer Ikyumbur, Matthew Inalegwu Amanyi, Eghwubare Akpoguma, Ember Favour Waghbo and Patience Uneojo Amaje
NDT 2026, 4(1), 11; https://doi.org/10.3390/ndt4010011 - 13 Mar 2026
Viewed by 379
Abstract
This study presents a computational, simulation-based investigation of the dielectric response of human hand tissues, skin, fat, muscle, and bone to radiofrequency (RF) electromagnetic fields emitted by mobile devices. The widespread adoption of handheld devices and the deployment of fifth-generation (5G) networks, including [...] Read more.
This study presents a computational, simulation-based investigation of the dielectric response of human hand tissues, skin, fat, muscle, and bone to radiofrequency (RF) electromagnetic fields emitted by mobile devices. The widespread adoption of handheld devices and the deployment of fifth-generation (5G) networks, including millimetre-wave (mmWave) bands, have intensified concerns regarding localized human exposure to RF radiation, particularly in the hand, which serves as the primary interface during device operation. Using validated dielectric property datasets, numerical simulations were performed across the frequency range of 0.5–40 GHz, employing the Finite-Difference Time-Domain (FDTD) method to solve Maxwell’s equations, with analytical evaluations conducted in Maple-18. A heterogeneous multilayer hand phantom was developed, and simulations were conducted under controlled exposure conditions, including a transmitted power of 1 W, antenna gain of 2 dBi, and incident power density of 5 W/m2, consistent with ICNIRP and NCC safety guidelines. Tissue responses were assessed over a temperature range of 10–40 °C to account for thermal variability. The results demonstrate strong frequency- and temperature-dependent behaviour of dielectric properties, intrinsic impedance, reflection coefficient, attenuation, and specific absorption rate (SAR). At lower frequencies (<1 GHz), RF energy penetrated more deeply with distributed absorption and relatively low SAR values, whereas higher frequencies (3–40 GHz) produced highly localized absorption in superficial tissues, particularly skin and muscle. Increasing temperature led to significant increases in permittivity, conductivity, and SAR, with up to a twofold enhancement observed between 10 °C and 40 °C. These findings confirm that 5G and mmWave exposures result in predominantly surface-confined energy deposition in hand tissues. The study provides a robust computational framework for evaluating hand device electromagnetic interactions and offers quantitative insights relevant to antenna design, exposure compliance assessment, and the development of evidence-based safety guidelines. Full article
Show Figures

Figure 1

20 pages, 4516 KB  
Article
Ground-Penetrating Radar Contamination Analysis Method Based on Time–Frequency Features and Ballast Condition
by Liqiang Fu, Jiawei Lan and Zhi Xu
Appl. Sci. 2026, 16(6), 2728; https://doi.org/10.3390/app16062728 - 12 Mar 2026
Viewed by 335
Abstract
On heavy-haul railways, ballast fouling progressively reduces ballast resistance, which in turn degrades the electrical performance of track circuits. To address this cascading issue, we propose a ground-penetrating radar (GPR)-based method for assessing ballast bed conditions and inverting ballast resistance Rb continuously [...] Read more.
On heavy-haul railways, ballast fouling progressively reduces ballast resistance, which in turn degrades the electrical performance of track circuits. To address this cascading issue, we propose a ground-penetrating radar (GPR)-based method for assessing ballast bed conditions and inverting ballast resistance Rb continuously along the track. First, by integrating transmission line theory with Archie’s law, this paper establishes the mechanistic link between microscale dielectric deterioration of the fouled ballast and the macroscale electrical parameters of the track circuit. Next, we build a full-wave electromagnetic simulation model to extract two key GPR signal features: time-domain relative energy attenuation and frequency-domain spectral redshift. Recognizing the limitations of single-feature analysis, we introduce an adaptive weight-based multi-feature fusion algorithm to construct a comprehensive fouling index that quantifies the physical state of the ballast. Based on this index, we develop a quantitative mapping model between the fouling index (FI) and Rb, enabling continuous inversion of ballast resistance over the entire line. Our results show excellent agreement between the inverted Rb profile and the theoretical ground truth, with the FI alarm threshold precisely corresponding to the critical safety limit of Rb = 0.5 Ω km. This approach effectively overcomes the limitations of traditional discrete monitoring and provides a practical tool for predictive maintenance of track circuits. Full article
(This article belongs to the Section Electrical, Electronics and Communications Engineering)
Show Figures

Figure 1

14 pages, 2347 KB  
Article
Data-Driven Physics-Informed Fusion for Clothing Material Identification in Washing Machines
by Shurong Zhang, Yuze Gao, Yongtao Wan, Bin Zhang and Jianxiong Zhu
Technologies 2026, 14(3), 168; https://doi.org/10.3390/technologies14030168 - 8 Mar 2026
Viewed by 376
Abstract
To meet the demand for refined laundry care in intelligent washing machines and address the low accuracy, poor robustness, and lack of physical interpretability of existing material recognition technologies, a recognition method integrating physical prior knowledge is proposed. Based on a physical experimental [...] Read more.
To meet the demand for refined laundry care in intelligent washing machines and address the low accuracy, poor robustness, and lack of physical interpretability of existing material recognition technologies, a recognition method integrating physical prior knowledge is proposed. Based on a physical experimental platform for drum washing machines, mechanical vibration signals from a three-axis acceleration sensor and motor electromagnetic signals are collected synchronously, a dataset consisting of soft and hard loads is constructed, and time-domain alignment of heterogeneous signals is realized using adaptive pooling technology. Combined with the mechatronic coupling mechanism in the loosening, deviation detection, and weighing stages of washing machines, a Physics-Aware Dual-Stream Multi-Scale Temporal Convolutional Network (PSA-DSMS-TCN) is designed. The network extracts mechanical and electromagnetic features in parallel through a dual-stream structure, expands the receptive field using multi-scale dilated convolution, and introduces an operating condition-gated attention mechanism to achieve dynamic feature fusion. The results of 5-fold cross-validation show that the model achieves an average recognition accuracy of 94.05%, with consistent performance enhancement and substantial practical robustness. The results demonstrate that the PSA-DSMS-TCN effectively improves the precision of material prediction while maintaining lightweight characteristics, providing reliable technical support for the intelligent matching of laundry care parameters. Full article
Show Figures

Figure 1

19 pages, 15575 KB  
Article
Adaptive Tuning Framework for MOSFET Gate Drive Parameters Based on PPO
by Yuhang Wang, Zhongbo Zhu, Qidong Bao, Xiangyu Meng and Xinglin Sun
Electronics 2026, 15(5), 1089; https://doi.org/10.3390/electronics15051089 - 5 Mar 2026
Viewed by 288
Abstract
The optimization of the MOSFET gate drive parameters is crucial for the trade-off between switching loss and electromagnetic interference (EMI). However, the nonlinear coupling among gate drive parameters, board-level parasitic, and switching performance limits the effectiveness of traditional MOSFET drive design methods. This [...] Read more.
The optimization of the MOSFET gate drive parameters is crucial for the trade-off between switching loss and electromagnetic interference (EMI). However, the nonlinear coupling among gate drive parameters, board-level parasitic, and switching performance limits the effectiveness of traditional MOSFET drive design methods. This paper proposes an adaptive tuning framework based on the proximal policy optimization (PPO) algorithm. An analytical switching model incorporating board-level parasitics is first derived to analyze the coupling between drive parameters and switching performance. The optimization problem is then formulated as a Markov decision process (MDP). Within this framework, domain randomization is applied during training. This enables the agent to learn a generalizable optimization strategy that remains robust across the varying parasitic inductances encountered in different PCB layouts. Compared to the traditional Non-dominated Sorting Genetic Algorithm II (NSGA-II), the proposed method uses the trained policy for direct inference. This reduces computation time by 98.7% while maintaining a multi-objective performance difference within 10.06%. In addition, hardware verification shows a 10.7% average deviation between the measured and simulated results. These results demonstrate that the proposed method provides an efficient and scalable solution for MOSFET gate drive optimization. Full article
(This article belongs to the Special Issue AI-Driven Innovations in Power Electronics Research and Development)
Show Figures

Figure 1

28 pages, 2499 KB  
Article
Cross-Bonded Cable Circuits Identification Based on Deep Embedded Clustering of Sheath Current Sensing
by Hang Wang, Zhi Li, Wenfang Ding, Jing Tu, Liqiang Wang and Jun Chen
Sensors 2026, 26(5), 1591; https://doi.org/10.3390/s26051591 - 3 Mar 2026
Viewed by 392
Abstract
Online identification of HV cable circuits is vital for routine inspection and maintenance, yet existing passive electromagnetic wave injection methods are limited to offline operations. To fill the gap and achieve the online identification of HV cable circuits, an online circuit identification methodology [...] Read more.
Online identification of HV cable circuits is vital for routine inspection and maintenance, yet existing passive electromagnetic wave injection methods are limited to offline operations. To fill the gap and achieve the online identification of HV cable circuits, an online circuit identification methodology based on sheath current temporal characteristics and deep embedded clustering is proposed. First, an equivalent circuit model of the multi-circuit cross-bonded cable sheath was built to deduce the temporal similarity of sheath currents within the same circuit, establishing the identification criterion. Second, the robustness of the temporal similarity under various operating conditions was verified via simulation based on the Dynamic Time Warping (DTW) distance. Then, a combined model of Temporal Convolutional Network Autoencoder (TCN-AE) and K-medoids was established to transform circuit identification into a temporal clustering problem of sheath currents, realizing circuit determination by synchronously monitoring the time-series sheath current data of multi-circuit HV cross-bonded cables. The method was verified on a full-scale 110 kV cable test platform. The results show that the identification accuracy reached 95.37%, and the proposed method can effectively identify the circuits of cross-bonded cables with high robustness against the domain gap, having significant engineering application value. Full article
(This article belongs to the Special Issue Sensor-Based Fault Diagnosis and Prognosis)
Show Figures

Figure 1

19 pages, 5373 KB  
Article
Time-Domain Electromagnetic Instrument for Onshore and Offshore Petroleum Resource Prospecting
by Qingle Zhang, Zhiqiang Li, Guangming Li, Jigen Xia, Fangong Li, Kegong Huang, Xiaodong Yang and Xiaoping Wu
J. Mar. Sci. Eng. 2026, 14(5), 407; https://doi.org/10.3390/jmse14050407 - 24 Feb 2026
Viewed by 287
Abstract
Currently, marine and land oil resources have entered the high-water extraction stage. The remaining oil is dispersed, and the oil–water relationship is complex, making it increasingly difficult to extract. However, traditional electrical logging techniques are limited by the shielding effect of highly conductive [...] Read more.
Currently, marine and land oil resources have entered the high-water extraction stage. The remaining oil is dispersed, and the oil–water relationship is complex, making it increasingly difficult to extract. However, traditional electrical logging techniques are limited by the shielding effect of highly conductive steel casing, rendering them unsuitable for formation resistivity measurement in casing wells. Time-domain electromagnetic method overcomes the constraints of downhole push-off systems and casing conditions, enabling continuous measurement and acquisition of formation resistivity parameters. To overcome these limitations, this paper proposes an active compensation method based on differential measurements between specially configured coils, enabling the early response of the formation to be identified, the method enhances weak signal detection capabilities in casing formations. The coils offset part of the casing influence, while the casing background serves as baseline information. A time-domain electromagnetic instrument for metal casing resistivity measurement was developed, along with a ground water tank resistivity calibration device. The experimental results show that the instrument can effectively suppress casing response, obtain formation resistivity signals, and provide effective guidance methods for measuring formation resistivity of casing wells in the ocean and land. Full article
(This article belongs to the Topic Advanced Technology for Oil and Nature Gas Exploration)
Show Figures

Figure 1

19 pages, 15356 KB  
Article
Enhanced UWB-FMCW-SAR RFI Suppression via Joint Time–Frequency LRSR-TTV and Coherence Factor Weighting
by Wenjie Li, Haibo Tang, Yuchen Luan, Fubo Zhang and Longyong Chen
Electronics 2026, 15(4), 735; https://doi.org/10.3390/electronics15040735 - 9 Feb 2026
Viewed by 274
Abstract
This study addresses the challenge of suppressing radio frequency interference (RFI) in ultra-wideband (UWB) synthetic aperture radar (SAR) operating within complex electromagnetic environments, and proposes an innovative time–frequency signal extraction method. The proposed approach integrates a low-rank and sparse representation (LRSR) model in [...] Read more.
This study addresses the challenge of suppressing radio frequency interference (RFI) in ultra-wideband (UWB) synthetic aperture radar (SAR) operating within complex electromagnetic environments, and proposes an innovative time–frequency signal extraction method. The proposed approach integrates a low-rank and sparse representation (LRSR) model in the time–frequency domain with a time total variation (TTV) constraint. The core contributions are twofold: (1) constructing a time–frequency LRSR model of frequency modulation continuous wave (FMCW) signal, and (2) incorporating spectral continuity as a prior via TTV regularization into a joint low-rank sparse optimization framework. This effectively reduces the aliasing of RFI components into the target components caused by improper hyperparameters, which is particularly pronounced under low signal-to-interference-plus-noise ratio (SINR) conditions. To enhance robustness, the incoherence of interference across frequency bands is exploited, and a sub-band coherence factor (CF) weighting technique is introduced to further suppress RFI residues in the image domain. Experimental results demonstrate that the proposed method significantly outperforms existing robust principal component analysis (RPCA)-based techniques, offering a more adaptive and robust solution for RFI mitigation in UWB SAR systems. Full article
(This article belongs to the Special Issue Recent Advances and Applications of Radar Signal Processing)
Show Figures

Figure 1

23 pages, 2820 KB  
Article
Empirical Modeling of Current Drawn by High-Speed Circuits for Power Integrity Simulations
by Raul Fizesan
Electronics 2026, 15(3), 713; https://doi.org/10.3390/electronics15030713 - 6 Feb 2026
Viewed by 533
Abstract
Firm requirements on electromagnetic compatibility (EMC) of electronic devices demand low electromagnetic emissions (EMI) of high-speed circuits, especially in the automotive industry. To be able to apply cost-effective anti-perturbative measures that reduce noise emission, critical signal integrity and power integrity (SI/PI) tools are [...] Read more.
Firm requirements on electromagnetic compatibility (EMC) of electronic devices demand low electromagnetic emissions (EMI) of high-speed circuits, especially in the automotive industry. To be able to apply cost-effective anti-perturbative measures that reduce noise emission, critical signal integrity and power integrity (SI/PI) tools are needed for developing high-speed printed circuit board (PCB) designs. This paper presents an efficient method for modeling and analyzing the current drawn by digital ICs based on SPICE modeling data. The profile of the current drawn by the ICs from the power supply is composed of the static supply current and the dynamic supply current. This method enables power integrity engineers, in particular, PhD students and researchers who aim to develop an intuitive understanding of PI phenomena during the pre-layout phase, to see the hidden impact of the supply current on the power rail noise through time domain simulations, using a complex simulation model that integrates the Finite-Difference Time-Domain (FDTD) method of modeling the power and ground plane, with Voltage Regulator Modules (VRMs) and decoupling capacitors. A comparison of simulation results between the proposed models and SPICE IC models is also included to validate the proposed model. Full article
Show Figures

Figure 1

21 pages, 4384 KB  
Article
Fault Diagnosis and Health Monitoring Method for Semiconductor Manufacturing Equipment Based on Deep Learning and Subspace Transfer
by Peizhu Chen, Zhongze Liu, Junxi Han, Yi Dai, Zhifeng Wang and Zhuyun Chen
Machines 2026, 14(2), 176; https://doi.org/10.3390/machines14020176 - 3 Feb 2026
Viewed by 474
Abstract
Semiconductor manufacturing equipment such as vacuum pumps, wafer handling mechanisms, etching machines, and deposition systems operates for a long time under high vacuum, high temperature, strong electromagnetic, and high-precision continuous production environments. Its reliability is directly related to the yield and stability of [...] Read more.
Semiconductor manufacturing equipment such as vacuum pumps, wafer handling mechanisms, etching machines, and deposition systems operates for a long time under high vacuum, high temperature, strong electromagnetic, and high-precision continuous production environments. Its reliability is directly related to the yield and stability of the production line. During equipment operation, the fault signals are often weak, the noise is strong, and the working conditions are variable, so traditional methods are difficult to achieve high-precision recognition. To solve this problem, this paper proposes a fault diagnosis and health monitoring method for semiconductor manufacturing equipment based on deep learning and subspace transfer. Firstly, considering the cyclostationary characteristics of the operating signals of key equipment, the cyclic spectral analysis technology is used to obtain the cyclic spectral coherence map, which effectively reveals the feature differences under different health states. Then, a deep fault diagnosis model based on the convolutional neural network (CNN) is constructed to extract deep feature representations. Furthermore, the subspace transfer learning technology is introduced, and group normalization and correlation alignment unsupervised adaptation layers are designed to achieve automatic alignment and enhancement of the statistical characteristics of deep features between the source domain and the target domain, which effectively improves the generalization and adaptability of the model. Finally, simulation experiments based on the public bearing dataset verify that the proposed method has strong feature representation ability and high classification accuracy under different working conditions and different loads. Because the key components and experimental scenarios of semiconductor manufacturing equipment have similar signal characteristics, this method can be directly transferred to the early fault diagnosis and health monitoring of semiconductor production line equipment, which has important engineering application value. Full article
(This article belongs to the Section Machines Testing and Maintenance)
Show Figures

Figure 1

Back to TopTop